DYNA
0012-7353
2346-2183
Universidad Nacional de Colombia
https://doi.org/10.15446/dyna.v89n223.100302

Recibido: 29 de diciembre de 2021; Revision Received: 9 de junio de 2022; Aceptado: 23 de junio de 2022

Implementation of Software DESWIK® for a polymetallic deposit (Cu - Au)

Uso del software DESWIK® en un deposito polimetalico de Cu y Au

Y. Galvis Ocampo, a G. Sepúlveda, a

Universidad Nacional de Colombia, sede Medellín, Facultad de Minas, Grupo de Planeamiento Minero, Medellín, Colombia. ytgalviso@unal.edu.co, gfranco@unal.edu.co Universidad Nacional de Colombia Universidad Nacional de Colombia Facultad de Minas Medellín Colombia

Abstract

This article seeks to represent the step by step to obtain the economic valuation and the scheduling of a mining project, based on a hypothetical polymetallic deposit of Cu and Au, by applying the concepts of equivalent law to express the presence of the different metals in terms of a single mineral, the critical and marginal cut-off grade to define the economically viable limits of mining and the implementation of the DESWIK software package.

Keywords:

NVP, mine planning, pseudoflow, scheduling, cut-off.

Resumen

Con el presente artículo se busca representar el paso a paso para la obtención de la valoración económica y el agendamiento de un proyecto minero, basado en un yacimiento polimetálico hipotético de Cu y Au, mediante la aplicación de los conceptos de ley equivalente para expresar la presencia de los diferentes metales en términos de un solo mineral, la ley de corte crítica y marginal para definir los límites económicamente viables de minado y la implementación del paquete de software DESWIK.

Palabras clave:

VPN, planeación minera, algoritmo pseudoflow, agendamiento, Ley de corte critica, Ley de corte marginal, Ley equivalente.

1. Introducción

Tradicionalmente en un proyecto minero a cielo abierto se cuenta con una mineralización que por sus características inherentes (química, leyes de corte, tonelaje, geometría, etc.), permite ser explotado por este método y del cual se espera obtener un beneficio económico, aun cuando las incertidumbres en los parámetros anteriormente mencionados puedan impactar negativamente el valor económico y la viabilidad de este [1].

El escenario de explotación ideal busca maximizar el valor presente neto (VPN) mediante un agendamiento o cronograma de producción para todas las actividades mineras implicadas en el desarrollo del proyecto [2], para ello deben tenerse en consideración los parámetros, técnicos, geométricos y económicos intrínsecos al tipo de yacimiento y explotación.

El software minero DESWIK, es un software que entrega soluciones sólidas e innovadoras a la industria minera a nivel mundial, por medio de un único paquete que integra múltiples herramientas diseñadas para todos los sectores de la minería, tanto para operaciones a cielo abierto como subterráneas, y en cualquiera de los dos casos para yacimientos metálicos o no metálicos, a través de módulos transversales a todos los tipos de yacimientos o módulos específicamente desarrollados para uno solo tipo de mineralización, según sea el caso.

En concomitancia de los siguientes aspectos:

  1. El convenio celebrado entre la Universidad Nacional de Colombia y la compañía Deswik, que permite emplear las licencias del software con fines académicos a los estudiantes de esta institución.

  2. La necesidad de profundizar en el estudio, manejo y entendimiento de yacimientos metálicos, ya que se espera que este tipo de mineralizaciones jueguen un papel protagónico dentro del impacto económico que tiene la industria minera del país, debido a los múltiples proyectos que vienen gestándose en los últimos años dentro del territorio, los cuales se espera que con el pasar de los años vayan relegando el protagonismo que venía presentando las compañías carboníferas.

  3. El posicionamiento que ha tenido la compañía Deswik dentro de grandes empresas del sector minero colombiano durante los últimos dos años.

Se identificó la pertinencia de desarrollar este escrito en aras de obtener la valoración económica y el agendamiento de un proyecto minero polimetálico hipotético.

2. Metodología

En la Tabla 1 se presenta el flujo de procesos llevados a cabo dentro del software DESWIK para la obtención del planeamiento minero del yacimiento de interés y el desarrollo de este artículo.

Tabla 1: Flujo de procesos en Deswik

Proceso Programación Especificaciones
Datos de partida

  • Geological models/ Deswik/ Convert from CSV

  • Block Model Display

  • Conversión del modelo de bloques desde un formato .CSV

  • Importación del modelo de bloques en formato. GMDL para su visualización dentro del software

Visualización Attributes, filters, legends Asignación de atributos, creación y aplicación de filtros y leyendas, para una mejor visualización y comprensión del yacimiento, representado por el modelo de bloques.
Componente económica Global constants

  • Definición e ingreso al software de múltiples variables económicas de partida, que tendrán un uso repetitivo posterior, tales como los precios del metal, su porcentaje de recuperación, los costos administrativos, etc. (Ver Tablas 3 y 4) , presentan los parámetros de la envolvente económica para el Cu y el Au, estos valores son hipotéticos, sin embargo, se tuvieron en consideración los aspectos técnicos y las características asociadas al tipo de proyecto que se quiere representar, como por ejemplo el tipo de yacimiento, la variación de los costos según la ubicación de los bloques en función de la profundidad, los posibles destinos una vez el material es minado (Planta, Stockpile, botadero), etc.

  • Estos parámetros son ingresados al software como constantes globales, es decir, representan valores estáticos durante la vida del proyecto y serán útiles posteriormente en los comandos de construcción de funciones que involucran repetitivamente estos valores.

  • Además, estos parámetros son necesarios para el cálculo de la ley de CuEq, con el fin de que esta ley sea representativa de las dos mineralizaciones presentes en el yacimiento, cómo se detalló más adelante.

Commands Formulae Construcción de modelos económicos a partir de comandos, para obtener las variables (Revenue, costos totales, densidad, etc.) necesaria para la ejecución del algoritmo Pseudoflow. (Ver Tabla 6)
Pseudoflow Generación del contorno del pit optimo, teniendo presentes las variables económicas previamente calculadas, y las características geomecánicas del yacimiento, cómo por ejemplo el ángulo de talud, y sus dependencias.
Reporte Revisión del reporte económico del Pseudoflow y los diferentes Revenue factors.
Pits operativos Pit design Ingreso de parámetros de diseño, basados en las necesidades estipuladas para las vías y los accesos, según los requerimientos de la flota utilizada y las características geomecánicas propias del yacimiento. (Ver Tabla 5).
Plane By 2 points Definición de la línea base para cada uno de los pasos del Revenue Factor.
Sequence Pit design Trazado de las líneas de diseño implicadas en la creación del pit operacional, tales como las líneas de rampas, taludes y bermas, esto con el fin de generar las superficies del pit operativo, que se construyen según los límites del pit optimo, otorgados por los diferentes cascarones según los Revenue factors del comando Pseudoflow. Generación de la superficie del pit a partir de las líneas de diseño.
Boolean operations Corte de la superficie del pit operativo con la topografía.
Empalme componente gráfica y de planificación DESWIK.IS Creación del sólido de las fases elegidas. Asignación de atributos para cada una de las diferentes fases. Separación de los sólidos según las fases. Creación de filtros para cada fase.
Batch interrogation Cubicación de sólidos.
Regular grid Diseño de una grilla según las dimensiones del sólido.
Block and benches Corte del solido en unidades más pequeñas según la grilla y los bancos, que pasaran al Deswik.Sched como tareas posteriormente
Atributos con formula Definición de prioridades para cada bloque por medio de atributos
Empalme Deswik.IS Se realiza el enlace entre la componente grafica desarrollada en Deswik.CAD para su posterior uso en Deswik.Sched por medio del asistente interactivo ‘Project setup wizard’
Agendamiento Scheduling Definición de parámetros técnicos dentro de Deswik.Sched, para la generación del agendamiento según las precedencias de cada bloque

Fuente: Elaboración Propia.

2.1. Caso de aplicación

Dentro del entorno de Deswik.CAD se realizó la conversión de un modelo de bloques con extensión .CSV a uno con extensión. GMDL, para desarrollar a partir de este, todo el planteamiento de la envolvente económica y técnica asociada al planeamiento de un proyecto minero. Dicho modelo representa un yacimiento polimetálico hipotético con predominancia en la presencia de Cu y con Au como subproducto, y fue construido a partir de la base de datos MARVIN de la biblioteca MineLib [3], y se computó en términos de la ley de cobre equivalente (CuEq), como se detalla más adelante.

En las Figura 1 y 2 se puede observar que la disposición de este modelo de bloques corresponde a una mineralización tipo pórfido polimetálico.

Vista a) frontal, b) lateral y c) superior d) del modelo de bloques del yacimiento polimetálico hipotético en el entorno gráfico de DESWIK.CAD.

Figura 1: Vista a) frontal, b) lateral y c) superior d) del modelo de bloques del yacimiento polimetálico hipotético en el entorno gráfico de DESWIK.CAD.

Fuente: Elaboración Propia en software Deswik.CAD.

Vista del Modelo de bloques del yacimiento polimetálico hipotético con la aplicación de un filtro y una leyenda para visualizar el material mineralizado.

Figura 2: Vista del Modelo de bloques del yacimiento polimetálico hipotético con la aplicación de un filtro y una leyenda para visualizar el material mineralizado.

Fuente: Elaboración Propia en Deswik.CAD

En la Tabla 2 se especifican los parámetros propios del modelo de bloques con el que se trabajó, tales como las leyes de ambos metales y sus respectivas unidades, la cantidad de bloques que lo comprenden, el tamaño de estos, etc.

Tabla 2: Parámetros asociados al Modelo de bloques de entrada [3]

Descripción Valor Unidad
Bloques 53,271 bloques
Tamaño de bloque 30×30×30 m
Ley Au 1.4167 - 0.0015 g/ton
Ley Cu 1.4637- 0.0015 %
Ley CuEq 1.46- 0.0015 %
Densidad promedio 2.26 t/m3

Fuente: Elaboración Propia

Dicha información es proporcionada por el sitio web de la librería [3]. o reportada estadísticamente por una interrogación dentro del entorno de Deswik.CAD, esto se hace con el fin de tener un tratamiento de datos adecuado y una comprensión integral del modelo de bloques con el que se trabaja, pue según Poniewierski en [4], es el modelo de bloques la base sobre la que se construyen todos los planes de minado del proyecto, y estos solo serán tan buenos como el modelo que se nos ha dado para trabajar y la comprensión que tengamos de este.

Las Tabla 3 y 4 presentan los parámetros de la envolvente económica para el Cu y el Au, estos valores son hipotéticos, sin embargo, se tuvieron en consideración los aspectos técnicos y las características asociadas al tipo de proyecto que se quiere representar, como por ejemplo el tipo de yacimiento, la variación de los costos según la ubicación de los bloques en función de la profundidad, los posibles destinos una vez el material es minado (Planta, Stockpile, botadero), etc.

Tabla 3: Parámetros económicos Au

Descripción Valor Unidad
Precio Au 19.6 US$/g
Factor minado planta 0.8 US$/t
Factor minado botadero 0.8 US$/t
Factor minado stock pile 0.9 US$/t
Costos procesamiento baja ley 1 US$/t
Costos procesamiento media ley 5 US$/t
Costos procesamiento alta 5 US$/t
Costo SRS Au 0.2 US$/g
Costos G&A Au 0.5 US$/t
Recuperación Au 64.9 %

Fuente: Elaboración Propia

Tabla 4: Parámetros económicos Cu

Descripción Valor Unidad
Precio Cu 1.33 US$/lb
Factor minado planta 0.8 US$/t
Factor minado botadero 0.9 US$/t
Factor minado stock pile 1 US$/t
Costos procesamiento baja ley 5 US$/
Costos procesamiento media ley 4.5 US$/t
Costos procesamiento alta 4 US$/t
Costo SRS Cu 0.3 US$/lb
Costos G&A Cu 0.5 US$/t
Recuperación Cu 94 %

Fuente: Elaboración Propia

Estos parámetros son ingresados al software como constantes globales, es decir, representan valores estáticos durante la vida del proyecto y serán útiles posteriormente en los comandos de construcción de funciones que involucran repetitivamente estos valores.

Además, estos parámetros son necesarios para el cálculo de la ley de CuEq, con el fin de que esta ley sea representativa de las dos mineralizaciones presentes en el yacimiento, cómo se detalló más adelante.

La Tabla 5 presenta los parámetros tenidos en cuenta al momento de ejecutar el comando del Pseudoflow [5], con el fin de obtener los límites del pit optimo como se detallará posteriormente; y también algunas consideraciones de tipo geomecánicos necesarias para el diseño de las vías de los pits operativos, que finalmente permitirán alcanzar el objetivo del presente artículo que es obtener la valoración económica y el agendamiento de la planificación minera del yacimiento con una carta Gantt.

Tabla 5: Parámetros técnicos y geométricos

Descripción Valor Unidad
Angulo de talud 45 °
Avance vertical 30 m
Fondo tajo 60 m
Capacidad de minado 60 Mt
Capacidad de la planta 20 Mt
Periodos 12 Año
Revenue factor 3 etapas

Fuente: Elaboración Propia

2.2. Ley de corte crítica y marginal en términos de la ley de cobre equivalente CuEq

Debido a que el pórfido hipotético con el que se trabajó, contiene leyes de Cu y Au en un mismo bloque, el planteamiento económico de este, se abordó por medio del concepto de ley equivalente, que consiste en representar las leyes de los diferentes minerales presentes en un mismo yacimiento, por medio de una función en términos del mineral principal y sus subproductos [6], esto se logra dentro de Deswik.CAD gracias al comando Formulae donde se construye la función; en este caso debido a que es el Cu el mineral con mayor presencia, el Au será catalogado como subproducto de este.

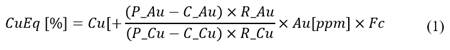
Como vemos en (1) la ley de cobre equivalente es una función que involucra las leyes de los minerales presentes en el yacimiento y a su vez correlaciona las variables económicas asociadas a estos.

La función (1) solo tiene validez si la expresión (2) permanece constante a lo largo de la vida del proyecto [6] condición que se garantizará para fines del desarrollo de este artículo.

donde:

Cu [%]: Ley de cobre en porcentaje

P_Au: Precio del Oro

C_Au: Costo del Oro

R_Au: Recuperación de oro

P_Cu: Precio del cobre

C_Cu: Costo del cobre

R_Cu: Recuperación de cobre

Au [ppm]: Ley de oro en partes por millón

Fc: Factor de conversion

Para el desarrollo de este proyecto, una vez se realizaron los cálculos según (1) con los valores económicos de las Tabla 3 y Tabla 4 disponibles en las constantes globales anteriormente definidas, se tiene que la ley de cobre equivalente (3) corresponde a la suma de la ley de Cu expresada en términos porcentuales y 0.00590388 veces la ley de Au expresada en partes por millón, la ley equivalente que se obtiene esta expresada en términos porcentuales debido al factor de conversión involucrado en (1).

A raíz de que el usuario del software está en la libertad de definir los valores y las unidades de estas y otras funciones y también de las constantes involucradas, se sugiere prestar una particular atención a este aspecto, pues de esto depende en gran medida, que se logre una representación fidedigna de las condiciones de cada proyecto.

La expresión de ley de cobre equivalente (3), se usará posteriormente para el desarrollo del planteamiento económico del proyecto, en términos de un solo metal: el cobre, por medio de la construcción de funciones económicas basadas en dicha ley, para la obtención de los límites del pit óptimo generados por el comando Pseudoflow.

Esto será posible una vez se obtengan las leyes de corte crítica y marginal para el Cu[%], calculadas según (4) y (5) y su respectiva ley de Au[ppm] asociada, esto con el fin de definir la ley de corte crítica y marginal del CuEq según (3) con base a estos valores.

A partir de dichas leyes de corte para el CuEq, se definirán aspectos claves para el desarrollo del planeamiento minero, tales como el costo de minado en función del destino del bloque, el costo de procesamiento condicionado según su cantidad de CuEq, etc. Esto se podrá evidenciar de manera gráfica dentro del software por medio de la construcción de filtros y leyendas, que a su vez también serán útiles para la cubicación de los sólidos generados a partir de los pits operativos, basados en los pits óptimos del Pseudoflow, para posteriormente asignarles unas tareas y prioridades, en pro del desarrollo del agendamiento del proyecto.

La ley de corte crítica (4) , permite diferenciar los bloques del modelo que tienen asociados a su extracción una ganancia, de aquellos que no la tienen, es por ello, que esta ley resulta ser un parámetro decisivo desde el punto de vista económico, pues representa la ley donde los costos de extracción del bloque igualan a los ingresos generados por este, es decir, que se puede definir como un punto de equilibrio, a partir de donde los valores que estén por debajo de esta ley no tendrán un atractivo económico y serán catalogados cómo material estéril, y las leyes que estén por encima de este valor, representarán una ganancia y serán el material económicamente atractivo.

En este caso, dicha ley fue calculada inicialmente para los valores de Cu [%] que era una de las dos leyes originales del modelo, con los parámetros económicos asociados a este mineral en la Tabla 4.

Una vez se obtuvo este rubro, se determinó el valor de Au [ppm] asociado al bloque con esta ley, y haciendo uso de (3) se obtuvo que la ley de corte crítica para el campo CuEq [%] es 0.04 %.

Además, es sabido que pueden haber bloques, que si bien no logran suplir el equilibrio entre los costos de minado y procesamiento y los ingreso, si suplen por lo menos los costos de minado respecto a los ingresos, estos bloques están determinados por la ley de corte marginal [7] LCM (5) que se obtuvo de manera símil a la LCC, basándose en el cálculo de la ley de corte marginal para el Cu [%], asociándola a su respectiva ley de Au [ppm] y finalmente por medio de (3) obtener la ley de corte marginal para el CuEq [%], que corresponde a 0.03%

Donde, para (4) y (5):

m: Costo de minado

c: Costo de procesamiento

s: Precio del producto

r: Costo de venta

y: Recuperación

Para efectos de este ejercicio se definió que los bloques con leyes de CuEq [%] entre la LCC y la LCM se dispondrán en un Stockpile.

A continuación, en las Figura 3 y 4 se presentan las curvas de tenor tonelaje para las dos leyes en las que estaba originalmente expresado el modelo de bloques, dichas graficas fueron trazadas gracias a la revisión estadística realizada en DESWIK.CAD por medio de Statics en Block model properties, con el fin de tener una mejor comprensión del material con el que se trabajó.

Curva Tonelaje-Ley (Cu)

Figura 3: Curva Tonelaje-Ley (Cu)

Fuente: Elaboración Propia

Curva Tonelaje-Ley (Au)

Figura 4: Curva Tonelaje-Ley (Au)

Fuente: Elaboración Propia

Con el mismo objetivo, la Figura 5 presenta la curva de tonelaje-ley para el CuEq [%], con la respectiva ubicación de la ley de corte crítica obtenida según (4), a partir de este valor se puede observar que para una ley de corte de 0.4% tenemos un total de 200 millones de toneladas con un valor de ley media de 0.8%

Curva Tonelaje-Ley (CuEq)

Figura 5: Curva Tonelaje-Ley (CuEq)

Fuente: Elaboración Propia

2.3. Función beneficio y modelado de costos con Formulae en Deswik.CAD

Cómo se mencionó previamente, la definición de los parámetros económicos indicados e ingresados al software por medio de las constantes globales, se estipularon de esta manera en aras de la construcción de funciones que representen de manera próxima la realidad de un yacimiento polimetálico, para esto se hizo uso del comando Formulae del Deswik geological models, basándose en campos propios al modelo como la densidad y el volumen asociados a cada bloque [3] y campos computados de manera independiente como la ley de CuEq [%], las leyes de corte crítica y marginal, etc. Dichas funciones se presentan en la Tabla 6.

Tabla 6: Función Beneficio

Ítem Modelo
Densidad
Costo de minado
Gastos administrativos
Costo de procesamiento
Costos totales
Revenue
Profit

Fuente: Elaboración Propia

El campo de densidad (6) se define como la razón entre el peso asociado al bloque, y el volumen ocupado por este, para determinarlo, se usó el campo de masa que estaba definido en el modelo de bloques inicial en términos de toneladas, y el volumen de 90 m 3 que se dedujo de la extensión de los lados del bloque, informados en las características de la base de datos [3], este campo se calcula pues es una de las tres variables necesarias para correr el comando del Pseudoflow.

Teniendo como meta representar los aspectos económicos del yacimiento, se definió en primera instancia una función para los costos de minado, tal como se ve en (7). Dicha función tiene en cuenta la profundidad a la que se encuentra el bloque y también el destino al que se dirige el material, para este caso la profundidad del yacimiento es dividida en 14 niveles de 30 m cada uno, iniciando el costo de minado en 2 $USD/t en el nivel más superficial, y llegando a los 3 USD/t en el nivel más profundo; además de este condicionamiento en términos de la profundidad, también se asoció un cargo adicional según su destino final, dichos valores se ingresaron por medio de las constantes globales y se basan en una función con condicionales lógicos como se ve en la Tabla 7.

Tabla 7: Cargo según destino del material

Condicional Costo asociado Destino
𝐶uEq >0.04 0.4 USD$/t Planta
0.3< 𝐶uEq <0.4 1.0 USD$/t Stockpile
𝐶uEq<0.3 0.7 USD$/t Botadero

Fuente: Elaboración Propia

Para el modelo de costos de procesamiento (9) se tuvo en cuenta la ley de corte crítica que se computó con la ayuda del reporte estadístico generado dentro del ambiente de Deswik.CAD, para discriminar el material de acuerdo al contenido de Au y Cu en términos de la ley de Cu equivalente, se obtuvieron tres categorías en la Tabla 8: Low grade (LG), Medium grade (MG) y High grade (HG), y con base a esto definir los costos de procesamiento totales por medio de una fórmula condicionada en intervalos, que varía el costo de procesamiento según la presencia de los metales, así:

Tabla 8: Cargo según contenido de CuEq

Condicional Costo asociado Clasificación
𝐶uEq > 0.4 USD$/t HG
<𝐶uEq > 1.0 USD$/t MG
𝐶uEq< 0.7 USD$/t LG

Fuente: Elaboración Propia

Debido a que la capacidad de la planta restringe la operación pues esta solo tiene una capacidad máxima de 20Mt/año en comparación con los 60 Mt/año de capacidad de minado, los gastos administrativos (8) se incluirán al rubro de costos de procesamiento (9).

La sumatoria de (7) y (9) comprenden todos los costos asociados al desarrollo del proyecto (10).

Este rubro es necesario para la construcción de la función Profit y también es la segunda variable involucrada en la corrida del Pseudoflow.

La tercera variable requerida por Deswik.CAD para ejecutar el comando del Pseudoflow es la función del Revenue que está dada por (11) y contempla todos los ingresos del proyecto a lo largo de la vida útil de este, así:

Finalmente es (12) la última función asociada a nuestro proyecto, y se obtiene restándole los costos totales a los ingresos indicados en el Revenue, con el fin de obtener un campo con la valoración económica de cada bloque.

3. Resultados, análisis y discusión

3.1. Pseudoflow

Se ejecutó el algoritmo de Pseudoflow por medio de un comando propio de Deswik.CAD.

Este algoritmo basado en el código escrito por Muir en 2005, al igual que el desarrollado por Lerch y Grossman en 1965, están basados en algoritmos de flujo de red. Sin embargo, el algoritmo Pseudoflow fue desarrollado e implementado 35 años después del original de Lerch-Grossman que solo pudo ejecutarse unos 20 años después de su desarrollo, por limitaciones tecnológicas de la época, y aunque con ambos se obtienen resultados idénticos, computacionalmente es más eficiente el del Pseudoflow. [5].

Se hace uso de dicho algoritmo, con el fin de obtener los límites óptimos del pit, con base a los campos de densidad, costos totales y Revenue asociados a cada bloque del modelo.

Este algoritmo se computó con una tasa de descuento del 10%, una ratio de producción anual definido en 60 Mt, un ángulo de pendiente predeterminado de 45° (para las dependencias), una altura de banco de 30m en representación del banqueo doble de 15m, y una variación del Revenue factor de 12 pasos iniciando en 0.1 y finalizando en 1.2, todos estos parámetros se basan en los supuestos del conocimiento y entendimiento del yacimiento hipotético.

Cómo se observa en la Figura 6 generada por el reporte del Pseudoflow dentro de Deswik.CAD, el escenario económico optimo podría encontrarse entre las fases 4 y 6, ya que, a partir de estos valores, es dónde la curva tiende a aplanarse y no hay cambios significativos en cuanto a la variable económica respecto a la fase elegida.

Toneladas y valor sin descuento por Shell.

Figura 6: Toneladas y valor sin descuento por Shell.

Fuente: Elaboración propia, generada por Deswik.CAD

En Fig. 7 se pueden observar los diferentes escenarios para el flujo de fondos descontados, la línea superior corresponde a el best case, intermedia el average case e inferior el worst case.

Flujo de fondos descontados (DCF)

Figura 7: Flujo de fondos descontados (DCF)

Fuente: Elaboración propia, generada por Deswik.CAD

Las Figuras 6 y 7 se obtienen desde el reporte estadístico arrojado por el programa al momento de ejecutar el comando Pseudoflow.

En base a dicho reporte económico y al motor visual del programa, se obtienen los limites operativos para los shells según las consideraciones computadas.

Una vez se ingresan las consideraciones técnicas propias del proyecto, (ver Tabla 5), y estas se tienen en cuenta para el dimensionamiento de los equipos necesarios, se generan los pits operativos a partir de estos shells, como se muestra en la Figura 8.

Conversión de Shells en pits operativos

Figura 8: Conversión de Shells en pits operativos

Fuente: Elaboración Propia

Para este paso en particular se tienen dos opciones, ya que los pits operativos se pueden dibujar manualmente dentro del componente CAD, o pueden ser generados automáticamente si se tiene acceso al módulo ‘Automated Pit Design’

3.2. Deswik.IS

Una vez obtenidos los resultados visuales (Shells) y estadísticos (Reporte .csv) del comando Pseudoflow, lo que se busca comúnmente usando este tipo de herramientas informáticas es maximizar las variables económicas del proyecto por medio de un agendamiento (Carta GANT), que suele tener que hacerse en un programa distinto al usado para la componente grafica.

Es por ello que la interfaz Deswik.IS es una herramienta muy poderosa, ya que permite realizar un enlace entre el motor grafico del Deswik.CAD y el Scheduling del Deswik.Sched.

Este hecho facilita el análisis gráfico, que posteriormente puede traducirse a un agendamiento inicial muy flexible, que a su vez puede perfeccionarse con más detalles que representen la realidad del proyecto en cuestión.

Para obtener una carta Gantt inicial, se hace uso del Deswik.IS.

En este módulo se parte de la generación de los sólidos de fase, estos son obtenidos a partir de los pits operativos creados según el Pseudoflow.

Luego con base a dichos solidos de fase e identificando espacialmente cada uno de estos, se generan los bloques de minado.

A dichos bloques de minado se le asocian dependencias y prioridades que tienen en cuenta lo descrito anteriormente, para crear una secuencia lógica de extracción.

Finalmente, dentro de este módulo se puede agregar algunas actividades básicas como tasas de extracción (que para fines de este artículo fue de 6838ton/h) teniendo en cuenta el dimensionamiento de los equipos, plantas, etc.

3.3. Deswik.Sched

Esta herramienta usa diagramas de Gantt para agrupar los bloques de minado mencionados anteriormente en función de la posición, la fase o los bancos.

Allí se ingresa la gestión de los equipos, teniendo en cuenta los dimensionamientos de estos, que son las mismas premisas que se tuvieron presentes para el diseño de vías, pits operativos, tasas de producción, procesamiento, etc.

Dentro de este programador también se definen los calendarios de trabajo, los horarios operativos, las reglas referentes a particularidades del proyecto, cómo por ejemplo la tasa de precipitaciones anuales y la incidencia que esto tiene en la operatividad, los mantenimientos, las reuniones, entre otros.

Estos pasos e ingresos de condiciones particulares dentro de Deswik.Sched se realizan con el fin de facilitar la gestión de las grandes cantidades de información que se desprenden del agendamiento del proyecto de tal forma que se representen todas las variables que intervienen en la explotación y se aporte más valor económico al desarrollo. [10]

4. Conclusiones

  1. DESWIK integra diferentes módulos dentro del mismo programa y sus respectivos empalmes, esto le da una ventaja comparativa, ya que no se requiere de múltiples softwares.

  2. Cuando la compañía DESWIK inició, no desarrolló su propio tipo de modelo de bloques. El formato que más se ajusta para ingresar los datos del modelo es *.dm ya que este tipo de modelo tenía código abierto cuando se desarrolló el programa, y por ello es compatible en la mayoría de las tareas. Sin embargo, dentro de Deswik se puede trabajar con múltiples tipos de modelos de bloques, con algunas restricciones.

  3. De la calidad y el entendimiento de los datos ingresados al software depende el éxito de la tarea que estemos desarrollando. Esto aplica tanto para el conocimiento que tengamos del modelo de bloques de partida, como para el desarrollo de los parámetros y las limitantes técnicas, y económicas asociadas al proyecto.

  4. Con el uso del Software se puede obtener una representación fidedigna y viable del mejor escenario de explotación para el modelo de bloques, siempre y cuando se tenga en consideración lo expuesto en la conclusión anterior.

  5. Los conceptos de ley equivalente, ley de corte crítica y ley de corte marginal, están fuertemente limitados por la estaticidad de las envolventes económicas implicadas, por ello puede conducir a un escenario subóptimo.

5. Recomendaciones

Con relación a la conclusión E, se identificó la oportunidad de modelar en un próximo trabajo estos conceptos, realizando un análisis de sensibilidad en los precios de los metales, para que representen de una mejor manera la realidad.

Referencias

  1. [1] Paithankar, A., Chatterjee, S. and Goodfellow, R., Open-pit mining complex optimization under uncertainty with integrated cut-off grade-based destination policies. Resources Policy, 70, art. 101875, 2021. DOI: https://doi.org/10.1016/j.resourpol.2020.101875 [URL] 🠔
  2. [2] Goodfellow, R.C. and Dimitrakopoulos, R., Global optimization of open pit mining complexes with uncertainty. Applied Soft Computing, 40, pp. 292-304, 2016. DOI: https://doi.org/10.1016/j.asoc.2015.11.038 [URL] 🠔
  3. [3] Espinoza, D., Goycoolea, M., Moreno, E. and Newman, A.N., MineLib: a library of open pit mining problems, Ann. Oper. Res. 206(1), pp. 91-114, 2012. DOI: https://doi.org/10.1007/s10479-012-1258-3 [URL] 🠔
  4. [4] Poniewierski, J., Block model knowledge for mining engineers - an introduction. [online]. [consulted, August 1st of 2020]. Available at: Available at: https://www.deswik.com/wp-content/uploads/2019/01/Block-model-knowledge-for-mining-engineers-An-introduction-1.pdf [URL] 🠔
  5. [5] Poniewierski, J., Pseudoflow explained. A discussion of Deswik Pseudoflow Pit Optimization in comparison to Whittle LG Pit Optimization. Deswik Mining Consultants Pty Ltd, 2000. 🠔
  6. [6] GeoMin. Ley de corte (cut-off grade). [en línea], 2017, [consulta, 1 de agosto de 2020]. Disponible en: Disponible en: https://www.cursosgeomin.com.ve/ley-corte-cutoff-grade/ [URL] 🠔
  7. [7] Franco-Sepúlveda, G. y Velilla-Avilez, D., Planeamiento minero como función de la variación de la ley de corte crítica. [en línea], 2014, [consulta, 1 de agosto de 2020]. Disponible en: Disponible en: https://revistas.unal.edu.co/index.php/rbct/article/view/34650/46131 [URL] 🠔
  8. [8] Lamghari, A. and Dimitrakopoulos, R., Progressive hedging applied as a metaheuristic to schedule production in open-pit mines accounting for reserve uncertainty, Eur. J. Oper. Res., 253(3), pp. 843-855, 2016. DOI: https://doi.org/10.1016/j.ejor.2016.03.007 [URL] 🠔
  9. [9] Johnson, M., Impact of in-pit crushing and conveying on pit shell optimization. Deswik Mining Consultants, Australia, 2014. 🠔
  10. [10] DESWIK. Deswik.Sched. Planificación con diagramas de Gantt. [en línea], 2015, [consulta, 1de agosto de 2020]. Disponible en: Disponible en: https://www.deswik.com/wp-content/uploads/2015/10/DeswikSched-Brochure-Spanish-Chile.pdf [URL] 🠔
How to cite: Galvis-Ocampo, Y.T. and o-Sepúlveda, G., Uso del software DESWIK® en un deposito polimetalico de Cu y Au.. DYNA, 89(223), pp. 141-149, July - September, 2022.
es Ing. de Minas y Metalurgia de la Universidad Nacional de Colombia. Actualmente, es estudiante de la Maestría en Ingeniería - Recursos Minerales en la Facultad de Minas, de la Universidad Nacional de Colombia. Hace parte del Grupo de Investigación en Planeamiento Minero GIPLAMIN de la misma institución desde agosto de 2020. ORCID: 0000-0002-0291-5242N.
graduado como Ing. de Minas y Metalurgia en 1998 de la Universidad Nacional de Colombia - Sede Medellín. MSc. en Ciencias Económicas en 2006 y PhD. en Ingeniería en 2017 de la misma universidad. Actualmente profesor en dedicación exclusiva adscrito al Departamento de Materiales y Minerales de la Facultad de Minas de la Universidad Nacional de Colombia - Sede Medellín. Director del Grupo de Investigación en Planeamiento Minero-GIPLAMIN, grupo Reconocido - Colciencias ORCID: 0000-0003-4579-8389