DYNA
0012-7353
2346-2183
Universidad Nacional de Colombia
https://doi.org/10.15446/dyna.v89n224.102243

Recibido: 21 de abril de 2022; Revision Received: 9 de septiembre de 2022; Aceptado: 3 de octubre de 2022

Kinetic modeling of lactic acid production, co-substrate consumptions and growth in Lactiplantibacillus plantarum 60-1

Modelo cinético de producción de ácido láctico, consumo de sustrato dual y crecimiento de Lactiplantibacillus plantarum 60-1

M. Vera-Peña, a H. Hernández-García, bF. Valencia-García, a

Escuela de Microbiología, Universidad de Antioquia, Medellín, Colombia. madalyd.vera@udea.edu.co, francia.valencia@udea.edu.co Universidad de Antioquia Escuela de Microbiología Universidad de Antioquia Medellín Colombia
ForsChem Research, Medellín, Colombia. hugo.hernandez@forschem.org ForsChem Research Medellín Colombia

Abstract

Lactiplantibacillus plantarum is a Gram-positive bacterium that belongs to the lactic acid bacteria (LAB) group commonly used in the food industry. To use this microorganism, high biomass concentration is necessary, and models need to be established for predicting and improving its behavior along fermentation. However, current models for L. plantarum are applicable to only one substrate. The growth of a newly isolated strain L. plantarum 60-1 in a co-substrate (glucose and lactose) and lactic acid production in the batch process, were modeled in this work. Biomass growth was well described by double Monod kinetics. Substrate consumptions were modeled using two balance equations. Lactic acid was described with the Luedeking-Piret equation. No product inhibition was observed. Both glucose and lactose were metabolized in a concomitant way. This is the first report (as we know it) of a model includes dynamics of a dual limitation substrate glucose and lactose in multiplicative effects on the growth of L. plantarum 60-1.

Keywords:

Lactiplantibacillus plantarum, kinetic modeling, growth kinetic, co-substrate consumption, lactic acid production.

Resumen

Lactiplantibacillus plantarum es una bacteria Gram-positiva perteneciente a las bacterias ácido lácticas (BAL), las cuales son usadas comúnmente en la industria de alimentos. Por lo tanto, es deseable obtener una gran cantidad de biomasa y los modelos matemáticos son una herramienta que permite comprender y mejorar este proceso. Sin embargo, los modelos actuales se limitan a un solo sustrato, en este trabajo se modeló el crecimiento de L. plantarum 60-1 en co-sustrato (glucosa y lactosuero) y la producción de ácido láctico en un proceso por lotes. El crecimiento de la biomasa fue descrito por la cinética doble de Monod, para el consumo de sustrato se plantearon dos ecuaciones de balance y finalmente la producción de ácido láctico fue descrita mediante la ecuación de Luedeking-Piret. No se observó inhibición por producto. La glucosa y la lactosa fueron metabolizados concomitantemente. Este modelo difiere de los reportados, al incluirse la dinámica de dos sustratos limitantes sobre el crecimiento de L. plantarum 60-1.

Palabras clave:

Lactiplantibacillus plantarum, modelo cinético, cinética de crecimiento, consumo dual de sustrato, producción de ácido láctico.

1. Introduction

Lactiplantibacillus plantarum is an industrially relevant lactic acid bacteria (LAB) used in microbial food cultures (MFC) as a starter culture in the production of fermented food products such as yogurt, cheeses, sausages, pickles, and many others [1-3]. Furthermore, strains of L. plantarum can contribute to food safety by inhibiting pathogenic bacteria [4]. In other industries, L. plantarum is used to produce feruloyl esterase that has positive health benefits, such as promoting antioxidant, anti-inflammatory, and antimicrobial activity, since it is able to de-esterifying dietary fiber, and releasing hydroxycinnamates and derivatives during human and ruminal digestion [5]. Moreover, L. plantarum strains have been recognized as a Generally Recognized As Safe (GRAS) bacterium for humans [6,7].

Among the most important bottlenecks in L. plantarum production is its growth in a bioreactor. In this case, the bacterium is exposed to several influencing factors including culture medium, pH, temperature, agitation, final products formation, etc. [8]. The culture medium for biomass production must be optimized in order to improve the yields (YX/S, YP/S, YP/X) and reduction of production cost [3]. We proposed a co-substrate (glucose and lactose in whey as carbon source), since dairy industries generate a considerable amount of whey as by-product which, without an appropriated treatment could be a source of environmental contamination due to its high biochemical oxygen demand [9]. Moreover, the co-substrates can be satisfactorily used in biotechnology process. For example, the production of xylitol from xylose and glucose, as the co-substrate, using Candida moggi ATCC 18364 yeast, allowed an increase in the specific growth rate, biomass yield, and volumetric productivity of xylitol compared with the production of xylitol using xylose as the sole carbon source [10]. In another study, the production of xylitol by Debaryomyces nepalensis NCYC 3413 strain, was influenced by using a co-substrate (glucose and/or arabinose). They achieved high xylitol yield by using xylose and glucose as co-substrate in a ratio of 9:1 respectively [11].

L. plantarum produces lactic acid as the major metabolic end-product of carbohydrates [12], and the lactic acid produced inhibits the rate of cell growth. In order to improve the production of cell growth (biomass), methods for measuring, monitoring and modelling bioprocesses have been developed [13]. In particular, mathematical models can be used to control and optimize bioprocesses [14,15]. These mathematical models are used to explain the relationship between kinetics of cell growth, substrate consumption, and product formation, so, helping to predict parameters such as the conversion rate and yield [7]. Several classification criteria for mathematical models have been used. One of them classifies mathematical models as structured or unstructured. Structured models describe individual cellular processes and reactions by linking to specific RNA, DNA, proteins, etc., with the objective to obtain a more realistic description; whereas, unstructured models are mainly used in order to describe bacterial kinetics in complex natural substrates [16,17].

Some mathematical models for cell growth of LAB have been reported [18-20]. Regardless of the great variety of growth and production models proposed for LAB, these models are directly applicable to cell growth and lactic acid production when two substrates are simultaneously consumed. With the goal to establish an accurate mathematical model for co-substrate fermentation of L. plantarum 60-1, a modification of the basic Monod equation by including a product inhibition term, is proposed in the present work [7]. To verify the model, batch fermentation experiments were conducted using a LAB strain recently isolated in our laboratory, L. plantarum 60-1, which consumes both glucose and lactose [21].

2. Materials and Methods

2.1. Bacterial Strain

The bacterial strain L. plantarum 60-1 used in this study was isolated and identified from the Colombian sour cream called “Suero costeño” in our previous work [21]. The strain was stored in the culture collection of Biotransformación research group (University of Antioquia, Medellín, Antioquia, Colombia). The strain was cryopreserved in 2 mL vials at -20 ºC in Man Rogosa and Sharpe broth (MRS; Oxoid, Ltd., Basingstoke, UK) with 30% (v/v) glycerol (PanReac Química SLU, Barcelona, Spain) [21].

2.2. Batch culture conditions

Batch culture experiments were carried out in a 5 L, stirred tank reactor, with a 4 L working volume (BioFlo 115, New Brunswick, USA). The temperature was automatically controlled at 32( 1 ºC, impeller speed was 100 rpm, pH was kept at 5.5( 0.5 by addition of 5.0 NaOH (Merk, Darmstadt, Germany) [22], and foam formation was controlled automatically by the addition of a silicone antifoam sterile solution (4% v/v, Sigma Aldrich, USA).

The Bio-1 culture medium, used in batch cultures, contained glucose (20 g/L), lactose in whey (10 g/L), yeast extract (4.7 g/L) ammonium sulfate [(NH4)2SO4](3.3 g/L), magnesium sulfate [MgSO4] (0.2 g/L), manganese sulfate [MnSO4] (0.05 g/L), monopotassium phosphate [KH2PO4] (0.2 g/L) and sodium citrate [Na3C6H5O7] (2 g/L). The pH of the culture medium was 5.5( 0.5. The composition of whey was 72.6% lactose, 12.4% protein, 1.0% fat, and 5.16% ash. All components used in the preparation of culture medium were reagent grade, except for glucose, whey, and yeast extract which were USP grade.

The inoculum volume was 10% (v/v) of the total work volume and it was prepared as follows: two milliliters of the cryopreserved strain (1 x108 CFU/mL, stored at -20 ºC) were thawed at room temperature and used to inoculate 40 mL of MRS broth in a 100 mL flask, followed by incubation with shaking at 100 rpm and 32 ºC for 16 h (1st generation). The culture was then aseptically transferred to 500 mL flask with 360 mL of Bio-1 broth and incubated at 100 rpm and 32( 1 ºC for 5 h (2nd generation), which was used as the inoculum. The batch culture experiments were conducted at 100 rpm and 32( 1 ºC ºC in the 5 L reactor for up to 24 h. Samples were withdrawn at intervals of 1 h for the first 10 h and a final sample was withdrawn at 24 h.

2.3. Analytical methods

Biomass concentration was determined by the dry weight method [23]. A volume of 1.5 mL sample was centrifuged for 15 min at 4.722 g. The pellet formed was dried in an oven at 80 ºC for 48 hours (until constant weight). The biomass (g/L) was calculated with the difference in weight between the sterilized Bio-1 broth without inoculation vial and the vial with the dry sample. To measure vial weight, an analytical balance was used (Sartorius AG, Goettingen, Germany).

Glucose, lactose, and acid lactic concentrations were analyzed in a high-performance liquid chromatography (HPLC) system. The chromatograph used was Agilent Technologies 1200 (California, USA), model 61362A with an ionic exchange separation column HPX-87H, 300×7.8 mm. The samples were centrifuged for 5 min at 4.722 g, and the supernatant was diluted in the mobile phase H2SO4 (0.008 N). Every diluted sample was filtered using 0.2 μm regenerated cellulose filters. After that, the sample was injected under the following running conditions: 20 μL sample volume, 0.6 mL/min flow, 35 °C column temperature and 12 minutes runtime.

2.4. Kinetic models

There are several unstructured mathematical models used in biotechnology which describe growth kinetics of LAB [24-26]. We have used a model which includes two carbon sources (glucose and lactose) for the growth of L. plantarum 60-1 and lactic acid production.

Differential mass balance equations describe biomass growth eq. (1), co-substrate consumptions eq. (2 and 3), and lactic acid production eq. (4) in a batch model of L plantarum 60-1.

The mass balance for biomass is described as follows:

where r X is the volumetric rate of biomass formation.

The mass balances for glucose (S glu ) and lactose (S lac ) substrates are described as follows:

where, r Sglu and r Slac are the substrate consumption rate.

The mass balance for lactic acid production (P) can be described by the Luedeking-Piret equation [27] as follows:

where, r P is the volumetric rate of lactic acid production.

The kinetics with double Monod relation, constant yield relation (for glucose and lactose) and product formation are shown in eqs. (5)-(9).

where ( is the specific growth rate, and k d is the specific death rate. As the specific growth rate (() is higher than the specific death rate (k d ) then the value for this parameter is assumed zero (( >>k d ), besides, this model is non- segregated. We have used double Monod kinetics, for two carbon sources (glucose and lactose) as substrates. The constitutive equation (() considering parallel reactions is described as follows:

where, k Sglu and k Slac are the Monod constants for glucose and lactose respectively [16]. Eq. (6) gives an additive, fractional contribution for each substrate. Each substrate allows a different maximal growth rate. To describe the effects of substrate limitation on the specific growth rate, the term

were included.

where, r Sglu and r Slac are the substrate consumption rate, Y X/S is the cell yield coefficient, Y P/S is the product yield coefficient, m Sglu and m Slac is the cell maintenance coefficient for glucose and lactose respectively. In order to avoid negative substrate concentrations, a conditional in the model was employed. For substrate concentrations less than zero the substrate concentration becomes zero.

where, r P is the volumetric rate of lactic acid production, ( is the growth-associated product constant and ( the non-growth associated product constant.

The simulation was carried out in Berkeley Madonna© software (version 10.2.8 for macOS). Four ordinary differential equations were solved simultaneously using the fourth order Runge-Kutta method. The data were statistically analyzed calculating standard deviation and Global relative error (Microsoft® Excel for Mac Version 16.35 (20030802) [28].

2.5. Experimental design

A total of six experiments were carried out in order to determine the model parameters identification- MPI (n=2) and the model validation- MV (n=4). The conditions employed for biomass, glucose, and lactose initial are shown in Table 1. Descriptive analysis of the biomass, glucose, lactose, and lactic acid concentrations was obtained from two independent trials and each analysis was made in triplicate. The diagram of the experimental procedure in the present study is shown in Fig. 1.

Table 1: Initial conditions for the experiments in a 5 L stirred tank reactor. Values for model parameters identification (MPI) and the model validation (MV).

Target Biomass initial (g/L) Glucose initial (g/L) Lactose initial (g/L)
MPI1 0.3 20 10
MPI2 0.3 20 10
MV1 0.3 10 10
MV2 0.3 10 5
MV3 0.3 4 8
MV4 0.3 5 5

Source: The Authors.

Diagram of procedure for experiments and modeling of growth, substrate consumption and lactic acid production by L. plantarum 60-1.

Figure 1: Diagram of procedure for experiments and modeling of growth, substrate consumption and lactic acid production by L. plantarum 60-1.

Source: The Authors

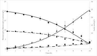
Experimental data and kinetic model simulation of L. plantarum 60-1 in a batch culture: Biomass model (dash-dotted line), biomass experimental (squares), glucose model (solid line), glucose experimental (circles), lactose model (dashed line), lactose experimental (diamonds), lactic acid model (dotted line), lactic acid experimental (triangles).

Figure 2: Experimental data and kinetic model simulation of L. plantarum 60-1 in a batch culture: Biomass model (dash-dotted line), biomass experimental (squares), glucose model (solid line), glucose experimental (circles), lactose model (dashed line), lactose experimental (diamonds), lactic acid model (dotted line), lactic acid experimental (triangles).

Source: The Authors

2.6. Parameter estimation

Due to the relationship between different data sets of the kinetic from L. plantarum 60-1, the accuracy of the parameters in the model can be increased by incorporating this relationship in the fitting process, instead of fitting the recordings separately [29]. An algorithm to fit multiple measured curves simultaneously was used in order to identify the parameters. The software used was Berkeley Madonna© (version 10.2.8 for macOS). The range of values (minimum to maximum) were taken from the literature. Berkeley Madonna© software minimizes the sum of the square deviation between data output of the model and experimental data (dataset). The parameter estimation is the sum of squared errors for each variable state (biomass, glucose, lactose and lactic acid). The sum of all terms is:

2.7. Model validation

The model was validated (MV) by using the average of four fermentation batchs that were not used for estimating the model parameters. For the model validation, different experimental sets of initial concentrations of biomass, glucose and lactose were performed. Finally, the global relative error was calculated.

3. Results and Discussion

3.1. Growth, co-substrate consumption and lactic acid production by L. plantarum 60-1 strain

Average and standard deviation of experimental data, as well as, kinetic model simulating the bacterial growth, co-substrate consumption and lactic acid production, are shown in Fig 2. The exponential phase started immediately after inoculating the bioreactor with an inoculum concentration of 0.34 ± 0.1 g/L.

During the growth of L. plantarum 60-1, lag phase was not observed. The lag phase indicates the adaption of cells to their new environment [30]. The lack of lag phase in the bioreactor could be due to the process of obtaining the inoculum. The inoculum was obtained in two steps in the present study. The first step called “first generation” occurs from inoculation of the cryopreserved strain in MRS broth and incubation for 16 h. The second step called “second generation” occurs since the culture in MRS broth was transferred to the Bio-1 broth, followed by incubation for 5 h. The transition between MRS into Bio-1 broth, which is the same culture medium used in the bioreactor, before inoculation in the bioreactor may have avoided the occurrence of the lag phase. Similar to our results, Atehortúa et al. [15] did not observe the lag phase in the cellular growth when the authors obtained the inoculum for bacterial growth in two steps, changing the culture medium from laboratory reagents grade to USP grade; the latter was used in the pilot scale fermentation. Our results differ from Alvarez et al. [31] who characterized the kinetics of biomass and lactic acid productions, as well as substrate consumption of Lactobacillus casei var. rhamnosus from Sacco-Clerici (currently renamed as Lacticaseibacillus rhamnosus) [32] cultured in deproteinized whey. The authors found lag phases in the range of 5 to 10 h because they used freeze-dried inoculum in one step.

The growth of L. plantarum 60-1 in Bio-1 culture medium had a significantly increased the biomass from 0.34 (0.1 to 3.42 (0.08 g/L after 24-h fermentation. Sharma et al. [33] compared the L. plantarum NCDC 414 growth in MRS broth and vegetable juice and found a growth from 0.0315 g/L to over 2.1 g/L in the MRS broth, but a smaller growth increase from 0.01 g/L to over 1.328 g/L for vegetable juice. Thereby, non-conventional culture medium also allows the cell growth in a pilot scale bioreactor in order to satisfy nutritional requirements of the culture at a low cost.

The concentration of glucose and lactose was initially 19.83 (0.41 g/L and 9.39 (0.25 g/L, respectively. At the end of the fermentation, there was a consumption of 99.75% for glucose and 91.16% for lactose. Both glucose and lactose limited the overall cell-growth rate. However, the final concentration for glucose was 0 g/L, while that of lactose was 0.83 and 0.87 g/L for model and experimental data respectively.

Former genus Lactobacillus has a broad ecological distributions and diverse habitats, since, given its metabolic flexibility, is able to utilize a wide range of carbohydrates; however, it does not grow on the pentoses, as it lacks of fructose-1,6-diphosphatase which plays a key role in gluconeogenesis [34]. A concomitant consumption of glucose and lactose by L. plantarum 60-1 was observed in the present study, which differs from common knowledge that lactobacilli rarely uses different carbon sources simultaneously [35]. To achieve maximal growth, lactobacilli organize the carbohydrate consumption in a hierarchical way in which the utilization of carbon source begins with the preferred one, until it is exhausted, and then the second carbon source begins to be consumed, i.e., a diauxic growth [36].

Via the Embden-Meyerhof pathway, LAB including L. plantarum strains can metabolize hexoses to produce lactic acid [19, 37]. LAB contain two systems for the transport of lactose (disaccharide) into the cell facilitated by phosphoenolpyruvate (PEP): lactose phosphotransferase system and lactose permease system [38, 39]. The concomitant consumption of glucose and lactose found in L. plantarum 60-1 can be explained by the carbon catabolite repression (CCR) mechanism. CCR is used in bacteria as a mechanism which controls if different carbon sources are metabolized in parallel or sequentially [40, 41]. This is the first report of L. plantarum 60-1 where a co-substrate system different from the diauxic growth was used. Similar to our study, Bartkiene et al. [4] used an alternative substrate for the growth of L. plantarum LUH135 in a medium composed of whey enriched with glucose (2.5%), yeast extract (2.0%) and sucrose (0.5%); however, they did not present the kinetics of substrate consumption unlike our results.

Lactic acid is a metabolic product directly associated with energy generation pathways in LAB [42]. Fig. 2, shows the lactic acid production kinetics. Lactic acid was produced at the beginning of the fermentation, after 10 h the value was 24.09 (1.95 g/L and its final value (24 h) was 31.67 (1.14 g/L and 31.60 g/L for experimental data and simulation, respectively.

As the lactic acid production by L. plantarum 60-1 begins from the early stage after the inoculation of bioreactor, the pH tends to drop, as reported in previous work; the pH dropped to 3.6 with residual glucose concentration of 1.32 g/L [43], and the cell growth can be inhibited. However, cell growth inhibition was not observed in the present study, possibly because pH was maintained at 5.5±0.5. Similarly, to our results, Fu et al. [1] found that batch fermentations of L. plantarum ATCC 21028 without pH control resulted in pH lower than 4.0 and inhibition of the cell growth; when pH was controlled, the optimum pH for the strain was found to be between 5 and 6. In the same way, Mechmeche et al. [18] evaluated the growth of L. plantarum isolated from traditional fermented olive in MRS broth. They found a maximum biomass concentration and lactic acid production of 2.02 g/L and 4.32 g/L, respectively, in a process without pH control, with the pH decreasing to 4.75 and the final concentration of sugar reaching 6.82 g/L. The authors suggested that the growth was limited by lactic acid production instead of substrate limitation, and reported an inflection point (stationary phase) after 8 hours of fermentation [18]. In a similar study, Passos et al. [19] developed an unstructured batch model to describe bacterial growth, lactic acid production, and substrate consumption by L. plantarum MOP3 in cucumber juice without pH control. The initial and final sugar concentrations were 12.96 g/L and 5.06 g/L, respectively, the final biomass concentration was 0.5 g/L, and the pH dropped to 3.2 [19]. Another study by Luedeking et al. [27] found the drastic influence of pH on yields and rates of growth, substrate consumption and product formation of L. acidophilus, with the growth being faster when the pH was controlled than when it was not controlled.

For this reason, controlling pH is important in fermentation processes when acid is produced. Gupta et al. [44] carried out the growth of L. plantarum strain on raw and heat-treated forms of seaweeds without pH control, the pH was reduced from 6.6 to 3.9 due to the amount of organic acids produced (2.5 g/L). In the same way, Zacharof et al. [7] modelled and simulated L. lactis strain in three different production systems and found that, without pH control, complete growth inhibition did not occur, but the produced lactic acid decrease biomass formation. These studies indicate that L. plantarum grows better in slightly acidic culture media with an initial pH between 5.4 and 6.4 but the growth is commonly stopped when a pH 3.6- 4.0 is reached, depending on the species and strain [34].

3.2. Batch kinetics model of L. plantarum 60-1

The set of model parameters for batch culture of L. plantarum 60-1 is shown in Table 2. The parameters associated to biomass growth were ( and k d . The specific growth rate has the following parameters associated ( max , k Sglu , k Slac , Y X/Sglu , Y X/Slac , Y P/Sglu , Y P/Slac , m Sglu , and m Slac . The value of ( max was 0.061 h-1, which is less than other L. plantarum strains with reported value being between 0.2 and 0.4 h-1 [1,18]. As we used glucose and lactose as two different carbon sources, the overall reaction growth rate was lower than the rate expected, due to double substrate limitations instead of a single substrate limitation [45].

Table 2: Set of model parameters obtained from batch cultures of L. plantarum 60-1

Name Symbol Value
Maximum growth rate (1/h) μ m a x 0.061
Monod constant for glucose (g/L) k S g l u 4.400
Monod constant for lactose (g/L) k S l a c 2.260
Yield of biomass from substrate-glucose (g/g) Y x s g l u 0.280
Yield of biomass from substrate- lactose (g/g) Y x s l a c 2.130
Yield of product from substrate- glucose (g/g) > Y p s g l u 3.050
Yield of product from substrate- lactose (g/g) Y p s l a c 5.000
Maintenance coefficient for glucose (g/g·h) m s g l u 0.021
Maintenance coefficient for lactose (g/g·h) m s l a c 0.014
Growth- associated product constant (g/g) α 10.070
Non-growth associated product constant (g/g·h) β 0.0058

Source: The Authors.

Two mass balances for glucose and lactose consumptions were applied in a batch process (Eq. 3 and 4). The equations for substrate consumption include the use of substrates in different metabolic pathways. Substrate consumption is used for growth (r X /Y X/S ) and product synthesis (r P /Y P/S ), while another fraction is used to generate energy for maintenance activities (m s ). These different parameters are shown in Table 2 and can be related using the yield and maintenance parameters. However, the value of m s was determined to be less than 0.05 g/g h in the present study, which is similar to the value (0.057 g/g h) reported by Zacharof et al. [7].

The lactic acid production rate (r P ) is related to the L. plantarum 60-1 growth rate (r X ) and the bacterial density (X), as expressed Equation (4), as lactic acid production must account for growth associated production (() and non-growth associated production ((), with the estimated parameters shown in Table 2. According to the results, the growth rate of biomass production was not inhibited by acid lactic production but, instead, was inhibited by substrate consumption [30].

Between the 10-24 hours lactic acid concentration increased by 21.79%, which means that although the growth is generally the major energy-demanding functions of cells, the lactic acid production is coupled to energy metabolism during cell growth [46]. Furthermore, the parameters ( and (, for the associated and non-growth associated product, respectively, indicate that lactic acid is produced in exponential and stationary phases of the batch growth, with most produced in the exponential phase (Fig. 1) [30]. Similar to our results, Altiok et al. [47] developed a kinetic model for lactic acid production from whey by L. casei NRRL B-441; however, they used the logistic equation with biomass and product inhibition terms by modifying the equation of specific growth rate.

3.3. Model validation of L. plantarum 60-1

The information about the average of initial and final concentration of biomass, glucose and lactose for the experiments (MPI and MV) are shown in Table 3.

Table 3: Concentrations initial and final of the variables (X, S Glu , S Lac and P) for the experiments in a 5 L stirred tank reactor. Values for model parameters identification (MPI) and the model validation (MV).

Target MPI MV1 MV2
Biomass initial (g/L) 0.39± 0.1 1.13± 0.24 0.38± 0.21
Glucose initial (g/L) 19.83± 0.41 10.97± 0.07 4.40± 0.16
Lactose initial (g/L) 9.39± 0.25 10.51± 0.11 7.45± 0.23
Lactic acid initial (g/L) 0 0 0
Biomass final (g/L) 2.84± 0.05 2.22± 0.35 2.12± 0.15
Glucose final (g/L) 0.05± 0.07 0 0
Lactose final (g/L) 0.83± 1.17 0 0
Lactic acid final (g/L) 31.67± 1.14 20.7± 2.31 11.91± 0.14

Source: The Authors.

The validation experiments demonstrate the robustness of the kinetic model. The results of model validation are shown in Table 4.

Table 4: Model validation for a batch culture of L. plantarum 60-1.

Parameter Validation 1 Validation 2
Biomass 0.86 0.74
Glucose 0.77 0.99
Lactose 0.95 0.80
Lactic acid 0.97 0.93

Source: The Authors.

4. Conclusions

This is the first report where modeling kinetics of lactic acid production, co-substrate consumption, and biomass obtaining by L. plantarum 60-1 strain was investigated. The cell growth did not show lag phase, and the lactic acid production started from the beginning of the growth, which is desirable in order to reduce the duration of the fermentation. The biomass growth rate declined after 10 hours of the fermentation due to the consumption of the growth-limiting substrate, leading to stationary phase. The consumption of glucose and lactose was concomitant, and the accurate control of pH at 5.5 enabled the consumption of 99.75% glucose and 91.16% for lactose at the end of fermentation. The experimental values enabled the fitting of the modified kinetic model. The validity of our work in modifying the Monod equation by including co-substrate consumption, without including the product (lactic acid) inhibition term. The model developed for a batch process could be adapted for other operation modes with the same microorganism, in order to improve the understanding of the fermentation process with L. plantarum 60-1 strain.

Acknowledgements

Acknowledgments

This research received funding support from the Ministry of Science, Technology and Innovation-Minciencias, Colombia via Doctoral Research Grant number 753 of 2016 (Departamento Norte de Santander). This work was sponsored by CYTED and MinCiencias contract No. 304- 2018. The authors wish to thank Dr. Qixin Zhong from University on Tennessee for critical reading of the manuscript. Also, the authors wish to thank to Eng. Liliana Sepúlveda for experimental support.

References

  1. [1] Fu, W. and Mathews, A.P., Lactic acid production from lactose by Lactobacillus plantarum: Kinetic model and effects of pH, substrate, and oxygen. Biochemical Engineering Journal, 3(3), pp. 163-170, 1999. DOI: https://doi.org/10.1016/S1369-703X(99)00014-5 [URL] 🠔
  2. [2] Mahmoud, M., Abdallah, N.A., El-Shafei, K., Tawfik, N.F. and El-Sayed, H.S., Survivability of alginate-microencapsulated Lactobacillus plantarum during storage, simulated food processing and gastrointestinal conditions. Heliyon, 6(3), art. e03541, 2020. DOI: https://doi.org/10.1016/j.heliyon.2020.e03541 [URL] 🠔
  3. [3] Lavari, L., Lanniello, R., Páez, R., Zotta, T. Cuatrin, A., Reinheimer, J. Parente, E. and Vinderola, G., Growth of Lactobacillus rhamnosus 64 in whey permeate and study of the effect of mild stresses on survival to spray drying. LWT - Food Science and Technoly, 63(1), pp. 322-330, 2015. DOI: https://doi.org/10.1016/j.lwt.2015.03.066. [URL] 🠔
  4. [4] Bartkiene, E., Zavistanaviciutr, P. Lele, V., Ruzauskas, M.. Bartkevics, V., Bernatoniene, J. Gallo, P. Tenore, G. and Santini, A., Lactobacillus plantarum LUHS135 and paracasei LUHS244 as functional starter cultures for the food fermentation industry: characterisation, mycotoxin-reducing properties, optimisation of biomass growth and sustainable encapsulation by using dairy by-produc. LWT - Food Science and Technoly , 93, pp. 649-658, 2018. DOI: https://doi.org/10.1016/j.lwt.2018.04.017 [URL] 🠔
  5. [5] Esteban-Torres, M., Reverón, I., Mancheño, J.M., De las Rivas, B.and Muñoz, R ., Characterization of a feruloyl esterase from Lactobacillus plantarum. Applied Environmenal Microbiology, 79(17), pp. 5130-5136, 2013. DOI: https://doi.org/10.1128/AEM.01523-13 [URL] 🠔
  6. [6] Wang, X., Shao, C., Liu, L., Guo, X., Xu, Y. and Lü, X., Optimization, partial characterization and antioxidant activity of an exopolysaccharide from Lactobacillus plantarum KX041. International Journal of Biological Macromolecules, 103, pp. 1173-1184, 2017. DOI: https://doi.org/10.1016/j.ijbiomac.2017.05.118 [URL] 🠔
  7. [7] Zacharof, M.P. and Lovitt, R.W., Modelling and simulation of cell growth dynamics, substrate consumption, and lactic acid production kinetics of Lactococcus lactis. Biotechnology and Bioprocess Engineering, 18(1), pp. 52-64, 2013. DOI: https://doi.org/10.1007/s12257-012-0477-4 [URL] 🠔
  8. [8] Huang, S., Vignolles, M.L., Chen, X.D., Le Loir, Y., Jan, G., Schuck, P. and Jeantet, R., Spray drying of probiotics and other food-grade bacteria: a review. Trends in Food Science and Technology, 63, pp. 1-17, 2017. DOI: https://doi.org/10.1016/j.tifs.2017.02.007 [URL] 🠔
  9. [9] Ostojić, S., Pavlović, M., Živić, M., Filipović, Z., Gorjanović, S., Hranisavljević, S. and Dojčinovič, M., Processing of whey from dairy industry waste. Environmental Chemistry Letters, 3(1), pp. 29-32, 2005. DOI: https://doi.org/10.1007/s10311-005-0108-9. [URL] 🠔
  10. [10] Tochampa, W., Sirisansaneeyakul, S., Vanichsriratana, W., Srinophakun, P., Bakker, H.H.C. and Chisti, Y., A model of xylitol production by the yeast Candida mogii. Bioprocess and Biosystems Engineering, 28(3), pp. 175-183, 2005. DOI: https://doi.org/10.1007/s00449-005-0025-0 [URL] 🠔
  11. [11] Pappu, S.M.J. and Gummadi, S.N., Effect of cosubstrate on xylitol production by Debaryomyces nepalensis NCYC 3413: a cybernetic modelling approach. Process Biochemistry, 69, pp. 12-21, 2018. DOI: https://doi.org/10.1016/j.procbio.2018.03.023. [URL] 🠔
  12. [12] Georgieva, R., Koleva, P., Nikolova, D., Yankov, D. and Danova, S. Growth parameters of probiotic strain Lactobacillus plantarum, isolated from traditional white cheese. Biotechnology & Biotechnology, 2818, pp. 861-865. 2009. DOI: https://doi.org/10.1080/13102818.2009.10818558 [URL] 🠔
  13. [13] Santos, M., Teixeira, J. and Rodrigues, A., Production of dextransucrase, dextran and fructose from sucrose using Leuconostoc mesenteroides NRRL B512(f). Biochemical Engineering Journal , 4(3), pp. 177-188. 2000. DOI: https://doi.org/10.1016/S1369-703X(99)00047-9. [URL] 🠔
  14. [14] Luna-Flores, C.H., Ramírez-Cordova, J.J., Pelayo-Ortiz, C., Femat, R. and Herrera-López, E.J., Batch and fed-batch modeling of carotenoids production by Xanthophyllomyces dendrorhous using Yucca fillifera date juice as substrate. Biochemical Engineering Journal , 53(1), pp. 131-136. 2010. DOI: https://doi.org/10.1016/j.bej.2010.10.004 [URL] 🠔
  15. [15] Atehortúa, P., Álvarez, H. and Orduz, S., Modeling of growth and sporulation of Bacillus thuringiensis in an intermittent fed batch culture with total cell retention. Bioprocess and Biosystems Engineering , 30(6), pp. 447-456. 2007. DOI: https://doi.org/10.1007/s00449-007-0141-0. [URL] 🠔
  16. [16] Dunn, I.J., Heinzle, E., Ingham, J. and Pfenosil, J.E., Biological Reaction Engineering, second edition, Weinheim: Wiley. 2003. 🠔
  17. [17] Rodríguez, J., Clemente, G., Sanjuán, N. and Bon, J., Modelling drying kinetics of thyme (Thymus vulgaris L.): theoretical and empirical models, and neural networks. Food Science and Technology International, 20(1), pp. 13-22, 2014. DOI: https://doi.org/10.1177/1082013212469614 [URL] 🠔
  18. [18] Mechmeche, M., Kachouri, F., Yaghlane, H.B., Ksontini, H., Setti, K. and Hamdi, M., Kinetic analysis and mathematical modeling of growth parameters of Lactobacillus plantarum in protein-rich isolates from tomato seed. Food Science and Technology International , 23(2), pp. 128-141, 2017. DOI: https://doi.org/10.1177/1082013216665706 [URL] 🠔
  19. [19] Passos, F.V., Fleming, H.P., Ollis, D.F., Felder, R.M. and McFeeters, R.F., Kinetics and modeling of lactic acid production by Lactobacillus plantarum. Applied and Environmental Microbiology, 60(7), pp. 2627-2636, 1996. DOI: https://doi.org/10.1128/aem.60.7.2627-2636.1994. [URL] 🠔
  20. [20] Østergaard, N.B., Eklöw, A. and Dalgaard, P., Modelling the effect of lactic acid bacteria from starter- and aroma culture on growth of Listeria monocytogenes in cottage cheese. International Journal Food Microbiology, 1, pp. 188:15-25, 2014. DOI: https://doi.org/10.1016/j.ijfoodmicro.2014.07.012. [URL] 🠔
  21. [21] Motato, K.E., Milani, C., Ventura, M., Valencia, F.E., Ruas-Madiedo, P. and Delgado, S., Bacterial diversity of the Colombian fermented milk “Suero Costeño” assessed by culturing and high-throughput sequencing and DGGE analysis of 16S rRNA gene amplicons. Food Microbiology, 68, pp. 129-136, 2017. DOI: https://doi.org/10.1016/j.fm.2017.07.011 [URL] 🠔
  22. [22] Vera-Peña, M.Y. and Rodriguez-Rodriguez, W.L., Effect of pH on the growth of three lactic acid bacteria strains isolated from sour cream. Universitas Scientiarum, 25(2), pp. 341-358, 2020. DOI: https://doi.org/10.11144/Javeriana.SC25-2.eopo [URL] 🠔
  23. [23] Madigan, M.T., Bender, K.S., Buckley, D.H., Sattley, W.M. and Stahl, D.A., Brock biology of microorganisms, Pearson, London, UK, 2018. 🠔
  24. [24] Yuwono, S.D. and Kokugan, T., Study of the effects of temperature and pH on lactic acid production from fresh cassava roots in tofu liquid waste by Streptococcus bovis. Biochemical Engineering Journal , 40(1), pp. 175-183, 2008. DOI: https://doi.org/10.1016/j.bej.2007.12.004 [URL] 🠔
  25. [25] Solano, M.Á. y Vidaurre, J.M., Aplicación de modelos cinéticos no estructurados en el modelamiento de la fermentación láctica de subproductos de pesca. Scientia Agropecuaria, 8(4), pp. 367-375, 2017. DOI: https://doi.org/10.17268/sci.agropecu.2017.04.08 [URL] 🠔
  26. [26] Longhi, D.A., Dalcanton, F., Aragão, G.M.F. de, Carciofi, B.A.M. and Laurindo, J.B., Assessing the prediction ability of different mathematical models for the growth of Lactobacillus plantarum under non-isothermal conditions. Journal of Theoretical Biology, 335, pp. 88-96, 2013. DOI: https://doi.org/10.1016/j.jtbi.2013.06.030 [URL] 🠔
  27. [27] Luedeking, R. and Piret, E.L., A kinetic study of the lactic acid fermentation. Batch process at controlled pH. Biotechnology and Bioengineering, 67(6), pp. 636-644, 1958. DOI: https://doi.org/10.1002/(SICI)1097-0290(20000320)67:6<636AID-BIT3>3.0.CO;2-U [URL] 🠔
  28. [28] Gonçalves, L.D. dos A., Piccoli, R.H., Peres, A. de P. and Saúde, A.V., Predictive modeling of Pseudomonas fluorescens growth under different temperature and pH values. Brazilian Journal of Microbiology, 48(2), pp. 352-358. 2017. DOI: https://doi.org/10.1016/j.bjm.2016.12.006 [URL] 🠔
  29. [29] Spitzer, P., Zierhofer, C. and Hochmair, E. Algorithm for multi-curve-fitting with shared parameters and a possible application in evoked compound action potential measurements. BioMedical Engineering Online, 5, pp. 1-8, 2006. DOI: https://doi.org/10.1186/1475-925X-5-13 [URL] 🠔
  30. [30] Doran, P.M., Bioprocess Engineering Principles. London, 2013. 🠔
  31. [31] Alvarez, M.M., Aguirre-Ezkauriatza, E.J., Ramírez-Medrano, A. and Rodríguez-Sánchez, Á., Kinetic analysis and mathematical modeling of growth and lactic acid production of Lactobacillus casei var. rhamnosus in milk whey. Journal of Dairy Science, 93(12), pp. 5552-5560, 2010. DOI: https://doi.org/10.3168/jds.2010-3116 [URL] 🠔
  32. [32] Zheng, J., Wittouck, S., Salvetti, E., Franz, M.A.P., Harris, H.M.B., Mattarelli, P., O'Toole, P.W., Pot, B., Vandamme, P., Walter, J., Watanabe, K., Wuyts, S., Felis, G.E., Gänzle, M.G. and Lebeer, S., A taxonomic note on the genus Lactobacillus: description of 23 novel genera, emended description of the genus Lactobacillus Beijerinck 1901, and union of Lactobacillaceae and Leuconostocaceae. Int. J. Syst. Evol. Microbiol. 70(4), pp. 2782-2858, 2020. DOI: https://doi.org/10.1099/ijsem.0.004107. [URL] 🠔
  33. [33] Sharma, V., Mishra, H.N., Unstructured kinetic modeling of growth and lactic acid production by Lactobacillus plantarum NCDC 414 during fermentation of vegetable juices. LWT - Food Science and Technology, 59(2P1), pp. 1123-1128, 2014. DOI: https://doi.org/10.1016/j.lwt.2014.05.039 [URL] 🠔
  34. [34] Hammes, W.P. and Hertel, C., Lactobacillus, In: Whitman, W.B., Rainey, F. et al., eds., Bergey’s Manual of systematics of archaea and bacteria, 55, 2015. DOI: https://doi.org/10.1002/9781118960608.gbm00604 [URL] 🠔
  35. [35] Watson, D., O’Connell, M., Schoterman, M.H.C., van Neerven, R.J.J., Nauta, A. and Van Sinderen, D., Selective carbohydrate utilization by lactobacilli and bifidobacteria. Journal of Applied Microbiology, 114(4), pp. 1132-1146, 2013. DOI: https://doi.org/10.1111/jam.12105 [URL] 🠔
  36. [36] Chen, C., Lu, Y., Wang, L., Yu, H. and Tian, H., CcpA-dependent carbon catabolite repression regulates fructooligosaccharides metabolism in Lactobacillus plantarum. Frontiers in Microbiology, 9(May), pp. 1-12, 2018. DOI: https://doi.org/10.3389/fmicb.2018.01114 [URL] 🠔
  37. [37] García-Diéguez, C., Salgado, J.M., Roca, E. and Domínguez, J.M., Kinetic modelling of the sequential production of lactic acid and xylitol from vine trimming wastes. Bioprocess and Biosystems Engineering , 34(7), pp. 869-878, 2011. DOI: https://doi.org/10.1007/s00449-011-0537-8 [URL] 🠔
  38. [38] Hickey, M.W., Hillier, A.J. and Jago, G.R., Transport and metabolism of lactose, glucose, and galactose in homofermentative lactobacilli. Applied and Environmental Microbiology , 51(4), pp. 825-831, 1986. DOI: https://doi.org/10.1128/aem.51.4.825-831.1986 [URL] 🠔
  39. [39] Postma, P.W., Lengeler, J.W. and Jacobson, G.R., Phosphoenolpyruvate: carbohydrate phosphotransferase systems of bacteria. Microbiological Reviews, 57(3), pp. 543-594, 1993. DOI: https://doi.org/10.1128/mmbr.57.3.543-594.1993. [URL] 🠔
  40. [40] Kremling, A., Geiselmann, J., Ropers, D. and de Jong, H., An ensemble of mathematical models showing diauxic growth behaviour. BMC Systems Biology, 12(1), pp. 1-16, 2018. DOI: https://doi.org/10.1186/s12918-018-0604-8 [URL] 🠔
  41. [41] Plumed-Ferrer, C., Koistinen, K.M., Tolonen, T.L., Lehesranta, S.J., Kärenlampi, S.O., Mäkimattila, E. and Von Wright, A., Comparative study of sugar fermentation and protein expression patterns of two Lactobacillus plantarum strains grown in three different media. Applied and Environmental Microbiology , 74(17), pp. 5349-5358, 2008. DOI: https://doi.org/10.1128/AEM.00324-08 [URL] 🠔
  42. [42] Wang, J., Huang, J. and Laffend, H., Optimization of immobilized Lactobacillus pentosus cell fermentation for lactic acid production. Bioresources and Bioprocessing, 7, art. 15, 2020. DOI: https://doi.org/10.1186/s40643-020-00305-x [URL] 🠔
  43. [43] Wolf, B.F. and Fogler, H.S., Growth of Leuconostoc mesenteroides NRRL-B523 in an alkaline medium: suboptimal pH growth inhibition of a lactic acid bacterium. Biotechnology and Bioengineering , 89(1), pp. 96-101, 2005. DOI: https://doi.org/10.1002/bit.20315. [URL] 🠔
  44. [44] Gupta, S., Abu-Ghannam, N. and Scannell, A.G.M., Growth and kinetics of Lactobacillus plantarum in the fermentation of edible Irish brown seaweeds. Food and Bioproducts Processing, 89(4), pp. 346-355, 2011. DOI: https://doi.org/10.1016/j.fbp.2010.10.001 [URL] 🠔
  45. [45] Bae, W. and Rittmann, B.E., A structured model of dual-limitation kinetics. Biotechnology and Bioengineering , 49(6), pp. 683-689, 1996. DOI: https://doi.org/10.1002/(SICI)1097-0290(19960320)49:6<683AID-BIT10>3.0.CO;2-7. [URL] 🠔
  46. [46] Papagianni, M., Metabolic engineering of lactic acid bacteria for the production of industrially important compounds. Computational and Structural Biotechnology Journal, 3(4), art. e201210003, 2012. DOI: https://doi.org/10.5936/csbj.201210003. [URL] 🠔
  47. [47] Altiok, D., Tokatli, F. and Harsa, S., Kinetic modelling of lactic acid production from whey by Lactobacillus casei (NRRL B-441). Journal of Chemical Technology & Biotechnology, 81(May), pp. 1190-1197, 2006. DOI: https://doi.org/10.1002/jctb.1512 [URL] 🠔
Vera-Peña, M.Y., Hernández-García, H. and Valencia-García, F.E., Kinetic modeling of lactic acid production, co-substrate consumptions and growth in Lactiplantibacillus plantarum 60-1. DYNA, 89(224), pp. 50-57, October - December, 2022.
is Biotechnology Engineering, graduated with honors in 2006 from the Universidad Francisco de Paula Santander, Cúcuta, Colombia, received her MSc. in Chemical Engineering in 2012 from the Universidad Nacional de Colombia, Medellín, Colombia, she is PhD. student from the Universidad de Antioquia, Medellín, Colombia. Her research interests include simulation, and modeling in bioprocess, biotechnology industrial, and formulation bioactive substances. ORCID: 0000-0002-0128-1188
is Bacteriologist and Clinical Laboratorian with Sp in Pharmaceutical and Food Sciences in 1998, MSc. in Pharmaceutical and Food Sciences in 2006 and Dr. in Pharmaceutical and Food Sciences (in 2012. More than 20 years of experience, with skills as an entrepreneur, administrator, technical scientific advisor and professor. Classified in Colciencias as Associate Researcher. In addition, she has proposed and directed research projects with public and private entities at a national and international level. She has worked as professor in Food Microbiology, Industrial Microbiology and Biotechnology, Food Biochemistry, Biochemistry, Nutrition, Science and Technology of Dairy Products, Food Development and Functional Foods. With more than 10 years of experience in probiotics, prebiotics and fermented foods. She has published and evaluated books and articles in scientific journals national and international. In the academic-administrative area, she has been Coordinator of academic courses and member of the Planning Committee of the School of Microbiology. ORCID: 0000-0002-4167-2167
is BSc. Eng in Chemical Engineer graduated with honors in 2000 from the Industrial University of Santander, Colombia. He received a MSc. in Science degree in Chemical Engineering in 2004 from the Universidad Nacional de Colombia, campus Medellin. In 2006 he began doctoral studies at the Max Planck Institute for Colloids and Interfaces / University of Potsdam, Germany, working under the supervision of Dr. Klaus Tauer and Prof. Dr. Markus Antonietti in the field of multiscale simulation of heterogeneous polymerization. In 2008 he obtained the degree of Doctor rerum naturalium in the field of colloid chemistry, being awarded the Summa cum laude distinction from the University of Potsdam. Since 2015 he has been working as an independent researcher and consultant at ForsChem Research. ORCID: 0000-0002-7634-7161

Nomenclature

Nomenclature
k d Specific death rate
k S g l u Monod constant for glucose
k S l a c Monod constant for lactose
m S g l u Maintenance coefficient for glucose
m S l a c Maintenance coefficient for lactose
P Product concentration
r P Volumetric rate of lactic acid production
r S g l u Substrate consumption rate for glucose
r S l a c Substrate consumption rate for lactose
r X Volumetric rate of biomass formation
S Substrate concentration
X Biomass concentration
Y X S g l u Yield of biomass from substrate-glucose
Y X S l a c Yield of biomass from substrate- lactose
Y P S g l u Yield of product from substrate- glucose
Y P S l a c Yield of product from substrate- lactose
Greek Symbols
( Growth- associated product constant
( Non-growth associated product constant
μ Specific growth rate
μ m a x Maximum growth rate
Abbreviations
LAB Lactic Acid Bacteria
MPI Model Parameters Identification
MV Model Validaton