DYNA
0012-7353
2346-2183
Universidad Nacional de Colombia
https://doi.org/10.15446/dyna.v91n231.107967

Recibido: 29 de agosto de 2023; Revision Received: 16 de enero de 2024; Aceptado: 24 de enero de 2024

Modeling the impact of supplementary cementitious materials on compressive strength of recycled aggregate concrete forest-random approach

Modelación del impacto de los materiales cementantes suplementarios en la resistencia a compresión de los concretos con agregados reciclados - enfoque por bosques aleatorios

J. Abellán-García, a M. Khan, b Y. Abbas, b F. Martínez, c

Department of Civil and Environmental Engineering, Universidad Del Norte, Barranquilla, Colombia. jabellan@uninorte.edu.co Department of Civil and Environmental Engineering Universidad Del Norte Barranquilla Colombia
Department of Civil Engineering, College of Engineering, King Saud University, Riyadh 11421, Saudi Arabia. miqbal@ksu.edu.sa, yabbas@ksu.edu.sa King Saud University Department of Civil Engineering King Saud University Saudi Arabia
c Department of Civil Engineering, UCAM - Universidad Católica de Murcia, Murcia, Spain. fpellicer@ucam.edu * Corresponding author Universidad de Murcia Department of Civil Engineering Universidad Católica de Murcia Murcia Spain

Abstract

Recycled concrete aggregates (RCAs) and supplementary cementitious materials (SCMs) may substitute some cement and natural aggregates (NA) in concrete manufacturing. However, their effects on recycled aggregate concrete (RAC) compressive strength are difficult to model. Reactivity, silica, and alumina modulus were examined for cementitious materials' chemical complexity. Random Forest approaches were developed to predict and analyze RAC compressive strength. Even with RCAs and SCMs, the RF model accurately estimated concrete compressive strength. The Variable Importance (VI) research examined how input factors affected RAC compressive strength. VI indicated that silica fume contributes most to RAC compressive strength, followed by cementitious materials' reactivity modulus, cement content, silica modulus, fine natural aggregate content, and coarse natural aggregate dosage. The water dosage, water/binder ratio, and RCA content lower the RAC compressive strength. As a result, to highlight, the amount of SCM was not significant, but its nature was (i.e., hydraulic, silica pozzolanic, or alumina pozzolanic).

Keywords:

Random Forest algorithm, compressive strength, supplementary cementitious materials, recycled concrete aggregate, reactivity modulus, silica modulus, alumina modulus, sustainability.

Resumen

Los agregados de concreto reciclado (ACR) y los materiales cementantes suplementarios (MCS) pueden sustituir parcialmente cemento y agregados naturales (NA) en la fabricación de concreto. Sin embargo, sus efectos sobre la resistencia a la compresión del concreto con agregados reciclados (CAR) son difíciles de modelar. Se examinaron los módulos de reactividad, sílice y alúmina para determinar la complejidad química de los materiales cementosos. Se desarrollaron enfoques de Random Forest para predecir y analizar la resistencia a la compresión de los CAR. Incluso con ACR y MCS, el modelo de RF estimó con precisión la resistencia a la compresión del concreto. El análisis de importancia de variable (IV) examinó cómo los factores de entrada afectaron a la resistencia a la compresión del RAC. IV indicó que el humo de sílice contribuye más a la resistencia a la compresión del CAR, seguido del módulo de reactividad de los materiales cementantes, el contenido de cemento, el módulo de sílice, el contenido de agregados naturales finos y la dosificación de agregados naturales gruesos. La dosificación de agua, la relación agua/cemento y el contenido de ACR reducen la resistencia a la compresión de CAR. Como resultado a destacar, la cantidad de MCS no fue significativa, pero sí su naturaleza (es decir, hidráulica, sílice puzolánica o alúmina puzolánica).

Palabras clave:

Algoritmo de bosques aleatorios, resistencia a la compresión, materiales cementantes suplementarios, agregados de concreto reciclado, módulo de reactividad, módulo de sílice, módulo de alúmina, sostenibilidad.

1. Introduction

1.1. Recycled aggregate concrete definition, application and main challenges

The construction and building material market remains dominated by concrete to this day, after becoming widely used since the turn of the 20th century [1]. Throughout most of the world, concrete is made using Portland cement as the major ingredient. During the past 20 years, Portland cement production has increased by three times (from 1.10 to 3.27 billion tons). In 2030, the expansion of the construction industry will lead to a staggering 4,83 billion tonnes of cement being produced [2]. In consequence, concrete production will increase, requiring an increase in natural aggregate (NA) consumption, including fine and coarse aggregates, since the NA constitutes 60-75% of concrete production. According to estimates, NA consumption reached 48.3 billion tonnes in 2015 and has grown at a rate of more than 5% every five years [3]. The current growth rates are expected to lead to a doubling of NA demand within 20 to 30 years [4]. The use of recycled aggregate (RA) from construction and demolition waste (CDW) can therefore conserve NA resources, reduce landfill demands, and contribute to a more sustainable built environment. Concrete produced by this process is referred to as RA concrete (RAC).

Following World War II, demolition waste from construction was used to produce the first RAC. The bombardment of German and English cities during that time generated a tremendous amount of rubble and debris [5]. Globally, 40 billion tons of aggregate grain are produced as a result of a large number of development projects being undertaken throughout the world [6]. The CDW consists of metal, concrete, minerals, and wood, as well as other unsorted fractions and miscellaneous waste. In the last 25 years, RAC has been extensively studied for its mechanical properties, durability, and structural performance. In general, the process of designing concrete mixes for RAC is the same as that used in conventional concrete [7]. A notable characteristic of recycled concrete aggregate (RCA) is that it is extremely water-absorbing, and therefore, it requires more water to be mixed into concrete. Additionally, Poon et al. [8] used scanning electron microscopy to examine the interfacial zone of RAC and conventional concrete. Their results showed that RAC contained predominantly loose and porous hydrate compositions, whereas conventional concrete consisted of dense hydrate compositions. Tam et al. [9] and Etxeberria [10] concluded that RAC microstructures were for the most part more complex than conventional concrete microstructures. RAC has two interfacial transition zones (ITZs): (i) one located between the old mortar matrix and the attached to the RCA (the former ITZ), and (ii) one located between the new mortar matrix and the RCA. RAC is susceptible to failure due to a weak link caused by the porous and cracked mortar.

According to several research reports [11-13], RAC has a significantly lower elasticity modulus than conventional concrete (ranging between 15 and 45%). In general, with increasing RA content in RAC, its compressive strength will decrease [14-17]. The uniaxial compressive strength also decreases with an increase in RCA content [18]. In comparison with concrete produced with natural aggregates, RAC has approximately 81% compressive strength [19]. The low density in the transition zone between paste and aggregate plays a major role in the reduction of strength in RCA, but there are other characteristics of the recycled material that also contribute to this reduction [13]. Through the use of RCA, concrete properties can be improved in several ways, the most significant of which is the adoption of an extended curing cycle and the use of pozzolanic materials combined with an altered water-cement ratio [20]. Moreover, RAC concrete and conventional concrete provide comparable results in terms of uniaxial tensile strength [21]. In the study conducted by Li et al. [14], the researchers demonstrated that when mixing concrete, the proportions of cement and water can be adjusted fairly precisely to accomplish the targetted compressive strength (CS). This finding was corroborated by Buck's [22] experiments, which also demonstrated that RAC could be made stronger than the parent concrete that yields the RCA. Although RAC has a higher chloride ion permeability than conventional concrete [23], it still retains an acceptable resistance to chloride ion penetration [24, 25]. In the RAC, drying shrinkage increased with increased RCA replacement percentages and water-to-cement ratios; however, it decreased when fly ash and superplasticizers were applied [26,27].

In recent years, RCA has been demonstrated to be a promising technique for adding sustainability characteristics to traditional concrete mixtures [28]. Several benefits can result from the use of RA rather than natural aggregates, including a reduction of production costs and the ability to ensure a high level of availability. In comparison with conventional concrete, the cost of replacing RA in 100, 50, and 30% of a fly ash cement composite was compared by Wang et al. [29]. Despite having 2% less strength than its target strength (27.2 MPa), the 30 and 50% fly ash RCA was 15 and 26.5%, respectively, less expensive than conventional concrete. Although these savings may not seem significant, RA could be used to replace NA concrete by up to 100% [30]. Furthermore, the costs for the manufacture of cement composites are further reduced by accounting for the disposal income from construction waste

Nevertheless, it is important to recognize that a major challenge lies in the perception of trustworthiness among users of these materials [31]. The environmental benefits of recycling concrete often outweigh the economic benefits of landfilling or disposing of it. Using this method will reduce pollution, transportation costs, and production costs of concrete, thereby reducing the consumption of natural resources. Since RCA originates from a wide variety of sources, its high degree of variability makes incorporating it into freshly cast concrete an extremely difficult process. The lack of specific guidelines regarding RCA specifications and their physical, chemical, and mechanical properties is another factor that needs to be addressed [32]. In concrete mixes containing RA, the negative chemical properties of the RA can lead to deterioration during use, which can negatively affect the durability and performance of the concrete mix. As well, it is critical to pay attention to other concerns related to physical conditions, (e.g., size, type, angularity, and texture of RA) [33].

CDW can be recycled or reprocessed to replace a substantial proportion of construction materials in many developing countries. The problem is insufficient regulations and a lack of awareness of the advantages of these options. Developed countries are making efforts to promote the use of CDW globally. Therefore, it is likely that in the near future, RA derived from CDW will play a significant role in the commercial industry. The availability of landfill land is decreasing, and the aggregate demand for solid waste is approaching 40 billion tons per year. Due to this particular need, CDW can be viewed as a viable alternative to landfills. Nevertheless, research and development efforts will be required in order to find alternative materials that can be used for the production of concrete containing RA [34].

1.2. Random Forest models

Random Forest (RF) algorithm is a collective learning method that involves inputting data into an ensemble and developing decision trees during the training process to determine a regression model [35,36]. Breiman [37] developed the method by combining bagging sampling [38] and random selection of features [39,40]. A decision tree based on controlled variation has been developed by combining these two methods. The RFs approach utilizes trees as the basis for determining the classification label for every unlabeled instance in the ensemble. In the past decade, RF has become increasingly relevant across almost all disciplines, leading to numerous applications in almost every field, and many more are still in development.

The RFs method, for example, has been effectively utilized to model the properties of subsoils under a variety of conditions [41-44]. The effectiveness of this method has been demonstrated to be reasonable in predicting the behavior of various types of deep foundations [45-47]. A variety of construction management and engineering studies have also successfully applied the method in recent years [48-50]. This approach has also been successful in forecasting pavement material characteristics [51-53]. The modeling approach has been extensively used to model the characteristics of cement-based materials during their fresh and hardened states for the past few decades [54-63].

1.3. Research objectives, and significance

Despite its cost and carbon footprint advantages, RACs have not been used more in construction because of their inferior mechanical and durability properties. By including the appropriate SCMs, the harmful impacts of RCA may be mitigated in concrete. Owing to the vast chemical variety of SCMs and their combinations, material development research may need extensive testing, leading to costly experimental campaigns. This work provides a dependable RF model for predicting and evaluating the CS of concretes incorporating RCAs, even when SCMs are present. This approach is efficient for decreasing development costs and timelines for novel doses.

2. Methodology

2.1. Database

2.1.1. Data collection

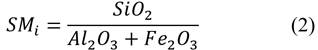
A total of 1181 dosages of RAC with and without SCMs, obtained from 116 literature sources, were gathered for use as train and test data for the model. The database mixture proportions encompassed a wide range of SCMs like silica fume, steel slag, fly ash, rice husk ash, and natural pozzolans, among others. Only those dosages with information on the oxide composition of the cement and all the cementitious materials that allow calculating the equivalent cementitious modulus of the concrete according to the studies by Xie and Visintin [64] were considered for the database. The reactivity of the cementitious materials was effectively assessed by those authors using a large experimental database. The moduli of critical oxides in any binder can be calculated based on their weight fractions, regardless of whether the binder is unary or blended [65]. In this study, the following cementitious indices were accordingly defined: (i) Modulus of reactivity [a RM value refers to the hydraulic reactivity of the binders], (ii) Silica modulus [SM, representing calcium silicate content in the binder (pozzolanic reactivity)], and (iii) Alumina modulus (AM, represents aluminate and ferrite phases in the binder (pozzolanic reactivity)]. Before calculating the aforementioned indices, the relative modules of each cementitious material must be determined. These indices are computed for each cementitious material i using the Eqs. given (1-3):

Where RM i is the reactivity modulus of cementitious material i and SM i and AM i are utilized to define the silica and alumina modulus of cementitious material i respectively.

With the relative reactivity modulus, it is possible to compute the cementitious modulus using Eqs. (4-6):

Where n is the number of cementitious materials in the concrete dosage; and wr i is the ratio by weight of cementitious material i to the sum by weight of all cementitious materials in the dosage.

Therefore, the gathered input variables are as follows: (I1) cement dosage in kg/m3; (I2) silica fume dosage in kg/m3; (I3) SCMs - except silica fume - also in kg/m3; (I4) is the reactivity modulus (RM) as per Eq. (4); (I5) is the silica modulus (SM) as per Eq. (5); (I6) is the alumina modulus (AM) as per Eq. (6); (I7) represents the dosage of fine NA in kg/m3, while (I8) represents the dosage of fine RA; (I9) represents the dosage of coarse NA in kg/m3, and (I10) that of coarse RA; (I11) represents the water dosage in kg/m3; (I12) represents the superplasticizer content in kg/m3 (HRWR); (I13) represents the aggregate's maximum size (MSA) in mm; and (I14) denotes the water-binder ratio (w/b).

2.1.2. Outliers

The term outlier refers to a statistically significant data point that deviates significantly from what is expected, thus revealing an anomaly [66]. An outlier may be discovered in a data set as a result of a mistake made during the experiment, a problem with a measurement variable, or a signal that was detected in newly acquired data. Although outliers can provide insight into exciting possibilities, their presence can present serious challenges to statistical models and analysis, particularly when large datasets are involved [67,68]. There are several methods available for identifying outliers, depending on the type of data being analyzed. These methods can also be used for detecting the emergence of new phenomena as well as detecting anomalous behavior. It is possible to identify outliers using several methods, including Chauvenet's criteria, Grubb's test, ...etc., which rely on averages and standard deviations and assume the data is normally distributed [69].

Typically, outliers are the first factor to be addressed in a regression analysis, which can greatly influence the outcome [70]. The descriptive statistics applied to the variables in this study have been applied in order to detect any outliers among them, in accordance with [71,72]. The data were preprocessed using bivariate boxplots and Cook's distances in order to identify errors, outliers, and odd distributions. With the use of 2D patterns of graphed data in conjunction with robust methods and the use of ellipses to indicate possible errors, a bivariate boxplot can detect outliers as well as inconsistent data [73]. For this approach to be effective, it must, however, be complemented by a critical analysis of the data. It is possible that bivariate boxplots, which display data in two dimensions, would have portrayed some points as suspicious, whereas the rest might have been viewed as clustered, thus hiding the patterns that are actually present in the data [72]. The database was eventually cleaned up by removing 347 outliers, leaving 834 observations that could be used as training and validation data.Table 1 contains the statistical information of the database after the detection and treatment of outliers.

Table 1: Statistical information of resulting database after outlier’s treatment.

Input variable Maximum Minimum Average Standard deviation
I1[cement (kg/m3)] 578.00 117.00 345.12 87.52
I2 [SF (kg/m3)] 35.00 0.00 0.64 3.83
I3 [SCM (kg/m3)] 280.00 0.00 54.52 71.54
I4 [RM] 4.82 1.21 3.17 0.69
I5 [SM] 19.52 0.69 2.63 1.79
I6 [AM] 10.98 0.22 2.46 1.51
I7 [fine NA (kg/m3)] 1066.00 180.00 678.24 163.84
I8 [fine RA (kg/m3)] 611.25 0.00 28.64 94.60
I9 [coarse NA (kg/m3)] 1470.00 0.00 610.69 442.97
I10 [coarse RA (kg/m3)] 1280.00 0.00 424.15 395.27
I11[water (kg/m3)] 277.00 97.00 187.41 27.78
I12[HRWR (kg/m3)] 2.50 0.00 0.37 0.58
I13[MSA (mm)] 31.50 5.00 18.94 4.62
I14 [w/b] 0.75 0.25 0.48 0.08
Compressive strength (MPa) 80.20 17.00 40.92 12.16

Source: The authors.

2.1.3. Data division: train data and test data subsets

We divided the data set randomly into two subsets for the purpose of training and evaluating the random forest prediction models. After outliers were removed, the training dataset contained 75% of the available data, whereas the test dataset contained the remaining 25%. Particular effort was made to ensure that all possible combinations of features and input variables were accounted for in the database before the division was also included in the resultant subsets. During the development of this algorithm, it was necessary to implement a verification filter in order to ensure this condition. During the random division of subsets, if any of the aforementioned criteria are not satisfied, the division is not considered legitimate, and a new division is performed until the condition is satisfied once again.

2.2. Classification and regression trees (CART)

Breiman et al. [74] introduced classification and regression trees (CART) in 1984, an innovative data analysis technique based on computational modeling. CART, sometimes known as a decision tree, has been used for classification and regression issues. A CART model conceptually resembles an inverted tree. This paradigm has both terminal and non-terminal nodes [75]. The solution to a query with two alternative answers should be a non-terminal node that indicates the direction in which two derivative nodes will progress.

The terminal nodes, on the other hand, offer a final forecast [75]. After the strategy has been modified, predicting a reaction is straightforward. With a given set of input variable values, following the tree's path from the root to the terminal nodes is sufficient, answering the questions presented at the non-terminal nodes up to the predicted response value of the response [75]. If the criteria at the non-terminal node is met, the CART model must go to the node on the left; otherwise, it must proceed to the node on the right. According to Genuer and Poggi [75], a CART model entails dividing a space into rational and binary sections, then selecting the best out of both of these divisions that will produce the desired response. Thus, two phases are required to create this prediction technique. Initial construction of a comprehensive CART model must include all terminal and non-terminal nodes and their respective link routes. Then, it is required to prune the whole CART strategy in order to generate optimum subtrees which is picked as the best suitable tree that ensures there is no model overfitting concerns. See references [74-75] for further information on the CART algorithm's technique.

2.3. Random forest prediction models

A Random Forest technique is a machine learning paradigm that integrates numerous tree-prediction models, according to Dietterich [76]. In a regression problem, the ensemble technique estimates the response based on the midpoint of the forecasts from all tree models. The ensemble approach, on the other hand, utilizes a simple majority to solve a classification problem. Since the study given in this publication relies on regression methods, the following explanation focuses on this kind of analysis. The Random Forest regression model consists of m tree-based models . Each CART model is trained using a distinct subset of the total train data [37]. In order to adapt the tree-based techniques, a bootstrapping algorithm picks many random subgroups of data of the same size. As a result, the remaining dataset is not used for this model since each CART model is trained using just a subset of the complete data. Hence, the out-of-bag sample (OOB) data subset might be defined as the fraction of data not used to train a CART [55].

Furthermore, it is vital to specify the two characteristics that must be satisfied for the ensemble technique to be more successful than CART methods used individually. The first criterion is that the performance of any tree model must surpass that of random predictors. The second criterion is that each of the techniques included in the ensembled model must be distinct, i.e., there must be no connection between their mistakes [77]. As seen in Eq. (7), the forecasting approach employed by the Random Forest regression can be computed as the average value of the forecastings of all trees that compound the ensembled model.

Where is the forecast of the response performed by the i regression tree approach, being θ i the bootstrap sampling utilized to fit the individual model.

According to Oshiro et al. [78], increasing the number of trees does not guarantee that the Random Forest method would outperform the previous one (where the number of trees was lower), and increasing the number of trees by a factor of two is illogical. Hence, the Random Forest method takes into consideration an optimal number of CART models [63,78]. References [37,63] can be consulted for a deeper knowledge of these machine-learning methodologies.

Using fourteen input variables, the current study proposes a Random Forest regression model designed to predict the compressive strength of RAC, even when utilizing SCMs. Table 1 contains the definitions of the considered input variables.

2.4. Performance metrics of the Random Forest approach

Using a cross-validation process, the Random Forest regression models were evaluated on the testing subset and modified using the test data. This sort of training aids in avoiding the overfitting and bias difficulties that these machine learning strategies often encounter [79]. In addition, to confirm the validity of the findings, this extra validation process and six statistical performance measures were applied to each of the generated models. Viz., the root of the mean squared error (RMSE), the mean absolute error (MAE), the normalized mean bias error (NMBE), the ratio of the RMSE to the standard deviation of measured data (RSR), the Nash coefficient of efficiency (E), and the coefficient of determination (R2), whose formulations are presented in Eqs. (8-13) respectively. The use of multi-fitness criteria to ensure the correctness of the suggested techniques is made possible by the combination of different statistical indices that may overcome some of the limits of each individual one [79].

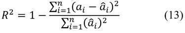
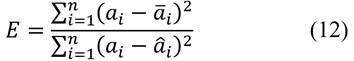
being a database's real value of the dependant variable; Whereas ā represents the mean of the answers to the data, â is the result of the Random Forest regression method, and n is the total number of observations.

2.5. Variable importance in Random Forest approaches

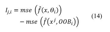
With the Random Forest method, one approach to determine the importance of a variable is to observe how much the model's goodness-of-fit reduces if the variable is removed [37]. Since that each tree-based model has its own OOB data subset, this may be used to determine the significance of a certain input component. Specifically, the OOB predicting performance is calculated for each particular CART technique. The OOB input variable is then randomly shuffled while maintaining the significance of the other components. The forecast accuracy decline resulting from the rearranged data is then calculated. Thus, the estimation of the factor significance of the j input component in the i CART method may be estimated as shown in Eq. (14):

being mse the mean squared error of the forecasting, and represents the forecasting estimated by the individual tree-based regression on the OOB i data subset, removing the factor j.

In the end, the j input's variable importance metrics may be calculated for the Random Forest regression by determining the average variable relevance of each tree model, as shown in Eq. (15):

where I j,RF represents the importance of the input variable j on the considered response as per the ensembled Random Forest regression approach, I j,i represents the importante of that input variable according to the individual tree-based model i, and m is the total number of trees in the Random Forest model.

3. Results and discussions

3.1. Random forest approaches

In this research, the Random Forest regression models were made with the help of the R statistical and programming language [80] and the randomForest package [75]. When the models were being trained, a limit of 1,000 CARTs per model was considered. The number of trees that led to the minor RMSE was used was chosen on the test data subset, as presented in Fig. 1. According to that analysis, a number of 563 CART models was selected for the RF approach.

Measure on the RMSE on the test subset versus the number of CART approaches in the RF model.

Figure 1: Measure on the RMSE on the test subset versus the number of CART approaches in the RF model.

Source: The authors

Fig. 2 shows the first CART individual regression model for the Random Forest method to predict the concrete compressive strength.

First of the 563 CART models that from the RF approach.

Figure 2: First of the 563 CART models that from the RF approach.

Source: The authors

The results of the performance metrics measured in both data subsets is presented in Table 2. Moreover, the regression plot is put forward in Fig. 3. From the analysis of these results, it can be concluded the good efficiency of the model in prediction the CS of RAC even with SCMs.

Table 2: Performance metrics of the RF regression model.

Subset RMSE MAE NMBE RSR E R2
Train 3.548 2.047 0.424% 0.292 0.915 0.919
Test 3.846 2.869 -0.397% 0.317 0.899 0.901

Source: The authors.

RF regression plot on both subsets (i.e., train and test).

Figure 3: RF regression plot on both subsets (i.e., train and test).

Source: The authors

As can be appreciated in Fig. 3 and Table 2, results on train and test data subsets are similar, which points out the good performance of the model regarding overfitting [59,72].

3.2. Variable importance findings

Fig. 4 present the results of the Variable Importance (VI) in RF approach. The correlation between the input factors and the compressive strength of the RAC was examined in this instance in order to gain insight into their relationship. The study found that, in that order, silica fume (I2), RM (I4), and cement dosage (I1) had the most significant influence on the result. Silica fume is known to have significant pozzolanic reactivity due to its tiny particle size (about 150 nm) and high amorphous SiO2 concentration. It forms a CSH gel when it reacts with the pore solution's Ca(OH)2. The increase in CSH leads to the refining of the pore structure of

RF variable importance findings.

Figure 4: RF variable importance findings.

Source: The authors

the cementitious paste. This modification contributes to the enhancement of concrete's mechanical characteristics, particularly its CS [81]. RM is the second most influential parameter on the CS of concrete. Its reactivity is connected to the cement dosage, the most important contributor to this modulus. Moreover, certain SCMs with a high CaO concentration, such as blast furnace slag and type C fly ash, may create cementitious products, enhancing the mechanical properties of the cement paste and the concrete [82]. Researchers determined that adding cement or SCMs with high hydraulic reactivity [83] is a good strategy to mitigate the resistance losses caused by using recycled aggregates, hence validating the VI findings.

Regarding the cement content (I1), it is well known that cement is the principal source of hydration products that are responsible for the increased density and strength, even when RCAs are used [84].

As per [85], some other RAC features have a significant beneficial effect on the reaction of concrete to compressive stresses. These variables include silica modulus (I5), coarse NA content (I9), fine NA content (I8), SCMs excluding silica fume (I3), and superplasticizer dose (I12). Supplementary cementitious materials with high silicon and aluminum content, such as type F fly ash, recycled glass powder, rice husk ash, and metakaolin, possess pozzolanic properties. It has been demonstrated that in adequate proportions, they contribute to the increase in strength, particularly at advanced ages (e.g., after 56 days of curing), as they can react with the water and calcium hydroxide to produce calcium silicate hydrates (CSH) or calcium (CASH). Hydration products contribute to the cement matrix's densification and concrete's mechanical performance at advanced ages [17]. Certain SCMs have hydraulic characteristics that enable them to react with water to form cement-like hydration products [86]. The VI analysis demonstrates that these SCMs contribute to the RM index (I4). The research revealed, however, that the content of SCMs (I3) seems to be of minimal significance, indicating that it is not the dosage of SCMs that is significant but rather their nature. Hence, if these SCMs have hydraulic (recognized by the RM index) or pozzolanic (identified by the SM index) capabilities on the siliceous side, the impact will be favorable. Nevertheless, it will be exposed later that the impact will be notably negative if the pozzolanic characteristics are on the aluminum side (as determined by the AM modulus).

Research [87,88] have indicated that the proportion of NAs replaced with RCAs reduces the compressive strength of concretes with comparable w/b ratios. This is mostly due to the higher water demand required to produce concrete workability and adequate hydration of cement paste and/or cementitious components. RCAs often have greater porosity than NAs and may retain residues of mortar and carbonated hydration products, resulting in lower effective bonding of cementitious elements in the new concrete and, as a result, fewer nucleation sites for freshly created CSH or CASH. The study's findings suggest that superplasticizers are essential for controlling the increasing demand for water in recycled aggregate concrete mixes. Hence, using superplasticizers favors the compressive strength (CS) of concrete, including RCAs, by decreasing the needed water content for such mixes, enhancing CS. When paired with the use of SCMs, its beneficial impact is supposed to compensate for the drop in CS caused by the use of RCAs [89-91]. However, the significance of the SCM appears to be limited in Fig. 4. Nevertheless, the impact of the superplasticizer (I12) on CS seems to be restricted and perhaps obscured by the impacts and interactions of the cement content (I1) and water (I11). It is important to note that superplasticizers are supposed to substantially affect the cement-water system [92]. The water content (I11), the w/b ratio (I14), and the coarse RA are among the most important input factors that negatively impact the CS of concrete containing RCAs [85]. Hence its importance, as observed in Fig. 4, where it can be seen that these factors occupy the fifth and sixth place in relevance. The negative impact of these factors on the compression response of RAC is consistent with the current literature, which demonstrates that water and the w/b ratio have a well-known detrimental effect on the mechanical resistance of concrete. In addition, several studies have shown that using RCAs reduces the CS of concrete proportionally to the replacement volume due to the great porosity, low resistance, and high-water absorption of these recycled aggregates. Hence, it is possible to deduce that recycled aggregates enhance the porosity of concrete, leading to a lower density and CS [88, 93-95].

Fine RA (I8), AM modulus of cementitious materials (I6), and MSA (I13) have a reduced effect on the CS of RAC concrete. Recent research has proved that these factors are harmful but not especially relevant for CS [85]. The impact of SCMs with a high aluminum content on RAC performance is particularly intriguing. Despite their high pozzolanic reactivity index, these components have a detrimental effect on the compressive strength of RAC concretes, according to the VI findings. Many mechanisms may explain this phenomenon, including the production of CASH-type gel compounds and the decrease in pH of the pore solution owing to the high aluminosilicate concentration. Even though this reaction initially enhances mechanical qualities, it is detrimental in the long run [96]. In addition, several research [96,97] observed that the chemical interaction of reactive SiO2 and Al2O3 concentration in SCMs with a high AM modulus increases the temperature during the cement's hydration process, resulting in decreased flowability, which could negatively affect the pouring process and the final mechanical performance of the concrete. In addition, several investigations have shown that more water or superplasticizer is necessary to obtain the appropriate workability when employing SCMs with a high alumina modulus [98-102]. Considering the unique situation of RCAs regarding porosity and water demand, the higher water needs of SCMs with high AM values may explain the findings reported in Fig. 4.

The CS of concrete made only with NAs is influenced by the maximum size of the aggregate (I13). Studies have shown that smaller aggregate sizes require larger amounts of cement paste to achieve a given resistance [59, 103]. Therefore, it can be concluded that a larger MSA should positively influence the CS of concrete. However, in the case of RAC, MSA (I13) has a noticeably negative impact on CS. The reason for this change in trend can be attributed to the fact that the thickness of the interstitial transition zone is directly proportional to the aggregate size [103], and in concrete with recycled aggregate, this zone is even more porous than in concrete made with only NAs, which impairs the CS of the concrete [104]. Hence, as the mixtures in the database combined NA and RCA, this factor appears to have a little significance as per Fig. 4.

4. Conclusions

To predict the CS of concrete with RCA and/or SCMs, this study analyzed the feasibility of using random forest regression. In light of the findings of this study, the following conclusions can be drawn:

  1. The suggested RF approach with 563 CART models’ data presents the lowest RSME on the test data subset. This justifies its selection.

  2. Using different performance metrics, such as RMSE, MAE, NMBE, RSR, E, and R2, gave unbiased information that showed how well the proposed RF regression approach worked. Hence, can be concluded that the RF model is a good way to predict the compressive strength of concrete with RCAs and/or SCMs.

  3. The results of the VI analysis show that the content of SCM does not have much of an effect on the compressive strength of RAC. It is more affected by the properties of the SCMs, such as whether they are hydraulic, pozzolanic on the silicon side, or pozzolanic on the aluminum side.

  4. The findings of the VI analysis were consistent with many international research studies in the field, demonstrating the validity of the model from a scientific perspective.

The study's outcomes are expected to hasten the development of environmentally friendly concrete products, addressing negative environmental impacts in the concrete industry.

In future research, exploring additional AI tools like Bootstrapping systems could be valuable. These systems offer sensitivity analysis through partial dependency graphs, providing insights into how different input variables impact the analyzed concrete's response, enhancing our understanding of its performance.

Also, future work should prioritize experimental validations of AI-derived results. This step will ensure the reliability and robustness of AI-based findings.

Acknowledgements

Acknowledgments

The authors extend their appreciation to Researcher Supporting Project number (RSPD2024R692), King Saud University, Riyadh, Kingdom of Saudi Arabia.

References

  1. [1] Walberg, D., Solid and timber construction in residential buildings/Massiv‐und Holzbau bei Wohngebäuden, Mauerwerk, 20(1), pp.16-31, 2016. DOI: https://doi.org/10.1002/dama.201600685. [URL] 🠔
  2. [2] Deutscher, N., Global Cement Production from 1990 to 2030 (in million metric tons), [online]. 2019. Available at: https://www.statista.com/statistics/373845/global-cement-production-forecast/. [URL] 🠔
  3. [3] Group, F., Global Demand for Construction Aggregates to Exceed 48 Billion Metric Tons in 2015, Concrete Construction, 2012. 🠔
  4. [4] Wang, B., Yan, L., Fu, Q., and Kasal, B., A comprehensive review on recycled aggregate and recycled aggregate concrete, Resources, Conservation and Recycling, 171, art. 105565, 2021. DOI: https://doi.org/10.1016/j.resconrec.2021.105565 [URL] 🠔
  5. [5] Nixon, P., Recycled concrete as an aggregate for concrete-a review, Matériaux et Construction 11, pp. 371-378, 1978. DOI: https://doi.org/10.1007/BF02473878 [URL] 🠔
  6. [6] Slattery, K., Global developments in the aggregate industry, Global Aggregates Information, Network, 2014. 🠔
  7. [7] Zhang, Y., Qin, H., Sun, W., Hao, D., and Ning, Z., Preliminary study on the proportion design of recycled aggregate concrete, China. Concrete and Cement Products 1, pp 7-9, 2002. 🠔
  8. [8] Poon, C.S., Shui, Z., and Lam, L., Effect of microstructure of ITZ on compressive strength of concrete prepared with recycled aggregates, Construction and Building Materials 18(6), pp. 461-468, 2004. DOI: https://doi.org/10.1016/j.conbuildmat.2004.03.005 [URL] 🠔
  9. [9] Tam, V.W., Gao, X., and Tam, C.M., Microstructural analysis of recycled aggregate concrete produced from two-stage mixing approach, Cement and concrete research 35(6), pp. 1195-1203, 2005. DOI: https://doi.org/10.1016/j.cemconres.2004.10.025 [URL] 🠔
  10. [10] Etxeberria, M., Vázquez, E., and Mari, A., Microstructure analysis of hardened recycled aggregate concrete, Mag. Concr. Res. 58(10), pp. 683-690, 2006. DOI: https://doi.org/10.1680/macr.2006.58.10.683. [URL] 🠔
  11. [11] Xiao, J., Experimental investigation on complete stress-strain curve of recycled concrete under uniaxial loading, Journal-Tongji University 35(11), art. 1445, 2007. 🠔
  12. [12] Hu, Q., Song, C., and Zou, C., Experimental research on the mechanical properties of recycled concrete, Journal of Harbin Institute of Technology, 41(4), pp. 33-36, 2009. 🠔
  13. [13] Zhou, J., He, H., Meng, X., and Yang, Y., Basic mechanical properties of recycled concrete experimental study, Journal of Shenyang Jianzhu University(Natural Science). 26(3), pp. 464-468, 2010. 🠔
  14. [14] Li, J., Xiao, J., and Huang, J., Influence of recycled coarse aggregate replacement percentages on compressive strength of concrete, Jianzhu Cailiao Xuebao/Journal of Building Materials, 9(3), pp. 297-301, 2006 🠔
  15. [15] Tang, J., Preliminary study on compressive strength of recycled aggregate concrete, Sichuan Building Science. 33(4), pp. 183-186, 2007. 🠔
  16. [16] Jin, C., Wang, X., Akinkurolere, O., and Jiang, C., Experimental research on the conversion relationships between the mechanical performance indexes of recycled concrete, Chinese Concrete Journal 11, pp. 37-39, 2008. 🠔
  17. [17] Kou, S.C., Poon, C.S., and Chan, D., Influence of fly ash as cement replacement on the properties of recycled aggregate concrete, J. Mater. Civ. Eng. 19(9), pp. 709-717, 2007. DOI: https://doi.org/10.1061/(ASCE)0899-1561(2007)19:9(709). [URL] 🠔
  18. [18] Xiao, J.-Z., and Lan, Y., Investigation on the tensile behavior of recycled aggregate concrete, Jianzhu Cailiao Xuebao. Journal of Building Materials, 9(2), pp. 154-158, 2006. 🠔
  19. [19] Al-Bayati, H.K.A., Das, P.K., Tighe, S.L., and Baaj, H., Evaluation of various treatment methods for enhancing the physical and morphological properties of coarse recycled concrete aggregate, Construction and Building Materials , 112, pp. 284-298, 2016. 🠔
  20. [20] Makul, N., Fediuk, R., Amran, M., Zeyad, A.M., Klyuev, S., Chulkova, I., Ozbakkaloglu, T., Vatin, N., Karelina, M., and Azevedo, A., Design strategy for recycled aggregate concrete: a review of status and future perspectives, Crystals 11(6), art. 695, 2021. DOI: https://doi.org/10.3390/cryst11060695. [URL] 🠔
  21. [21] Liu, Q., Xiao, J., and Sun, Z., Experimental study on the failure mechanism of recycled concrete, Cement and concrete research , 41(10), pp. 1050-1057, 2011. DOI: https://doi.org/10.1016/j.cemconres.2011.06.007. [URL] 🠔
  22. [22] Buck, A.D., Recycled concrete as a source of aggregate: final report, United States. Army. Corps of Engineers, Concrete Technology Information Analysis Center, U.S. Army Engineer Waterways Experiment Station, Concrete Laboratory (U.S.), Waterways Experiment Station, ed., USA, 1976, 34 P. 🠔
  23. [23] Hu, B., Liu, B.-k., and Zhang, L., Chloride ion permeability test and analysis for recycled concrete, Journal of Hefei University of Technology (Natural Science), 32, pp. 1240-1243, 2009. 🠔
  24. [24] Zhang, J., Li, Q., Du, J., and Li, X., Experimental study on mineral admixture and recycled aggregates affecting the rapid chloride permeability of high-performance recycled concrete, Chin. Concr. 2, pp. 94-97, 2009. 🠔
  25. [25] Du, T., Li, H., Guo, T., and Zhou, Z., Test study on the resistance of chloride ion penetration of recycled aggregate concrete, Journal of Wuhan University of Technology, 28(5), pp. 33-36, 2006. 🠔
  26. [26] Lei, Z., and Jin, W., The study on early drying shrinkage of recycled aggregate concrete, in: 2nd International Conference on Waste Engineering and Management-ICWEM 2010, RILEM Publications SARL, 2010, pp. 568-575. 🠔
  27. [27] Zhang, J., Du, H., Zhang, C., and Li, Q., Influence of mineral admixture and recycled aggregate on shrinkage of concrete, Journal of Qingdao Technological University, 34(4), pp. 145-149, 2009. 🠔
  28. [28] Zhou, J., and Jiang, H., Experimental study on shear behavior of recycled coarse aggregate concrete beams, Journal of Shenyang Jianzhu University, 25(4), pp. 683-688, 2009. 🠔
  29. [29] Wang, H., Sun, X., Wang, J., and Monteiro, P.J., Permeability of concrete with recycled concrete aggregate and pozzolanic materials under stress, Materials 9(4), art. 252, 2016. DOI: https://doi.org/10.3390/ma9040252. [URL] 🠔
  30. [30] Kurad, R., Silvestre, J.D., de Brito, J., and Ahmed, H., Effect of incorporation of high volume of recycled concrete aggregates and fly ash on the strength and global warming potential of concrete, Journal of Cleaner Production, 166, pp. 485-502, 2017. DOI: https://doi.org/10.1016/j.jclepro.2017.07.236 [URL] 🠔
  31. [31] Almeida, A., and Cunha, J., The implementation of an Activity-Based Costing (ABC) system in a manufacturing company, Procedia manufacturing, 13, pp. 932-939, 2017. DOI: https://doi.org/10.1016/j.promfg.2017.09.162 [URL] 🠔
  32. [32] Poon, C., Azhar, S., and Kou, S., Recycled aggregates for concrete applications, in: Proceeding of the Materials Science and Technology in Engineering Conference-Now, New and Next, Hong Kong China, 2003. 🠔
  33. [33] Poon, C.S., Kou, S., and Lam, L., Use of recycled aggregates in molded concrete bricks and blocks, Construction and Building Materials , 16(5), pp. 281-289, 2002. DOI: https://doi.org/10.1016/S0950-0618(02)00019-3. [URL] 🠔
  34. [34] Tam, V., Soomro, M., and Evangelista, A., A review of recycled aggregate in concrete applications (2000-2017), Construction and Building Materials 172, pp. 272-292, 2018. _DOI: https://doi.org/10.1016/j.conbuildmat.2018.03.240 [URL] 🠔
  35. [35] Wikipedia contributors, Random Forest, [online]. 2023. (Accessed February 19th of 2023). 🠔
  36. [36] Fawagreh, K., Gaber, M.M., and Elyan, E., Random forests: from early developments to recent advancements, Systems Science & Control Engineering, 2(1), pp. 602-609, 2014. DOI: https://doi.org/10.1080/21642583.2014.956265 [URL] 🠔
  37. [37] Breiman, L., Random forests, Machine Learning, 45, pp. 5-32, 2001. DOI: https://doi.org/10.1023/A:1010933404324. [URL] 🠔
  38. [38] Breiman, L, Bagging predictors, Machine Learning 24, pp. 123-140, 1996. DOI: https://doi.org/10.1007/BF00058655. [URL] 🠔
  39. [39] Ho, T.K., Random decision forests, in: Proceedings of 3rd international conference on document analysis and recognition, IEEE, pp. 278-282, 1995. 🠔
  40. [40] Amit, Y., Geman, D., Shape quantization and recognition with randomized trees, Neural computation 9(7) pp. 1545-1588, 1995. 🠔
  41. [41] Pham, B.T., Qi, C., Ho, L.S., Nguyen-Thoi, T., Al-Ansari, N., Nguyen, M.D., Nguyen, H.D., Ly, H.-B., Le, H.V., and Prakash, I., A novel hybrid soft computing model using random forest and particle swarm optimization for estimation of undrained shear strength of soil, Sustainability, 12(6), art. 2218, 2020. DOI: https://doi.org/10.3390/su12062218. [URL] 🠔
  42. [42] Zhang, W., Wu, C., Zhong, H., Li, Y., and Wang, L., Prediction of undrained shear strength using extreme gradient boosting and random forest based on Bayesian optimization, Geoscience Frontiers, 12(1), pp. 469-477, 2021. DOI: https://doi.org/10.1016/j.gsf.2020.03.007. [URL] 🠔
  43. [43] Tran, Q.A., Ho, L.S., Le, H.V., Prakash, I., and Pham, B.T., Estimation of the undrained shear strength of sensitive clays using optimized inference intelligence system, Neural Computing and Applications 34(10), pp. 7835-7849, 2022. DOI: https://doi.org/10.1007/s00521-022-06891-5. [URL] 🠔
  44. [44] Zhou, J., Li, E., Wei, H., Li, C., Qiao, Q., and Armaghani, D.J., Random forests and cubist algorithms for predicting shear strengths of rockfill materials, Applied Sciences 9(8), art. 1621, 2019. DOI: https://doi.org/10.3390/app9081621. [URL] 🠔
  45. [45] Zhou, Y., Li, S., Zhou, C., and Luo, H., Intelligent approach based on random forest for safety risk prediction of deep foundation pit in subway stations, Journal of Computing in Civil Engineering 33(1), art. 05018004, 2019. DOI: https://doi.org/10.1061/(ASCE)CP.1943-5487.0000796 [URL] 🠔
  46. [46] Pham, T.A., Ly, H.-B., Tran, V.Q., Giap, L.V., Vu, H.-L.T., and Duong, H.-A.T., Prediction of pile axial bearing capacity using artificial neural network and random forest, Applied Sciences 10(5), id. 1871, 2020. DOI: https://doi.org/10.3390/app10051871 [URL] 🠔
  47. [47] Zhang, W., Wu, C., Li, Y., Wang, L., and Samui, P., Assessment of pile drivability using random forest regression and multivariate adaptive regression splines, Georisk: Assessment and Management of Risk for Engineered Systems and Geohazards 15(1), pp. 27-40, 2021. DOI: https://doi.org/10.1080/17499518.2019.1674340. [URL] 🠔
  48. [48] Kang, K., and Ryu, H., Predicting types of occupational accidents at construction sites in Korea using random forest model, Safety Science 120 pp. 226-236, 2019. DOI: https://doi.org/10.1016/j.ssci.2019.06.034. [URL] 🠔
  49. [49] Yaseen, Z.M., Ali, Z.H., Salih, S.Q., and Al-Ansari, N., Prediction of risk delay in construction projects using a hybrid artificial intelligence model, Sustainability 12(4), art. 1514, 2020. DOI: https://doi.org/10.3390/su12041514. [URL] 🠔
  50. [50] Pan, Y., and Zhang, L., Roles of artificial intelligence in construction engineering and management: A critical review and future trends, Automation in Construction 122, art. 103517, 2021. DOI: https://doi.org/10.1016/j.autcon.2020.103517. [URL] 🠔
  51. [51] Daneshvar, D., and Behnood, A., Estimation of the dynamic modulus of asphalt concretes using random forests algorithm, International Journal of Pavement Engineering 23(2), pp. 250-260, 2022. DOI: https://doi.org/10.1080/10298436.2020.1741587 [URL] 🠔
  52. [52] Luo, X., Wang, F., Bhandari, S., Wang, N., and Qiu, X., Effectiveness evaluation and influencing factor analysis of pavement seal coat treatments using random forests, Construction and Building Materials 282, art. 122688, 2021. DOI: https://doi.org/10.1016/j.conbuildmat.2021.122688. [URL] 🠔
  53. [53] Ehsani, M., Moghadas Nejad, F., and Hajikarimi, P., Developing an optimized faulting prediction model in Jointed Plain Concrete Pavement using artificial neural networks and random forest methods, International Journal of Pavement Engineering , 24(2), pp. 1-16, 2022. DOI: https://doi.org/10.1080/10298436.2022.2057975 [URL] 🠔
  54. [54] Vakharia, V., and Gujar, R., Prediction of compressive strength and portland cement composition using cross-validation and feature ranking techniques, Construction and Building Materials 225, pp. 292-301, 2019. DOI: https://doi.org/10.1016/j.conbuildmat.2019.07.224 [URL] 🠔
  55. [55] Zhang, J., Ma, G., Huang, Y., Aslani, F., and Nener, B., Modelling uniaxial compressive strength of lightweight self-compacting concrete using random forest regression, Construction and Building Materials 210, pp. 713-719, 2019. DOI: https://doi.org/10.1016/j.conbuildmat.2019.03.189. [URL] 🠔
  56. [56] Han, Q., Gui, C., Xu, J., and Lacidogna, G., A generalized method to predict the compressive strength of high-performance concrete by improved random forest algorithm, Construction and Building Materials , 226, pp. 734-742, 2019. DOI: https://doi.org/10.1016/j.conbuildmat.2019.07.315. [URL] 🠔
  57. [57] Sun, Y., Li, G., Zhang, J., and Qian, D., Prediction of the strength of rubberized concrete by an evolved random forest model, Adv. Civ. Eng. 2019, pp. 1-7, 2019. DOI: https://doi.org/10.1155/2019/5198583. [URL] 🠔
  58. [58] Farooq, F., Nasir Amin, M., Khan, K., Rehan Sadiq, M., Javed, M.F., Aslam, F., and Alyousef, R., A comparative study of random forest and genetic engineering programming for the prediction of compressive strength of high strength concrete (HSC), Applied Sciences , 10(20), art. 73300, 2020. DOI: https://doi.org/10.3390/app10207330 [URL] 🠔
  59. [59] Abellán-García, J., Four-layer perceptron approach for strength prediction of UHPC, Construction and Building Materials 256, art. 119465, 2020. DOI: https://doi.org/10.1016/j.conbuildmat.2020.119465. [URL] 🠔
  60. [60] Huang, J., Duan, T., Zhang, Y., Liu, J., Zhang, J., and Lei, Y., Predicting the permeability of pervious concrete based on the beetle antennae search algorithm and random forest model, Adv. Civ. Eng . Special Issue 2020, pp.1-11, 2020. DOI: https://doi.org/10.1155/2020/8863181 [URL] 🠔
  61. [61] Khan, M.A., Memon, S.A., Farooq, F., Javed, M.F., Aslam, F., and Alyousef, R., Compressive strength of fly-ash-based geopolymer concrete by gene expression programming and random forest, Adv. Civ. Eng . Special Issue 2021, pp. 1-17, 2021. DOI: https://doi.org/10.1155/2021/6618407. [URL] 🠔
  62. [62] Khambra, G., and Shukla, P., Novel machine learning applications on fly ash based concrete: an overview, Materials Today: Proceedings, 2021. 🠔
  63. [63] Abellan-Garcia, J., and Guzmán-Guzmán, J.S., Random forest-based optimization of UHPFRC under ductility requirements for seismic retrofitting applications, Construction and Building Materials , 285, art. 122869, 2021. DOI: https://doi.org/10.1016/j.conbuildmat.2021.122869 [URL] 🠔
  64. [64] Xie, T., and Visintin, P., A unified approach for mix design of concrete containing supplementary cementitious materials based on reactivity moduli, Journal of Cleaner Production , 203, pp. 68-82, 2018. DOI: https://doi.org/10.1016/j.jclepro.2018.08.254 [URL] 🠔
  65. [65] Limbachiya, M., Marrocchino, E., and Koulouris, A., Chemical-mineralogical characterisation of coarse recycled concrete aggregate, Waste Management, 27(2), pp. 201-208, 2007. DOI: https://doi.org/10.1016/j.wasman.2006.01.005 [URL] 🠔
  66. [66] Aggarwal, C.C., An introduction to outlier analysis, Springer, 2017. DOI: https://doi.org/10.1007/978-3-319-47578-3 [URL] 🠔
  67. [67] Pimentel, M.A., Clifton, D.A., Clifton, L., and Tarassenko, L., A review of novelty detection, Signal Processing, 99, pp. 215-249, 2014. DOI: https://doi.org/10.1016/j.sigpro.2013.12.026. [URL] 🠔
  68. [68] Zimek, A., Schubert, E., and Kriegel, H.P., A survey on unsupervised outlier detection in high‐dimensional numerical data, Statistical Analysis and Data Mining: the ASA Data Science Journal, 5(5), pp. 363-387, 2012. DOI: https://doi.org/10.1002/sam.11161 [URL] 🠔
  69. [69] Wikipedia contributors, Outlier, [online]. 2022. (Accessed February 18 2023). 🠔
  70. [70] Atkinson, A.C., and Riani, M., Robust diagnostic regression analysis, Springer, 2000. DOI: https://doi.org/10.1007/978-1-4612-1160-0 [URL] 🠔
  71. [71] Härdle, W.K., and Simar, L., Applied multivariate statistical analysis, Springer Nature, 2019. DOI: https://doi.org/10.1007/978-1-4612-1160-0 [URL] 🠔
  72. [72] Abellán-García, J., Artificial neural network model for strength prediction of ultra-high-performance concre, ACI Materials Journal 118(4), pp. 1-12, 2021. DOI: https://doi.org/10.14359/51732710 [URL] 🠔
  73. [73] Everitt, B., and Hothorn, T., An introduction to applied multivariate analysis with R, Springer Science & Business Media, 2011. DOI: https://doi.org/10.1007/978-1-4419-9650-3 [URL] 🠔
  74. [74] Breiman, L., Friedman, J., Olshen, R., and Stone, C., Classification and Regression Trees. Chapman and Hall, Eds., New York, USA, 1984. 🠔
  75. [75] Genuer R., and Poggi J-M., Random Forests with R.; 2020. DOI: https://doi.org/10.1007/978-3-030-56485-8 [URL] 🠔
  76. [76] Dietterich, T.G., Ensemble methods in machine learning. In: Lecture Notes in Computer Science (Including Subseries Lecture Notes in Artificial Intelligence and Lecture Notes in Bioinformatics). Vol 1857 LNCS., pp. 1-15, 2000. DOI: https://doi.org/10.1007/3-540-45014-9_1 [URL] 🠔
  77. [77] Auret, L., and Aldrich, C., Interpretation of nonlinear relationships between process variables by use of random forests. Miner Eng. 35, pp. 27-42, 2012. DOI: https://doi.org/10.1016/j.mineng.2012.05.008 [URL] 🠔
  78. [78] Oshiro, T.M., Perez, P.S., and Baranauskas, J.A., How many trees in a random forest? Lect Notes Comput Sci (including SubserLect Notes ArtifIntellLect Notes Bioinformatics), LNAI(May), pp. 154-168, 2012. DOI: https://doi.org/10.1007/978-3-642-31537-4_13 [URL] 🠔
  79. [79] Naser, M.Z., and Alavi, A.H., Error metrics and performance fitness indicators for artificial intelligence and machine learning in engineering and sciences. Archit Struct Constr., 3, pp. 499-517, 2021. DOI: https://doi.org/10.1007/s44150-021-00015-8. [URL] 🠔
  80. [80] R Core Team. R: A Language and Environment for Statistical Computing. Computing RF for S, eds., Vienna, Austria, 2018. 🠔
  81. [81] Çakır, Ö., and Sofyanlı, Ö., Influence of silica fume on mechanical and physical properties of recycled aggregate concrete, HBRC J, 11(2), pp. 157-166, 2015. DOI: https://doi.org/10.1016/j.hbrcj.2014.06.002 [URL] 🠔
  82. [82] Dhandapani, Y., and Santhanam, M., Investigation on the microstructure-related characteristics to elucidate performance of composite cement with limestone-calcined clay combination. CemConcr Res., 129 (December 2019), art. 105959, 2020. DOI: https://doi.org/10.1016/j.cemconres.2019.105959 [URL] 🠔
  83. [83] Moon, G. D., Oh S., Jung, S.H., and Choi, Y.C., Effects of the fineness of limestone powder and cement on the hydration and strength development of PLC concrete. Constr Build Mater. 135, pp. 129-136, 2017. DOI: https://doi.org/10.1016/j.conbuildmat.2016.12.189 [URL] 🠔
  84. [84] Mas, B., Cladera, A., and Bestard, J., Concrete with mixed recycled aggregates: influence of the type of cement. Constr Build Mater . 34, pp. 430-441, 2012. DOI: https://doi.org/10.1016/j.conbuildmat.2012.02.092 [URL] 🠔
  85. [85] Abellán-García, J., y Pineda-Varón, A., Modelo predictivo de redes neuronales para estimar la resistencia a compresión de hormigones con materiales cementantes suplementarios y agregados reciclados, Matéria (Rio J.) 27(2), art. e13218, 2022. DOI: https://doi.org/10.1590/S1517-707620220002.1318 [URL] 🠔
  86. [86] Çakir, O., Experimental analysis of properties of recycled coarse aggregate (RCA) concrete with mineral additives. Constr Build Mater . 68, pp. 17-25, 2014. DOI: https://doi.org/10.1016/j.conbuildmat.2014.06.032 [URL] 🠔
  87. [87] Sobuz, M.H.R., Datta, S.D., Akid, A.S.M., et al. Evaluating the effects of recycled concrete aggregate size and concentration on properties of high-strength sustainable concrete. J King Saud Univ - Eng Sci. art. 004, 2022. DOI: https://doi.org/10.1016/j.jksues.2022.04.004 [URL] 🠔
  88. [88] Zheng, C., Lou, C., Du, G., Li, X., Liu, Z., and Li, L., Mechanical properties of recycled concrete with demolished waste concrete aggregate and clay brick aggregate. Results Phys. 9(April), pp. 1317-1322, 2018. DOI: https://doi.org/10.1016/j.rinp.2018.04.061 [URL] 🠔
  89. [89] Bravo, M., de Brito, J., Evangelista, L., and Pacheco, J., Superplasticizer’s efficiency on the mechanical properties of recycled aggregates concrete: Influence of recycled aggregates composition and incorporation ratio. Constr Build Mater . 153, pp. 129-138, 2017. DOI: https://doi.org/10.1016/j.conbuildmat.2017.07.103 [URL] 🠔
  90. [90] Elsayed, M., Tayeh, B.A., Abu Aisheh, Y.I., El-Nasser, N.A., and Elmaaty, M.A., Shear strength of eco-friendly self-compacting concrete beams containing ground granulated blast furnace slag and fly ash as cement replacement. Case Stud Constr Mater. 17(July), art. 01354, 2022. DOI: https://doi.org/10.1016/j.cscm.2022.e01354 [URL] 🠔
  91. [91] Arul-Prakash, T.V., Natarajan, M., Senthil-Vadivel, T., and Karthik, V., Durability behavior of self compacting concrete made with recycled concrete aggregate. Int J Eng Technol. 7(35), art. 29139, 2018. DOI: https://doi.org/10.14419/ijet.v7i3.35.29139 [URL] 🠔
  92. [92] Zingg, A., Winnefeld, F., and Holzer, L., Interaction of polycarboxylate-based superplasticizers with cements containing different C3A amounts. CemConcr Compos. 31(3), pp. 153-162, 2009. DOI: https://doi.org/10.1016/j.cemconcomp.2009.01.005 [URL] 🠔
  93. [93] Faella, C., Lima, C., Martinelli, E., Pepe, M., and Realfonso, R., Mechanical and durability performance of sustainable structural concretes: an experimental study. Cem Concr Compos. 71(August), pp. 85-96, 2016. DOI: https://doi.org/10.1016/j.cemconcomp.2016.05.009 [URL] 🠔
  94. [94] Deng, X.H., Lu, Z.L., Li, P., and Xu, T., An investigation of mechanical properties of recycled coarse aggregate concrete. Arch Civ Eng. 62(4), pp.19-34, 2016. DOI: https://doi.org/10.1515/ace-2015-0107 [URL] 🠔
  95. [95] Kou, S.C., Poon, C.S., and Agrela, F., Comparisons of natural and recycled aggregate concretes prepared with the addition of different mineral admixtures. Cem Concr Compos . 33(8), pp. 788-795, 2011. DOI: https://doi.org/10.1016/j.cemconcomp.2011.05.009 [URL] 🠔
  96. [96] Rashad, A.M., Metakaolin as cementitious material: history, scours, production and composition-A comprehensive overview. Constr Build Mater . 41, pp. 303-318, 2013. DOI: https://doi.org/10.1016/j.conbuildmat.2012.12.001 [URL] 🠔
  97. [97] Poon, C.S., Lam, L., Kou, S.C., Wong, Y.L., Wong, R., Rate of pozzolanic reaction of metakaolin in high-performance cement pastes. Cement and concrete research , 31(9), pp. 1301-1306, 2001. DOI: https://doi.org/10.1016/S0008-8846(01)00581-6 [URL] 🠔
  98. [98] Wild, S., Sabir, B.B., Bai, J., and Kinuthia, J., Self-compensating autogenous shrinkage in Portland cement-metakaolin-fly ash pastes. Adv Cem Res. 12(1), pp. 35-43, 2000. DOI: https://doi.org/10.1680/adcr.2000.12.1.35 [URL] 🠔
  99. [99] Brooks, J.J., and Johari, M.A., Effect of metakaolin on creep and shrinkage of concrete. Cem Concr Compos . (23), pp. 495-502, 2001. DOI: https://doi.org/10.1016/S0958-9465(00)00095-0 [URL] 🠔
  100. [100] Arizzi, A., and Cultrone, G., Comparing the pozzolanic activity of aerial lime mortars made with metakaolin and fluid catalytic cracking catalyst residue: a petrographic and physical-mechanical study. Constr Build Mater . 184, pp. 382-390, 2018. DOI: https://doi.org/10.1016/j.conbuildmat.2018.07.002 [URL] 🠔
  101. [101] Ferdosian, I., Camões, A., and Ribeiro, M., High-volume fly ash paste for developing ultra-high-performance concrete (UHPC). Cienc e Tecnol dos Mater. 29(1), e157-e161, 2017. DOI: https://doi.org/10.1016/j.ctmat.2016.10.001 [URL] 🠔
  102. [102] Matias, D., De Brito, J., Rosa, A., and Pedro, D., Mechanical properties of concrete produced with recycled coarse aggregates - Influence of the use of superplasticizers. Constr Build Mater . 44, pp. 101-109, 2013. DOI: https://doi.org/10.1016/j.conbuildmat.2013.03.011 [URL] 🠔
  103. [103] Abellán-García, J., and García-Castaño, E., Development and research on Ultra-High-Performance concrete dosages in Colombia: a review. ACI Mater J., 119(3), pp. 209-221, 2022. DOI: https://doi.org/10.14359/51734617 [URL] 🠔
  104. [104] Li, W., Xiao, J., Sun, Z., Kawashima, S., and Shah, S.P., Interfacial transition zones in recycled aggregate concrete with different mixing approaches. Constr Build Mater . 35, pp. 1045-1055, 2012. DOI: https://doi.org/10.1016/j.conbuildmat.2012.06.022 [URL] 🠔
Abellán-García, J., Iqbal-Khan, M., Abbas, Y.M., and Pellicer-Martínez, F. Modeling the impact of supplementary cementitious materials on compressive strength of recycled aggregate concrete forest-random approach. DYNA, 91(231), pp. 94-104, January - Marc
, is a professor of civil engineering at the Universidad del Norte, Barranquilla, Colombia. He received his BSc. from the Polytechnic University of Valencia, Valencia, Spain, his MSc. from the Polytechnic University of Catalonia, Barcelona, Spain, and his PhD. from the Polytechnic University of Madrid, Madrid, Spain. ORCID: 0000-0002-0353-322X
, is a professor of Structural Engineering, Department of Civil Engineering and Managing, and Director of the Center of Excellence for Concrete Research and Testing at King Saud University, Kingdom of Saudi Arabia (KSA). He is an adjunct professor of Structural Engineering, Department of Civil at Missouri University of Science and Technology, Rolla, USA. He received his PhD. from the University of Sheffield, UK in 1999. He is formerly an assistant professor, Department of Civil Engineering, University of Nottingham, UK. ORCID: 0000-0002-7200-4866
Y.M. Abbas, is an associate professor of civil engineering at Department of Civil Engineering, at King Saud University, Kingdom of Saudi Arabia. He received his BSc. from the Sudan University of Science and Technology, Khartoum, Sudan, his MSc. from Khartoum University Khartoum, Sudan, and his PhD. from the PETRONAS University of Technology, Perak, Malaysia. ORCID: 0000-0003-2451-4770
, is a professor of Structural Engineering, Department of Civil Engineering at UCAM Universidad Católica de Murcia, Murcia, Spain. He received his BSc. from the Polytechnic University of Valencia, Valencia, Spain, his MSc. from UCAM Universidad Católica de, Murcia, Spain, and his PhD. from the University of Murcia, Spain. ORCID: 0000-0002-0962-6136