DYNA
0012-7353
2346-2183
Universidad Nacional de Colombia
https://doi.org/10.15446/dyna.v91n231.109579

Recibido: 17 de junio de 2023; Revision Received: 28 de septiembre de 2023; Aceptado: 6 de diciembre de 2023

Predicting the flowability of UHPC and identifying its significant influencing factors using an accurate ANN model

Predicción de la trabajabilidad del UHPC e identificación de sus factores de influencia significativos utilizando un modelo ANN preciso

J. Abellán-García, a M. Khan, b Y. Abbas, b F. Pellicer-Martínez, c

Department of Civil and Environmental Engineering, Universidad del Norte, Barranquilla, Colombia. jabellan@uninorte.edu.co Department of Civil and Environmental Engineering Universidad del Norte Barranquilla Colombia
Department of Civil Engineering, College of Engineering, King Saud University, P.O. Box 800, Riyadh 11421, Saudi Arabia. miqbal@ksu.edu.sa, yabbas@ksu.edu.sa King Saud University Department of Civil Engineering College of Engineering King Saud University Saudi Arabia
Department of Civil Engineering, UCAM Universidad Católica de Murcia, Murcia, Spain. fpellicer@ucam.edu Department of Civil Engineering Universidad Católica de Murcia Murcia Spain

Abstract

In this research, a one-hidden layer artificial neural network paradigm (ANN) was created to forecast the slump flow of ultra-high-performance concrete (UHPC). To achieve this goal, 3,200 ANNs were evaluated to estimate the fresh UHPC’s slump flow utilizing 793 observations. The performance metrics measured on training and test data subsets were in the same order of magnitude, thereby pointing out the proper work of the k-fold validation procedure. The results of the connection weight approach analysis (CWA) indicated that water dosage had the highest positive importance in slump flow, preceding the superplasticizer volume ratio. Other factors that positively influenced slump flow were the water-to-powder ratio, the dosage of high-alkali glass powder, the water-to-binder ratio, and limestone concentration. The most negative influences on rheology were the high-alumina FC3R and metakaolin. The ANN accurately predicted the slump flow of UHPC, while the results of the CWA analysis were well-correlated with previous research.

Keywords:

ANN, slump flow, k-fold validation, connection weight approach, supplementary cementitious materials.

Resumen

En esta investigación, se desarrolló un modelo de red neuronal artificial de una capa oculta para pronosticar el flujo estático del concreto de ultra alto rendimiento (UHPC). Se evaluaron 3200 redes neuronales artificiales para estimar el flujo estático del UHPC fresco utilizando 793 observaciones. Las métricas de rendimiento medidas en los subconjuntos de datos de entrenamiento y de testeo estuvieron en el mismo orden de magnitud, lo que indica el trabajo adecuado del procedimiento de validación cruzada k-fold. Los resultados del análisis de enfoque de peso de conexión (CWA) indicaron que el contenido de agua tuvo la mayor importancia positiva en el flujo estático, precediendo a la relación de volumen del superplastificante. Otros factores que influyeron positivamente en el flujo estático fueron la relación agua-polvos-totales, la dosificación de polvo de vidrio con alto contenido de álcali, la relación agua-aglutinante y la dosificación del carbonato cálcico. La influencia más negativa en la reología fueron el FC3R alto en alúmina y el metacaolín. La ANN predijo con precisión el flujo de asentamiento de UHPC, mientras que los resultados del análisis CWA se correlacionaron bien con investigaciones previas.

Palabras clave:

ANN, flujo estático, validación cruzada tipo k-fold, moldeo de conexión de pesos, materiales cementantes suplementarios.

1. Introduction

1.1. UHPC definition, application, and main challenges

The affordability, resilience, and durability of concrete position it as a widely used construction material. While conventional concrete (CC) has limitations in meeting contemporary needs, collaborative efforts from 1997 to 2002 resulted in ultra-high-performance concrete (UHPC) [1-2]. UHPC, with superior properties, is reinforced with microsteel fibers and defined by ACI 239R-18 as concrete with a minimum compressive strength of 150 MPa. Its microscopic structure and fiber reinforcement contribute to exceptional performance, with a focus on minimizing heterogeneity [3-5]. UHPC employs various reactive powders and maintains a low water content for improved performance [6,7]. Furthermore, UHPC is characterized by its low water content, which lessens the thickness of interfacial transition zones within the cement particles by confining cement particles in small spaces. The disadvantage of this technique is that it reduces the workability of the paste, which requires including superplasticizers in the paste [8]. This concrete is, therefore, objectively designed to exhibit improved ductility in addition to high compressive strength [9].

The popularity of UHPC is growing, evident in its increased applications in bridge construction for both highway and pedestrian use. It finds use in onshore and offshore infrastructures, with notable benefits in earthquake- or impact-prone regions. Recent studies highlight its application in post-stressed railway sleepers, aiming for cost-efficiency and durability. Field tests on prestressed precast UHPC pilings have also been conducted across various structures [10-25].

Nevertheless, while UHPC boasts excellent mechanical performance, its high cost, attributed to expensive constituents and the excessive use of natural resources, hinders widespread adoption [26-29]. To address environmental concerns, waste by-products have been incorporated as supplementary cementitious materials (SCMs) [30-34]. Moreover, the lack of codified guidelines for material and structural designs poses challenges to the utilization of UHPC mixtures with these SCMs [35].

1.2. Importance of workability

Concrete's flowability, crucial for efficient construction, is defined as its ability to work without significant homogeneity loss [36,37]. Assessing this property, often done through a slump cone test, determines how easily fresh concrete can be compacted, finished, and placed on-site without immediate segregation. Customized concrete mixes cater to specific construction types, and flowability is classified as high, medium, low, extremely low, or very low [38]. In concrete technology, flowability is paramount, and advanced mix design procedures alone are insufficient for longevity if proper pouring and compaction are compromised. Hence, understanding factors influencing flowability is imperative.

In the context of UHPC, substituting typical reactive powders with alternative SCMs necessitates rigorous experimental validation to ensure effectiveness [6]. New mixture designs with fewer environmental impacts can alleviate barriers to UHPC popularity. However, mandatory lab experimentation is complex due to cost, duration, and labor intensity. Statistical modeling techniques offer a simplified approach to concrete mix design but face challenges with the large number of variables and complex relationships in UHPC, making traditional regression techniques less effective [38-40].

1.3. Artificial Neural Networks

Artificial Neural Networks (ANNs) have become prominent computational tools for modeling real-life problem-solving, offering insight into complex relationships between input and output data pairs [41]. Widely applied in civil engineering, ANNs demonstrate competence in solving intricate engineering problems related to traffic management, water resources engineering, structural health monitoring, structural classification, materials simulation, and concrete mix design [6,42-47]. The scientific literature reflects a growing trend in using ANNs to forecast the mechanical properties of various cement-based materials [44-47].

ANNs have also been utilized to predict the performance of UHPC through data-driven approaches but limited studies conducted mostly focused on strength forecasting [48,49]. Despite the effectiveness of ANNs in ensuring prediction accuracy, their application to predict the flowability properties of UHPC, especially when incorporating multiple SCMs, remains a subject of inquiry and requires further exploration.

1.4. Research objectives, significance, and organization

This research aims to create a model utilizing an ANN approach to simulate the UHPC flowability. Given the intricate composition and rheological behavior of UHPC, particularly in terms of fresh mix flowability, developing an efficient mix design is challenging. The study incorporates a Connection Weight Approach (CWA) into the ANN model, conducting a sensitivity analysis to elucidate the impact of mixture features on flowability. The significance of this work lies in its potential to streamline the UHPC mix design process by offering a reliable tool for predicting flowability properties. The developed ANN model could assist engineers and researchers in optimizing UHPC mixture composition, reducing waste, and improving production efficiency. The research methodology involved data collection on the flowability properties of UHPC mixtures, data preprocessing, construction of an ANN model using collected data and relevant mix design parameters, and rigorous assessment of model accuracy and reliability through statistical analyses and comparisons with a testing data subset.

2. Data collection

This study has meticulously compiled a comprehensive database incorporating results from 927 slump tests performed on UHPC mixes with various SCMs. Among these, 210 observations stem from in-house experiments conducted in different studies [47,48], while 717 observations were sourced from international proceedings on UHPC, including events like Kassel 2004, 2008, 2012, and 2016, PhD dissertations, and research published in civil engineering journals. Notably, only UHPC mixture proportions providing virtual packing density or sufficient information to estimate it were included. Approximately 80% of the data relates to the static test as per ASTM C1437, with variations in cones' shapes and dimensions in different published research. To ensure consistency, slump flow values were standardized to the ASTM cone using transformation factors [48]. The experimental campaign initially focused on ASTM III cement, with no quartz powder (QP) in the mixtures but various mineral admixtures (see Fig. 1). The database expanded to include different cement types, aggregate possibilities ranging from no-aggregate to coarse-aggregate-UHPC, and the use of QP, incorporating findings from relevant research. The slump flow test involved measuring the diameter of the static slump immediately after the UHPC mixing process, following ASTM C1437 specifications, utilizing a truncated cone-shaped mold and flat plate, with the spread mortar diameter measured in four directions to calculate the slump flow (see Fig. 2).

Mineral admixtures used in this research. From left to right: silica fume, fly ash, GGBFS, glass powder (GP), rice husk ash (RHA), fluid catalytic residue (FC3R), metakaolin (MK), and limestone powder (LP).

Figure 1: Mineral admixtures used in this research. From left to right: silica fume, fly ash, GGBFS, glass powder (GP), rice husk ash (RHA), fluid catalytic residue (FC3R), metakaolin (MK), and limestone powder (LP).

Source: The authors.

Measurement of the slump flow of UHPC using the cone of the ASTM C1437

Figure 2: Measurement of the slump flow of UHPC using the cone of the ASTM C1437

Source: The authors.

3. Methodology

3.1. Data preprocessing

Data preprocessing involves outliers’ detection and normalization. Outliers, defined as significant deviations from a dataset's general behavior, were identified using bivariate boxplots and Cook's distance [49-51]. Further information on these procedures can be found in [48,52-53]. At the end of this process, the database without outliers contained 793 observations.

For its part, data normalization is essential for training ANN regression models. It overcomes issues related to scale and distribution of input variables by bringing them to a common scale (0 to 1 in our case). Normalization ensures equal contribution of each feature to the learning process, prevents dominant features from overshadowing others, and enhances convergence, allowing the model to learn efficiently [48].

Finally, the cleaned and normalized database was split into 80% for training and 20% for testing. Additionally, the training base was divided into four for k-fold validation. This rigorous approach enhances the reliability and robustness of the trained network, improving its generalization capability for more accurate regression predictions [47,48].

3.2. Training procedure

The resilient backpropagation algorithm (RProp) was adopted to train the ANN [55]. The RProp is similar to the conventional backpropagation algorithm, but it is considerably faster and does not require any free parameters (like learning rate). Additionally, it uses feed-forward neural networks to perform supervised batch learning, which has been widely adopted in deep learning applications. The principle of RProp is that the derivative size and step size should not negatively affect the weighting step. Therefore, the direction of the weight update is determined solely by the sign of the derivative. Fig. 3 illustrates the application of the RProp algorithm in the current research.

The RProp algorithm.

Figure 3: The RProp algorithm.

Source: The authors

The nonlinearity nature of the ANN is provided by the activation function known as log sigmoid. The method of this activation function has been well-documented in ANN applications in the concrete engineering field [6,47,48].

3.3. ANN architecture definition using k-fold validation

To define the optimal hidden layer neurons, k-fold validation combined with the average root mean squared error (RMSE) is employed [Eq. (1)]. Here, k-fold validation involves dividing the dataset into k equally sized subsets, or "folds," and then training the neural network on k-1 folds while validating its performance on the leftover partition. This procedure is realized k times, with every partition utilized as the validation dataset once. The average RMSE, which measures the prediction error of the model, is calculated across all k folds [48].

By varying the hidden layer’s number of neurons in the k-fold validation process, the performance of the ANN model is obtained for different configurations. The hidden layer’s number of neurons is varied over a range of values, and the configuration that results in the lowest average RMSE is selected as the optimal number of neurons. In this manner, the most effective neural network architecture is identified to achieve a balance between model complexity and prediction accuracy for the current concrete engineering problem [6].

3.4. ANN performance evaluation

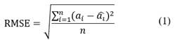
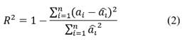
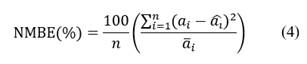
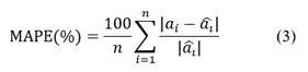
The capability of the model to calculate the targeted response was evaluated based on four parameters: (i) the RMSE; (ii) the coefficient of determination [R 2 , Eq. (2)]; (iii) the mean absolute error [MAPE, Eq. (3)], and (iv) the normalized mean bias error [NMBE, Eq. (4)].

Where,

n: the number of data points in the training and testing sets.

a i : the targeted response.

: the predicted response.

: the mean of the targeted response.

3.5. Connection weight approach

A CWA is a method used to interpret and understand the internal workings of ANNs [56], which are often called "black boxes" due to their complexity and non-linearity. This approach involves analyzing the weights assigned to the connections between neurons in the neural network. It is possible to gain insights into the relative importance of different input features or variables by examining the magnitude and direction of these weights. This approach is useful in interpreting and explaining the decision-making process of ANN used in the concrete investigation by recent research [6,48,57]. Engineers and practitioners in the cementitious materials field will better understand the effect of concrete's components on its characteristics.

4. Results and discussion

4.1. Model description and performance

This study developed an ANN model with a unique one-hidden layer by employing the R statistical language and the neuralnet function. Sixteen different architectures were tested for each activation function, and 100 models were computed for each architecture to mitigate the effect of the connection's initial weight allocation. As a result, a total of 3,200 ANN approaches were established to forecast the slump flow of fresh UHPC utilizing the earlier mentioned 793 test result records. These networks consisted of an input layer containing the input nodes, a hidden layer of computational neurons, and an output layer. The input signals were grouped into two classes:

  • The volume ratio of UHPC-making ingredients: including cement (PC), silica fume (SF), fly ash (FA), ground granulated blast furnace slag (GGBFS), waste ground glass powder (GP), rice husk ash (RHA), fluid catalytic residue (FC3R), metakaolin (MK), limestone powder (LP), water (W), polycarboxylate-based high-range water reducer admixture (HRWR), quartz powder (QP), and total aggregate (A).

  • UHPC’s features: the maximum size of aggregate (MSA), water-to-binder ratio (WB), water-to-total powders ratio (WP), and virtual packing density (VPD), which represents the relationship between components.

The VPD is not typically included in scientific articles but was estimated using the available data, particularly the mean particle size (d50) and the mixture proportion. The calculation of VPD was based on the compressive packing model theory [58-60]. Fig. 4 depicts the average RMSE obtained in the most favorable initial weight allocation versus the hidden layer’s number of neurons. It is evident that three neurons in the hidden layer of the ANN result in the minimum RMSE. Therefore, the ANN configuration shown in Fig. 5 was selected for implementation.

Average RMSE obtained during the k-fold validation training versus the number of neurons in the hidden layer.

Figure 4: Average RMSE obtained during the k-fold validation training versus the number of neurons in the hidden layer.

Source: The authors

Chosen ANN architecture for predicting the UHPC slump flow.

Figure 5: Chosen ANN architecture for predicting the UHPC slump flow.

Source: The authors

The performance of the ANN model was measured using the metrics listed in Table 1. Based on these results, it can be concluded that the ANN approach predicts UHPC slump flow reasonably well, with R2 values of 0.97 and 0.91 for training and testing subsets, respectively. The regression plot shown in Fig. 6 also shows the good performance of the ANN model. Furthermore, the performance metrics on train and test data subsets are in the same order of magnitude, indicating proper implementation of the k-fold validation method [6,47,48].

Table 1: Performance metrics of the ANN regression model.

Subset RMSE R2 MAPE NMBE
Train 7.509 0.971 4.477% -2.175%
Test 9.603 0.909 5.372% -0.137%

Source: The authors.

ANN regression plot discriminating the experimental UHPC’s slump flow values.

Figure 6: ANN regression plot discriminating the experimental UHPC’s slump flow values.

Source: The authors

4.2. CWA findings and discussion

A summary of the findings obtained by the CWA is shown in Fig. 7. The results of the CWA analysis were consistent with expectations, indicating that water content (W) had the highest positive importance in predicting slump flow, followed by HRWR dosage. Other variables that positively influenced slump flow were those related to the water amount (WP, WB), demonstrating relative importance. The dosages of LP, FA, and GP also show a positive influence on the flowability of the mixture. A similar pattern of results was observed in previous studies in this area [6,61].

Findings depicted in the CWA analysis.

Figure 7: Findings depicted in the CWA analysis.

Source: The authors

The significance of LP dosage in the improvement of UHPC rheological performance has been well-established in previous research. Yu, Spiesz, and Brouwers [62] concluded that LP utilized as a partial substitution for C could significantly enhance the flowability of UHPC, emphasizing its importance as a supplementary material in UHPC production. Furthermore, recent studies [63,64] have highlighted the positive impact of LP on the UHPC’s mechanical durability features, making it a promising addition to modern concrete technology. Additionally, LP has shown the ability to mitigate the cement-polycarboxylate incompatibility in UHPC, which poses a serious concern in the application of this excellent cementitious material [65-67].

The fly ash, on the other hand, significantly affects the rheological properties of UHPC. Its particles’ spherical shape improves the concrete mixture's flowability, workability, and cohesion. It reduces internal friction, allowing for smoother movement of particles. This results in enhanced stability, reduced segregation, and improved overall rheological performance of UHPC [48]. On the other hand, fly ash is still an ultra-fine powder that demands water in concrete. Therefore, the fly ash addition produces a limited positive effect as shown in Fig. 7.

The positive influence of GP on concrete can be attributed to its remarkably low water absorption characteristics [7,30,68], which in turn improves the rheology of the concrete. Furthermore, the incorporation of GP in the mixture leads to an augment in alkaline concentration due to its high Na2O concentration [69,70]. Consequently, the liquid phase's higher alkalinity results in the paste's lower shear strength, contributing to increased flowability [7,71,72]. Moreover, it is also relevant to glass particles having almost zero water absorption. Therefore, when partially replacing other components, the inclusion of GP provides more free water to contribute to the rheology properties of concrete [70].

Moreover, MSA has a slightly positive influence on the rheological features of the fresh-state UHPC. In this sense, sand’s maximum size and gradation are critical factors influencing the rheological behavior of this high-performance cementitious composite. Typically, UHPC employs manufactured crushed and classified quartz as micro sand with an MSA value of 600 µm, which may necessitate an increase in binder proportion to ensure adequate flowability [73]. This is due to the fact that smaller sand grains lead to a larger specific surface, requiring a higher amount of paste to achieve the desired workability. Consequently, when the sand volume is fixed, the utilization of sand with a larger maximum particle size can be considered to improve rheological performance and mitigate shear thickening behavior [73,74]. Thus, the larger the particle size, the larger the slump flow of UHPC.

Continuing with the analysis of the CWA results, the following list of UHPC-making materials appears to have a positive but non-significant influence on the rheological features of the UHPC: GGBSF, QP, and VPD.

On the one hand, the collective findings of several recent studies shed light on the significant impact of GGBFS on the rheology and mechanical properties of concrete, supporting the results depicted in Fig. 7. Bature et al. [75] conducted experiments revealing that the addition of GGBFS to concrete resulted in a notable reduction in its dynamic yield stress, leading to improved workability and pumpability. Gokce [76] corroborated these findings, demonstrating that incorporating GGBS into self-compacting concrete notably enhanced its flow consistency. For its part, Torres et al. [77] conducted a comprehensive study examining the impact of different superplasticizers on the reactive powder concrete’s workability and compressive strength when this SCM was incorporated. The results underscored the significant role of superplasticizer type and composition in influencing concrete spread, viscosity, and compressive performance. This effect was found to be far more significant than the GGBSF. Moreover, as per Zang et al. [78], finer particles of slag with sizes up to 30 microns negatively influenced the rheology of concrete, while coarser particles with sizes between 30 and 45 microns had the opposite effect.

To sum up, the above paragraph highlights the findings from recent studies that collectively emphasize that the impact of GGBFS on the rheology of concrete is limited and depends upon its particle size more than chemical reactions [75-79]. The latter supports the results observed in the CWA analysis.

For its part, QP is a constituent of a typical UHPC mixture proportion whose main objective is to contribute to obtaining the desired concrete packing density [79,80]. Similarly, to what we will see occurs with VPD, the CWA analysis shows that this component has a positive effect but is of limited relevance to the UHPC’s slump flow value.

The case of the influence of the VPD on the UHPC’s rheological features can be a little bit controversial when comparing it to other typologies of concrete. The studies reviewed in the field of concrete engineering indicate that particle packing density plays a significant role in the rheological properties of concrete. Ghoddousiet al. [81] demonstrated in their work published in 2014 that exists an optimal packing density for self-consolidating concrete mixtures, which leads to improved velocity and rheological properties. In general, higher packing densities can result in mixtures that require less water, thereby reducing the amount of cement needed. For its part, Chateau [82] provided an overview of the impact of particle properties on packing characteristics and presented predictive models for packing density in particle mixtures. Mehdipour & Khayat [83] conducted a review on the influence of packing features of colloidal and non-colloidal particles on the rheo-physical properties of cementitious suspensions and concluded that the rheological features are mainly influenced by the relative solid packing fraction. Collectively, these studies suggest that optimizing particle packing density can enhance the concrete rheological features and potentially reduce the amount of cement required. However, in the case of UHPC, this situation is negatively compensated by the necessity of ultra-fine particles to obtain the high packing density values that reach values over 0.8 when conventional concrete’s around 0.6 [70]. These ultra-fine particles, such as SF with an average particle size of about 0.15 microns, thereby augmenting drastically the specific surface of the mixture [84,85]. This balance could be the explanation for why VPD appears to be positive but with non-relevant importance in the slump flow of UHPC, contrary to what happens in other concrete types.

The CWA analysis indicates the little adverse effect of aggregate (A) on UHPC’s workability. In this sense, Yang et al. [86] found that the addition of angular manufactured sand, the typical aggregate utilized in UHPC, can negatively affect the flowability and volume stability of this special concrete. According to this research work, the incorporation of quartz angular micro sand might disturb the UHPC particle packing skeleton, leading to a deterioration of the slump flow values.

The next component to be commented on is cement (C), which, as expected, displays a negative influence on the UHPC slump flow. Portland cement clinker’s mineral composition, which includes C3S, C2S, C3A, and C4AF, is a significant factor that affects the workability of any type of fresh concrete. Gypsum is incorporated into the clinker to grind the cement, and each mineral composition reacts with water at different rates and requires different amounts of water. As such, the mineral composition can affect the cement paste’s rheological properties. Ions like SO4 2-, OH-, Na+, and K+ may be released into the water when cement comes into contact with water, which can influence the adsorption of the superplasticizer onto cement particles, thereby influencing cement paste rheological performance [87]. The cement’s fineness also impacts the cement paste’s rheological performance since fine cement particles hydrate faster than coarser ones and require more water for a given flowability. Many researchers have extensively studied cement’s chemical and physical features, and the results indicate that an increase in cement dosage can reduce the flowability of fresh concrete [88]. For instance, Hope et al. [88] found that cement with high Al2O3 or C2S contents requires more water, while cement with high ignition loss, C3S content, or high carbonate concentration demands less water for a given slump. Mork et al. [89] noted that reducing the gypsum-to-hemihydrate ratio can decrease the yield stress of concrete for cement with high C3A and alkalis content, but the effects were less pronounced for cement with lower C3A and alkalis content. Dils et al. [90] examined the impact of cement's chemical composition and refinement on the rheological properties of UHPC and discovered that cement with a high C3A and specific surface, a high alkali content, and a low SO3 content provided poor flowability.

For its part, Chen & Kwan [91] showed that an increase in cement dosage could decrease the fresh concrete’s workability, increasing the yield stress and apparent viscosity, particularly at higher water-to-cement ratios. At lower water content, the addition of superfine cement can improve the rheological properties of cement paste by filling the voids, increasing the packing density, and releasing the water between cement particles, leading to a thicker water film coating the particles in the cement paste. However, at higher water dosages, the addition of superfine cement may not have an obvious influence on the water film thickness due to the high specific surface area, which can increase plastic viscosity and yield stress [87,91]. Hence, the aforementioned pieces of research support the obtained CWA results (Fig. 7).

Regarding the SF, which is UHPC’s most common SCM to enhance mechanical and durability properties. However, excessive dosage of SF can worsen the flowability of UHPC owing to the SF’s small particle size. SF particles are so fine that they augment the specific surface area of the mixture, leading to a greater demand for water and superplasticizers to maintain the required workability. The WB in UHPC is closely linked to the SF content because of the aforementioned reasons [28]. These explanations are in line with the findings presented in Fig. 7.

Incorporating metakaolin (MK) into the UHPC leads to a reduction in slump flow, as the replacement ratio of this SCM increases. This reduction in flowability can be attributed to the accelerating effect of MK on the hydration process, which is supported by the high pozzolanic activity index observed at the early ages of this concrete-making ingredient. Additionally, the high content of amorphous SiO2 and Al2O3, as well as the porous non-spherical particles of MK contribute to the negative impact on workability [92,93]. Moreover, these pieces of research also suggested that the chemical reaction of reactive SiO2 and Al2O3 content of MK can generate enormous heat during the hydration process, which can worsen flowability. Therefore, it should be noted that previous studies have demonstrated that incorporating MK into concrete requires more water or superplasticizer to achieve the desired level of flowability [94,95].

For its part, the incorporation of RHA in concrete results in a decrease in the slump flow value of UHPC, and this effect becomes more significant with an increase in the amount of RHA used (i.e., as the percentage of partial substitution of RHA increases, the factor A value decreases). The negative impact on the rheology of the concrete can be attributed to the non-spherical shape and porosity of RHA particles [48]. The use of materials with higher surface area and water absorption reduces the availability of free water in UHPC. This lower free water content increases friction between the solid particles in the bulk paste, resulting in highly viscous concrete with a lower slump flow. Additionally, replacing cement with RHA by weight leads to a higher paste volume due to RHA's lower density, which reduces the amount of free water available. Therefore, incorporating RHA necessitates greater water and/or superplasticizer contents to achieve the desired workability, as previously reported by [96-97].

Finally, the highest degree of importance is attributed to FC3R. This can be ascribed to the increased formation of ettringite with higher levels of FC3R substitution for C in the concrete, as evidenced in previous studies [48,92], resulting in decreased flowability. Additionally, it has been demonstrated in several investigations that the incorporation of FC3R in concrete necessitates higher water content to achieve the desired workability [48,92,93].

5. Conclusions

The present study proposes a novel approach for predicting the UHPC slump flow using ANN. During the k-fold validation of the training process, the initial weight allocation and number of neurons in the hidden layer were chosen to minimize the RMSE between the actual and predicted values. Accordingly, 3,200 ANN models were constructed using the 793 observations to predict the slump flow of UHPC. The optimized ANN model consisted of seventeen nodes in the input layer, three computational neurons in the hidden layer, and an output layer. The ANN paradigm showed proper accuracy in the prediction of the considered response, achieving an R2 value in the testing subset of 0.91. The CWA approach demonstrated that water content (W) had the highest positive importance in predicting slump flow, followed by superplasticizer content HRWR. Other factors that positively influenced slump flow prediction were the water-to-powder ratio (WP), water-to-binder ratio (WB), limestone content (LP), and recycled glass powder (GP), all of which demonstrated relative importance. The study also found that the maximum size of aggregate (MSA) was a critical factor influencing the UHPC’s rheological performance. Cement displayed a negative influence on the UHPC slump flow. In this sense, the mineral composition of Portland cement clinker, gypsum, and the fineness of cement were factors that affected the rheological behavior of this cementitious material. It is also relevant to highlight that the findings depicted by the CWA analysis were well-correlated with experimental works around the world, which supports the models created.

In this study, we have introduced a novel, optimized one-hidden layer ANN model for the accurate prediction of UHPC slump flow, thereby contributing to the advancement of computational methodologies in civil engineering. The ANN model was rigorously tested against a comprehensive dataset of 793 observations, which were further validated through k-fold cross-validation. The resultant ANN demonstrated remarkable accuracy, achieving an R 2 value of 0.91 in the testing subset. Beyond mere prediction, the study also employed the CWA analysis to identify critical factors influencing the slump flow of UHPC, thereby providing a comprehensive tool for both prediction and understanding the underlying mechanics of UHPC flowability.

Although the ANN approach presented in this study showed promising results in predicting the slump flow of UHPC, some limitations must be acknowledged. First, the dataset used for training and testing the model was limited to the components listed in the manuscript. Therefore, future research should aim to include a broader range of UHPC-making materials (i.e., other SCM, mineral admixtures, and so on) to validate the performance of the ANN approach across a wider range of UHPC compositions.

Second, while the CWA approach identified important factors that influence the slump flow of UHPC, it is important to note that the analysis was based solely on the data used in this study. Therefore, future research should include additional factors and variables that may impact the rheological behavior of UHPC. For instance, the mixing procedure or the addition of ice to the mixture.

Lastly, the current study focused solely on predicting the slump flow of UHPC in the fresh state. Future research should aim to extend this approach to predict other important properties of UHPC, such as compressive strength, flexural strength, and durability.

In summary, the results of this study provide a promising approach for predicting the slump flow of UHPC using an ANN model and identifying important factors that influence its rheological behavior. However, further research is necessary to validate these findings across a broader range of UHPC compositions and to extend this approach to predict other important properties of UHPC.

Acknowledgements

Acknowledgments

The authors would like to express their gratitude to the Researcher Supporting Project number (RSPD2024R692), which is supported by King Saud University in Riyadh, Kingdom of Saudi Arabia.

References

  1. [1] Li, V.C., Fischer, G., Reinforced ECC-An evolution from materials to structures, Proceedings of the 1st fib Congress, International Concrete Federation (Fib), Osaka, Japan, 2002. 🠔
  2. [2] Mohammed, B.H., Sherwani, A.F.H., Faraj, R.H., Qadir, H.H., Younis, K.H., Mechanical properties and ductility behavior of ultra-high performance fiber reinforced concretes: effect of low water-to-binder ratios and micro glass fibers, Ain Shams Engineering Journal 12(2), pp. 1557-1567, 2021. DOI: https://doi.org/10.1016/j.asej.2020.11.008. [URL] 🠔
  3. [3] Khan, M., Abbas, Y., and Fares, G., Review of high and ultrahigh performance cementitious composites incorporating various combinations of fibers and ultrafines, Journal of King Saud University-Engineering Sciences 29(4), pp. 339-347, 2017. DOI: https://doi.org/10.1016/j.jksues.2017.03.006. [URL] 🠔
  4. [4] Rossi, P., Arca, A., Parant, E., and Fakhri, P., Bending and compressive behaviours of a new cement composite, Cement and Concrete Research 35(1), pp. 27-33, 2005. DOI: https://doi.org/10.1016/j.cemconres.2004.05.043. [URL] 🠔
  5. [5] Habel, K., and Gauvreau, P., Response of ultra-high performance fiber reinforced concrete (UHPFRC) to impact and static loading, cement and concrete composites 30(10), pp. 938-946, 2008. DOI: https://doi.org/10.1016/j.cemconcomp.2008.09.001. [URL] 🠔
  6. [6] Abellán-García, J., Fernandez-Gomez, J., and Torres-Castellanos N., Properties prediction of environmentally friendly ultra-high-performance concrete using artificial neural networks, European Journal of Environmental and Civil Engineering 26(6), pp. 2319-2343, 2020. DOI: https://doi.org/10.1080/19648189.2020.1762749. [URL] 🠔
  7. [7] Abellán, J., Fernández, J., Torres, N., and Núñez, A., Statistical optimization of ultra-high-performance glass concrete, ACI Materials Journal 117(1), pp. 243-254, 2020. DOI: https://doi.org/10.14359/51720292. [URL] 🠔
  8. [8] Mielenz, R.C., History of chemical admixtures for concrete, Concrete International 6(4), pp. 40-53, 1984. 🠔
  9. [9] Abellan, J., Torres, N., Núñez, A., and Fernández, J., Ultra high preformance fiber reinforced concrete: state of the art, applications and possibilities into the latin american market, XXXVIII Jornadas Sudam. Ing. Estructural, Lima, Peru, 2018. 🠔
  10. [10] Abellan-Garcia, J., and Guzmán-Guzmán, J.S., Random forest-based optimization of UHPFRC under ductility requirements for seismic retrofitting applications, Construction and Building Materials, 285, art. 122869, DOI: https://doi.org/10.1016/j.conbuildmat.2021.122869. [URL] 🠔
  11. [11] Hajar, Z., Lecointre, D., Simon, A., and Petitjean, J., Design and construction of the world first ultra-high performance concrete road bridges, Proceedings of the Int. Symp. on UHPC, Kassel, Germany, 2004, pp. 39-48. 🠔
  12. [12] Gunes, O., Yesilmen, S., Gunes, B., and Ulm, F.-J., Use of UHPC in bridge structures: material modeling and design, Adv. Mater. Sci. Eng., 2012, art. 319285, 2012. DOI: https://doi.org/10.1155/2012/319285. [URL] 🠔
  13. [13] Voo, Y.L., Foster, S.J., and Voo, C.C., Ultrahigh-performance concrete segmental bridge technology: Toward sustainable bridge construction, J. Bridge Eng. 20(8), B5014001, 2015. DOI: https://doi.org/10.1061/(ASCE)BE.1943-5592.0000704. [URL] 🠔
  14. [14] Gu, C., Zhao, S., Sun, W., and Wang, Q., Production of precast UHPFRC pavement cover plates in High-speed railway construction, Proceedings of International Symposium on Ultra-High-Performance Fiber-Reinforced Concrete, 2013, pp. 463-470. 🠔
  15. [15] López, J.Á., UHPC: a living reality, 27 UHPC Worldwide Innovation, Montpelier, US, 2017. 🠔
  16. [16] Blais, P.Y., and Couture, M., Precast, Pre-stressed Pedestrian Bridge-World's first reactive Powder Concrete Bridge, PCI Journal, 44(5), pp. 60-71, 1999. DOI: https://doi.org/10.15554/PCIJ.09011999.60.71 [URL] 🠔
  17. [17] Behloul, M., and Lee, K., Ductal® seonyu footbridge, Struct. Concr. 4(4), pp. 195-201, 2003. 🠔
  18. [18] Mazzacane, P., Ricciotti, R., Teply, F., Tollini, E., and Corvez, D., MUCEM: the builder's perspective, Proceedings UHPFRC, 2013, pp. 3-16 🠔
  19. [19] Denarié, E., Jacomo, D., Fady, N., and Corvez, D., Rejuvenation of maritime signalisation structures with UHPFRC, 2013. 🠔
  20. [20] Tanaka, Y., Maekawa, K., Kameyama, Y., Ohtake, A., Musha, H., and Watanabe, N., Innovation and application of UFC bridges in Japan, Proceedings of UHPC, 2009, pp. 112-120. 🠔
  21. [21] Bindiganavile, V., Banthia, N., and Aarup, B., Impact response of ultra-high-strength fiber-reinforced cement composite, Materials Journal 99(6), pp. 543-548, 2002. 🠔
  22. [22] Lai, J., Yang, H., Wang, H., Zheng, X., and Wang, Q., Properties and modeling of ultra-high-performance concrete subjected to multiple bullet impacts, J. Mater. Civ. Eng. 30(10), art. 04018256, 2018. DOI: https://doi.org/10.1061/(ASCE)MT.1943-5533.0002462. [URL] 🠔
  23. [23] He, S., Deng, Z., and Yao, J., Seismic behavior of ultra-high performance concrete long columns reinforced with high-strength steel, Journal of Building Engineering 32, art. 101740, 2020. DOI: https://doi.org/10.1016/j.jobe.2020.101740. [URL] 🠔
  24. [24] Bae, Y., and Pyo, S., Ultra high-performance concrete (UHPC) sleeper: structural design and performance, Engineering Structures 210, art. 110374, 2020. DOI: https://doi.org/10.1016/j.engstruct.2020.110374. [URL] 🠔
  25. [25] Vande-Voort, T.L., Suleiman, M.T., and Sritharan, S., Design and performance verification of ultra-high performance concrete piles for deep foundations, 2008. 🠔
  26. [26] Tafraoui, A., Escadeillas, G., and Vidal, T., Durability of the ultra-high performances concrete containing metakaolin, Construction and Building Materials 112, pp. 980-987, 2016. DOI: https://doi.org/10.1016/j.conbuildmat.2016.02.169. [URL] 🠔
  27. [27] Mindess, S., Developments in the formulation and reinforcement of concrete, Woodhead Publishing, 2019. 🠔
  28. [28] Wang, D., Shi, C., Wu, Z., Xiao, J., Huang, Z., and Fang, Z., A review on ultra-high-performance concrete: Part II. Hydration, microstructure and properties, Construction and Building Materials 96, pp. 368-377, 2015. 10.1016/j.conbuildmat.2015.08.095. [DOI] 🠔
  29. [29] The Concrete Portal, Reactive Powder Concrete, 2022. [Accessed February 17 2023]. Available at: Available at: https://www.theconcreteportal.com/reac_pow.html [URL] 🠔
  30. [30] Tagnit-Hamou, A., Soliman, N., and Omran, A., Green ultra-high-performance glass concrete, International Interactive Symposium on Ultra-High-Performance Concrete, Iowa State University Digital Press, 2016. 🠔
  31. [31] Ghafari, E., Costa, H., and Júlio, E., Statistical mixture design approach for eco-efficient UHPC, cement and concrete composites 55, pp. 17-25, 2015. DOI: https://doi.org/10.1016/j.cemconcomp.2014.07.016. [URL] 🠔
  32. [32] Li, W., Huang, Z., Zu, T., Shi, C., Duan, W.H., and Shah, S.P., Influence of nanolimestone on the hydration, mechanical strength, and autogenous shrinkage of ultrahigh-performance concrete, J. Mater. Civ. Eng . 28(1), art. 04015068, 2016. DOI: https://doi.org/10.1061/(ASCE)MT.1943-5533.0001327. [URL] 🠔
  33. [33] Soliman, N.A., and Tagnit-Hamou, A., Partial substitution of silica fume with fine glass powder in UHPC: Filling the micro gap, Construction and Building Materials 139, pp. 374-383, 2017. DOI: https://doi.org/10.1016/j.conbuildmat.2017.02.084. [URL] 🠔
  34. [34] Van Damme, H., Concrete material science: past, present, and future innovations, Cement and Concrete Research 112, pp. 5-24, 2018. DOI: https://doi.org/10.1016/j.cemconres.2018.05.002. [URL] 🠔
  35. [35] Yeh, I.-C., Modeling slump flow of concrete using second-order regressions and artificial neural networks, cement and concrete composites 29(6), pp. 474-480, 2007. DOI: https://doi.org/10.1016/j.cemconcomp.2007.02.001. [URL] 🠔
  36. [36] Mehta, P.K., and Monteiro, P.J., Concrete: microstructure, properties, and materials, McGraw-Hill Education, 2014. 🠔
  37. [37] Chandwani, V., Agrawal, V., and Nagar, R., Modeling slump of ready-mix concrete using genetic algorithms assisted training of Artificial Neural Networks, Expert Systems with Applications 42(2), pp. 885-893, 2015. DOI: https://doi.org/10.1016/j.eswa.2014.08.048. [URL] 🠔
  38. [38] Zhang, J., Zhao, Y., and Li, H., Experimental investigation and prediction of compressive strength of ultra-high-performance concrete containing supplementary cementitious materials, Adv. Mater. Sci. Eng ., 2017, art. 4563164, 2017. DOI: https://doi.org/10.1155/2017/4563164. [URL] 🠔
  39. [39] Ghafari, E., Costa, H., and Júlio, E., Critical review on eco-efficient ultra-high-performance concrete enhanced with nano-materials, Construction and Building Materials 101, pp. 201-208, 2015. DOI: https://doi.org/10.1016/j.conbuildmat.2015.10.066. [URL] 🠔
  40. [40] Khashman, A., and Akpinar, P., Non-destructive prediction of concrete compressive strength using neural networks, Procedia Computer Science 108, pp. 2358-2362, 2017. DOI: https://doi.org/10.1016/j.procs.2017.05.039. [URL] 🠔
  41. [41] Getahun, M.A., Shitote, S.M., and Gariy, Z.C.A., Artificial neural network-based modelling approach for strength prediction of concrete incorporating agricultural and construction wastes, Construction and Building Materials 190, pp. 517-525, 2018. DOI: https://doi.org/10.1016/j.conbuildmat.2018.09.097. [URL] 🠔
  42. [42] Chandwani, V., Agrawal, V., and Nagar, R., Applications of artificial neural networks in modeling compressive strength of concrete: a state of the art review, International Journal of Current Engineering and Technology 4(4), pp. 2949-2956, 2014. 🠔
  43. [43] Duan, Z.-H., Kou, S.-C., and Poon, C.-S., Prediction of compressive strength of recycled aggregate concrete using artificial neural networks, Construction and Building Materials 40, pp. 1200-1206, 2013. DOI: https://doi.org/10.1016/j.conbuildmat.2012.04.063. [URL] 🠔
  44. [44] Sahoo, K., Sarkar, P., and Robin-Davis, P., Artificial neural networks for prediction of compressive strength of recycled aggregate concrete, Int’l Journal of Research in Chemical, Metallurgical and Civil Eng., 3(1), pp. 81-85, 2016. DOI: https://doi.org/10.15242/IJRCMCE.IAE0316414. [URL] 🠔
  45. [45] Abdollahzadeh, A., Masoudnia, R., and Aghababaei, S., Predict strength of rubberized concrete using artificial neural network, WSEAS Transactions on Computers 10(2), pp. 31-40, 2011. 🠔
  46. [46] Khan, S., Ayub, T., and Rafeeqi, S., Prediction of compressive strength of plain concrete confined with ferrocement using artificial neural network (ANN) and comparison with existing mathematical models, American Journal of Civil Engineering and Architecture 1(1), pp. 7-14, 2013. 🠔
  47. [47] Abellán-García, J., Artificial neural Network model for strength prediction of ultra-high-performance concrete, ACI Materials Journal 118(4), pp. 3-14, 2021. DOI: https://doi.org/10.14359/51732710 [URL] 🠔
  48. [48] Abellán-García, J., Dosage optimization and seismic retrofitting applications of Ultra-HighPerformance Fiber Reinforced Concrete (UHPFRC), Thesis dissertation, Polytechnic University of Madrid, 2020. DOI: https://doi.org/10.20868/UPM.thesis.66122 [URL] 🠔
  49. [49] Aggarwal, C.C., An introduction to outlier analysis, Springer 2017. 🠔
  50. [50] Pimentel, M.A., Clifton, D.A., Clifton, L., and Tarassenko, L., A review of novelty detection, Signal Processing, 99, pp. 215-249, 2014. DOI: https://doi.org/10.1016/j.sigpro.2013.12.026. [URL] 🠔
  51. [51] Zimek, A., Schubert, E., and Kriegel, H.P., A survey on unsupervised outlier detection in high‐dimensional numerical data, statistical analysis and data mining: the ASA Data Science Journal 5(5), pp. 363-387, 2012. DOI: https://doi.org/10.1002/sam.11161. [URL] 🠔
  52. [52] Atkinson, A.C., and Riani, M., Robust diagnostic regression analysis, Springer, 2000. 🠔
  53. [53] Härdle, W.K., and Simar, L., Applied multivariate statistical analysis, Springer Nature, 2019. 🠔
  54. [54] Everitt, B., and Hothorn, T., An introduction to applied multivariate analysis with R, Springer Science & Business Media, 2011. 🠔
  55. [55] Riedmiller, M., Untersuchungen zu konvergenz und generalisierungsverhalten uberwachter lernverfahren mit dem SNNS, Proceedings of the SNNS 1993 workshop, 1993. 🠔
  56. [56] Olden, J.D. and Jackson, D.A., Illuminating the ‘black box’: a randomization approach for understanding variable contributions in artificial neural networks, Ecol. Modell., 154(12), pp. 135-150, 2002, DOI: https://doi.org/10.1016/S0304-3800(02)00064-9. [URL] 🠔
  57. [57] Abellan.Garcia, J., and García-Castaño, E., A comparative study of LASSO and ANN regressions for the prediction of the direct tensile behavior of UHPFRC, Adv. Civ. Eng. Mater., 11(1), 2022, DOI: https://doi.org/10.1520/ACEM20210101. [URL] 🠔
  58. [58] De Larrard, F. and Sedran, T., Optimization of ultra-high-performance concrete by the use of a packing model, Cem. Concr. Res., 24(6), pp. 997-1009, 1994, DOI: https://doi.org/10.1016/0008-8846(94)90022-1. [URL] 🠔
  59. [59] De Larrard, F., Concrete mixture proportioning: a scientific approach., in Modern concrete technology series, E&FN SPON., 1999. 🠔
  60. [60] De Larrard, F., and Sedran, T., Mixture-proportioning of high-performance concrete, Cem. Concr. Res ., 32(1)1, pp. 1699-1704, 2002, DOI: https://doi.org/10.1016/S0008-8846(02)00861-X. [URL] 🠔
  61. [61] Jaramillo-Murcia, D.C., Abellán-Garcia, J., Torres-Castellanos, N., and García-Castaño, E., Properties analysis of UHPC with recycled glass and limestone powders, ACI Mater. J., 119(5), pp. 153-164, 2022, DOI: https://doi.org/10.14359/51736006. [URL] 🠔
  62. [62] Yu, R., Spiesz, P., and Brouwers, H.J.H., Mix design and properties assessment of Ultra-High Performance Fibre Reinforced Concrete (UHPFRC), Cem. Concr. Res ., 56, pp. 29-39, 2014, DOI: https://doi.org/10.1016/j.cemconres.2013.11.002 [URL] 🠔
  63. [63] Huang, W., Kazemi-Kamyab, H., Sun, W., and Scrivener, K., Effect of cement substitution by limestone on the hydration and microstructural development of ultra-high-performance concrete (UHPC), Cem. Concr. Compos., 77, pp. 86-101, 2017, DOI: https://doi.org/10.1016/j.cemconcomp.2016.12.009. [URL] 🠔
  64. [64] Abellán-García, J., Study of nonlinear relationships between dosage mixture design and the compressive strength of UHPC, Case Stud. Constr. Mater., 17 (May), 2022, DOI: https://doi.org/10.1016/j.cscm.2022.e01228. [URL] 🠔
  65. [65] Park, S., Wu, S., Liu, Z., and Pyo, S., The role of supplementary cementitious materials (Scms) in ultra-high-performance concrete (uhpc): a review, Materials (Basel)., 14(6), pp. 1-24, 2021, DOI: https://doi.org/10.3390/ma14061472. [URL] 🠔
  66. [66] Yu, R., Spiesz, P. and Brouwers, H.J., Development of an eco-friendly Ultra-High-Performance Concrete (UHPC) with efficient cement and mineral admixtures uses, Cem. Concr. Compos ., 55, pp. 383-394, 2015, DOI: https://doi.org/10.1016/j.cemconcomp.2014.09.024. [URL] 🠔
  67. [67] Turk K. and Demirhan, S., Effect of limestone powder on the rheological, mechanical and durability properties of ECC, Eur. J. Environ. Civ. Eng., 21(9), pp. 1151-1170, 2017, DOI: https://doi.org/10.1080/19648189.2016.1150902. [URL] 🠔
  68. [68] Soliman N.A. and Tagnit-Hamou, A., Using glass sand as an alternative for quartz sand in UHPC, Constr. Build. Mater., 145, pp. 243-252, 2017. DOI: https://doi.org/10.1016/j.conbuildmat.2017.03.187. [URL] 🠔
  69. [69] Rashad, A.M., Recycled waste glass as fine aggregate replacement in cementitious materials based on Portland cement, Constr. Build. Mater ., 72, pp. 340-357, 2014, DOI: https://doi.org/10.1016/j.conbuildmat.2014.08.092. [URL] 🠔
  70. [70] Guo, P., Bao, Y., and Meng, W., Review of using glass in high-performance fiber-reinforced cementitious composites, Cem. Concr. Compos ., 120, art. 104032, 2021, DOI: https://doi.org/10.1016/j.cemconcomp.2021.104032. [URL] 🠔
  71. [71] Pedrajas, C., Rahhal, V., and Talero, R., Determination of characteristic rheological parameters in Portland cement pastes, Constr. Build. Mater ., 51, pp. 484.491, 2014. DOI: https://doi.org/10.1016/j.conbuildmat.2013.10.004. [URL] 🠔
  72. [72] Abellan-Garcia, J., Khan, M.I., Abbas, Y. M., Castro-Cabeza, A., and Carrillo, J., Multi-criterion optimization of Low-Cost, Self-compacted and Eco-Friendly micro-calcium-carbonate- and waste-glass-flour-based ultrahigh-performance concrete, Constr. Build. Mater ., 371, art. 130793, 2023. DOI: https://doi.org/10.1016/j.conbuildmat.2023.130793 [URL] 🠔
  73. [73] Khayat, K.H., Meng, W., Vallurupalli, K., and Teng, L., Rheological properties of ultra-high-performance concrete - An overview, Cem. Concr. Res . 124, art. 105828, 2019. DOI: https://doi.org/10.1016/j.cemconres.2019.105828. [URL] 🠔
  74. [74] Westerholm, M., Lagerblad, B., Silfwerbrand, J., and Forssberg, E., Influence of fine aggregate characteristics on the rheological properties of mortars, Cem. Concr. Compos ., 30(4), pp. 274-282, 2008. DOI: https://doi.org/10.1016/j.cemconcomp.2007.08.008. [URL] 🠔
  75. [75] Bature, A.S., Khorami, M. and Lawan, A., Effects of ground granulated blast furnace slag and pulverized fuel ash on rheology of concrete, Niger. J. Technol., 9(1), pp. 97-104, 2020. DOI: https://doi.org/10.4314/njt.v39i1.10. [URL] 🠔
  76. [76] Gökçe M., and Şimşek, O., The effect of calcite and blast furnace slag on the rheology properties of self-compacting concrete in meso and macro scales, Rev. La Constr., 20(1), pp. 190-204, 2021. DOI: https://doi.org/10.7764/RDLC.20.1.190. [URL] 🠔
  77. [77] Torres A., Aguayo, F., Allena, S., and Ellis, M., The effect of various polynaphthalene sulfonate based superplasticizers on the workability of reactive powder concrete, J. Build. Mater. Sci., 2(1), pp. 24-29, 2021. DOI: https://doi.org/10.30564/jbms.v2i1.2731. [URL] 🠔
  78. [78] Zang, J., Li, W. and Shen, X., The influence of steel slag with variable particle size distribution on the workability and mechanical properties of concrete, Ceram. - Silikaty, 63(1), pp. 67-75, 2019. DOI: https://doi.org/10.13168/cs.2018.0046. [URL] 🠔
  79. [79] Mayhoub, O.A., Nasr, E.S.A.R., Ali, Y.A., and Kohail, M., The influence of ingredients on the properties of reactive powder concrete: a review, Ain Shams Eng. J., 12(1), pp. 145-158, 2021. DOI: https://doi.org/10.1016/j.asej.2020.07.016. [URL] 🠔
  80. [80] Mosaberpanah, M.A., and Eren, O., Effect of quartz powder, quartz sand and water curing regimes on mechanical properties of UHPC using response surface modeling, Adv. Concr. Constr., 5(5), pp. 481-492, 2017. DOI: https://doi.org/10.12989/acc.2017.5.5.481. [URL] 🠔
  81. [81] Ghoddousi, P., Shirzadi Javid, A., and Sobhani, J., Effects of particle packing density on the stability and rheology of self-consolidating concrete containing mineral admixtures, Constr. Build. Mater ., 53, pp. 102-109, 2014. DOI: https://doi.org/10.1016/j.conbuildmat.2013.11.076. [URL] 🠔
  82. [82] Chateau, X., “6 - Particle packing and the rheology of concrete,” in Understanding the Rheology of Concrete, N. Roussel, Ed. Woodhead Publishing, 2012, pp. 117-143. 🠔
  83. [83] Mehdipour, I., and Khayat, K.H., Understanding the role of particle packing characteristics in rheo-physical properties of cementitious suspensions: a literature review, Constr. Build. Mater ., 161, pp. 340-353, 2018. DOI: https://doi.org/10.1016/j.conbuildmat.2017.11.147. [URL] 🠔
  84. [84] Ibrahim, M.A., Farhat, M., Issa, M.A., and Hasse, J.A., Effect of material constituents on mechanical & fracture mechanics properties of ultra-high-performance concrete, ACI Struct. J., 114(3), pp. 453-465, 2017. DOI: https://doi.org/10.14359/51689717. [URL] 🠔
  85. [85] Amin, M., Zeyad, A.M., Tayeh, B.A., and Saad Agwa, I., Effect of ferrosilicon and silica fume on mechanical, durability, and microstructure characteristics of ultra-high-performance concrete, Constr. Build. Mater ., 320, art. 126233, 2022. DOI: https://doi.org/10.1016/j.conbuildmat.2021.126233. [URL] 🠔
  86. [86] Yang, R., Yu, R., Shui, Z., Guo, C., Wu., S., and Gao, X., The physical and chemical impact of manufactured sand as a partial replacement material in Ultra-High-Performance Concrete (UHPC), Cem. Concr. Compos ., 99, pp. 203-213, 2019. DOI: https://doi.org/10.1016/j.cemconcomp.2019.03.020. [URL] 🠔
  87. [87] Jiao, D., Shi, C., Yuan, Q., An, X., Liu, Y., and Li, H., Effect of constituents on rheological properties of fresh concrete. A review, Cem. Concr. Compos ., 83, pp. 146-159, 2017. DOI: https://doi.org/10.1016/j.cemconcomp.2017.07.016. [URL] 🠔
  88. [88] Hope, B., and Rose, K., Statistical analysis of the influence of different cements on the water demand for constant slump. Properties of fresh concrete, in Proc of the Coll, RILEM, Chapman and Hall, 1990, pp. 179-186. 🠔
  89. [89] Mork, J.H. and Gjoerv, O.E., Effect of gypsum-hemihydrate ratio in cement on rheological properties of fresh concrete, ACI Mater. J ., 94(2), pp. 142-146, 1997. 🠔
  90. [90] Dils, J., Boel, V., and De Schutter, G., Influence of cement type and mixing pressure on air content, rheology and mechanical properties of UHPC, Constr. Build. Mater ., 41, pp. 455-463, 2013. DOI: https://doi.org/10.1016/j.conbuildmat.2012.12.050. [URL] 🠔
  91. [91] Chen J.J. and Kwan, A.K.H., Superfine cement for improving packing density, rheology and strength of cement paste, Cem. Concr. Compos ., 34(1), pp. 1-10, 2012. DOI: https://doi.org/10.1016/j.cemconcomp.2011.09.006. [URL] 🠔
  92. [92] Abellán-García J. and García-Castaño, E., Development and research on ultra-high-performance concrete dosages in Colombia: a review, ACI Mater. J ., 119(3), pp. 209-221, 2022. DOI: https://doi.org/10.14359/51734617. [URL] 🠔
  93. [93] Camacho-Torregrosa, E., Dosage optimization and bolted connections for UHPFRC ties, Polytechnic University of Valencia, Spain, 2013. 🠔
  94. [94] Arizzi ,A. and Cultrone, G., Comparing the pozzolanic activity of aerial lime mortars made with metakaolin and fluid catalytic cracking catalyst residue: a petrographic and physical-mechanical study, Constr. Build. Mater ., 184, pp. 382-390, 2018. DOI: https://doi.org/10.1016/j.conbuildmat.2018.07.002. [URL] 🠔
  95. [95] Abellan-Garcia, J., Santofimo-Vargas, M.A., and Torres-Castellanos, N., Analysis of metakaolin as partial substitution of ordinary Portland cement in Reactive Powder Concrete, Adv. Civ. Eng. Mater ., 9(1), pp. 368-386, 2020, DOI: https://doi.org/10.1520/ACEM20190224. [URL] 🠔
  96. [96] Abellan-Garcia, J., Effect of rice husk ash as partial replacement of ordinary Portland cement in ultra-high-performance glass concrete, European Journal of Environmental and Civil Engineering , 2023. DOI: https://doi.org/10.1080/19648189.2023.2219722 [URL] 🠔
  97. [97] Abellan-Garcia, J., Martinez, D.M., Khan, M.I., Abbas, Y.M., and Pellicer-Martinez, F., Environmentally friendly use of rice husk ash and recycled glass waste to produce ultra-high-performance concrete, Journal of Materials Research and Technology, 25, pp. 1869-1881, 2023. DOI: https://doi.org/10.1016/j.jmrt.2023.06.041. [URL] 🠔
Abellán-García, J., Iqbal Khan, M., Abbas, Y. M., & Pellicer-Martínez, F. Predicting the flowability of UHPC and identifying its significant influencing factors using an accurate ANN model. DYNA, 91(231), pp. 27-36, January - March, 2024.
, is a professor of civil engineering at Universidad del Norte, Barranquilla, Colombia. He received his BSc. from the Polytechnic University of Valencia, Valencia, Spain. MSc. from the Polytechnic University of Catalonia, Barcelona, Spain; and PhD. from the Polytechnic University of Madrid, Madrid, Spain. ORCID: 0000-0002-0353-322X
, is a professor of structural engineering, in the Civil Engineering Department, and Managing Director of Center of Excellence for Concrete Research and Testing at King Saud University, Kingdom of Saudi Arabia (KSA). He is an adjunct professor of structural engineering, Department of Civil at Missouri University of Science and Technology, Rolla, USA. He received his PhD. from the University of Sheffield, UK in 1999. He is formerly an assistant professor, the Department of Civil Engineering, University of Nottingham, UK. ORCID: 0000-0002-7200-4866
, is professor of civil engineering at the Department of Civil Engineering, at King Saud University, Kingdom of Saudi Arabia. He received his BSc. from the Sudan University of Science and Technology, Khartoum, Sudan. MSc. from the Khartoum University Khartoum, Sudan. PhD. from the Petronas University of Technology, Perak, Malaysia. ORCID: 0000-0003-2451-4770
, is a professor of structural engineering, Department of Civil Engineering at Catholic University of Murcia, Murcia, Spain. He received his BSc from the Polytechnic University of Valencia, Valencia, Spain. MSc. from University of Murcia, Murcia, Spain, and PhD. from the University of Murcia, Spain. ORCID: 0000-0002-0962-6136