DYNA
0012-7353
2346-2183
Universidad Nacional de Colombia
https://doi.org/10.15446/dyna.v90n226.105969

Recibido: 22 de noviembre de 2022; Revision Received: 10 de abril de 2023; Aceptado: 24 de abril de 2023

Assessing soil temperature and moisture fluctuations under irrigated banana (Musa spp.) cultivation in response to coconut coir mulch cover

Evaluación de las fluctuaciones de la temperatura y la humedad del suelo bajo el cultivo de plátano (Musa spp.) regado en respuesta a la cobertura de mantillo de fibra de coco

R. Soares Rodrigues, a J. Mendes Pedroso de Lima, bc A. de Assunção Montenegro, d T. Brito Almeida, d J. Lopes da Silva, e

Secretary of State for Environment and Sustainability of the State of Pará, Avenida Magalhães Barata, Nazaré, Belém, Brazil; renato.augustor@hotmail.com Secretary of State for Environment and Sustainability of the State of Pará Nazaré Belém Brazil
MARE - Marine and Environmental Sciences Centre / ARNET - Aquatic Research Network, University of Coimbra, Coimbra, Portugal Instituto Politécnico de Coimbra University of Coimbra, Coimbra Portugal
Department of Civil Engineering, Faculty of Sciences and Technology, University of Coimbra, Coimbra, Portugal. plima@dec.uc.pt Instituto Politécnico de Coimbra University of Coimbra Coimbra Portugal
Department of Agricultural Engineering, Federal Rural University of Pernambuco, Recife, Brazil. abelardo.montenegro@ufrpe.br, thayna_tau@hotmail.com Universidade de Pernambuco Department of Agricultural Engineering University of Pernambuco Recife Brazil
Department of Engineering, Federal Rural University of Pernambuco, Belo Jardim, Brazil. rlopes.s@gmail.com Universidade Federal de Pernambuco Department of Engineering Federal Rural University of Pernambuco Belo Jardim Brazil

Abstract

The semiarid is characterized by extreme heat, which affects agricultural production by limiting the soil's ability to retain water. The objective of this study was to investigate the influence of mulch on soil temperature and soil moisture in a drip irrigated banana plantation in a Brazilian semiarid region. Six thermocouples and three soil moisture probes were used, with coconut coir as mulch. Daytime and nighttime surface temperatures were compared for two mulch densities (4 and 8 t ha-1) and bare soil. Soil temperature and moisture were measured at three depths (0.1, 0.3 and 0.5 m). The study was conducted from November 2014 to March 2015. Mulch had a buffer effect on soil temperature fluctuation. Drip irrigation management associated with mulch provided a uniform moisture profile close to field capacity.

Keywords:

semiarid, mulch, banana (Musa spp.), drip irrigation.

Resumen

El semiárido se caracteriza por un calor extremo, que afecta la producción agrícola al limitar la capacidad del suelo para retener agua. El objetivo de este trabajo fue estudiar la influencia del mantillo sobre la temperatura y la humedad del suelo en una plantación de banano con riego por goteo en la región semiárida de Brasil. Se utilizaron seis termopares y tres sondas de humedad del suelo mientras se aplicaba mantillo de fibra de coco. Se compararon las temperaturas superficiales diurnas y nocturnas para dos densidades de acolchado y para suelo desnudo. Las mediciones se realizaron entre noviembre de 2014 y marzo de 2015. El mantillo tuvo un efecto amortiguador sobre la fluctuación de la temperatura del suelo. El manejo del riego por goteo asociado con mantillo proporcionó con éxito un perfil de humedad uniforme cercano a la capacidad de campo.

Palabras clave:

semiárido, mantillo, banano (Musa spp.), riego por goteo.

1. Introduction

Banana (Musa spp.) is one of the most widely grown fruits in the world and a major food source for the planet’s population. Its cultivation in the semiarid usually requires irrigation to meet crop water requirements (e.g., [29]). Moreover, several authors have reported high water consumption for a range of banana cultivars in different soil and climate conditions (e.g., [10-12]).

[25] emphasize the importance of studying soil temperature, since it will be affected by predicted changes in global temperature. Recent studies show that every 1 °C increase in air temperature raises the associated soil temperature by 1.5 °C. Changes in soil temperature may impact the regulation of the plant physiological process. [24] state that temperature regulates gas exchange on the surface, affects the movement, viscosity and density of soil water and, consequently, water and nutrient absorption by plants, thus influencing most soil physical, chemical and biological processes.

The Brazilian semiarid is subject to frequent droughts. In particular, the present study was conducted during the 2014-2015 drought, which was severe and affected a large area of Northeast Brazil, with significant impacts on the population and economic activities, as reported by [5].

Mulching provides greater hydraulic roughness, increasing water infiltration into the soil and reducing surface runoff velocities and, consequently, soil losses. This protects the soil surface from the direct impact of raindrops, thereby reducing surface crusting, compaction, splash erosion and water evaporation and controlling soil temperature fluctuations, particularly during dry periods (e.g., [1-8,17,20-22,27,39]).

Among the different organic materials used as mulch, coconut coir dust, a by-product from the coconut (Cocos nucifera L.) industry, is known to be efficient in controlling runoff and soil loss (e.g., [17,20,38]). Coir is an inexpensive, highly durable natural fiber that biodegrades slowly.

In semiarid locations, mulching can benefit irrigated crops by improving water use efficiency and fruit physical and chemical properties (e.g., [9,35]). Moreover, irrigation contributes to temperature regulation, helping boost agricultural production [16,33] as a direct result of soil moisture availability for evapotranspiration.

[24] report that temperature regulates gas exchange at the soil surface, affecting water and nutrient absorption by plants and influencing chemical and biological processes. Mulch cover lowers the maximum soil temperature and temperature range when compared to a bare surface [6].

As such, mulching may be relevant for soil physical amelioration, soil temperature control, and water conservation. However, the type and cover density of mulch may have different effects, depending on crop stage, soil type, and climate conditions. [14] adopted 4-6 t ha-1 straw mulching in semiarid Nigeria and observed an improvement in soil physical properties. [37] used 9 t ha-1 bean straw mulching in a highly heterogeneous alluvial valley in northeastern Brazil (the same soils used in the present study) for carrot (Daucus carota) production, with micro sprinkler irrigation. Mulching at a 9 t ha-1 cover rate was efficient in conserving soil moisture and decreasing soil moisture spatial variability. Later, [21] used soil flumes in a laboratory and found that 2 and 4 t ha-1 of rice straw mulch was efficient at lowering soil temperature and raising soil water content. Although the conditions described in this paragraph differ from those of the aforementioned study (e.g., in terms of mulch type, soil physical characteristics, plantation pattern and water application regime), they show a general trend in terms of mulch effects.

Comparing different mulch materials (coconut coir and cashew leaves, among others) and densities, [16] conducted an in-depth field study in semiarid Brazil and found that 4 t ha-1 of coconut mulch was effective at controlling temperature fluctuations and enhancing soil moisture under natural conditions. On the other hand, in a detailed investigation in the same alluvial valley studied here, [26] used geostatistics and Beerkan Infiltration Tests and observed high spatial cross dependence between soil physical characteristics and hydraulic properties. The authors recommended adopting soil management techniques to support irrigation management in areas with low infiltrability. In this respect, the present study aimed to analyze the impact of mulching cover as a management alternative in low infiltrability zones.

Thus, an in-depth short-term field experiment was conducted in an irrigated plot in the semiarid (near the location studied by [16] and [26]), to investigate the impact of i) different coconut coir mulch densities on surface temperatures and ii) temperature and soil moisture dynamics for different soil depths under 4 and 8 t ha-1 mulch treatments, in a drip irrigated banana plantation with low rainfall input in an area with low infiltrability. Although several studies have been conducted on drip irrigation under artificial and natural mulch (e.g., [34,35,40]), loose coir mulch (e.g. coir dust) applied on bare soil has not been sufficiently investigated in terms of controlling soil temperature and moisture, since most research focuses on soil erosion issues. This type of thermal/moisture study had yet to be conducted on banana plantations in Brazilian semiarid alluvial valleys, particularly during a period of severe drought.

2. Materials and methods

The study was carried out on Mimosa farm in the Mimoso District of the municipality of Pesqueira, Pernambuco state (Brazil), at 08° 10' S and 35° 11' W and an altitude of 613 m (Fig. 1). The farm is located in the alluvial valley of the Ipanema River, where small-scale irrigated community farming is carried out. Climate in the region is BSh (extremely hot, semiarid) according to the Köppen classification, with average annual rainfall, evapotranspiration and temperature ~700 mm, 1600 mm and around 25°C, respectively (e.g., [19]). Monitoring was carried out during a severe prolonged drought, according to [4].

Location of the study site in the Mimoso alluvial valley, Pesqueira, Pernambuco state (Brazil), in the Alto Ipanema basin.

Figure 1: Location of the study site in the Mimoso alluvial valley, Pesqueira, Pernambuco state (Brazil), in the Alto Ipanema basin.

Source: The authors

Photographs of the banana plantation at the study site.

Figure 2: Photographs of the banana plantation at the study site.

Source: The authors

Soil in the study area is characterized as Fluvic Neosol. Based on the [30] soil analysis manual, the soil profile is classified as sandy clay loam (USDA Soil Texture Triangle), consisting of ~59% sand, ~24% clay and ~17% silt. Soil bulk density is ~1.47 kg m-3, porosity ~0.52 m³ m-3, hydraulic conductivity ~0.05 mm s-1, and soil moisture content at field capacity ~0.28 m3m-3. Detailed infiltration tests have been carried out in the area [26]. Hydraulic conductivity in the zone selected for the irrigated plot was ~0.03 mm s-1.

The Prata banana cultivar was grown in 4 m × 4 m regular spacing. At the time of the study, the plantation was already in the production phase (Fig. 2).

A drip irrigation system was used, with simple rows and 0.20 m spacing between drippers, flow rate of 1.25 L h-1 and working pressure of 98.06 KPa. Irrigation began on November 27, 2014, one day before the soil temperature and moisture measurements. Water was pumped from a shallow water table well (large diameter well) in an unconfined aquifer with 0.90 dS m-1. The water table was estimated once during the study period ~2.5 m below ground level, using an electronic measuring tape.

The irrigation depths applied were based on crop evapotranspiration (ETc), estimated from daily readings in Class A evaporation tank (Class A), using a tank coefficient of ~0.75 and crop coefficients (Kc) in accordance with [9].

Six thermocouples and 3 soil moisture probes were installed and connected to a Datalogger. Soil temperature was monitored by the thermocouples every 10 minutes. Soil moisture dynamics was measured with CS616 sensors (Campbell Scientific), also at 10-minute intervals. The experiments were carried out from November 28, 2014 to March 24, 2015, during the dry season and under a severe multiannual regional drought. Average temperature during the experimental period was ~25 °C.

Temperature variability was evaluated under 3 ground cover conditions: bare soil, and coconut coir dust at 4 and 8 t ha-1. The mulch was not spread directly onto the ground surface. Instead, two 1 m² wooden frames with a thin flexible mesh screen were used to prevent the material from passing through and facilitate access to the sensors. The different coir dust densities were placed on the screens and the frames positioned over the soil surface. Coir dust was pre-washed and dried at ambient temperature. Fig. 3 shows a diagram of the field setup. Both mulch support frames had approximately the same sun exposure.

Diagrams of the field experimental setup, showing the frames used to support coir mulch in the 4 and 8 t ha-1 treatments. Ti and θi are the temperature and moisture measuring points below the 4 t ha-1 mulch, respectively, and Ts the surface temperature measuring point. The diagram is not to scale.

Figure 3: Diagrams of the field experimental setup, showing the frames used to support coir mulch in the 4 and 8 t ha-1 treatments. Ti and θi are the temperature and moisture measuring points below the 4 t ha-1 mulch, respectively, and Ts the surface temperature measuring point. The diagram is not to scale.

Source: the authors

Soil temperature for the 4 t ha-1 experiments was measured on the surface (Ts), and at depths of 0.10 m (T1), 0.30 m (T2) and 0.50 m (T3). For the 8t ha-1 treatment, temperature was only measured at the surface (Ts8). Air temperature data were obtained from an automated weather station close to the study site. Soil moisture content was measured at depths of 0.10 (θ1), 0.30 (θ2) and 0.50 m (θ3), but only for the 4t ha-1 treatment, and as such, the CS616 sensors were placed alongside the thermocouples to establish the relationship between soil moisture and temperature. The probes used to monitor soil moisture were calibrated in the field using a gravimetric method. The methodology and calibration equations for the CS616 probes are in line with [32].

The daytime (6:00 a.m. to 5:00 p.m.) and nighttime periods (5 p.m. to 6 a.m.) were established based on solar radiation data from the weather station (approximated to the hour).

Statistical analysis was performed to assess the significance of the soil moisture and temperature variations and relate them to the daytime and nighttime periods at the different depths studied. The experimental results were submitted to analysis of variance (ANOVA), and when significant, means were compared using Tukey’s test at 5% significance. The variables were submitted to regression analyses, with significance determined by the F-test (p< 0.05).

3. Results and discussion

3.1. Temperature at the soil surface

Fig. 4 shows the time series for daytime and nighttime temperature at the surface for the three soil cover conditions (i.e. bare soil, and mulch densities of 4 and 8 t ha-1). Coconut coir dust applied to the soil surface reduced the maximum soil temperature and temperature fluctuation (3% for 4 t ha-1; 9% for 8 t ha-1), regardless of mulch density. The higher the mulch density the greater the dampening effect at the surface when compared to bare soil. Soil surface temperature differed significantly in relation to mulch density, with lower temperatures observed during the day and increased temperatures at night at the highest density (Table 1).

Table 1: Soil surface temperatures (mean and standard deviation, SD) for three mulching scenarios: bare soil, 4 and 8 t ha-1 mulch cover (daytime and nighttime).

Note: Means followed by the same uppercase or lowercase letter do not differ at 5% probability according to Tukey’s test. Lowercase letters compare daytime and night-time values and uppercase letters compare temperatures for three mulching scenarios: bare soil, 4 and 8 t ha-1.

Source: The authors.

Time series of soil surface temperatures for three mulching scenarios: bare soil (top), 4 t ha-1 (middle) and 8 t ha-1 (bottom) mulch cover, during the day (left) and at night(right).

Figure 4: Time series of soil surface temperatures for three mulching scenarios: bare soil (top), 4 t ha-1 (middle) and 8 t ha-1 (bottom) mulch cover, during the day (left) and at night(right).

Source: The authors

The buffer zone created by the mulch prevented soil temperature from rising during the day and falling at night. The 8 t ha-1 mulch density produced the lowest average daytime temperature and the highest nighttime temperature. Similar results were obtained by [40], who analyzed the effect of rice straw mulch on soil temperature in irrigated vine cultivation in the Loess plateau, China, and found that the mulch reduced soil temperature during warmer periods and kept it higher in colder periods when compared to bare soil. [28] studied 4 different mulch types (wood dust, wood chips, dry grass (Cynodon spp.) and rice straw) in carrot cultivation and observed statistically significant differences. On average, the mulches maintained a soil temperature gradient about 3.5oC lower than that obtained without cover and a moisture content 2.0% higher than bare soil.

3.2. Soil temperature and moisture content

It has been reported that mulch cover reduces the temperature fluctuation range at the soil surface, meaning soil moisture must also be affected. [33] observed that soil moisture in Pernambuco state (Brazil) varies considerably over time as a function of soil properties and cover. Understanding soil moisture dynamics on a spatial and temporal scale is vital in agricultural planning and soil management because soil moisture content is one of the most important variables in climatological and hydrological research, with involvement in infiltration, irrigation and drainage [3]. Fig. 5 shows the chronological variation of soil moisture and temperature under coir dust mulch at 4 t ha-1 for different soil depths. Soil water content ranged from ~21% (when monitoring began, the day after drip irrigation onset) to ~32% (after rainfall spells), with soil moisture stabilizing around 30 days after drip irrigation onset. The decline in soil temperature due to mulch is associated with soil moisture dynamics. The highest moisture values were recorded in late January and early February 2015. During this period, rainfall events of ~107.5 mm were distributed over several days (Fig. 6).

Time series of soil moisture and temperature at three depths: 0.1, 0.3 and 0.5 m, during the for day and at night. The irregular initial soil moisture conditions are due to rainfall.

Figure 5: Time series of soil moisture and temperature at three depths: 0.1, 0.3 and 0.5 m, during the for day and at night. The irregular initial soil moisture conditions are due to rainfall.

Source: The authors.

Rainfall (above 1 mm) and evapotranspiration at the experimental site (3 months in 2014/2015).

Figure 6: Rainfall (above 1 mm) and evapotranspiration at the experimental site (3 months in 2014/2015).

Source: The authors

In the same region (Mimoso District, Pernambuco, Brazil), albeit using different crops with different root systems, [37] reported that mulching increased soil moisture availability and reduced temporal soil moisture variations in carrots (Daucus carota). [31] validated a previous study by [37], whereby a 9 t ha-1 mulch density increased soil moisture in a cabbage plot, and [4] found that mulching in experimental plots significantly increased soil moisture and improved production in rainfed corn (Zea mays) plantations.

Working with coconut dust mulch, [18] concluded that the mulch modified the soil surface temperature pattern by reducing its daytime variation in relation to bare soil, at different soil depths, especially near the surface. The mulch acted as a thermal insulation layer, meaning that the soil warmed up less during the day and lost less heat to the atmosphere at night.

As expected, at night, without direct solar radiation, soil temperatures fell in all the scenarios tested. A mulch density of 4 t ha-1 caused a significant change between daytime and nighttime temperatures, promoting a buffer effect for soil temperature fluctuation. [24] adopted different mulch densities on the soil surface and found that mulch reduced the maximum soil temperature by up to 3 oC. [13] concluded that the behaviour of the soil temperature over 24-hours was similar for all the days studied, with the smallest temperature variation always recorded at a depth 0.40 m and the largest in the surface layers, regardless of cover conditions, under two black oat mulch densities (4 and 8 t ha-1).

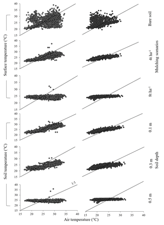
In order to examine the relationship between air and surface temperatures under different coir dust mulch densities, a scatter plot was produced to explore tendencies and correlations between these variables. The degree of association between variables was evaluated for daily data. Plotting air temperature against soil temperature showed no correlation (Fig. 7); the presence of mulch produced far less data scatter when compared with bare soil conditions (for surface temperatures) and at greater depths.

During the day, the soil surface (0.1 m depth) showed a greater correlation than the 0.3 and 0.5 m layers. This is due to the natural solar radiation process, since heat exchange between the soil and the atmosphere is greater nearer to the surface.

Table 2 summarizes soil temperature data at different depths, showing a tendency to decrease with increasing soil depth because the soil layer above reduces temperature variations. These results corroborate those of [15], who studied the influence of mulching on soil temperature and moisture content in corn (Zea mays) grown in the Loess Plateau, China.

Table 2: Mean and standard deviation (SD) of soil temperature at depths of 0.1, 0.3 and 0.5 m (daytime and nighttime).

Note: Means followed by the same uppercase or lowercase letter do not differ at 5% probability according to Tukey’s test. Lowercase letters compare daytime and night-time values and uppercase letters compare temperature at different depths.

Source: The authors.

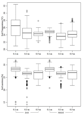
Nighttime temperature is extremely important in banana cultivation because growth occurs mainly at night. Fig. 8 shows boxplots for temperature and soil moisture at different depths. During the day, both soil temperature and moisture content decreased as depth (0.1, 0.3 and 0.5 m) increased, with far fewer outliers for soil temperature.

Correlation between soil surface and air temperatures, for day and night periods, under three mulching scenarios (bare soil, 4 t ha-1 and 8 t ha-1 mulch covers) and at different depths (0.1, 0.3 and 0.5 m).

Figure 7: Correlation between soil surface and air temperatures, for day and night periods, under three mulching scenarios (bare soil, 4 t ha-1 and 8 t ha-1 mulch covers) and at different depths (0.1, 0.3 and 0.5 m).

Source: The authors.

Table 3: Mean soil moisture at depths of 0.1, 0.3 and 0.5 m (daytime and nighttime).

Soil depth (m) Soil moisture (%)
Day Night
0.1 28.25 aA 28.15 aA
0.3 26.40 aA 26.43 aA
0.5 26.17 aA 26.18 aA

Note: Means followed by the same uppercase or lowercase letter do not differ at 5% probability according to Tukey’s test. Lowercase letters compare daytime and night-time values and uppercase letters compare soil moisture at different depths.

Source: The authors

Box plots of soil temperature and moisture content at depths of 0.1, 0.3 and 0.5 m (daytime and nighttime).

Figure 8: Box plots of soil temperature and moisture content at depths of 0.1, 0.3 and 0.5 m (daytime and nighttime).

Source: The authors

Temperature fluctuates less at night, with a smaller range of 21 to 28 oC for the 3 depths studied (Fig. 8). By contrast, soil moisture content exhibited similar variation across the soil profile at night.

Soil moisture was similar across the profile, with no statistical difference between treatments. This was influenced by the drip irrigation system and the high clay content, which favor greater soil water retention (Table 3). Mulch protects the soil from the direct impact of raindrops and repeated wetting and drying cycles.

4. Conclusions

  1. Surface temperatures were lower during the day under coconut coir dust mulch when compared to bare soil (up to a 9% reduction for 8 t ha-1).

  2. A coconut coir mulch density of 4 t ha-1 had a significant buffer effect on soil temperature fluctuation at both the surface and up to 0.5 m.

  3. Under mulching, both soil temperature and moisture tended to decrease with depth during the day.

  4. Drip irrigation management associated with 4 t ha-1 of coconut coir mulch provided a uniform moisture profile close to field capacity.

Acknowledgements

Acknowledgements

To the National Council for Scientific and Technological Development-CNPq (420.488/2018-9), the Foundation for the Support of Science and Technology of the State of Pernambuco - FACEPE (APQ-0300-5.03/17), the Coordination for the Improvement of Higher Education Personnel (CAPES), and the Funding Authority for Studies and Projects (FINEP). This study was also financed by National Funds through the Portuguese funding agency, FCT -Fundação para a Ciência e a Tecnologia, I.P., under the projects UIDB /04292/2020, UIDP/04292/2020, granted to Marine and Environmental Sciences Centre (MARE), and LA/P/0069/2020, granted to the Associate Laboratory ARNET.

References

  1. [1] Abrantes, J.R.C.B., Prats, S.A., Jacob, J.K., and de Lima, J.L.M.P. Effectiveness of the application of rice straw mulching strips in reducing runoff and soil loss: laboratory soil flume experiments under simulated rainfall. Soil Tillage Research., 180, pp. 238-249, 2018. DOI: https://doi.org/10.1016/j.still.2018.03.015 [URL] 🠔
  2. [2] Abrantes, J.R.C.B., de Lima, J.L.M.P., and Montenegro, A.A.A., Performance of kinematic modelling of surface runoff for intermittent rainfall on soils covered with mulch. Revista Brasileira de Engenharia Agrícola e Ambiental, 19(2), pp. 166-172. 2015. DOI: https://doi.org/10.1590/1807-1929/agriambi.v19n2p166-172 [URL] 🠔
  3. [3] Ávila, L.F., Mello, C.R. de, e Silva, A.M. da., Continuidade e distribuição espacial da umidade do solo em bacia hidrográfica da Serra da Mantiqueira. Revista Brasileira de Engenharia Agrícola e Ambiental, 14(12), pp. 1257-1266, 2010. DOI: https://doi.org/10.1590/S1415-43662010001200002 [URL] 🠔
  4. [4] Brito, S.S.B., Cunha, A.P.M.A., Cunningham, C.C., Alvalá, R.C., Marengo, J.A., and M.A., Carvalho Frequency, duration and severity of drought in the Semiarid Northeast Brazil region, International Journal of Climatology, 38(2), pp. 517-529, 2018. DOI: https://doi.org/10.1002/joc.5225 [URL] 🠔
  5. [5] Borges, T.K.S., Montenegro, A.A.A., Santos, T.E.M., Silva, D.D., and Silva Júnior, V.P., Effect of conservation practices on soil moisture and maize (Zea mays L.) cropping in the semi-arid northeast of Brazil. Revista Brasileira de Ciência do Solo, 38, pp. 1862-1873, 2014. DOI: https://doi.org/10.1590/S0100-06832014000600021 [URL] 🠔
  6. [6] Coelho, M.E.H., Freitas, F.C.L., Cunha, J.L.X.L., Silva, K.S., Grangeiro, L.C., and Oliveira, J.B., Coberturas do solo sobre a amplitude térmica e a produtividade de pimentão. Planta Daninha, 31(2), pp. 369-378, 2013. DOI: https://doi.org/10.1590/S0100-83582013000200014 [URL] 🠔
  7. [7] de Lima, J.L.M.P., Santos, L., Mujtaba, B., and de Lima, M.I.P., Laboratory assessment of the influence of rice straw mulch size on soil loss. Adv. Geosci. 48, pp. 11-18, 2019. DOI: https://doi.org/10.5194/adgeo-48-11-2019 [URL] 🠔
  8. [8] Doorenbos, J., and Kassam, A.H. Yield response to water. Rome: FAO, Irrigation and Drainage Paper, 1986, 33 P. 🠔
  9. [9] D’Albuquerque Junior, B.S., Gomes, E.R., Sousa, V.F., e Sousa, A.P., Necessidade hídrica e lâminas de irrigação da bananeira CV. FHIA-18 na região semiárida do Piauí. Irriga, 18(4), pp. 756-767, 2013. DOI: https://doi.org/10.15809/irriga.2013v18n4p756 [URL] 🠔
  10. [10] Santos, H.G., Jacomine, P.K.T., Anjos, L.H.C., Oliveira, V.A., Lumbreras, J.F., Coelho, M.R., Almeida, J.A., Araújo Filho, J.C., Oliveira, J.B., e Cunha, T.J.F. Sistema brasileiro de classificação de solos. Brasília, Embrapa. 2018, 333 P. 🠔
  11. [11] Faria, H.C., Donato, S.L.R., Pereira, M.C.T. e Silva, S.O., Avaliação fitotécnica de bananeiras tipo terra sob irrigação em condições semiáridas. Ciência e Agrotecnologia, 34(4), pp. 830-836, 2010. DOI: https://doi.org/10.1590/S1413-70542010000400006 [URL] 🠔
  12. [12] Figueiredo, F.P., Mantovani, E.C., Soares, A.A., Costa, L.C., Ramos, M.M., e Oliveira, F.G., Produtividade e qualidade da banana prata anã, influenciada por lâminas de água, cultivada no Norte de Minas Gerais. Revista Brasileira Engenharia Agrícola e Ambiental, 10(4), pp. 798-803, 2006. DOI: https://doi.org/10.1590/S1415-43662006000400003 [URL] 🠔
  13. [13] Freitas, W.S., Ramos, M.M., and Costa, S.L., Irrigation demand of banana crop in San Francisco River basin. Revista Brasileira de Engenharia Agrícola e Ambiental, 12(4), pp. 343-349, 2008. DOI: https://doi.org/10.1590/S1415-43662008000400002 [URL] 🠔
  14. [14] Gasparim, E., Ricieri, R.P., Silva, S.L., Dallacort, R., e Gnoatto, E., Temperatura no perfil do solo utilizando duas densidades de cobertura e solo nu. Acta Scientiarum Agronomy, 27(1), pp. 107-115, 2005. DOI: https://doi.org/10.4025/actasciagron.v27i1.2127 [URL] 🠔
  15. [15] Lal, R., Soil erosion problems on alfisols in western Nigeria and their control. IITA Monograph, International Institute of Tropical Agriculture, Ibadan, Nigeria, 1976, 160 P. 🠔
  16. [16] Li, R., Xianging, H., Zhikuan, J., Qingfang, H., Xiaolong, R., and Baoping, Y., Effects on soil temperature, moisture, and maize yield of cultivation with ridge and furrow mulching in the rainfed area of the Loess Plateau, China. Agricultural Water Management, 116, pp. 101-109. 2013. DOI: https://doi.org/10.1016/j.agwat.2012.10.001 [URL] 🠔
  17. [17] Lima, C.A. de, Montenegro, A.A.A., de Lima, J.L.M.P., Almeida, T.A., e Brito e Santos, J.C.N. dos., Uso de coberturas alternativas do solo para o controle das perdas de solo em regiões semiáridas. Engenharia Sanitaria e Ambiental, 25(3), pp. 531-542, 2020. DOI: https://doi.org/10.1590/S1413-41522020193900 [URL] 🠔
  18. [18] Lopes, I., Montenegro, A.A.A., and de Lima, J.L.M.P., Performance of conservation techniques for Semiarid environments: field observations with Caatinga, mulch, and cactus forage palma. Water, 11(4), pp. 792-790, 2019. DOI: https://doi.org/10.3390/w11040792 [URL] 🠔
  19. [19] Miranda, F.R., Oliveira, F.N.S., Rosa, M.F., e Lima, R.N., Efeito da cobertura morta com a fibra da casca de coco sobre a temperatura do solo. Revista Ciência Agronômica. 35(2) pp. 335-339, 2004. 🠔
  20. [20] Montenegro, A.A.A., Almeida, T.A.B., de Lima, C.A., Abrantes, J.R.C.B., e de Lima. J.L.M.P., Evaluating mulch cover with coir dust and cover crop with Palma cactus as soil and water conservation techniques for semiarid environments: laboratory soil flume study under simulated rainfall. Hydrology, 7(3), art. 61, 2020. DOI: https://doi.org/10.3390/hydrology7030061 [URL] 🠔
  21. [21] Montenegro, A.A.A. , de Lima, J.L.M.P., Abrantes, J.R.C.B. , and Santos, T.E.M., Impact of mulching on soil and water conservation in semiarid catchment: simulated rainfall in the field and in the Laboratory. Die Bodenkultur J. Land Manag. Food Environ, 64, pp. 79-85, 2013a. DOI: https://doi.org/10.13140/2.1.1269.5365 [URL] 🠔
  22. [22] Montenegro, A.A.A. , Abrantes, J.R.C.B. , de Lima, J.L.M.P. , Singh, V.P., andSantos, T.E.M. , Impact of mulching on soil and water dynamics under intermittent simulated rainfall. Catena, 109, pp. 139-149, 2013b. DOI: https://doi.org/10.1016/j.catena.2013.03.018 [URL] 🠔
  23. [23] Montenegro, A.A.A. , and Montenegro, S.M.G.L., Spatial variability of textural classes, salinity and hydraulic conductivity of soil in an alluvial plain. Revista Brasileira de Engenharia Agrícola e Ambiental, 10, pp. 30-37, 2006. DOI: https://doi.org/10.1590/S1415-43662006000100005 [URL] 🠔
  24. [24] Oliveira, Z.B., Carlesso, R., Knies, A.E., e Martins, J.D., Influência de resíduos vegetais na superfície do solo e de diferentes espaçamentos entre linhas do feijoeiro na temperatura do solo. Irriga, 20(1), pp. 33-45, 2015. DOI: https://doi.org/10.15809/irriga.2015v20n1p33 [URL] 🠔
  25. [25] Oliveira, C.A.P., e Souza, C.M., Influência da cobertura morta na umidade, incidência de plantas daninhas e de broca-do-rizoma (Cosmopolites sordidus) em um pomar de bananeiras (Musa spp.). Revista Brasileira de Fruticultura, 25(2), pp. 345-347, 2003. DOI: https://doi.org/10.1590/S0100-29452003000200043 [URL] 🠔
  26. [26] Ordonez-Salanueva, C.A., Seal, C.E., Pritchard, H.W., Orozco-Segovia, A., Canales-Martínez, M., and Flores-Ortiz, C.M. Cardinal temperatures and thermal time in Polaskia Backeb (Cactaceae) species: effect of projected soil temperature increase and nurse interaction on germination timing. Journal of Arid Environments, 115(1), pp. 73-80, 2015. DOI: https://doi.org/10.1016/j.jaridenv.2015.01.006 [URL] 🠔
  27. [27] Prats, S.A., Abrantes, J.R.C.B. , Crema, I.P., Keizer, J.J., andde Lima, J.L.M.P. , Runoff and soil erosion mitigation with sieved forest residue mulch strips under controlled laboratory conditions. Forest Ecol. Manag, 396, pp. 102-112, 2017. DOI: https://doi.org/10.1016/j.foreco.2017.04.019 [URL] 🠔
  28. [28] Pinheiro, A.G., Jardim, A.M.F., Montenegro, A.A.A. , Silva, T.G.F., and Silva, J.R.I., Characterization of alluvial soil hydrodynamics in the Upper Ipanema River basin using the Beerkan Method, DYNA, 88(218), pp. 178-184, 2021. DOI: https://doi.org/10.15446/dyna.v88n218.91077 [URL] 🠔
  29. [29] Resende, F.V., Souza, L.S., Oliveira, P.S.R. e Gualberto, R., Uso de cobertura morta vegetal no controle da umidade e temperatura do solo, na incidência de plantas invasoras e na produção da cenoura em cultivo de verão. Ciência Agrotécnica, 29(1), pp. 100-105, 2005. DOI: https://doi.org/10.1590/S1413-70542005000100012 [URL] 🠔
  30. [30] Robinson, J.C., and Galán Saúco, V., Bananas and plantains. 2ª ed. Oxford: CAB International. 311. (Crop production science in horticulturae series, 19), 2010. 🠔
  31. [31] Santos, J.C.N., Andrade, E.M., Guerreiro, M.J.S., Medeiros, P.H.A., Palácio, H.A.Q., and Araújo Neto, J.R. Effect of dry spells and soil cracking on runoff generation in a semiarid micro watershed under land use change. Journal of Hydrology, 54, pp. 1057-1066, 2016. DOI: https://doi.org/10.1016/j.jhydrol.2016.08.016 [URL] 🠔
  32. [32] Santos, T.E.M. , Silva, D.D., andMontenegro, A.A.A. , Temporal variability of soil water content under different surface conditions in the semiarid region of the Pernambuco State. Revista Brasileira de Ciência do Solo, 34, pp. 1733-1741, 2010. DOI: https://doi.org/10.1590/S0100-06832010000500025 [URL] 🠔
  33. [33] Santos, T.E.M. , Montenegro, A.A.A. , and Silva D.D., Soil moisture in Pernambuco semiarid using time domain reflectometry (TDR). Revista Brasileira de Engenharia Agrícola e Ambiental, 15, pp. 670-679, 2011. DOI: https://doi.org/10.1590/S1415-43662011000700004 [URL] 🠔
  34. [34] Shen, D., Zhang, G., Xie, R., Ming, B., Hou, P., Xue, J., Li, S., and Wang, K., Improvement in photosynthetic rate and grain yield in super-high-yield maize (Zea mays L.) by optimizing irrigation interval under mulch drip irrigation. Agronomy, 10, art. 1778, 2020. DOI: https://doi.org/10.3390/agronomy10111778 [URL] 🠔
  35. [35] Silva, J.C.G., Chaves, M.A., São José, A.R., Rebouças, T.N.H., e Alves, J.F.T.A., Influência da cobertura morta sobre características físicas e químicas de frutos da pinha (Annona squamosa L.). Revista Brasileira Fruticultura, 29(2), pp. 287-291, 2007. DOI: https://doi.org/10.1590/S0100-29452007000200019 [URL] 🠔
  36. [36] Souza, E.R., Montenegro, A.A.A. , Montenegro, S.M.G., and Matos, J.A. Temporal stability of soil moisture in irrigated carrot crops in Northeast Brazil. Agricultural Water Management, 99(1), pp. 26-32, 2011. DOI: https://doi.org/10.1016/j.agwat.2011.08.002 [URL] 🠔
  37. [37] Sutherland, R.A., and Ziegler, A.D., Effectiveness of coir based rolled erosion control systems in reducing sediment transport from hillslopes. Appl. Geogr, 27(3-4), pp. 150-164, 2007. DOI: https://doi.org/10.1016/j.apgeog.2007.07.011 [URL] 🠔
  38. [38] Zehsaz, S., de Lima, J.L.M.P. , de Lima, M.I.P., Isidoro, J.M.G.P., and Martins, R., Estimating sheet flow velocities using quinine as a fluorescent tracer: bare, mulched, vegetated and paved surfaces. Agronomy, 12, art. 2687, 2022. DOI: https://doi.org/10.3390/agronomy12112687 [URL] 🠔
  39. [39] Zhang, Q., Wang, S., Lia, L., Inoue, M., Xianga, J., Qiua, G., and Jind, W., Effects of mulching and sub-surface irrigation on vine growth, berry sugar content and water use of grapevines. Agricultural Water Management, 143, pp. 1-8, 2014. DOI: https://doi.org/10.1016/j.agwat.2014.05.015 [URL] 🠔
  40. [40] Shrivastava, P.K., Parikh, M.M., Savani, N.G., and Raman, S,. Design of Banana to drip irrigation, mulches and irrigation scheduling in South Gujarat. Agricultural Engineering Today, 23(3-4), pp. 29-38, 1999. 🠔
Rodrigues, R.A.S., de Lima, J.L.M.P., Montenegro, A.A.A., Almeida, T.A.B. and da Silva J.R.L., Assessing soil temperature and moisture fluctuations under irrigated banana (Musa spp.) cultivation in response to coconut coir mulch cover. DYNA, 90(226), pp. 50-57, April - June, 2023.
Holds a BSc. in Agronomy from the Federal Rural University of Amazônia, Brazil, and a MSc. in Agricultural Engineering from the graduate program in Agricultural Engineering from the Federal Rural University of Pernambuco, Brazil. He is currently Technical Advisor to the Geotechnology Board, where he is involved in the development and implementation of environmental public policies focused on the rural environmental register, rural environmental licensing and geotechnologies within environmental management. He works in the areas of agronomy, agricultural engineering, irrigation and drainage, hydraulics, water and soil engineering geoprocessing and remote sensing and geostatistics. ORCID: 0000-0002-9329-9368
Is a full-time professor at the Federal Rural University of Pernambuco, Brazil, BSc. Eng. in Civil Engineering from the Federal University of Pernambuco, an MSc. in Hydraulics and Sanitation from the University of São Paulo, Brazil, and a PhD. in Water Resources from the University of Newcastle Upon Tyne, England. He has a postdoctoral degree in hydrological modeling from the Center for Ecology and Hydrology of Wallingford, England. He has experience in the fields of water resources and agricultural and environmental engineering. ORCID: 0000-0002-5746-8574
Is a full professor in the civil engineering Department of the Faculty of Science and Technology at the University of Coimbra Portugal, where he lectures in hydraulics, hydrology and water resources. He is BSc. in Civil Engineering in 1982, from the University of Coimbra, MSc. in Water Resources Management in 1987, and a PhD. in Environmental Sciences in 1989, all of thrm from the Wageningen University, The Netherlands. He has more than 400 technical and scientific publications, 117 in international scientific research journals. His research interests include hydrology, urban hydrology, drainage and soil and water conservation. He is currently Coordinator of Scientific Research Area of Hydraulics, Water Resources and Environment of the University of Coimbra, and of Thematic Line 1 - hydraulics, hydrology and sedimentary environment of MARE - Marine and Environmental Sciences Center. ORCID: 0000-0002-0198-3614
Holds a BSc. Eng in Agricultural and Environmental Engineering, in 2018 from the Federal Rural University of Pernambuco, Brazil, an MSc. in Agricultural Engineering in 2020, and is currently a doctoral student in the Graduate Agricultural Engineering Program at the Federal Rural University of Pernambuco, Brazil. She received a scholarship from the CAPES / CNPq Science Special Young Talents Project, worked on extension projects in the semi-arid region of Pernambuco and was a PIBIC / FACEPE scholarship holder. She works in the areas of hydrology, hydrological modeling, erosion, management and conservation of water and soil, salinity, and soil physical and chemical analyses. ORCID: 0000-0002-2172-4732
Is a full-time professor at the Belo Jardim Campus of the Federal Rural University of Pernambuco, Brazil. He is BSc. Eng. in Agricultural and Environmental Engineering, and a PhD in Agricultural Engineering, all of them from the Federal Rural University of Pernambuco. He has experience in several areas of engineering, working mainly in the following fields: water resources management, hydrology, monitoring and hydrological instrumentation, hydraulics, irrigation management, drainage, soil conservation, environmental sanitation and environmental licensing, and is involved in technical, research and extension projects. ORCID: 0000-0003-3875-0563