DYNA
0012-7353
2346-2183
Universidad Nacional de Colombia
https://doi.org/10.15446/dyna.v89n221.100020

Recibido: 9 de diciembre de 2021; Revision Received: 16 de marzo de 2022; Aceptado: 1 de abril de 2022

Design of mixture experiments for the analysis of viscosity behavior of sulfonated polyacrylamide solutions (ATBS) with changes in salinity, hardness, and polymer concentration

Diseño de experimentos de mezclas para el análisis del comportamiento de la viscosidad de soluciones de poliacrilamidas sulfonadas (ATBS) con cambios en la salinidad, dureza y concentración de polímero

J. Herrera, a H. Quintero, a G. Maya, a R. Castro, b L. Prada, c L. Maldonado, c Á. Villar, a E. Pérez, d

Centro delnnovacióny Tecnología ICP, Ecopetrol, Piedecuesta, Colombia. julia.herrera@ecopetrol.com.co, henderson.quintero@ecopetrol.com.co, gustavo.maya@ecopetrol.com.co, alvaro.villar@ecopetrol.com.co Centro delnnovacióny Tecnología ICP, Ecopetrol Piedecuesta Colombia
Universidad Nacional de Colombia, Sede Medellín, Facultad de Minas, Departamento de Procesos y Energía, Grupo de Investigación en Fenómenos de Superficie - Michael Polanyi, Medellín, Colombia. rhcastroga@unal.edu.co Universidad Nacional de Colombia Universidad Nacional de Colombia Facultad de Minas, Departamento de Procesos y Energía Medellín Colombia
Desarrollo en tecnologias deHidrocarburos, DTHSAS, Bucaramanga, Santander, Colombia. luiscprada@gmail.com, yedxe17@hotmail.com Desarrollo en tecnologias deHidrocarburos Bucaramanga Santander Colombia
Laboratorio de Fluidodinámica, Facultad de Ingenieria, Universidad de Buenos Aires/CONICET, Buenos Aires, Argentina. eperezr.ext@ffi.uba.ar Universidad de Buenos Aires/CONICET Buenos Aires Argentina

Abstract

A simple centroid mixture design (SCMD) method was used to determine the effect of the salinity and hardness of preparation water on final viscosity of a polymer solution with Acrylamide-Tert-butyl-Sulfonated units (ATBS). The experimental results of SCMD were used to build a special quadratic model and a numerical model was implemented for determining the polymer concentration necessary to reach the desired viscosity, depending on the salinity and hardness of the preparation water. Furthermore, the numerical model developed was validated with experimental data from the literature. It can predict the required concentration of a modified polymer (ATBS) to achieve the desired injection viscosity of the polymeric solution, with 95% reliability in the ranges evaluated. The Newton-Raphson numerical model developed using an SMCD is the first reported in the literature that allows determining the ATBS polymer concentration necessary to define the viscosity range.

Keywords:

ATBS, sulfonated polyacrylamide, salinity, hardness, SCMD.

Resumen

Un Diseño de experimentos de mezcla (SCMD) fue usado para determinar el efecto de la dureza y salinidad del agua de preparación en la viscosidad final de una solución polimérica con modificaciones con unidades ATBS (Acrilamidas-Terbutil Sulfonadas). Con los resultados experimentales del SCMD se construyó un modelo cuadrático especial, y se implementó un modelo numérico que permite determinar la concentración de polímero necesaria para alcanzar la viscosidad deseada, dependiendo de la salinidad y dureza del agua de preparación. Adicionalmente, el modelo numérico desarrollado fue validado con datos experimentales de la literatura. Este puede predecir la concentración requerida de un polímero modificado con ATBS para alcanzar la viscosidad deseada con un 95% de confiabilidad en los rangos evaluados. El modelo numérico de Newton-Raphson desarrollado usando un SCMD es el primero reportado en la literatura que permite determinar la concentración de polímeros ATBS necesaria para conocer un rango de viscosidad

Palabras clave:

ATBS, poliacrilamidas sulfonadas, salinidad, dureza, SCMD.

1. Introduction

Polymer flooding is the most mature chemical EOR method used in multiple field applications in past decades [1]. The viscosity of a polymer solution is a key factor that, in some cases, notably influences its application effect [2]. The Partially Hydrolyzed Polyacrylamide (HPAM) polymers are the most widely used mobility control polymers for enhanced oil recovery [3]. Small quantities of HPAM can increase water viscosity by two or more orders of magnitude without adding electrolytes [4]. In the presence of the electrolyte molecules in typical oilfield brines, negative charges along the polymer chain are screened from each other by association with cations from the solution. Consequently, the polymer chains are no longer fully extended, and solution viscosity decreases [4-8]. Furthermore, Herrera et al. [9], using a fractioned factorial experimental design, show that salinity interactions with variables such as pressure drop and molecular weight can influence the mechanical degradation of polymers.

Divalent and monovalent cations in the injection/formation water are essential, as a high level of acrylate monomers could be precipitated by divalent cations such as calcium and magnesium [10]. However, multivalent cations cause a much stronger effect than monovalent cations [11,12]. Additionally, the viscosity reduction caused by divalent cations is even greater for higher polymer concentrations [4].

Considering the relatively long time required for measurement and the large number of samples induced by several influential parameters, the range of samples and the measurement conditions need to be narrowed down. Viscosity estimation of the polymer solution is adequate for these purposes [13]. To predict viscosity, Rostani et al. [14] used a number of mathematical models to estimate HPAM solution viscosity; hence, neural network methods prove the fitness of the proposed methods estimations with the target solution viscosities. Kang et al. [13] applied an Artificial Neural Network (ANN) to the viscosity estimation of FlopaamTM 3330S, FlopaamTM 3630S, and AN-125 solutions, three commonly used EOR polymers, with the accuracy of the ANN being higher than other correlations.

For Sharma et al. [15], it is essential to model the polymer viscosity accurately to make accurate predictions of injection rates. They developed a simple scheme to account for the hydrolysis and the corresponding change in viscosity as the polymer flows through the reservoir. This study demonstrates that computing polymer viscosity accurately is material for properly representing the well pressure and the pressure distribution substantially far from the wellbore, which significantly influences the performance of chemical EOR processes using polymers.

Furthermore, Al-Hamairi et al. [5] introduce a comprehensive rheological model that predicts polymer viscosity with different shear rate values, based on polymer concentration, salinity, and divalent content in brine. Results show the ability of the model to predict viscosity in low to medium shear rates. Stavland et al. [16] studied the effects of salinity on polymer viscosity of two EOR polymers, HPAM and AMPS type. The polymers were dissolved in brine with different concentrations of NaCl and CaCl2. Results show that, usually, HPAM polymers are slightly more saltsensitive than AMPS polymers. They concluded that for polymers where the viscosity depends on salinity, the controlling parameter is the effective salinity, and the intrinsic viscosity decreases as the effective salinity increases.

Castro et al. [17] evaluate the effects of divalent cations (Ca2+ and Mg2+) on Scleroglucan (SG) and (ATBS) polymer viscosities. The Scleroglucan viscosity is stable, with the calcium concentration increasing in the solution; conversely, the sulfonated polyacrylamide solution showed decrease in viscosity, increasing calcium concentration. Nevertheless, the literature has not reported any models that establish an experimental relationship between the polymer concentration necessary to obtain viscosity as a function of the salinity and hardness of the preparation water.

SCMD is a systematic method to determine the relationship between factors affecting a process and the output of that process. The main purpose of designing an experiment statistically is to ensure that valid results are obtained with minimum effort, time, and resources [18]. Statistical experimental design has been used on petroleum engineering issues [19,20]. Further, it has been used to determine the polymer concentration necessary to reach the desired viscosity, depending on the salinity and hardness of the preparation water.

In this paper, the effects of salinity (NaCl), hardness (CaCl2), and polymer concentration on the viscosity of polymeric solutions were studied. This was based on a simple centroid mixture design (SCMD), using the statistical R software. This experimental design allowed for establishing a linear regression model capable of predicting the viscosity as a function of the process variables (salinity hardness and polymer concentration). In turn, this led to the implementation of the Newton-Raphson numerical method to determine the polymer concentration needed to achieve desired viscosities based on the hardness and salinity conditions in field brines.

2. Experimental development

2.1 Materials

2.1.1 Polymer

In this research, terpolymer of acrylamide (AMD) and acrylic acid (AA) with ATBS monomers were used. The commercial polymer is a Modified HPAM, which is anionic and insoluble at 0.01%, and hydrolyzed at 25%, with molecular weight of 13 MDa.

2.1.2 Water salinity as NaCl content

The water salinity is a function of dissolved salts. Thus, water salinity is represented as total NaCl dissolved salt. In this research, the polymers were prepared in synthetic brines, with a salinity range of 0 to 5,000 mg/L of NaCl from Sigma Aldrich (Merck KGaA, Darmstadt, Germany) to evaluate the salinity effects.

2.1.3 Water hardness as CaCl2 content

Water hardness is defined as the content of divalent metal cations. Dissolved calcium (Ca+2) and magnesium (Mg+2) are two divalent cations found at appreciable levels in most waters [17]. In this research, hardness was considered as CaCl2 content in the brine. The purpose of evaluating only one component was to reduce uncertainty in the interpretation of results. Polymers were prepared in synthetic calcium chloride brines between 0 to 5,000 mg/L of CaCl2*2H2O to assess the hardness effects, using Sigma Aldrich (Merck KGaA, Darmstadt, Germany).

2.2 Methods

2.2.1 Polymeric solution preparation

Initially, it is necessary to measure the humidity of the solid polymer. The mass of the polymer in the stock solution is calculated, considering humidity. Next, the brine's mass is obtained to prepare the stock solution according to API RP63 [21]. Polymer powder (5 g/L) is added slowly to the vortex formed by water with adequate mechanical stirring. The polymer is stirred until completely dissolved.

The polymer solution is obtained from diluting the stock solution with adequate mechanical stirring. The solutions used in this research ranged between 0 to 5,000 mg/L of polymer.

2.2.2 Polymeric solution viscosity measurement

The Brookfield LVT viscometer (± 1% precision and ± 0.2% reproducibility) and the ULA 0 (Din 86 adapter) were used to measure viscosity. The viscosimeter is intended for temperature control by immersing the geometric concentric cylinder with the sample in the hot water bath with temperature range between 25 °C and 80 °C. 20 mL of the polymer solution was placed in the geometric concentric cylinder viscosimeter with a temperature controller, which was used to secure homogeneous measurement conditions in a suitable range for the analyzed samples, determining the viscosity at a shear stress of 7.3 s-1 @ 30 °C.

2.3 Simplex-centroid mixture design (SCMD)

This research used a simple centroid mixture design (SCMD) to study the influence of salinity (x2), hardness (x3) and polymer concentration (x1) on the polymer solutions' viscosity used in enhanced oil recovery processes. Components x1, x2 and x3 are in the experimental range from 0 to 1, where one represents that one of the components is 100%. Thus, the SCMD of these components was satisfied with Σ i x i = 1. Fig. 1 shows the ten replicated experimental points assessed.

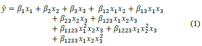
Since the mixture components' sum must be 1, the linear model is redundant for any mixture design with i components. This study was based on a particular quadratic model (Eq. 1) that considers higher-order effects such as ternary interactions, increasing the cubic model with higher-order quadratic interaction terms [22].

Simplex-centroid mixture design with polymer concentration, salinity, and hardness-like components.

Figure 1: Simplex-centroid mixture design with polymer concentration, salinity, and hardness-like components.

Source: The Authors.

Where, у is the response variable (polymer solution viscosity), and the factors x1, x2 and x3 correspond to the variables studied. The parameters ft, 𝛽1, 𝛽2, 𝛽3, 𝛽12, 𝛽𝛽13 𝛽23 𝛽123, 𝛽1123, 𝛽1223, and ft233 are the model interaction components coefficients.

After achieving the empirical model, the model's fit was tested, the three-dimensional response surface was evaluated, and the optimal fit of the proportions of the components was determined. The statistical software R was used to analyze the experimental data and plot the response surface. ANOVA was also used to estimate statistical parameters.

2.4 Estimation of the polymer concentration as a function of the desired viscosity

Based on the products results of the design of mixture experiments, with the special quadratic regression model, two (2) prediction models were developed:

  • A numerical model for determining viscosity estimates the polymer solutions viscosity as a function of salinity, hardness, and polymer concentration, given the regression of Eq. 1.

  • A numerical model to determine polymer solution concentration to estimate the polymer concentration necessary to reach the desired viscosity considering the salinity and hardness of the brine. This model was determined through the Newton-Raphson numerical method using the Algorithm 1 code summarized below:

  • Table 1 shows the experimental results of viscosity as a function of the three variables' fraction evaluated in the SMCD (x1: Polymer, x2: Salinity, x3: Hardness). The results show repeatability in the duplicates of the tests under the same evaluation conditions, which makes the methodology and the results obtained more robust. Additionally, result can be concluded that, under the same polymer concentration (experiments 4 and 10 and experiments 5 and 6), the hardness (CaCl2) is the variable with the most significant influence on viscosity.

Algorithm 1. Newton-Raphson method implementation.

Source: The Authors.

Table 1: Experimental Results.

Note* Fractions based on a maximum concentration of (5000 ppm) *.

Source: The Authors.

3. Results and discussion

3.1 Statistical analysis of the simplex-centroid mixture design adsorption

The R software established that the special quadratic model makes the best fit with a p-value of 0.3868 in the "Lack of Fit" adjustment component. However, to achieve this adjustment and the model's normality, independence, and homoscedasticity statistical assumptions, the model required a natural logarithm transformation (y). Eq. 2 expresses the final model that predicts the polymer solution viscosity (y) as a function of the polymer concentration (x1), salinity (x2 ) and hardness (x3 ) variables.

Predicted (from the model) vs actual viscosity (from experiments), a) data zoom between 4500 to 4600 cP, b) data zoom between 0 to 125 cP.

Figure 2: Predicted (from the model) vs actual viscosity (from experiments), a) data zoom between 4500 to 4600 cP, b) data zoom between 0 to 125 cP.

Source: The Authors.

Fig. 2 shows the viscosity values predicted by the model versus the values obtained from the experiments. It also shows that the model adequately correlates the components of the mixture with an adjusted R 2 of 0.9269 and that the terms 𝑥1 2𝑥2𝑥3, 𝑥1𝑥2 2𝑥3 and 𝑥1𝑥2𝑥3 2 contribute substantially to the model response variance.

An analysis of variance (ANOVA) was conducted in the R software to assess the suitability and importance of the model. Table 2 lists ANOVA results of the individual parameter effects, and the interaction of the mixture variables on viscosity. The F-value compares the variation of the differences in the average responses at the design points, and the corresponding estimated responses using the linear model with the expected experimental variations calculated from a replicated design point (pure error). The ANOVA results show an F value of 3,101.44, implying that the model is significant; there is only a 0.01% probability that a large F-value will occur due to noise introduced during the experiment. The p-value is the probability of reaching the F value. A p-value lower than 0.05 indicates that there is a statistically significant difference between the means. A p-value greater than 0.10 indicates that there is no difference between the means [22]. Therefore, the p-value of the general model (error probability value) that is less than 0.0001 confirms that the model is highly significant and shows that changes in the independent variables correlate with shifts in the dependent variable. Additionally, the ANOVA results show that all mixture components and their interaction are essential to the model, as the p values are less than 0.05.

Based on the ANOVA results, all the parameters in the equation are significant and can substantially affect the viscosity value. However, among all the parameters, the effect of the linear terms has a more substantial influence due to its higher F value. According to the quartic model (Eq. 2), the linear terms corresponding to salinity (x2 ) and hardness (x3) have adverse effects on viscosity as shown by the negative coefficients; increasing these parameters decreases viscosity. Furthermore, the polymer concentration component (x1) positively affects the increase in viscosity showing a positive coefficient.

Fig. 3 shows the response surface with a ternary contour of ranges in which the viscosity of the polymer solution (y) is optimized as a function of the polymer concentration (x1), salinity (x2) and hardness (x3). The dark grey region represents the polymeric solution's lower viscosity due to high salinity and hardness values. The light grey part represents the area with the highest viscosity of the polymer solution. The results prove that the variables individually have a strong influence on the viscosity, due to their interaction.

Table 2: ANOVA mixture model.

Source: The Authors.

Polymer Viscosity Response Surface.

Figure 3: Polymer Viscosity Response Surface.

Source: The Authors.

The response surface shows that if the three variables (33% polymer concentration, 33% salinity, and 33% hardness) are in the same proportion, the viscosity obtained is close to 25 cP. By doubling the concentration of polymer (66%), reducing salinity and hardness (16%), the viscosity is increased by approximately four times, which shows the positive effect of the increase in polymer concentration. However, the hardness has a more significant negative influence on viscosity. As a polymer concentration of 50% and salinity of 50% reaches a viscosity of 100 cP. On the contrary, where the hardness is 50%, it reduces the viscosity of the polymer solution 2.4 times (41 cP).

Cox direction is the line that connects the centroid point with the vertices (see Fig. 4) of the mixture's space. When moving in the Cox direction of say, x 1 the ratio of the remaining mixture components stays constant, i.e = 1, and this is almost equivalent to an "independent" effect of x i in the mixture space. The Cox effects are the traces obtained from slicing the response surface along the Cox directions. Fig. 4 shows the Cox direction in a three-dimensional mixture space, and a Cox effect plot of the special quartic model.

According to the Cox direction, which connects the centroid point with the vertices (Fig. 4, left figure), when moving in the polymer concentration directions, the proportion of the remaining components of the mixture remains constant. Fig. 5 (right figure) shows the individual effects obtained for each mix element by cutting the response surface relative to the Cox direction. It proves the significant influence of salinity and hardness on viscosity at low polymer concentrations.

Cox direction in 3D mixture space (left figure) and Effects Plot along the Cox Direction (right figure).

Figure 4: Cox direction in 3D mixture space (left figure) and Effects Plot along the Cox Direction (right figure).

Source: The Authors.

In the experimentation region shown in Figs. 4 (right figure), an increase in the polymer concentration (xx) predicts an increase in the polymer viscosity (y). On the contrary, an increase in the salinity (x2) and hardness (x3) do not show changes in the rise of viscosity (y). The foregoing shows a negative impact of salinity (NaCl) and hardness (CaCl2) on the polymer viscosity; thus, reservoirs with highly NaCl and CaCl2 concentrations require a high polymer concentration to reach the desired resulting viscosity.

3.2 Mathematical analysis of the theoretical polymer concentration as a function of the desired viscosity of the type of polymer

To validate the quadratic regression model of the ATBS polymer viscosity as a function of the independent variables (polymer concentration, salinity, and hardness) data from the literature [17] was used, considering the type of polymer used in this work. Castro et al. [17] reported experimental evaluations of the viscosity of an ATBS polymer in a polymer concentration ranging from 470 to 2,500 ppm prepared in brines with different salinity and hardness values. Table 3 shows the results and the treatment of data to make the prediction based on the proposed numerical model.

Based on the experimental data taken from Castro et al. [17] and evaluated in algorithm 1, the concentration of polymer required to reach a viscosity was determined using the Newton-Raphsonnumerical method. Eq. 2, which describes the regression model in its canonical form, was transformed into a general equation described in Eq. 3.

The development of the numerical solution of Algorithm 1 for each of the reported experimental results, showed an estimated error of less than 1x10-10 for each solution. Table 4 compares the data provided by Castro et al. [17] and the data obtained with the mathematical model. The model calculates the polymer concentration necessary to achieve the viscosity of the polymeric solution under the same salinity and hardness conditions used for the experimental tests. According to these results, the model of Eq. 3 can be used with 95% reliability.

Table 3: Experimental ATBS viscosity data at different concentrations (470 - 2,500 ppm) in synthetic brine (TDS 3,800 ppm), temperature (30° C) at 7.3 s-1 [17].

Note: Percentages based on a maximum concentration of (5,000 ppm) *.

Source: The Authors.

Table 4: Experimental ATBS viscosity data [17] Vs Estimated values of the model.

Note: Percentages based on a maximum concentration of (5000 ppm) *

Source: The Authors.

Model fit.

Figure 5: Model fit.

Source: The Authors.

Fig. 5 shows the viscosity of the polymer solution as a function of the polymer concentration based on the NaCl concentration (salinity) and CaCl2 concentration (hardness). The long dash is the literature-reported data measured experimentally (measured values), and the solid line represents the results predicted by the numerical model (fitted values) using the SMCD. The results show a slight difference between the experimental results and the numerical model; thus, a lower polymer concentration is necessary when using the model to achieve the desired viscosity. For example, to reach a viscosity of 67 cP, based on the numerical model, a concentration of 2099 ppm of polymer is needed, although experimentally, 2500 ppm is required.

Lastly, the polymer concentration value predicted with the model and the experimental one is adequate with 5%error (95% reliability). Statistically, the correlation coefficient of 0.945 of the Newton-Raphson numerical model suggests a positive and robust relationship among the variables, making the model reliable and representative.

4. Conclusions

A Simple Centroid Mixture Design (SCMD), with 20 experiments, was designed using R software. It was concluded that the model with the best fit of the experimental results corresponds to a special quartic model. The model was statistically verified.

The ANOVA analysis showed that the model and all the model parameters are significant and can materially affect the viscosity value. Further, the ANOVA results show that all the components of the mixture and their interactions are essential in the model because the p values are less than 0.05.

The model required a natural logarithm transformation of the response variable to achieve the fit and the statistical assumptions of normality, independence, and homoscedasticity.

The response surface plot shows that the variables individually influence viscosity, due to their interaction. Although the behavior of salinity and hardness throughout the experimental region is quite close, when the polymer concentration is low, the influence of CaCl2 on the decrease in viscosity is more significant than the NaCl.

The Newton-Raphson numerical model developed using an SMCD is novel. The first reported in the literature, allows determining the concentration of ATBS polymer necessary to determine the viscosity range depending on the concentration of NaCl (salinity) and CaCl2 (hardness). Moreover, through data from the literature, the model's reliability was assessed, achieving 95% statistical reliability. Hence, the regression model proposed in this study can be used as an alternative tool to determine the modified polymer concentration (ATB S) required for a target viscosity under different salinity (NaCl) and hardness (CaCl2) conditions. This model reduces the number of experimental evaluations required in polymer injection processes.

Acknowledgements

Acknowledgments

The authors wish to thank the Centro de Innovación y Tecnologia ICP for the authorization to publish these results. This research work had no specific grant from funding agencies in the public, commercial, or not-for-profit sectors.

References

  1. [1] Manrique, E., Ahmadi, M. and Samani, S., Historical and recent observations in polymer floods: an update review, CTyF - Ciencia, Tecnol. y Futur., 6-6(5-5), pp. 17-48, 2017. DOI: HTTPS://DOI.ORG/https://doi.org/10.29047/01225383.72. [URL] 🠔
  2. [2] Liu J.F. et al., Decrease in viscosity of partially hydrolyzed polyacrylamide solution caused by the interaction between sulfide ion and amide group, J. Pet. Sci. Eng., 170, pp. 738-743, 2018. DOI: https://doi.org/10.1016/j.petrol.2018.07.017. [URL] 🠔
  3. [3] Martin, F., Donaruma, L. and Hatch, M., Development of improved-mobility control agents for surfactant/polymer flooding. Final report, Feb. 1982. DOI: https://doi.org/10.2172/5312943. [URL] 🠔
  4. [4] Ward, J.S. and Martin, F.D., Prediction of viscosity for partially hydrolyzed polyacrylamide solutions in the presence of calcium and magnesium ions, Soc. Pet. Eng. J., 21(05), pp. 623-631, 1981. DOI: https://doi.org/10.2118/8978-PA. [URL] 🠔
  5. [5] Al-Hamairi, A. and AlAmeri, W., Development of a novel model to predict HPAM viscosity with the effects of concentration, salinity and divalent content, J. Pet. Explor. Prod. Technol., 10(5), pp. 1949-1963, 2020. DOI: https://doi.org/10.1007/s13202-020-00841-4. [URL] 🠔
  6. [6] Niu, Y., Ouyang, J., Zhu, Z., Wang, G., Sun, G. and Shi, L., Research on hydrophobically associating water-soluble polymer used for EOR, Proc. - SPE Int. Symp. Oilf. Chem., pp. 621-624, 2001. DOI: https://doi.org/10.2523/65378-ms. [URL] 🠔
  7. [7] Noik, Ch., Delaplace, and Muller, G., Physico-Chemical characteristics of polyacrylamide solutions after mechanical degradation through a porous medium. in: the SPE International Symposium on Oilfield Chemistry, San Antonio, Texas, February 1995. DOI: https://doi.org/https://doi.org/10.2118/28954-MS [URL] 🠔
  8. [8] Zaitoun, A. et al., Shear stability of EOR polymers, SPE J., 17(2), pp. 335-339, 2012. DOI: https://doi.org/10.2118/141113-PA. [URL] 🠔
  9. [9] Maya-Toro, G. et al., Experimental evaluation of the mechanical degradation of HPAM polymeric solutions used in Enhanced Oil Recovery, CT&F - Ciencia, Tecnol. y Futur., 10(2), pp. 131-141, 2020. DOI: https://doi.org/10.29047/01225383.275. [URL] 🠔
  10. [10] Jouenne, S., Polymer flooding in high temperature, high salinity conditions: selection of polymer type and polymer chemistry, thermal stability, J. Pet. Sci. Eng., 195, art. 107545, 2020. DOI: https://doi.org/10.1016/j.petrol.2020.107545. [URL] 🠔
  11. [11] Levitt, D.B. and Pope, G.A., Selection and screening of polymers for enhanced-oil recovery, Proc. - SPE Symp. Improv. Oil Recover, 3, pp. 1125-1142, 2008. DOI: https://doi.org/10.2118/113845-ms. [URL] 🠔
  12. [12] Lu, X., Wang, X. and Jiang, W., Experimental study on the molecular dimension and configuration of polymer and its flow characteristics from electrolyte effect, Chinese J. Chem., 27(4), pp. 839-845, 2009. DOI: https://doi.org/10.1002/cjoc.200990140. [URL] 🠔
  13. [13] Kang, P.S., Lim, J.S. and Huh, C., Artificial neural network model to estimate the viscosity of polymer solutions for enhanced oil recovery, Appl. Sci., 6(7), pp. 1-15, 2016. DOI: https://doi.org/10.3390/app6070188. [URL] 🠔
  14. [14] Rostami, A., Kalantari-Meybodi, M., Karimi, M, Tatar, A. and Mohammadi, A.H., Efficient estimation of hydrolyzed polyacrylamide (HPAM) solution viscosity for enhanced oil recovery process by polymer flooding, Oil Gas Sci. Technol., 73, art. 8006, 2018. DOI: https://doi.org/10.2516/ogst/2018006. [URL] 🠔
  15. [15] Sharma, A., Delshad, M., Huh, C. and Pope, G.A., A practical method to calculate polymer viscosity accurately in numerical reservoir simulators, Proc. - SPE Annu. Tech. Conf. Exhib., 5, pp. 3881-3894, 2011. DOI: https://doi.org/10.2118/147239-ms. [URL] 🠔
  16. [16] Stavland, A. and Strand, D., When will polymer viscosity be a design criterion for EOR polymer flooding, in Navn pä arrangementet: IEA-EOR 34th Annual Symposium, [Online]. september, 2013. Available at: https://app.cristin.no/results/show.jsf?id=1057785. [URL] 🠔
  17. [17] Castro-Garcia, R.H., Llanos-Gallo, S., Rodriguez-Ardila, J.L., Quintero-Pérez, H.I., Manrique-Ventura, E.J. and Zapata-Arango, J.F., Heavy oil and high-temperature polymer EOR applications, CT&F - Ciencia, Tecnol. y Futur., 10(2), pp. 73-83, 2020. DOI: https://doi.org/10.29047/01225383.258. [URL] 🠔
  18. [18] Montgomery, D.C., Design and analysis of experiments, 8th ed. Tempe: John Wiley \& Sons, USA, 2008. 🠔
  19. [19] Khalil, M., Mohamed-Jan, B. and Aziz Abdul Raman, A., Fractional factorial design optimization of nontraditional completion fluid for perforation with underbalance, Chem. Technol. Fuels Oils, 46(5), pp. 340-350, 2010. DOI: https://doi.org/10.1007/s10553-010-0232-5. [URL] 🠔
  20. [20] Jeirani, Z., Mohamed-Jan, B., Si-Ali, B., Mohd-Noor, I., Chun-Hwa, S. and Saphanuchart, W., The optimal mixture design of experiments: Alternative method in optimizing the aqueous phase composition of a microemulsion, Chemom. Intell. Lab. Syst., 112, pp. 1-7, 2012. DOI: https://doi.org/10.1016/j.chemolab.2011.10.008. [URL] 🠔
  21. [21] API, Recommended practices for evaluation of polymers used in enhanced oil recovery operations, 1990, 86 P. 🠔
  22. [22] Cornell, J.A., Experiments with mixtures: designs, models, and the analysis of mixture data. 2011. 🠔
Herrera, J., Quintero, H., Maya, G., Castro, R., Prada, L.C., Maldonado, L., Villar, A. and Pérez, E., Design of mixture experiments for the analysis of viscosity behavior of sulfonated polyacrylamide solutions (ATBS) with changes in salinity, hardness, and polymer concentration.. DYNA, 89(221), pp. 60-67, April - June, 2022.
received his BSc. Eng. in Chemical Engineering in 2009 from the Universidad Industrial de Santander, Colombia. MSc. in Chemical Engineering (Enhanced Oil Recovery) in 2018 from the Universidad Industrial de Santander, Colombia. From 2009 to 2021, she worked as researcher at the Enhance Oil Recovery Laboratory Center for Innovation and Technology - ICP. Her research interests include fluids flow in porous media, enhanced oil recovery by polymer and ASP and flow control valves to polymer injection. ORCID: 0000-0002-8122-8204
received his BSc. Eng. in Chemical Engineering in 2007, from the Universidad Industrial de Santander, Colombia. MSc. in Engineering in 2009 from the Universidade Estadual de Campinas, Brazil. He is a PhD. in 2013, from the Universidade Estadual de Campinas, Brazil. Since 2017, he has worked for Ecopetrol designing, executing, and evaluating enhanced and secondary oil recovery projects. His research interests include decarbonization processes and new material for hydrocarbon projects. ORCID: 0000-0002-4177-442X
received his BSc. Eng. in Petroleum Engineering in 2003 from the Universidad Nacional de Colombia Sede Medellin. MSc. in Engineering (Enhanced Oil Recovery) in 2014 from the Universidad Industrial de Santander, Colombia. He is a PhD. candidate in Engineering from the Universidad Nacional de Colombia Sede Medellin. In 2003 and 2004, he worked for the Universidad Nacional de Colombia Sede Medellin. Since 2005 he has worked for Ecopetrol designing, executing, and evaluating enhanced and secondary oil recovery projects. His research interests include fluids flow in porous media, enhanced oil recovery, smart water, and carbonfree energy processes. ORCID: 0000-0002-8780-3580
received his BSc. Eng. in Petroleum Engineering in 2003 from Universidad de America, Colombia. MSc. in Engineering (Enhanced Oil Recovery) in 2011 from the Universidad Industrial de Santander, Colombia. He is a PhD. candidate in Engineering from the Universidad Nacional de Colombia Sede Medellin. In 2003 and 2004, he worked for the Universidad Nacional de Colombia Sede Medellin. From 2013 to 2021 he worked for Ecopetrol designing, executing, and evaluating enhanced and secondary oil recovery projects. His research interests include fluids flow Numerical and analytical reservoir simulations, Production forecasting, CEOR facilities design (surface - subsurface), Production and optimization, and Project management. ORCID: 0000-0001-7267-4221.
received his BSc. Eng. in Petroleum Engineering in 2016 from the Universidad Industrial de Santander, Colombia. MSc. in Chemichal Engineering in 2019 from the Universidad Industrial de Santander, Colombia. Since 2019, he has worked as researcher at the Enhanced Oil Recovery Laboratory Center for Innovation and Technology - ICP. His research interests include fluids flow in porous media, enhanced oil recovery by polymerflooding, computer fluid dynamics, and flow control valves to polymer injection. ORCID: 0000-0001-5544-6593
received his BSc. Eng. in Chemichal Engineering in 2013 from the Universidad Industrial de Santander, Colombia. Since 2019 she has worked as researcher at the Enhance Oil Recovery Laboratory Center for Innovation and Technology - ICP. Her research interests include enhanced oil recovery by polymerflooding and flow control valves to polymer injection. ORCID: 0000-0003-1636-9673
received his BSc. in Chemical in 1993 from the Universidad Industrial de Santander, Colombia. From 1995 to 2021, he worked as researcher at the production chemistry laboratory Center for Innovation and Technology - ICP. Her research interests include injection water quality control for secondary recovery processes and enhanced oil recovery by water and polymer injection. ORCID: 0000-0002-3555-1190
received his BSc. Eng. in Mechanical Engineering in 2014 from the Universidad Francisco de Paula Santander, Colombia. MSc. in Mechanical Engineering in 2019 from the Universidad del Norte, Colombia. Currently, he is a PhD. candidate from the Universidad Buenos Aires, Argentina and PhD. student at Universidad del Norte. Since 2019 he has worked for Ecopetrol designing, executing, and evaluating enhanced and secondary oil recovery projects. His research interests include design and developments in CEOR facilities (surface - subsurface), Production and optimization, and Project management. ORCID: 0000-0003-0460-658X.