DYNA
0012-7353
2346-2183
Universidad Nacional de Colombia
https://doi.org/10.15446/dyna.v89n221.100185

Recibido: 19 de diciembre de 2021; Revision Received: 31 de marzo de 2022; Aceptado: 16 de mayo de 2022

Decolorization of colored wastewaters with Turquoise Blue dye by the Leptosphaerulina sp. native Colombian fungus - Influence of operational parameters

Decoloración de aguas residuales coloreadas con el tinte Azul Turquesa por el hongo nativo de Colombia Leptosphaerulina sp. -Influencia de los parámetros operacionales

C. Caicedo-Montoya, a L. Copete-Pertuz, a G. Correa-Londono, b A. Mora-Martínez, a M. Yepes-Pérez, a

Universidad Nacional de Colombia, sede Medellín, Facultad de Ciencias, Medellín, Colombia. caacaicedomo@unal.edu.co, lscopete@unal.edu.co, almora@unal.edu.co, msyepes@unal.edu.co Universidad Nacional de Colombia Universidad Nacional de Colombia Facultad de Ciencias Medellín Colombia
Universidad Nacional de Colombia, sede Medellín, Facultad de Ciencias Agrarias, Medellín, Colombia. gcorrea@unal.edu.co Universidad Nacional de Colombia Universidad Nacional de Colombia Facultad de Ciencias Agrarias Medellín Colombia

Abstract

Synthetic dyes are highly stable, offer a wide range of colors, and have easy industrial applications. Nevertheless, dyes become a problem in aqueous environments due to their long permanence and low biodegradability. White-rot fungi are useful to degrade dyes through their ligninolytic enzymes and/or biosorption. This work evaluated the effect of 2,5-dimethylaniline, glucose, ammonium tartrate, copper sulfate, pH, and temperature on the degradation of Turquoise Blue (TB) dye in aqueous solutions by Leptosphaerulina sp. (Colombian native fungus). Assays were developed applying a response surface experimental design, which found that the ammonium tartrate and pH are the most influential variables on TB removal. Leptosphaerulina sp. decolorizes aqueous solutions with TB (99%, at day 8), mainly through sorption (89%). Therefore, one of the significant findings from this study is that the Leptosphaerulina sp. biomass is a promising alternative as biosorbent, in comparison to physical-chemical traditional methods, for treating wastewaters polluted with dyes.

Keywords:

bioremediation, ligninolytic enzymes, laccase, fungal inducers, biosorption.

Resumen

Los colorantes sintéticos son estables, ofrecen una amplia gama de colores y fáciles aplicaciones industriales. Sin embargo, en ambientes acuosos representan un problema por su larga permanencia y baja biodegradabilidad. Los hongos de podredumbre blanca pueden degradar colorantes a través de sus enzimas ligninolíticas y/o biosorción. Este trabajo evaluó el efecto de 2,5-dimetilanilina, glucosa, tartrato de amonio, sulfato de cobre, pH y temperatura sobre la degradación del colorante azul turquesa (TB) en soluciones acuosas por Leptosphaerulina sp. (hongo nativo de Colombia). Los ensayos se desarrollaron aplicando un diseno experimental de superficie de respuesta, que encontró al tartrato de amonio y el pH como las variables más infuyentes para remover el TB. Leptosphaerulina sp. elimina el TB (99%, día 8), principalmente por sorción (89%). Por lo tanto, la biomasa de Leptosphaerulina sp. es una alternativa promisoria como biosorbente, frente a los métodos tradicionales físico-químicos, para tratar aguas residuales contaminadas con colorantes.

Palabras clave:

biorremediación, enzimas ligninolíticas, lacasa, inductores fúngicos, biosorción.

1 Introduction

Dyes are organic compounds with complex molecular structures and high molecular weights, which can give color to a substrate, using selective absorption of wavelengths in the light spectrum, without being affected by physical (e.g. light, sunshine, wetness), biological (e.g. microorganisms from the environment) or chemical factors (e.g. detergents) [1]. Color from dyes is imparted by the presence of chromophore groups, usually aromatics, that consists of a conjugated pi-system, alternating single and double bonds; such aromatic groups can contain nitro functional groups, amines, hydroxyls, among other substituents [2,3].

The first dyes were obtained by extraction from animal and vegetable cells, and minerals. In 1856, William Perkin obtained the first chemically synthesized dye; it was named mauveine [4]. This was a milestone in the chemical industry that triggered a great number of investigations searching for new synthetic dyes, with more stability to light and water than natural dyes.

As a result, since then, the market of dyes has had a sustained increase. In 1930, 210,000 tons of dyes per year were produced; in the 60s, 346,000 tons per year, and for the mid-70s decade, more than 750,000 tons per year [5]. At the beginning of the XXI century, around 10,000 synthetic dyes had been developed [6] and their production reached 800,000 tons per year [7,8]. The above mentioned is a result of the notable advantages that synthetic dyes have, compared with natural dyes, for instance: low production cost, high stability, a wide range of colors, and easier application. These advantages have propitiated their use in many industries including paper, plastic, textile, rubber, cosmetics, pharmaceutical products, and foods; they are also employed in photography and petroleum additives [9,10].

The textile industry is the main consumer of synthetic dyes, for the coloration of its materials. In these processes, 10-15% of colored waters are lost to effluents owing to the inefficiency of the dyeing process, which is 200,000 tons per year flowing to water bodies [11]. As previously stated, synthetic dyes are very stable, becoming an important environmental problem due to their long permanence in the environment and their low biodegradability [7,12,13].

Synthetic dyes significantly affect the photosynthetic activity of the organisms living in the water, because of the reduction of the light that can penetrate through it [14]. On the other hand, they can result toxic, mutagenic, carcinogenic or teratogenic for the aquatic fauna and flora [15], as a consequence of the presence of aromatic amines, chlorides and heavy metals such as chromium, cobalt, nickel, and copper in their structure. Besides, as a result of the breaking of their structure, the generation of other compounds that on certain occasions are more toxic than the initial ones is possible. By way of illustration, as from azo dyes, toxic amines could be released, because of the breaking of the azo reactive group [16].

Diverse physical and chemical processes for dyes removal from wastewaters exist. Among the physical methods are adsorption, flocculation, coagulation, and membrane filtration [8,17-19]. Chemical methodologies are mainly based on the oxidation with hydrogen peroxide, Fenton's reaction, photocatalysis, electrochemistry, and ozone [20-23]. Both, chemical and physical processes, have operational problems and higher costs; besides, they present low effectiveness, limited versatility, interference by other constituents of the wastewaters, and difficulties with the management of generated residues; therefore, their implementation at the industrial level is limited [1,24,25].

Over the past few decades, biological methods as an effective and viable alternative for the solution of the problem engendered by synthetic dyes have been proposed. These methods draw upon bioremediation, a process that employs microorganisms to catalyze the complete degradation or transformation of toxic compounds toward less harmful forms and environmentally friendly [26]. White-rot fungi (WRF) are the most studied microorganisms owing to their capacity to disintegrate lignin, which has a similar structure to the dyes [27]. WRF use mostly two strategies to break down dyes: the action of their ligninolytic enzymes such as laccase (Lac), manganese peroxidase (MnP) and lignin peroxidase (LiP), and the biosorption of the dye [28,29]. The general mechanism employed by ligninolytic enzymes entails the production of free radicals responsible for a series of complex reactions resulting in the breaking of the dyes [30]. Biosorption is an uptake phenomenon of chemical substances (contaminants) from an aqueous solution by biomass, through physical-chemical mechanisms [31,32]; the term refers to a number of processes independent of the metabolism that essentially take place at the cell wall [33], which consists of polysaccharides, proteins and lipids that offer diverse functional groups that can interact in different ways with the dyes [34,35]. It constitutes a promissory alternative for detoxification of wastewater, due to its good capacity to eliminate pollutants and to the abundance of raw materials (marine algae, bacteria, the biomass of fungi or residues from industrial activities) that can be used as adsorbents [33].

Leptosphaerulina sp. is an ascomycete fungus with the capability to break down synthetic dyes, mostly through its laccase enzyme [36,37], such enzyme can be constitutively produced or induced by using phenolic compounds and compounds as copper sulfate, 2,5-dimethylaniline and ethanol, among others [36,38]. Even though the production of laccase enzyme has been already reported in species from the genus Leptosphaerulina [39], its use in the treatment of toxic compounds, like dyes, has been scarcely reported [36,37,40]. Sajben-Nagy et al. (2014) characterized an extracellular laccase from Leptosphaerulina chartarum with the capacity to degrade xenobiotic compounds in vitro [41] and Copete et al. (2018) used enzymatic extracts of Leptosphaerulina sp. so as to treat wastewater contaminated with antibiotics [25] showing the ability of this fungus to remove diverse contaminants. Besides its enzymatic capacities, Leptosphaerulina sp. has also exhibited the ability to remove azoic dyes by adsorption mechanisms [37].

Turquoise Blue (TB), also known as Corazol Turquoise Blue or Reactive Blue 21, consists of a tetrasulfonated copper-phthalocyanine with vinyl sulfone reactive groups that make the dye more water-soluble (Fig. 1a). It is a desirable property that allows it to be broadly used in the textile industry in order to dye clothes and as impression colorant [42,43]. However, TB presence into wastewater is also an environmental problem.

Turquoise Blue. (a) Dye chemical structure, and (b) Absorption spectrum.

Figure 1: Turquoise Blue. (a) Dye chemical structure, and (b) Absorption spectrum.

Source: The authors.

In this research work, the potential of Leptosphaerulina sp. Colombian native fungus and its enzymatic extracts to decolorize aqueous solutions of TB, was determined and improved. To do this, an experimental design was developed where four operational conditions were controlled: nutrients availability, pH, temperature and the presence of inductors in the culture broth. The effects of such factors were evaluated using response surface methodology, in order to establish the more favorable conditions for decoloring the dye and for obtaining the higher enzymatic activities.

2 Material and methods

2.1 Chemicals

Turquoise Blue (TB, phthalocyanine dye, CAS 85650-98-2, λmáx= 620 nm) (Colourtex) (Fig. 1a), donated by Fabricato -Tejicondor S.A. a Colombian textile industry. Glucose, malt extract, yeast extract and peptone were obtained from Carlo Erba. 2,2'-azino-bis (3-ethylbenzothiazoline-6-sulphonic acid) (ABTS) was bought from Sigma - Aldrich. Ethanol, methanol, butanol, acetone and chloroform were purchased from Merck. Copper sulfate, Ammonium L-(+)-tartrate and 2,6-dimethoxyphenol (DMP) were acquired from Alfa Aesar.

2.2 Microorganism and culture conditions

Leptosphaerulina sp. was isolated from lignocellulosic material in El Valle de Aburrá (Medellín, Colombia) and conserved in the collection of microorganisms of PROBIOM (CECT 20913) research group [36,40]. The fungus was maintained in malt extract agar at 4 °C until use. Mycelium from 8- days-old culture was homogenized and used as inoculum in the degradation process [36]. For degradation assays, a culture medium (pH 5.6) containing 10 g L-1 glucose, 1 g L-1 yeast extract, 5 g L-1 peptone, 2g L-1 ammonium tartrate, 1 g L-1 KH2PO4, 0.5 g L-1 KCl, 0.5 g L-1 MgSO4. 7HO and 1 mL of a mineral solution that contains per liter: 100 mg Na2B4O7. 10H2O, 70 mg ZnSO4. 7H2O, 50 mg FeSO4. 7H2O, 10 mg M11SO4. 7HO and 10 mg (NH4)6Mo7O24. 4H2O [44] was used. This work was authorized by the Autoridad Nacional de Licencias Ambientales (ANLA) under the research permit No. 8 de 2010 (Resolución 324 de 2014) and the Ministerio de Ambiente y Desarrollo Sostenible of Colombia with the agreement No. 96 of 2014 to genetic resources access.

2.3 Bioprocessfor decolorization of wastewaters colored with TB

The methodological approach taken in this study was based on an experimental central composite design of response surfaces.

Table 1: Experimental design to evaluate TB removal by Leptosphaerulina sp. at 25 °C, 30 °C and 35 °C, t= 15 days.

Source: The authors.

Five variables were examined: pH (3-11), 2,5-dimethylaniline (0-0.6 mM), glucose (0.68-20 g L-1), ammonium tartrate (0-26 g L-1), and copper sulfate (0-3.8 mM). This gave place to 24 experimental assays (Table 1). The experimental design of Table 1 was executed at three different temperatures (25 °C, 30 °C and 35 °C). All experiments were carried out in Erlenmeyer flasks of 250 mL containing 60 mL of culture broth supplemented with TB 200 at mg L-1 as reported in previous works [37,40]. Flasks were inoculated with 3 mL of mycelium previously homogenized in a sterilized blender at 8000 rpm for 60 s and later incubated at 28 °C and 200 rpm for 15 days. Response variables were decolorization percentage and enzymatic activities (Lac, MnP and LiP).

2.3.1. Dye decolorization determination

Dye decolorization was measured spectrophotometrically at 620 nm (Fig. 1b), with a Shimadzu UV-1800 scanning equipment and was expressed in terms of decolorization percentage (D%), by using the eq. (1) [45]:

Where, A0 corresponds to the initial absorbance and At is the absorbance at the t sampling time.

2.3.2. Enzymatic activities

Lac activity was spectrophotometrically determined (Shimadzu UV-1800) by measuring the oxidation of 3 mM ABTS in 0.1 M sodium tartrate buffer pH 3.0 (8420, 36,000 M4 cm-1). MnP activity was estimated by measuring the oxidation of 1 mM DMP in 0.1 mM sodium acetate buffer pH 4.5 (8469, 27,500 M-1 cm-1). LiP activity was determined using the 2 mM veratryl alcohol oxidation in 0.1 M sodium tartrate buffer pH 3.0 (8310, 9300 M-1 cm-1) [44,45]. All the enzymatic activities were reported as the amount of enzyme required for oxidizing 1 umol of the substrate in 1 min (U units).

2.3.3. Determination of TB dye sorbed into fungal biomass

To establish the contribution of the biosorption mechanism in the decolorization process of TB, some solvents were used as proposed by Robinson et al. (2002) [46]. Briefly, independent experiments (one for each solvent and combination of solvents) were carried out growing Leptosphaerulina sp. in the optimized conditions for TB decolorization found at the present work. The biomass with the sorbed dye was put in contact with one of the following organic solvents: ethanol, methanol, butanol, acetone or chloroform. The solvents were added in concentrations of 30%, 50%, 70% and the maximum concentration from the solvent supplier. In addition, mixtures ethanol-methanol (1:1) and ethanol-butanol (1:1) were employed. The extracted dye was spectrophotometrically quantified at 620 nm, as previously described. In the case that the solvents did not desorb the dye from fungal biomass, an indirect determination of the sorbed TB was carried out. The following indirect determination of the sorbed dye was posited: Leptosphaerulina sp. was grown in Erlenmeyer flasks of 250 mL containing 60 mL of culture medium (Section 2.2) without dye, at 200 rpm for 8 days. The biomass obtained at the end of the culture was harvested and weighed. This biomass was subjected to heat treatment (121 °C, 15 psi, 20 min) to denature any protein present in the samples and to prevent the production of new enzymes. Consecutively, the biomass was re-suspended in culture medium with TB (200 mg L-1) and was kept at 28 °C and 200 rpm, for 8 days. Finally, TB decolorization by biosorption mechanism was spectrophotometrically determined measuring the difference between the decolorization reached with the active biomass and the biomass subjected to heat treatment (inert biomass).

2.3.4. Statistical analysis

All results were analyzed using the statistical software STATGRAPHICS Centurion XVI®. The response surfaces were analyzed based on second-order polynomial models.

3 Results

3.1 Evaluation of wastewater decolorization dyed with TB

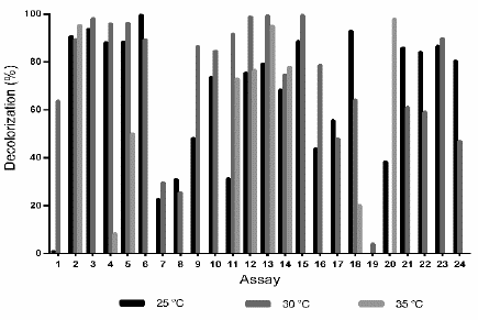
After developing the assays described in Table 1, at 25 °C the highest D% (99.6%) was obtained with the conditions of assay 6 (pH 7.05, 0.6 mM 2,5-dimethylaniline, 12.5 g L-1 glucose, 10.1 g L -1 ammonium tartrate and in the absence of copper sulfate). Similarly, at 30 °C a 99.4% of decolorization was achieved under the conditions of the assay 15 (pH 7.06, 1 mM 2,5-dimethylaniline, 12.5 g L-1 glucose, 10.1 g L-1 ammonium tartrate and 1.6 mM CuSO4 5H2O); while at 35 °C the highest decolorization (97.9%) was achieved with assay 20 (pH 3.04, 0.2 mM 2.5-dimethylaniline, 5 g L-1 glucose, 0.2 g L-1 ammonium tartrate and 0.2 mM CuSO4 5H2O). Overall, in most of the experiments carried out at 25 °C and 30 °C, high D% values were obtained, indicating that at these temperatures the decolorization process enhances; whereas, at 35 °C, except to assay 2 (D%= 95; pH 3.03, 0.2 mM 2.5-dimethylaniline, 20 g L-1 glucose, 0.2 g L-1 ammonium tartrate and 3 mM CuSO4 5H2O) and assay 20 (D% = 98), most of the experiments showed low D% or nulls (Fig. 2).

Decolorization percentage (D%) of wastewaters dyed with TB (200 mg L-1), by action of the fungus Leptosphaerulina sp. at 25 °C, 30 °C and 35 °C, 200 rpm, t= 15 days.

Figure 2: Decolorization percentage (D%) of wastewaters dyed with TB (200 mg L-1), by action of the fungus Leptosphaerulina sp. at 25 °C, 30 °C and 35 °C, 200 rpm, t= 15 days.

Source: The authors.

Table 2: Experimental design to evaluate TB removal by Leptosphaerulina sp. at 28 °C, t= 15 days.

Source: The authors.

Decolorization percentages (D%) of the waters dyed with TB dye by Leptosphaerulina sp. Experimental conditions: 28 °C, 200 rpm, t= 15 days.

Figure 3: Decolorization percentages (D%) of the waters dyed with TB dye by Leptosphaerulina sp. Experimental conditions: 28 °C, 200 rpm, t= 15 days.

Source: The authors.

Decolorization percentage (D%) of TB by Leptosphaerulina sp., under conditions of the experimental design specified in Table 3. Experimental conditions: 28 °C, 200 rpm, t= 8 days.

Figure 4: Decolorization percentage (D%) of TB by Leptosphaerulina sp., under conditions of the experimental design specified in Table 3. Experimental conditions: 28 °C, 200 rpm, t= 8 days.

Source: The authors.

Table 3: Central composite design for optimization of D% of TB by Leptosphaerulina sp., depending on pH and ammonium tartrate.

Source: The authors.

Estimated response surface for the decolorization percentage (D%) of TB, by Leptosphaerulina sp. (t= 8 days), depending on pH and ammonium tartrate.

Figure 5: Estimated response surface for the decolorization percentage (D%) of TB, by Leptosphaerulina sp. (t= 8 days), depending on pH and ammonium tartrate.

Source: The authors.

The previous results led to the proposal of a second response surface experimental design, of 23 assays (Table 2), considering a fixed temperature at 28 °C, in-between those in which the experiments had better outcomes (25 °C and 30 °C). In addition, copper sulfate was excluded and the glucose concentration was fixed at 10 g L-1, owing to the fact that these compounds did not have a significant impact on the response variables obtained in the first experimental design (Table 1). When developing the experiments at 28 °C, decolorization percentages higher than 75% were obtained, with the exception of assay 7, which was near to 70% (Fig. 3).

In Table S1 is observed that ammonium tartrate and the interaction between pH and ammonium tartrate had a significant effect on TB removal at 28 °C. Similarly, variance analysis results suggest that the optimization of the process does not require 2,5-dimethylalanine (p-value > 0.05). For that reason, the effect of the same factors was evaluated, through a central composite design that included pH values in the range 4.58 - 7.41 and ammonium tartrate between 1.89 and 23.11 g L-1, giving rise to 16 assays (Table 3).

Table S2 shows the significance of the effects that make up the model adjusted for the design specified in Table 3. Both, the lineal and the quadratic effect of the pH on the D% are significant (p-value < 0.05). Likewise, ammonium tartrate and its interaction with the pH have a significant effect on TB removal. Fig. 4 shows the results obtained for the assays under the conditions specified by Table 3. The adjusted model explained 92.79% of the variability in the TB decolorization, at day 8. The optimization indicates that decolorization was maximized when the process was conducted at pH 6 and with a concentration of ammonium tartrate of 23.11 g L-1 (Fig. 5). The regression equation that fitted to the models for D% at day 8 is shown below (eq. (2)):

Where X1 is the pH y X2 is ammonium tartrate concentration.

To corroborate the above-described results, another central composite design was done, exploring a region around the point obtained as optimum (pH 6 and ammonium tartrate 23 g L-1) (Table 4). As presented in Fig. 6, to all assays except the assay 5, TB removal was ~ 100%.

TB removal (%) by Leptosphaerulina sp. (t= 8 days), under the experimental design specified in Table 4.

Figure 6: TB removal (%) by Leptosphaerulina sp. (t= 8 days), under the experimental design specified in Table 4.

Source: The authors.

Considering that the design explores a narrow region around the optimum, the adjusted model was approximated as a horizontal plane; consistently, significant effects of the studied variables were not observed. This signifies that a decolorization ~100% was expected for any combination of the factors in the evaluated region, which is coherent with results in Fig. 6.

3.2 Enzymatic activities

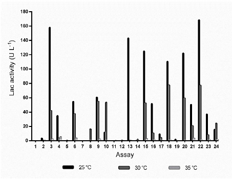
In order to know the relationship between the enzymatic activity of Leptosphaerulina sp. fungus and its capacity to remove the TB dye in aqueous solution, the enzymatic activities Lac, MnP and LiP were determined for all assays of the experimental designs registered in Table 1, 2 and 3. In Fig. S1 Lac activity was presented. MnP activity was low in all evaluated cultures (data not shown) and LiP activity was not registered in any experiment.

When the design of Table 1, at 25 °C, was analyzed for enzymatic activities, the assays 3, 13, and 22 reached the highest Lac activity with the latter having 168 U L-1 (Fig. S1) while at 30 and 35 °C the predominant Lac activities only reached values of 77.5 UL-1 (assay 18) and 5.7 U L-1 (assay 4), respectively.

In the experiments at 28 °C (Table 2), the predominant Lac activity (129 U L-1), was obtained with the combination of factors of the assay 5 (Fig. S2). Such activity was superior to that found by Babic et al. (2012) using a similar statistical methodology, who reported 41 U L-1 in a bioremediation study [47]. In addition, in assay 8, 14.43 U L-1 of MnP activity was measured (results not shown). Novotny, et al., (2004), used a similar methodology based on response surfaces and reported a maximum Lac activity of 46 U L-1 and MnP activity of 204 U L-1 [48].

In the confirmatory experimental design (Table 4), the maximum value of Lac enzymatic activity (197.068 U L-1) was reached with the condition of assay 1 (Fig. S3); however, a statistically significant relationship between enzymatic activity and the input variables in this design (pH and ammonium tartrate) was not observed.

As observed in Fig. S4, there was not a relationship between D% and the Lac activity. In the evaluated region, for all assays D% ~ 100% were obtained, without a correlation with the enzymatic activity. This result suggests that the TB was removed by a mechanism different from the enzymatic. This result coincided with the qualitative evaluation of TB removal by Leptosphaerulina sp. As it can be seen in Fig. S5 the fungus grows in pellet shape, which was clearly dyed with TB, indicating that biomass sorbed the dye. Confronting the quantitative and qualitative results, it can be estimated that under the operating conditions of this research, Leptosphaerulina sp. removed the dye mainly by the biosorption mechanism, with a good performance.

3.3 Quantification of dyestuff TB sorbed by Leptosphaerulina sp. biomass

As previously stated, dyes can be decolorized by degradation through enzymatic machinery of the fungi or by biosorption into the cell wall; to distinguish between these two possibilities, we evaluated the desorption of TB using different solvents and sonication but the dye was strongly joined to the biomass and it was not possible to recover the dye in this way. Therefore, this was not a suitable methodology to quantify adsorption capacity by fungal biomass of Leptosphaerulina sp. even though this has been successfully employed with residual materials of plants [46]. As a result, another methodology was proposed, which consisted of the utilization of inactive biomass of Leptosphaerulina sp. in contact with TB and gently agitated during 8 days. By using this procedure was estimated that the TB decolorization by Leptosphaerulina sp. was carried out mainly by sorption mechanism (D% of 89%).

Table 4: Central composite design to explore the region around the suitable condition (pH 6 and ammonium tartrate 23 g L-1) to remove TB.

Source: The authors.

4 Discussion

Development of this research conducts to an optimum region for TB removal in aqueous solution by Leptosphaerulina sp., characterized by a culture media with pH between 5.5 and 6.5 and a source of nitrogen (ammonium tartrate), with concentrations of 21 g L-1 to 25 g L-1. In such region, ~100% of decolorization of dyed wastewater was reached; given that a direct relationship between the enzymatic activity and dye removal was not observed, we estimated that 89% that was decolorized corresponds to sorption phenomenon of the dye over the cell wall of the fungus and the remaining (10%) to oxidation of dye due to the effect of ligninolytic enzymes of the fungus, mainly Lac. Although this arose from the experiments of the central composite design (Table 3, Fig. S4), only until developing the biosorption experiment of TB dye on the biomass of Leptosphaerulina sp., the combined effect of sorption-enzymatic oxidation could be established with greater certainty, with superior participation of the biosorption phenomenon. This combined activity of sorption-oxidation was also reported by Plácido et al., (2016), who determined D% of dyed wastewater with Novacron Red and Remazol Black, using Leptosphaerulina sp. reaching 90% of decolorization by sorption and 5% due to enzymatic activity [37].

In terms of D% (~100%), the results found in this research are comparable with those obtained by Kirby et al., (1997), who prepared a synthetic matrix with 8 dyes and used the Phanerochaete chrysosporium and Coriolus versicolor fungi achieving 99% and 98% of decolorization, respectively [49].

This finding is also consistent with the report of Senthilkumar et al. (2014), who achieved a D% of 98% of Amido black 10B dye by using Phanerochaete chrysosporium. These authors noted a correlation between high decolorization and high enzymatic activity [50]. Kumari and Naraian (2016), reported 98% of brilliant green decolorization with the co-culture of Pleurotus florida and Rhizoctonia solani. In addition, Lac and MnP enzyme extract of these two strains showed the capacity to degrade the dye [50,51]; however, our outcome differs of the previously cited studies because they noticed a greater reduction of color with maximum levels of ligninolytic enzymes, such as MnP and Lac, whose production was stimulated by the presence of dyes while in our study, there was not a correlation between enzymatic activity and D% by Leptosphaerulina sp. the native Colombian fungus.

The statistical analysis showed a great influence of pH over the TB sorption, which has an anionic chemical nature. In all the experiments made, the pH range was in the acidic region of the scale (5.5-6.5) reaching D% higher than 90% in all cases. This finding is consistent with that of Taçtan et al., (2012), who identified an optimum pH 6 for the bioremotion of Maxilon Red GRL, Everdirect Fast Black and Brillant Blue R by the action of Aspergillus versicolor fungus. Particularly, with the Everdirect Fast Black, they observed the fastest uptake and a decolorization of 100% [52]. These results are also in agreement with those obtained by Corso et al., (2012), which found that decolorization of dyed wastewater with Direct Red 23 and Direct Violet 51, is given by sorption mechanism on Aspergillus oryzae pellets and that proceeds better at a pH 2.5 [28]. Similarly, Aksu & Çagatay (2006), found that pH is one of the most influential variables in Gemazol Turquise Blue-G adsoprtion on the cell wall of Rhizopus arrhizus, with a maximum adsorption at pH 2.0 [53]. Likewise, the biomass of Aspergillus niger showed the capacity to adsorb the azo dye Procion Red MX-5B at pH 4.0 reducing the color up to 30% and significantly decreasing the toxicity of the solution [54]. Thus, the above-cited authors coincide that low pH values favor removal of anionic dyes, such as phthalocyanine dyes, by sorption mechanism, although we suggest that when using active biomass, it is needed that the value of this variable also allows a rapid microbial growth.

Sorption capacity of the microorganisms is attributed to heteropolysaccharides and lipids composing the cell wall, which contain in their chemical structure different functional groups such as amino, carboxyl, hydroxyl, phosphate, and other charged groups, which cause attractive forces between dyes, compounds of anionic structures, and the cell wall. Some authors [55-57] reported that the removal of anionic dyes in aqueous medium due to sorption phenomenon in fungal biomass is favored at acid pH, since the protonation of weak bases present in the cell wall is increased, acquiring a positive net charge, which subsequently joins with the anionic groups of the dye.

Nitrogen source was the other operational variable with a determinant role in TB bioremediation by Leptosphaerulina sp. These results match those observed in an earlier study by Kapdan et al. (2000), who achieved 96% of decolorization of the phthalocyanine dye Everzol Turquoise Blue in aqueous solution with the species Coriolus versicolor, in presence of ammonium tartrate, one of the most used salts as nitrogen source in fungal decolorization of dyes; nonetheless, the previously mentioned authors recommend to use urea as nitrogen source because is cheaper as well as to use a low concentration of nitrogen for an effective removal of color, an outcome which is contrary to the results of the present study [58]. Likewise, most recent studies have analyzed the role of nitrogen sources in dyes decolorization. Tehrani et al. (2014) have reported that the addition of ammonium chloride supported decolorization of pigment yellow (PY-74) and reactive blue (RB-38) using different fungal strains, although the concentration of this compound was significantly low (0.2 g L-1) compared with the used in the present study [59]. Nitrogen source showed a marked impact in D% of dye Navy blue HER (Reactive Blue 171) using the fungal strain Marasmius sp. BBKAV79 with the maximum decolorization being reached when peptone was the nitrogen source, while there was no decolorization in the presence of urea and ammonium chloride which differs from the findings presented here [60].

In addition, it was observed that when performing the bioprocess to decolor waters stained with TB (200 mg L-1) with Leptosphaerulina sp. and applying the optimal values for the significant variables, ammonium tartrate and pH, 99% is achieved of decolorization in two days of culture (data not shown). In accordance with the present results, previous studies have demonstrated that biosorption involves a faster removal of a large number of dyes, which facilitates the removal of the source of toxicity [28]. This study also supports our deduction, in that decolorization of the TB by Leptosphaerulina sp. fungus, gives priority to the mechanism of biosorption (D% 89) over the enzymatic (D% 10). In agreement with the present results, previous studies have demonstrated that this dual decolorization mechanism (biodegradationbiosorption) is present in many fungal species e.g. Aspergillus niger and Phanerochaete chrysosporium [61].

The experiments carried out indicate that Leptosphaerulina sp. the native fungus of Colombia could be used for the removal of phthalocyanine TB in vivo or as inactive biomass. In the first case, we propose the growth of the fungus in pellets because it favors the sorption as stated by other authors [28] since there is a larger superficial area, which is translated in a better enzymatic and physic contact with the surroundings [57]. As such, probably the decolorization at the present research was favored by Leptosphaerulina sp. growth in pellets (Fig. S5). The morphology of the biomass is an important feature of the culture because it affects decolorization process efficiency, as an example, aerobic granular sludge has a much higher conversion capacity of pollutants in wastewater due to the higher active biomass concentration which in turns has the ability to degrade or adsorb contaminant present in solution, consequently, aerobic granular sludge has been successfully employed as adsorbent material to capture dyes Acid Yellow 17, Yellow 2G and Reactive Brilliant Red K-2G from aqueous solutions [62]. Furthermore, the morphology attained in our experiments facilitates solids-liquid separation processes due to superior settling properties [63,64].

One possible advantage of inactive biomass is that by applying it, operating costs would be reduced, with which the potential for industrial application increases. For this purpose, packed-bed type reactors could be used, as Charumathi & Das (2012) did, by using non-living biomass of yeast Candida tropicalis, as an efficient bio-adsorbent, for the removal of synthetic dyes present in wastewater [65]. Moreover, the characteristics of the cell surface of the biomass (sorbent), in relation to the dye adsorption mechanisms, can be improved by subjecting it to heat, as in the present study. It is assumed that this treatment can lead to an increase in cell surface charges or openly available sites for adsorption and improves ion exchange [66]. Non-viable biomass of Aspergillus fumigatus showed an improved capacity to remove methylene blue from aqueous solution when treated by heat [67].

Finally, owing to the ability of Leptosphaerulina sp. to remove TB dye from aqueous solution and the numerous studies reporting biosorption capabilities of different fungal strains to uptake diverse kinds of pollutants, such as dyes [68] and heavy metals [69], future studies for biomass characterization of Leptosphaerulina sp. are suggested to know adsorption capabilities and adsorption kinetics of this low cost and easy-to-obtain material.

5 Conclusions

The decolorization process of water doped with the TB synthetic dye, using Leptosphaerulina sp. the native fungus achieved near 99% removal, based mainly on the removal of the dye by sorption mechanism (89%). Although ligninolytic enzymatic activity (10%) is present, there is no direct relationship between the enzymatic activity and the removal of the dye. This allows considering the potential of the bioprocess, for applications in real matrices dyed with this type of dyes. The response surfaces experimental design based on a central composite design, allowed determining the optimal conditions (pH and ammonium tartrate concentration) to decolorize TB. The pH showed to be a fundamental variable in the decolorization process of waters dyed with TB, favoring the biosorption phenomenon. The biomass of Leptosphaerulina sp., in the range of pH 5.5-6.5, is an excellent adsorbent for the removal of dyes in water.

Acknowledgements

Acknowledgments

The authors thank Fabricato-Tejicondor S.A for providing the TB dye. Caicedo-Montoya C. would like to thank Avendano-Monsalve M.C. for the support in the experimental development. Copete-Pertuz L.S. thanks Chocó state Government and MINCIENCIAS for her PhD fellowship from February 2015 - December 2018 (Convocatoria 694 de 2014: Formación de capital humano para el departamento del Chocó - Doctorado Nacional).

References

  1. [1] Lellis, B., Fávaro-Polonio, C.Z., Pamphile, J.A. and Polonio, J.C., Effects of textile dyes on health and the environment and bioremediation potential of living organisms. Biotechnol. Res. Innov., 3, pp. 275-290, 2019. DOI: https://doi.org/10.1016/j.biori.2019.09.001. [URL] 🠔
  2. [2] Dawood, S. and Sen, T.K., Review on dye removal from its aqueous solution into alternative cost effective and non-conventional adsorbents. J Chem Proc Eng., 1, art. 104, 2014. 🠔
  3. [3] Benkhaya, S., M'Rabet, S. and El-Harfi, A., A review on classifications, recent synthesis and applications of textile dyes. Inorg. Chem. Commun., 115, art. 107891, 2020. DOI: https://doi.org/10.1016/j.inoche.2020.107891. [URL] 🠔
  4. [4] Cova, T.F.G.G., Pais, A.A.C.C. and Seixas-De Melo, J.S., Reconstructing the historical synthesis of mauveine from Perkin and Caro: procedure and details. Sci. Rep., 7, pp. 1-9, 2017. DOI: https://doi.org/10.1038/s41598-017-07239-z. [URL] 🠔
  5. [5] Hunger, K., Industrial Dyes Chemistry, properties, applications. Wiley-VCH, Weinheim, Germany, 2003. 🠔
  6. [6] Gupta, V.K., Khamparia, S., Tyagi, I., Jaspal, D. and Malviya, A., Decolorization of mixture of dyes: a critical review. Glob. J. Environ. Sci. Manag., 1, pp. 71-94, 2015. DOI: https://doi.org/10.7508/giesm.2015.01.007. [URL] 🠔
  7. [7] Karimifard, S., Reza, M. and Moghaddam, A., Application of response surface methodology in physicochemical removal of dyes from wastewater: a critical review. Sci. Total Environ., 640-641, pp. 772-797, 2018. DOI: https://doi.org/10.1016/j.scitotenv.2018.05.355. [URL] 🠔
  8. [8] Katheresan, V., Kansedo, J. and Lau, S.Y., Efficiency of various recent wastewater dye removal methods: a review. J. Environ. Chem. Eng., 6, pp. 4676-4697, 2018. DOI: https://doi.org/10.1016/jjece.2018.06.060. [URL] 🠔
  9. [9] Islam, M. and Mostafa, M., Textile dyeing effluents and environment concerns - A review. J. Environ. Sci. Nat. Resour., 11, pp. 131-144, 2019. DOI: https://doi.org/10.3329/jesnr.v11i1-2.43380. [URL] 🠔
  10. [10] Pavithra, K.G., Kumar, P.S., Jaikumar, V. and Rajan, P.S., Removal of colorants from wastewater: a review on sources and treatment strategies. J. Ind. Eng. Chem., 75, pp. 1-19, 2019. DOI: https://doi.org/10.1016/j.jiec.2019.02.011. [URL] 🠔
  11. [11] Rehman, K. et al., Effect of reactive Black 5 azo dye on soil processes related to C and N cycling. Peer J., 1, pp. 1-14, 2018. DOI: https://doi.org/10.7717/peerj.4802. [URL] 🠔
  12. [12] Jin, X. and Ning, Y., Laccase production optimization by response surface methodology with Aspergillus fumigatus AF1 in unique inexpensive medium and decolorization of different dyes with the crude enzyme or fungal pellets. J. Hazard. Mater., 262, pp. 870-877, 2013. DOI: https://doi.org/10.1016/j.jhazmat.2013.09.024. [URL] 🠔
  13. [13] Vital, R.K., Saibaba, K.V.N. and Shaik, K.B., Dye removal by adsorption: a review. J. Bioremediation Biodegrad., 7, art. 371, 2016. DOI: https://doi.org/10.4172/2155-6199.1000371. [URL] 🠔
  14. [14] Hassan, M.M. and Carr, C.M., A critical review on recent advancements of the removal of reactive dyes from dyehouse effluent by ion-exchange adsorbents. Chemosphere, 209, pp. 201-219, 2018. DOI: https://doi.org/10.1016/j.chemosphere.2018.06.043. [URL] 🠔
  15. [15] Ismail, M. et al., Pollution, toxicity and carcinogenicity of organic dyes and their catalytic Bio-Remediation. Curr. Pharm. Des., 25(34), pp. 3645-3663, 2019. DOI: https://doi.org/:10.2174/1381612825666191021142026 [URL] 🠔
  16. [16] Sarkar, S., Banerjee, A., Halder, U., Biswas, R. and Bandopadhyay, R., Degradation of synthetic azo dyes of textile industry: a sustainable approach using microbial enzymes. Water Conserv. Sci. Eng. 2, pp. 121-131, 2017. DOI: https://doi.org/10.1007/s41101-017-0031-5. [URL] 🠔
  17. [17] Rahman, F., The treatment of industrial effluents for the discharge of textile dyes using by techniques and adsorbents. J. Text. Sci. Eng. 6, pp. 1-9, 2016. DOI: https://doi.org/10.1007/978-3-319-77386-5_10. [URL] 🠔
  18. [18] Meena, H. and Busi, S., Biosorption of dye and heavy metal pollutants by fungal biomass: a sustainable approach. In: Prasad, R., Eds., Mycoremediation and Environmental Sustainability. Fungal Biology book series. Springer, Cham., 2018, pp 253-271. DOI: https://doi.org/10.1007/978-3-319-77386-5_10 [URL] 🠔
  19. [19] Argumedo-Delira, R., Gómez-Martínez, M.J. and Uribe-Kaffure, R., Trichoderma biomass as an alternative for removal of congo red and malachite green industrial dyes. Appl. Sci. 11, pp. 1-15, 2021. DOI: https://doi.org/10.3390/app11010448. [URL] 🠔
  20. [20] Blanco, J., Torrades, F., Morón, M., Brouta-Agnésa, M. and García-Montano, J., Photo-Fenton and sequencing batch reactor coupled to photo-Fenton processes for textile wastewater reclamation: Feasibility of reuse in dyeing processes. Chem. Eng. J., 240, pp. 469-475, 2014. DOI: https://doi.org/10.1016/j.cej.2013.10.101. [URL] 🠔
  21. [21] Copete-Pertuz L.S. et al., Decolorization ofreactive black 5 dye by heterogeneous photocatalysis with TiO2 /UV. Rev. Colomb. Química, 47, pp. 36-44, 2018. DOI: https://doi.org/doi.org/10.15446/rev.colomb.quim.v47n2.67922. [URL] 🠔
  22. [22] Garcia-Segura, S., Ocon, J.D. and Nan, M., Electrochemical oxidation remediation of real wastewater effluents - A review. Process Saf. Environ. Prot., 113, pp. 48-67, 2017. DOI: https://doi.org/10.1016/j.psep.2017.09.014. [URL] 🠔
  23. [23] Méndez, J., Blanco, L. and Salas, M., Protein-primed DNA replication: a transition between two modes of priming by a unique DNA polymerase. EMBO J., 16, pp. 2519-2527, 1997. 🠔
  24. [24] Imran, M., Crowley, D.E. and Khalid, A., Microbial biotechnology for decolorization of textile wastewaters Microbial biotechnology for decolorization of textile wastewaters. Rev Env. Sci Biotechnol., 14, pp. 73-92, 2014. DOI: https://doi.org/10.1007/s11157-014-9344-4. [URL] 🠔
  25. [25] Copete-Pertuz, L.S., Plácido, J., Serna-Galvis, E.A., Torres-Palma, R.A. and Mora, A., Elimination of Isoxazolyl-Penicillins antibiotics in waters by the ligninolytic native Colombian strain Leptosphaerulina sp. considerations on biodegradation process and antimicrobial activity removal. Sci. Total Environ., 630, pp. 1195-1204, 2018. DOI: https://doi.org/10.1016/j.scitotenv.2018.02.244. [URL] 🠔
  26. [26] Vikrant, K. et al., Recent advancements in bioremediation of dye: current status and challenges. Bioresour. Technol. 253, pp. 355-367, 2018. DOI: https://doi.org/10.1016/j.biortech.2018.01.029. [URL] 🠔
  27. [27] Mojsov, K.D., Andronikov, D., Janevski, A., Kuzelov, A. and Gaber, S., The application of enzymes for the removal of dyes from. Adv. Technol. 5, pp. 81-86, 2016. 🠔
  28. [28] Corso, C.R. et al., Bioremediation of direct dyes in simulated textile effluents by a paramorphogenic form of Aspergillus oryzae. Water Sci. Technol., 65, pp. 1490-1495, 2012. DOI: https://doi.org/10.2166/wst.2012.037. [URL] 🠔
  29. [29] Soundharya, K., Rashika, B., Mounica, R. and Masi, C., Enzymatic treatment of effluents from textile industries. J. Chem. Pharm. Res., 8, pp. 382-389, 2016. 🠔
  30. [30] Rauf, M.A. and Salman-Ashraf, S., Survey of recent trends in biochemically assisted degradation of dyes. Chem. Eng. J., 209, pp. 520-530, 2012. DOI: https://doi.org/10.1016/j.cej.2012.08.015. [URL] 🠔
  31. [31] Adeniyi, A.G. and Ighalo, J.O., Biosorption of pollutants by plant leaves: an empirical review. J. Environ. Chem. Eng., 7, art. 103100, 2019. DOI: https://doi.org/10.1016/j.jece.2019.103100. [URL] 🠔
  32. [32] Lu, T., Zhang, Q.L. and Yao, S.J., (). Application of biosorption and biodegradation functions of fungi in wastewater and sludge treatment. In: Purchase, D., Eds., Fungal Applications in Sustainable Environmental Biotechnology. Fungal Biology book series. Springer, Cham., 2016, pp. 65-90. https://doi.org/10.1007/978-3-319-42852-9_4 [URL] 🠔
  33. [33] Beni, A.A. and Esmaeili, A., Biosorption, an efficient method for removing heavy metals from industrial effluents: a review., Environ. Technol. Innov. 17, art. 100503, 2020. DOI: https://doi.org/10.1016/j.eti.2019.100503. [URL] 🠔
  34. [34] Srinivasan, A. and Viraraghavan, T., Decolorization of dye wastewaters by biosorbents: a review. J. Environ. Manage. 91, pp. 1915-1929, 2010. DOI: https://doi.org/10.1016/j.jenvman.2010.05.003. [URL] 🠔
  35. [35] Rangabhashiyam, S., Suganya, E., Selvaraju, N. and Varghese, L.A. Significance of exploiting non-living biomaterials for the biosorption of wastewater pollutants. World J. Microbiol. Biotechnol., 30, pp. 1669-1689, 2014. DOI: https://doi.org/10.1007/s11274-014-1599-y. [URL] 🠔
  36. [36] Copete, L.S. et al., Identification and characterization of laccase-type multicopper oxidases involved in dye-decolorization by the fungus Leptosphaerulina sp. BMC Biotechnol. 15, art. 74, 2015. DOI: https://doi.org/10.1186/s12896-015-0192-2. [URL] 🠔
  37. [37] Plácido, J., Chanagá, X., Ortiz-Monsalve, S., Yepes, M. and Mora, A., Degradation and detoxification of synthetic dyes and textile industry effluents by newly isolated Leptosphaerulina sp. from Colombia. Bioresour. Bioprocess. 3, art. 6, 2016. DOI: https://doi.org/10.1186/s40643-016-0084-x. [URL] 🠔
  38. [38] Aghaie-Khouzani, M., Forootanfar, H., Moshfegh, M., Khoshayand, M.R. and Faramarzi, M.A., Decolorization of some synthetic dyes using optimized culture broth of laccase producing ascomycete Paraconiothyrium variabile. Biochem. Eng. J., 60, pp. 9-15, 2012. DOI: https://doi.org/10.1016/j.bej.2011.09.002. [URL] 🠔
  39. [39] Simon, L.T., Bishop, D.S. and Hooper, G.R., Ultrastructure and cytochemical localization of laccase in two strains of Leptosphaerulina briosiana (Pollaci) Graham and Luttrell. J. Bacteriol., 137, pp. 537-544, 1979. 🠔
  40. [40] Chanagá-Vera, X., Plácido-Escobar, J., Marín-Montoya, M. y Yepes-Pérez, M.D.S., Hongos nativos con potencial degradador de tintes industriales en el Valle de Aburrá, Colombia. Rev. Fac. Nac. Agron. Medellín 65, pp. 6811-6821, 2012. 🠔
  41. [41] Sajben-Nagy, E. et al., Characterization of an extracellular laccase of Leptosphaerulina chartarum. World J. Microbiol. Biotechnol. 30, pp. 2449-2458, 2014. DOI: https://doi.org/10.1007/s11274-014-1670-8. [URL] 🠔
  42. [42] Bali, U. and Karagözoglu, B., Decolorization of Remazol-Turquoise Blue G-133 and other dyes by Cu(II)/pyridine/H2O2 system. Dye. Pigment., 73, pp. 133-140, 2007. DOI: https://doi.org/10.1016/j.dyepig.2005.11.003. [URL] 🠔
  43. [43] Marchis, T. et al., Oxidative degradation of Remazol Turquoise Blue G 133 by soybean peroxidase. J. Inorg. Biochem., 105, pp. 321-327, 2011. DOI: https://doi.org/10.1016/j.jinorgbio.2010.11.009. [URL] 🠔
  44. [44] Copete-Pertuz, L.S., Alandete-Novoa, F., Plácido, J., Correa-Londono, G.A. and Mora-Martínez, A.L., Enhancement of ligninolytic enzymes production and decolourising activity in Leptosphaerulina sp. by co-cultivation with Trichoderma viride and Aspergillus terreus., Sci. Total Environ., 646, pp. 1536-1545, 2019. DOI: https://doi.org/10.1016/j.scitotenv.2018.07.387. [URL] 🠔
  45. [45] Pérez-Grisales, S., Castrillón-Tobón, M., Copete-Pertuz, L.S., Plácido, J. and Mora-Martínez, A.L., Biotransformation of the antibiotic agent cephadroxyl and the synthetic dye Reactive Black 5 by Leptosphaerulina sp. immobilised on Luffa (Luffa cylindrica) sponge. Biocatal. Agric. Biotechnol., 18, art. 101051, 2019. DOI: https://doi.org/10.1016/j.bcab.2019.101051. [URL] 🠔
  46. [46] Robinson, T., Chandran, B. and Nigam, P., Studies on desorption of individual textile dyes and a synthetic dye effluent from dye-adsorbed agricultural residues using solvents. Bioresour. Technol., 84, pp. 299-301, 2002. DOI: https://doi.org/10.1016/S0960-8524(02)00039-1. [URL] 🠔
  47. [47] Babic, J., Likozar, B. and Pavko, A., Optimization of ligninolytic enzyme activity and production rate with Ceriporiopsis subvermispora for application in bioremediation by varying submerged media composition and growth immobilization support. Int. J. Mol. Sci., 13, pp. 11365-11384, 2012. DOI: https://doi.org/10.3390/ijms130911365. [URL] 🠔
  48. [48] Novotny, C., Svobodová, K., Kasinath, A. and Erbanová, P., Biodegradation of synthetic dyes by Irpex lacteus under various growth conditions. Int. Biodeterior. Biodegrad. 54, pp. 215-223, 2004. DOI: https://doi.org/10.1016/j.ibiod.2004.06.003. [URL] 🠔
  49. [49] Kirby, N., McMullan, G. and Marchant, R., Bioremediation of textile industry wastewater by white-rot fungi. Glob. Enviromental Biotechnol., 66, pp. 711-718, 1997. 🠔
  50. [50] Senthilkumar, S., Perumalsamy, M. and Prabhu, H.J., Decolourization potential of white-rot fungus Phanerochaete chrysosporium on synthetic dye bath effluent containing Amido black 10B. J. Saudi Chem. Soc., 18, pp. 845-853, 2014. DOI: https://doi.org/10.1016/j.jscs.2011.10.010. [URL] 🠔
  51. [51] Kumari, S. and Naraian, R., Decolorization of synthetic brilliant green carpet industry dye through fungal co-culture technology. J. Environ. Manage. ,180, pp. 172-179, 2016. DOI: https://doi.org/10.1016/j.jenvman.2016.04.060. [URL] 🠔
  52. [52] Tastan, B.E., Karatay, S.E. and Dönmez, G., Bioremoval of textile dyes with different chemical structures by Aspergillus versicolor in molasses medium. Water Sci. Technol., 66, art. 2177, 2012. DOI: https://doi.org/10.2166/wst.2012.441. [URL] 🠔
  53. [53] Aksu, Z. and Çagatay, S.S., Investigation of biosorption of Gemazol Turquise Blue-G reactive dye by dried Rhizopus arrhizus in batch and continuous systems. Sep. Purif. Technol., 48, pp. 24-35, 2006. DOI: https://doi.org/10.1016/j.seppur.2005.07.017. [URL] 🠔
  54. [54] Almeida, E.J.R. and Corso, C.R., Chemosphere comparative study of toxicity of azo dye Procion Red MX-5B following biosorption and biodegradation treatments with the fungi Aspergillus niger and Aspergillus terreus. Chemosphere, 112, pp. 317-322, 2014. DOI: https://doi.org/10.1016/j.chemosphere.2014.04.060. [URL] 🠔
  55. [55] Kyzas, G.Z., Fu, J. and Matis, K.A., The change from past to future for adsorbent materials in treatment of dyeing wastewaters. Materials (Basel). pp. 5131-5158, 2013. DOI: https://doi.org/10.3390/ma6115131. [URL] 🠔
  56. [56] Solís, M., Solís, A., Pérez, H.I., Manjarrez, N. and Flores, M., Microbial decolouration of azo dyes: a review. Process Biochem., 47, pp. 1723-1748, 2012. DOI: https://doi.org/10.1016/j.procbio.2012.08.014. [URL] 🠔
  57. [57] Kaushik, P. and Malik, A., Fungal dye decolourization: recent advances and future potential. Environ. Int., 35, pp. 127-141, 2009. DOI: https://doi.org/10.1016/j.envint.2008.05.010. [URL] 🠔
  58. [58] Kapdan, I.K., Kargia, F., McMullan, G. and Marchant, R., Effect of environmental conditions on biological decolorization of textile dyestuffby C. versicolor. Enzyme Microb. Technol., 26, pp. 381-387, 2000. DOI: https://doi.org/10.1016/S0141-0229(99)00168-4. [URL] 🠔
  59. [59] Tehrani, M.M., Assadi, M.M. and Rashedi, H., Biodecolorization of textile effluents by autochthonous Fungi. J. Appl. Biotechnol. Reports, 1, pp. 161-165, 2014. 🠔
  60. [60] Vantamuri, A.B. and Kaliwal, B.B., Decolourization and biodegradation of Navy blue HER (Reactive Blue 171) dye from Marasmius sp. BBKAV79. 3 Biotech 7, pp. 1-7, 2017. DOI: https://doi.org/10.1007/s13205-017-0673-1. [URL] 🠔
  61. [61] Rani, B. et al., Bioremediation of dyes by fungi isolated from contaminated dye effluent sites for bio-usability. Brazilian J. Microbiol., 45, pp. 1055-1063, 2014. DOI: https://doi.org/10.1590/S1517-83822014000300039. [URL] 🠔
  62. [62] Gao, J., Zhang, Q., Su, K. and Wang, J., Competitive biosorption of Yellow 2G and Reactive Brilliant Red K-2G onto inactive aerobic granules: simultaneous determination of two dyes by first-order derivative spectrophotometry and isotherm studies. Bioresour. Technol. 101, pp. 5793-5801, 2010. DOI: https://doi.org/10.1016/j.biortech.2010.02.091. [URL] 🠔
  63. [63] Maszenan, A.M., Liu, Y. and Jern, W., Bioremediation of wastewaters with recalcitrant organic compounds and metals by aerobic granules. Biotechnol. Adv., 29, pp. 111-123, 2011. DOI: https://doi.org/10.1016/j.biotechadv.2010.09.004. [URL] 🠔
  64. [64] Wang, L. et al., Recent advances on biosorption by aerobic granular sludge. J. Hazard. Mater., 357, pp. 253-270, 2018. DOI: https://doi.org/10.1016/j.jhazmat.2018.06.010. [URL] 🠔
  65. [65] Charumathi, D. and Das, N., Packed bed column studies for the removal of synthetic dyes from textile wastewater using immobilized dead C. tropicalis. Desalination, 285, pp. 22-30, 2012. DOI: https://doi.org/10.1016/j.desal.2011.09.023. [URL] 🠔
  66. [66] Bayramoglu, G. and Yakup-Arica, M., Biosorption of benzidine based textile dyes 'Direct Blue 1 and Direct Red 128' using native and heat-treated biomass of Trametes versicolor. J. Hazard. Mater., 143, pp. 135-143, 2007. DOI: https://doi.org/10.1016/j.jhazmat.2006.09.002. [URL] 🠔
  67. [67] Abdallah, R. and Taha, S., Biosorption of methylene blue from aqueous solution by nonviable Aspergillus fumigatus. Chem. Eng. J., 195-196, pp. 69-76, 2012. DOI: https://doi.org/10.1016/j.cej.2012.04.066. [URL] 🠔
  68. [68] Drumm, F.C. et al., Potentiality of the Phoma Sp. inactive fungal biomass, a waste from the bioherbicide production, for the treatment of colored effluents. Chemosphere, 235, pp. 596-605, 2019. DOI: https://doi.org/10.1016/j.chemosphere.2019.06.169. [URL] 🠔
  69. [69] Espinoza-Sánchez, M.A., Arévalo-Nino, K., Quintero-Zapata, I., Castro-González I. and Almaguer-Cantu, V., Cr (VI) adsorption from aqueous solution by fungal bioremediation based using Rhizopus sp. J. Environ. Manage., 251, 109-595, 2019. DOI: https://dd.org/10.1016/jjmvman.2019.109595. [URL] 🠔
Caicedo-Montoya, C., Copete-Pertuz, L.S., Correa-Londono, G.A., Mora-Martínez, A.L. and Yepes-Pérez, M., Decolorization of colored wastewaters with Turquoise Blue dye by the Leptosphaerulina sp. native Colombian fungus - Influence of operational parameters.. DYNA, 89(221), pp. 121-131, April - June, 2022.
received the BSc. Eng in Biological Engineering in 2014 from the Universidad Nacional de Colombia Medellin campus, the MSc. in Chemical Engineering in 2019 from the Universidad de Antioquia, Colombia. Currently, he is PhD student in Chemical Engineering and Lecturer at Universidad de Antioquia, Colombia. His research interests include bioinformatics and bioprocesses simulation. ORCID: 0000-0003-0040-8324
received the BSc. Eng in Biological Engineering in 2010, the MSc. in Biotechnology in 2014, and the Ph.D. in Biotechnology in 2019, all of them from the Universidad Nacional de Colombia Medellin campus, Colombia. Currently, she is scientific manager new business at Companía Nacional de Levaduras, Levapan (Tuluá, Valle del Cauca). Her research interests include microbiology, enzymology, bioprocesses, environmental biotechnology, and project management. ORCID: 0000-0001-5307-6488
received the BSc. Eng in Forest Engineering in 1996 from the Universidad Nacional de Colombia, Medellin campus, his MSc in Science-Statistical Specialty in 1999, from the Colegio de Postgraduados, Texcoco, Mexico, and the PhD in Applied Multivariate Statistics in 2008 from the Universidad de Salamanca, Salamanca, Spain. Since 1996, he has been a professor and researcher at the Department of Agronomic Sciences at the Universidad Nacional de Colombia, Medellin, Colombia. His research interests include natural sciences and statistics. ORCID: 0000-0001-7020-2546
received the BSc. title of Chemical in 1992 from the Universidad del Valle, Cali, Colombia. She received the MSc. in Chemistry in 1997 and the PhD. in Chemistry in 2006 both from the Universidad Industrial de Santander, Bucaramanga, Colombia. Since 2006 she is a professor and researcher at the School of Chemistry at the Universidad Nacional de Colombia, Medellin, Colombia. Her research interests include chemical, biological and analytical sciences, research methods in biochemistry, earth sciences and environment, and industrial biotechnology. ORCID: 0000-0002-3925-2278
received the BSc. title of Chemical in 1988 and the MSc. in Chemistry in 1996, both from the Universidad de Antioquia, Medellín, Colombia. Since 1996 she is a professor and researcher at the School of Chemistry at the Universidad Nacional de Colombia, Medellin, Colombia. Her research interests include chemical, biological and analytical sciences, research methods in biochemistry, microbial enzymes and food biochemistry. ORCID: 0000-0002-0523-6990

Supplementary material

Table S1: Analysis of variance for D% de TB by Leptosphaerulina sp., 28 °C, t= 15

DF: Degrees of Freedom

Source: The authors.

Table S2: p-values for the pH and ammonium tartrate during TB removal by

Source: The authors.

Lac activity from Leptosphaerulina sp. for experimental design assays of Table 1 at 25 °C, 30 °C and 35 °C, 200 rpm, t = 15 days.

Figure S1: Lac activity from Leptosphaerulina sp. for experimental design assays of Table 1 at 25 °C, 30 °C and 35 °C, 200 rpm, t = 15 days.

Source: The authors.

Lac activity from Leptosphaerulina sp. at 28 °C, 200 rpm, t= 15 days.

Figure S2: Lac activity from Leptosphaerulina sp. at 28 °C, 200 rpm, t= 15 days.

Source: The authors.

Lac activity measured in the confirmatory design assays (Table 4), t= 8 days.

Figure S3: Lac activity measured in the confirmatory design assays (Table 4), t= 8 days.

Source: The authors.

Lac activity vs D%.

Figure S4: Lac activity vs D%.

Source: The authors.

TB removal by Leptosphaerulina sp. (a) TB without biological treatment, at day 0, and (b) TB treated with Leptosphaerulina sp., at 8 days.

Figure S5: TB removal by Leptosphaerulina sp. (a) TB without biological treatment, at day 0, and (b) TB treated with Leptosphaerulina sp., at 8 days.

Source: The authors.