DYNA
0012-7353
2346-2183
Universidad Nacional de Colombia
https://doi.org/10.15446/dyna.v91n231.109853

Recibido: 3 de julio de 2023; Revision Received: 12 de diciembre de 2023; Aceptado: 8 de enero de 2024

Simulation analysis of school road traffic characteristics

Análisis de simulación de las características del tráfico escolar

H. Liu, a H. Deng, a J. Li, a Y. Zhao, a S. Yang, a

Department of Transportation Planning and Management, Jilin University, Institute of Transportation, Chang Chun, China. liuhuasheng521@163.com, deng19963009040@163.com, li_jin@jlu.edu.cn, zhaoyq16@163.com, ys18886335213@163.com Jilin University Department of Transportation Planning and Management Jilin University China

Abstract

This study aims to identify key factors and sensitive intervals affect the school road traffic characteristics. We collect traffic data from the parking area and the school road (400-700 meters). The simulation is calibrated to ensure the error of outputs are within 1.5%. A sensitivity analysis method is proposed, it makes the multifactor comparable. The sensitivity factors of vehicle delay, queue length, and average speed are 1.44, 2.03, and 0.28 in school road, and the bottleneck road are 3.07, 4.44, and 0.65. The traffic indicators change more concentrated in bottleneck road but greater in school road. 6 scenarios are created to analyze school road traffic characteristics. Traffic flow (TF), number of parking spaces (NPS), and stopping time (ST) are selected as variables. Scenarios 1-3 are univariate, and scenarios 4-6 are bivariate. TF is the key factor with a sensitivity interval of [1300,1700].

Keywords:

urban traffic, traffic characteristic, simulation analysis, sensitivity analysis, school commuting.

Resumen

El objetivo de este estudio es identificar los factores clave y las zonas sensibles que afectan a las características del tráfico de las carreteras escolares. Recogemos datos de tráfico de la zona de aparcamiento y de la carretera escolar (400-700 metros). La simulación se calibró y el error de salida se situó dentro del 1,5%. Se propone un enfoque de análisis de sensibilidad multifactorial. Los coeficientes de sensibilidad para el retraso de los vehículos, la longitud de las colas y la velocidad media son 1,44, 2,03 y 0,28 para la sección de los colegios y 3,07, 4,44 y 0,65 para la sección de los cuellos de botella. Las variables son el flujo de tráfico (TF), el número de plazas de aparcamiento (NPS) y el tiempo de parada (ST). Los escenarios 1-3 y 4-6 se establecieron como univariantes y bivariantes.TF fue el factor clave con un intervalo de sensibilidad de [1300,1700].

Palabras clave:

tráfico urbano, características del tráfico, análisis de simulación, análisis de sensibilidad, transporte escolar.

1. Introduction

An important part of urban traffic travel is school commuting. The school has always been used as an important traffic generator and attraction point, crowding effect caused by private car pick-ups and drop-offs adds to school road traffic problems [1]. The number of private cars has a serious impact on the school road traffic status [2]. As the requirements of on-street parking, the resulting drive-in and drive-out process creates significant disruption to road traffic flow. This has resulted in a reduction in the capacity and worse evaluation indicators [2]. It also threatens student travel safety [3]. Hence, school roads have become a pain point for urban traffic during commuting hours. There is a serious need for research on the traffic characteristics of school roads.

Traffic characteristics refer to the traffic system in traffic flow under different conditions of the change law and the interrelationship between the sum of the quantitative or qualitative descriptions. Thus, the study of traffic flow characteristics is the basis for an in-depth analysis of the mechanism of traffic problems on road sections, which can guide the proposal of improvement strategies and optimization of traffic design. Several countries (regions) have conducted early research on traffic flow characteristics and prepared corresponding road access manuals for road traffic conditions in their countries (regions), of which the most widely used is the U.S. Highway Capacity Manual. Research experience has shown average speed is an effective indicator of traffic characteristics. There is a positive correlation between the road capacity (the maximum passing rate) and average speed in urban traffic, and the increase in input traffic volume will result in higher roadway density and a significant decrease in vehicle speeds [4]. And the more on-street parking behavior, the worse he maximum passing rate is [2]. The velocity-flow relationship can be divided into two parts. When the traffic flow is less than a certain value, the speed is approximately equal to the free-flow speed (roadway speed limit), while when the traffic flow is greater than a certain value, the relationship between the speed and the traffic flow is nonlinear [5]. And there are differences in the speed-density relationship at different traffic flows [6]. Vehicle delay and queue length are the key indicators for evaluating traffic efficiency and reflect stability of traffic flow [7,8]. Vehicle delay and queue length always have similar trends when traffic parameters are varied. And they are heavily influenced by traffic flow [9]. Queuing tends to occur when the first vehicle exhibits deceleration behavior [8]. During commute hours, when queue length is greater than a certain threshold, roadway capacity breaks down and impacts travel time [10]. Vehicle delay is strongly correlated with congestion zone length and congestion duration [11]. Therefore, when analyzing the vehicle delay and queue length, it is necessary to identify the key factors that contribute to the traffic problems of the study scenarios. This is also the requirement for proposing targeted optimization strategies.

The school and bottleneck roads are both similar and different in traffic characteristics. This is because One of the lanes in the school road is occupied due to on-street parking, but it still has capacity due to the short parking time. In this study, the bottleneck road is defined as a roadway with a reduced number of lanes in the urban scenario. Currently, few studies have compared the traffic characteristics between them. But extensive research has been carried out on bottleneck roads. Traffic efficiently of the bottleneck road is seriously affected by traffic flow [12]. As traffic flow increase, the evaluation indicators become terrible, e.g., the queue length increases and average vehicle speed decreases [13,14]. Traffic simulation is often used to develop further analysis of bottleneck road traffic status [15]. The bottleneck road traffic flow indicators can occur significant critical eigenvalues. This always appears when during traffic state transitions [16].

Acquisition of traffic data is the basis for the traffic characteristics study. Because of the high cost, difficulty, and low precision in actual data collection, traffic simulation is always used to study traffic characteristics. The simulation contains many parameters to describe traffic system operations, traffic flow characteristics, and driver behavior. The parameters directly affect the interaction between vehicles and lead to a fundamental difference in simulation results. Therefore, it is necessary to collect actual data to calibrate the simulation parameters [17]. Because some of them represent subtle features that are difficult to isolate, or that would require extensive data collection. The calibration problem for simulation is transformed into an optimization problem [18,19]. To minimize the error between the simulated and actual values for evaluation indicators (e.g., queue length), the parameter values are continuously adjusted during the calibration process [20]. The traffic and geometric data used to develop and calibrate the simulation are based on actual roads, e.g., Field Survey and OpenStreetMap (OSM) [21]. Due to the obvious differences in traffic parameters such as vehicle speed between the upstream and downstream of the road, the locations of change in parameter values should be identified in the actual observation and a simulation detector should be set up [22]. The calibrated simulation outputs are reliable. This can provide a realistic reflection of the actual road traffic characteristics [23].

The study focuses on school road traffic characteristics by simulation. In the part 2, simulation is constructed. To reflect actual traffic characteristics, data observations are made at the stopping zone and starting and ending points of the school road. The simulation parameters are calibrated by collecting observations. In the part 3, the differences in traffic characteristics between the school and bottleneck roads are analyzed by sensitivity analysis. In the part 4, the school road traffic characteristics are analyzed in depth. Six scenarios are set to qualitatively and quantitatively analyze the relationship between variables (TF, NPS and ST) and evaluation indicators (vehicle delay, queue length and average speed). In parts 5 and 6, we discuss the reliability of the findings and summarize the study.

2. Traffic simulation build and driving behavior parameter calibration

For the reliability of the simulation output results, typical scenarios of school roads are selected for the collection of actual data. We describe the data collection process and observation data characteristics. Then, a microsimulation environment is built and driving behavior parameters are calibrated.

2.1. Study area and data collection

The selected scenes should satisfy the following requirements: (1) Number of road sections with two or more lanes in one direction. (2) Short-term aggregation of traffic flow (>1500 pcu/h). (3) Existence of on-street parking or other factors that interfere with the stability of traffic flow. We describe the data collection using the Northeast Normal University Elementary School at Changchun, China, as an example.

Rangefinders and unmanned aerial vehicle (UAV) equipment are used to collect data. The selection of data collection locations follows the principles: (1) No shooting angle or blocking problem, and the scanning range is large enough. (2) Significant changes in traffic status, e.g., upstream and downstream junctions with the school road. (3) Worst traffic areas, e.g., parking concentration areas. Fig. 1 illustrates our selected data collection locations. And the school road is the study area. The approximate length of the road is 1,000 meters, ranging from 0-400 meters upstream, 400-700 meters for the school road, and 700-1,000 meters for the downstream.

Data collection location.

Figure 1: Data collection location.

Source: Own elaboration.

We have mined the video data with Tracker software. Due to the cold climate in Northeast China, the percentage of non-motorized vehicles is very small. Hence, the study focuses on motor vehicle flow. We categorize the collected data into traffic data and basic data. And the basic data are listed in Table 1.

Table 1: Basic data names and values.

Name Unit Value
Acceleration km/h2 4
Percentage of cars % 90
Percentage of buses % 10
Stopping vehicles pcu 500
Lane number - 3
Lane width m 3.25
Length of parking space m 6

Source: Own elaboration.

Traffic data including vehicle delay, queue length, average speed, travel time, TF, NPS and ST. We count the observation data of evaluation indicators when TF varied between 1750 and 2550 (in steps of 100). Fig. 2 shows their changes. Vehicle delay and queue length increase quickly with TF, and queue length rises more rapidly. Smaller change range in average speed due to the road speed limit and traffic status. In actual observations it was found that when TF is at a low level, the vehicle speed is essentially equal to the roadway speed limit, vehicle delay and queue length values are small, and they have little variation, but when TF is greater than 1700, the vehicle delay and queue length values increase rapidly, and average speed maintained at low level.

Actual data characteristic: a) Vehicle Delay; b) Queue Length; c) Average Speed.

Figure 2: Actual data characteristic: a) Vehicle Delay; b) Queue Length; c) Average Speed.

Source: Own elaboration.

2.2. Simulation build-up

PTV VISSIM 7.0 is used to build the traffic simulation, the steps are as follows:

Step 1: Establishing road. The study area is erected one-way three-lane. In China, the minimum distance between the main roads of urban intersections are 600 meters, so the length is set to 1000 meters. According to the regulatory requirements, the road within 150 meters radius up and downstream of the school entrance belong to the school road.

Therefore, the study section is divided into upstream (the range is 0-400 meters), school road (the range is 400-700 meters), and downstream (the range is 700-1000 meters).

Step 2: Upstream section settings. The speed limit value of the school road should not exceed 30 km/h. Hence, a deceleration zone is set up. It is located at 0-400 meters, and the deceleration is 4.

Step 3: School road settings. The expected speed decision point is set at 400 meters. It ensures that the vehicle speed is around 30km/h. Parking spaces are set at 400-700 meters, they set up lane close to the school.

Step 4: Downstream section settings. The acceleration zone is set at 700-1000 meters to simulate the vehicle speed recovery after leaving the school road. The acceleration is 4, and the desired speed is 60 km/h.

Step 5: Traffic parameter settings. We set TF, NPS and ST to variable traffic parameters. They are used for simulation analysis in different scenarios.

Step 6: Detector settings. The vehicle delay, queue length, and average speed can reflect the traffic characteristics well, and they are chosen as evaluation indicators. We set up the queue counter, data collection point and travel time detector in the simulation to obtain evaluation data. Queuing is considered to occur when the vehicle speed is between 5-10km/h.

According to the above process, we have built the simulation scenario, as shown in Fig. 3.

School road simulation scene.

Figure 3: School road simulation scene.

Source: Own elaboration.

2.3. Driving behavior parameter calibration

In order to make the simulation output results reliable, we calibrate the microscopic driving behavior parameters. This work includes calibration parameter determination, calibration algorithm design and result analysis.

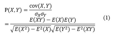
Calibration parameters are driving behavior parameters that are difficult to obtain from actual observations but have a significant effect on the simulation results. In Vissim, they usually refer to the max-forward-looking distance (MFLD), average stopping distance (ASD), additional part of the safe distance (APSD), multiplier part of the safe distance (MPSD), max-deceleration (MD), waiting time before disappearing (WTD), min-headspace (MH). We use the Pearson Correlation Coefficient by eq. (1) and consider that the parameter has a significant effect on the evaluation indicators when the significance index is less than 0.05. The calibration process requires repeated calls to the simulation. Filtering of calibration parameters not only ensures calibration results but also improves computational efficiency. Queue length and travel time are selected because the evaluation indicators need to meet the requirements of being easily accessible in real-world and directly exportable by simulation and reflect well on traffic running [8,24]. Table 2 demonstrates the correlation of driving behavior parameters with queue length and travel time.

Table 2: Basic data names and values.

Parameter Queue length Travel time Select
P S P S
MFLD 0.483 0.187 0.561 0.116 N
ASD -0.853 0.003 -0.902 0.001 Y
APSD 0.890 0.001 0.942 0.000 Y
MPSD 0.960 0.002 0.749 0.087 Y
MD 0.130 0.835 0.802 0.103 N
WTD 0.058 0.882 -0.055 0.888 N
MH -0.037 0.931 0.011 0.979 N

P: Pearson Correlation; S: Significance; N: Not selected; Y: Selected.

Source: Own elaboration.

Where P(X,Y) is Pearson Correlation Coefficient; X is the driving behavior parameter; and Y is the evaluation indicator.

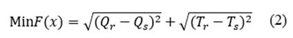
The parameter calibration aims to minimize the error between the output results of the simulation and actual measured value. As shown in eq. (2), the root mean square relative error is used to construct the objective function. We used MATLAB R2016a and PTV Vissim 2021 to solve the problem using a GA. The computer hardware device used have an 11th Gen Intel (R) Core (TM) i7-11800H CPU, where the number of cores and logical processors is 8 and 16, respectively, and the RAM is 16 GB. The crossover probability is considered 0.8, the variance probability is considered 0.2, and the maximum number of iterations is 50. The calibration process is illustrated in Fig. 4.

Parameter calibration flowchart.

Figure 4: Parameter calibration flowchart.

Source: Own elaboration.

Where Q r and Q s are the observed and simulated values of queue length; T r and T s are the observed and simulated values of travel time.

Based on the results of the Pearson analysis, ASD, APSD, and MPSD are selected as parameters to be calibrated, the remaining parameters are adopted as the software defaults. The parameter calibration results are shown in Table 3.

Table 3: Calibration results.

Parameter Result
MFLD 250
ASD 1.1
APSD 1.6
MPSD 3.5
MD 4
WTD 30
MH 0.5

Source: Own elaboration.

To verify the reliability of the calibrated simulation outputs, we analyze it in comparison to using the software defaults, as shown in Table 4. The results show that the queue length and travel time output errors after simulation calibration are 1.3% and 0.7%, which are reduced by 5.9% and 4.7%. The simulation outputs after calibration are closer to the actual observed values.

Table 4: Comparison of simulation errors.

Evaluation indicator Pre-calibration Post-calibration
Queue length 7.2% 1.3%
Travel time 5.4% 0.7%

Source: Own elaboration.

3. Analysis of the school road and the bottleneck road

The most distinctive feature of traffic bottlenecks is the tendency to create congestion. In this study, bottleneck road is caused by the reduction of adjacent lanes. School road is caused by a strong traffic attraction source. This section focuses on the difference in traffic characteristics between the two types of scenarios.

3.1. Scene settings

The bottleneck road is 1,000 meters in total length and is divided into three parts: Upstream, mismatch section, and downstream. The upstream and downstream sections are three lanes. They are the same setting as the school road. The mismatch section is set up as a two-lane road. We set TF as a traffic variable. The range is [500-4500] and the step size is 400. The rest of the simulation settings are the same as the school scene, as shown in Fig. 5.

Simulation scene schematic: a) Bottleneck road, b) School road.

Figure 5: Simulation scene schematic: a) Bottleneck road, b) School road.

Source: Own elaboration.

3.2. Sensitivity analysis method

To compare the changes in the sensitivity values under the two scenarios, we propose a sensitivity analysis method based on the elasticity coefficient. The sensitivity function and the sensitivity factor are defined in dimensionless form, which make the multifactor sensitivity analysis comparable.

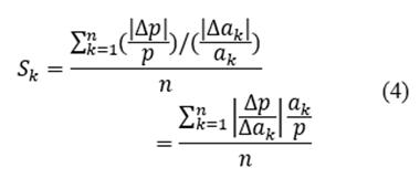
First, we establish the evaluation indicator-variable function relationship. Because cubic spline interpolation is not only characterized by excellent stability, guaranteed convergence, and smooth curves but also requires only function value information.

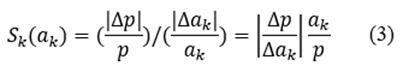
Second, the sensitivity function is establish by eq. (3). By setting the cubic spline interpolation function as p and the variable as 𝑎 𝑘 , the comparison between the amount of change in the evaluation indicators and amount of change in the variable is defined as the sensitivity function 𝑆 𝑘 𝑎 𝑘 .

Finally, the sensitivity factor is calculated by eq. (4). The nodes are selected to calculate the sensitivity function values according to the needs of study. Averaging them is the sensitivity factor.

3.3. Data analysis

We analyze the traffic characteristics of two scenario types based on the method established in the previous section. The results are also compared with other methods to prove the reliability. In Fig. 6, the functional relationship between the evaluation indicator-variables is represented by the solid line, and the sensitivity function curve represented by the dotted line.

Comparative analysis of school road and bottleneck road: a) Vehicle Delay; b) Queue Length; c) Average Speed.

Figure 6: Comparative analysis of school road and bottleneck road: a) Vehicle Delay; b) Queue Length; c) Average Speed.

Source: Own elaboration.

When TF changes, the changes in evaluation indicators of the school road and bottleneck road are shown in Fig. 4. From Fig. 6 (a)-(b), both scenarios show similar trends in delay and queue length. When TF increases at 500-1700, vehicle delay and queue length vary less, and the values of the sensitivity function are not above 3. The TF increases from 1700-3300 with large changes in the evaluation indicators and the maximum value of the sensitivity function is more than 10. After the TF is greater than 3300, the traffic status reaches the saturation state, and the value of the evaluation indicators fluctuate.

From Fig. 6 (c), the average speed shows different trends with increasing TF in two scenario types. On the bottleneck road: When TF increases from 500-2000, the average speed values vary insignificantly, and the sensitivity values do not exceed 0.5. As TF increases from 2000-3300, average speed values change significantly, with sensitivity maxima exceeding 3, and then stabilizes. On the school road: As TF increases at 500-2500, the average speed values vary significantly, with sensitivity function values exceeding 0.5, and then tends to stabilize.

Extreme difference in average ratio is a common method for solving for sensitive values. Table 5 shows the sensitivity factors solved under two different methods. The results of both methods indicate a higher numerical sensitivity of the bottleneck road evaluation indicators. Ranked in order of indicator sensitivity: queue length, vehicle delay and average speed.

Table 5: Sensitivity factors under different methods.

Indicator Method of the study Common method
School Bottleneck School Bottleneck
Vehicle delay 1.44 3.07 1.70 2.61
Queue length 2.03 4.44 1.93 2.64
Average speed 0.28 0.65 0.32 0.85

Source: Own elaboration.

Comparing the two scenarios, TF has a remarkable impact on the evaluation indicators, and there are significant differences in the traffic characteristics between them. (1) Vehicle delay and queue length are experienced on the school road at low TF. (2) The school road has worse indicator values than the bottleneck road at same TF. (3) Significant differences in the sensitivity values. The bottleneck road evaluation indicators have a more concentrated change interval, which results in smaller sensitivity factors, although the school road evaluation indicators have wider change ranges.

4. Analysis of traffic characteristics of school road

The actual research found that: traffic congestion on the school road is mainly caused by changes in TF, NPS and ST. To investigate the traffic characteristics on the school road, this study analyses the impact of the individual and combined effects on the evaluation indicators.

4.1. Simulation scenarios

To analyze the relationship between research variables and evaluation indicators, 6 scenarios are created, as shown in Table 6. Scenarios 1-3 analyze the impact and sensitivity of univariate on evaluation indicators. Step sizes are 400, 4, and 6, respectively. The results of Scenario 1 have been described in the previous section. Scenarios 4-6 focus on the impact of bivariate on evaluation indicators.

Table 6: Simulation scenario parameter setting.

Scenario TF NPS ST
1 [500-4500] * 15 14.8
2 1700 [10-50] * 14.8
3 1700 15 [10-70] *
4 [500-4500] * [10-50] * 14.8
5 [500-4500] * 15 [10-70] *
6 1700 [10-50] * [10-70] *

*: Variable for the scenario.

Source: Own elaboration.

4.2. Single-factor sensitivity analysis of school road

To analyze the impact of single variable on the evaluation indicators, we have described the changes and performed sensitivity analysis. In Fig. 7, 8, the solid line represents the process of evaluating indicator changes and the dashed line represents the sensitivity function.

Evaluation indicators change with NPS: a) Vehicle Delay; b) Queuing Length; c) Average Speed.

Figure 7: Evaluation indicators change with NPS: a) Vehicle Delay; b) Queuing Length; c) Average Speed.

Source: Own elaboration.

Evaluation indicators changes with ST: a) Vehicle Delay; b) Queuing Length; c) Average Speed.

Figure 8: Evaluation indicators changes with ST: a) Vehicle Delay; b) Queuing Length; c) Average Speed.

Source: Own elaboration.

Fig. 7 illustrates the changes in evaluation metrics as NPS increases. Vehicle delay and queue length first increase and then decrease. The change in average speed is reversed. The inflection point of evaluation indicators is when NPS is 18. When NPS varies from 10 to 18, the sensitivity means for vehicle delay, queue length, and average speed are 0.40, 2.56, and 0.18, respectively. While NPS varies from 18 to 50, the sensitivity means for them are 0.97, 2.61, and 0.33, respectively. Hence, less change in evaluation indicators at lower levels of NPS compared to higher levels.

When parking supply is at a low level, stopping demand cannot be met. As NPS is added, more vehicles can park. This has resulted in an increase in vehicle delay and queue length, and a drop in average speed. When parking supply is at a high level, stopping demand can be better met, vehicle delay and queue length begin to decline, as well as average speed subsequently increase.

NPS has a significant impact on the school road traffic operations. Rationalization of parking spaces can improve the efficiency of vehicular traffic on roads.

Fig. 8 shows the change in evaluation indicators as ST increases. Inflection points in rate of change for the evaluation indicators occurred at 52 and 64. Overall, vehicle delay and queue length continue to increase, and average speed is reduced. When the ST varies from 10 to 52, the indicators change greatly, and the sensitivity averages for vehicle delay, queue length, and average speed are 0.98, 1.12, and 0.29, respectively. The indicators tend to stabilize at ST values between 52 and 64, with their sensitivity averages of 0.02, 0.78, and 0.04, respectively. When the ST is greater than 64, the indicators show renewed trends.

ST is disruptive to the school road traffic situation. The greater the stopping time, the worse the road traffic conditions are. Hence, ST should be minimized in context.

4.3. Multi-factor sensitivity analysis of school road

Analyzing the process of change in evaluation indicators from a multivariate perspective. We describe the process of the changes by combining trends and sensitivity factors and ranked the sensitivity magnitude of variables by comparing the sensitivity factors.

Table 7 shows the sensitivity factors for different variables. TF, NPS, and ST produce the greatest impact on vehicle delay, queue length, and average speed, respectively. In order of the impact on the evaluation indicators, from the largest to smallest, they are TF, NPS, and ST. In order of the sensitivity factors of the evaluation indicators, from the largest to smallest, they are queue length, vehicle delay, and average speed.

Table 7: Sensitivity factors under different scenarios.

Variable Vehicle delay Queue length Average speed Average
TF 1.70 1.93 0.32 1.32
NPS 0.80 2.60 0.29 1.23
ST 1.45 1.47 0.56 1.16
Average 1.32 2.00 0.39 1.24

Source: Own elaboration.

From Fig. 9, with changes in TF and NPS, vehicle delay and queue length show Z-shaped changes. When TF is less than 1700, little change in indicator values. This indicates that when TF is low, changes in NPS have less impact on the indicators. Once TF varies from 1700 to 2500, they increase significantly with NPS. While TF is greater than 2900, the change rate of the indicators starts to decrease. By the time TF reaches 3300, the road traffic volume reaches saturation, and these two indicators basically cease to change. Changes in average speed differ from the first two indicators. The inflection points are 1300, 1700, and 2100. When TF is less than 1300, as NPS changing, it varies little. Once TF varies from 1300 to 1700, regardless of NPS changes, it decreases sharply. At TF changes from 1700 to 2100, it increases with NPS. While TF exceeds 2100, it fluctuates.

Evaluation Indicators change with TF and NPS: a) Vehicle Delay; b) Queue Length; b) Average Speed.

Figure 9: Evaluation Indicators change with TF and NPS: a) Vehicle Delay; b) Queue Length; b) Average Speed.

Source: Own elaboration.

In this scenario, vehicle delay and average speed are more sensitive to TF, and queue length is more sensitive to NPS. In general, a reduction in TF and an increase in NPS can improve the efficiency of vehicular on the school road.

Fig. 10 illustrates the variation of evaluation indicators with TF and ST. Vehicle delays and queue lengths grow with increasing TF and ST overall, and average speed is reversed. When TF is less than 1700, the delay and queue length are relatively stable. This means that when TF is at a low level, ST increase has less impact on them. Once TF varies from 1700 to 2500, they increase dramatically as ST increases. By the time TF is greater than 2900, regardless of the changes in ST, they have changed very little. Average speed shows z-shaped changes with the changes of TF and ST. When TF is at a low level, ST has less effect on it. By the time TF is at 1700 to 2900, it decreases sharply as ST increases. While TF is greater than 2900, it fluctuates.

Evaluation indicators changes with TF and ST: a) Vehicle Delay; b) Queue Length; c) Average Speed.

Figure 10: Evaluation indicators changes with TF and ST: a) Vehicle Delay; b) Queue Length; c) Average Speed.

Source: Own elaboration.

In this scenario, except for average speed, vehicle delay and queue length are more sensitive to the change of TF. In general, a reduction in TF and an increase in NPS can improve the efficiency of vehicular on the school road. The ST modulation is evident when the TF is changed at 1700 to 2500. Hence, school road traffic flow should be controlled within reasonable limits. The turnover efficiency of parking spaces can then be ensured by regulating vehicle stopping time.

Fig. 11 illustrates the variation of evaluation indicators with NPS and ST. Vehicle delay and queue length rise with increasing NPS and ST, and average speed is reversed. When NPS is less than 28, ST increases cause smaller changes in evaluation indicators. Once NPS is greater than 28, as ST increases, vehicle delay and queue length rise significantly, average speed decreases dramatically.

Evaluation indicators change with NPS and ST: a) Vehicle Delay; b) Queue Length; c) Average Speed.

Figure 11: Evaluation indicators change with NPS and ST: a) Vehicle Delay; b) Queue Length; c) Average Speed.

Source: Own elaboration.

In this scenario, queue length is more sensitive to NPS, vehicle delay and average speed are more sensitive to TF. For NPS greater than 28, reasonable ST significantly improves the efficiency of traffic status. Hence, NPS should be rationalized according to parking demand. On this basis, ST is carried out. This can improve the operational efficiency of the traffic flow.

5. Results and discussions

To discuss the differences between simulated and observed values, we analyze the characteristics of the observations measured and simulation errors and compare the results with the relevant research.

The variables are factors that significantly interfere with traffic flow stability in the study scenario. Contributing to the traffic problems in the school scene are traffic volume short-term concentrations and on-street parking [2]. Hence, we select TF, NPS, and ST as variables. Increase in TF causes roads to be congested and traffic indicators to be worse [12-16]. The school roads are generally urban, with low vehicle speeds, and as TF increases, vehicle delay and queue length rise significantly and average speed drop or remain low. Research has shown that on-street parking, while mitigating the effects of insufficient off-street parking, has a significant impact on dynamic urban traffic [25,26]. And variations in NPS (parking area length) and ST are contributing to this effect [27,28]. In the school scenario, on-street parking behaviors are abundant. The large increase in NPS improves the level of roadway access, and the increase in ST makes the traffic indicators worse. The selection of evaluation indicators should reflect the change process of road traffic characteristics. We use vehicle delay, queue length, and average speed as evaluation indicators. Travelers are intuitively aware of the variation in vehicle speeds [5,6]. Even in school scenarios, average speed appears to vary, especially when ST changes. Vehicle delay and queue length are significantly correlated with traffic flow stability [7-11]. When the variables vary, they both change by a large amount. Vehicle delay and queue length are more sensitive to TF and NPS, respectively.

When the traffic flow is at a high level, vehicle delay and queue length are maintained at a high level and average speed is maintained at a low level [29-32]. Observational data demonstrates that when the road is congested, the relationship between speed and traffic flow is nonlinear and the speed tends to a fluctuating value [33]. During the observation and simulation of the school road, it is found that when the TF is small, the road is smooth and the evaluation indicators change little. When the TF increases to about 1700 pcu/h, the road is congested and the traffic indicators change rapidly. As the TF continues to increase, the indicators fluctuate and remain in poor shape.

Fig. 12 illustrates the simulation result errors under different traffic volumes, where ABS is the discrepancy between observed and actual values. The average errors in vehicle delay, queue length, and average speed are 0.67%, 1.26%, and 0.63%, respectively. The results show that the simulated output values after calibration have few discrepancies with the observed values.

Simulation error: a) Vehicle Delay; b) Queue Length; c) Average Speed.

Figure 12: Simulation error: a) Vehicle Delay; b) Queue Length; c) Average Speed.

Source: Own elaboration.

Table 8 compares the sensitivity factors of the simulated and observed values. The ranking and trend of the evaluation indicator observations according to the size of the sensitivity factor is consistent with the simulated values. The findings for the observed and simulated sensitivity factors are consistent: when traffic flow changes, queue length is the most sensitive and average speed is the least. The errors in vehicle delay, queue length, and average speed are 0.36%, 0.39%, and 15.26%, respectively. Because of the school road speed limit (max 30km/h), the variation of the average speed is small, and the sensitivity factor error is large. The results show that the calibrated simulation outputs are basically consistent with the observed values in terms of the change in magnitude and the impact on the evaluation indicators.

Table 8: Comparison of observed and simulated sensitivity factor.

Type Vehicle Delay Queue length Average speed
Observed value 3.38 4.91 0.25
Simulated value 3.36 4.89 0.22
Error 0.36% 0.39% 15.29%

Source: Own elaboration.

Because traffic simulation can well reflect the actual traffic characteristics, it is widely used in actual engineering projects at present. The core task of simulation calibration is to reduce the error with the observed values, which requires that the simulation must be based on a realistic scenario [34]. The simulation parameter calibration process includes the selection of evaluation indicators, collection of observation data, determination of the parameters to be corrected, design of the experimental protocol, conducting simulation tests, determination of the intuitive function, determination of alternative parameters, evaluation of the simulation results, and testing the validity of the simulation. [34-37]. In this study, the data required for simulation building and calibration are collected in the field for the school scenario and the simulation calibration process is followed. For traffic efficiency simulation calibration, engineering practice often requires data errors within 5%, e.g. measurement errors in surveillance speed cameras [35]. This calibrated simulation output errors within 1.5%. They can reflect the actual road traffic characteristics properly. Microscopic traffic simulations (e.g., Vissim) also can be excellent for simulating pollutant emissions and identifying traffic conflict points [36,37].

This can be further studied from the following aspects: (1) Considering more complicated heterogeneous traffic flows. For example, the percentage of nonmotorized vehicles and pedestrians. The effects of variables on the traffic efficiency should be analyzed. (2) Based on the influence mechanism between different traffic elements, building a high-precision multiple regression model. (3) Proposing more specific optimization measures. The optimization effects should be verified.

6. Conclusions

This study focuses on the traffic characteristics of the school road, and VISSIM simulation software is used for analysis. It is found that there are significant differences in traffic characteristics between the school road and bottleneck road. The vehicle delay, queue length, and average speed reach fluctuating states faster in the school road, indicating that parking behavior has a significant impact on road traffic. TF, NPS, and ST all have great effects on roadway traffic, but the effects are different. TF increase causes roadway congestion, NPS and ST affect the stability of traffic flow. The analysis resulted in the magnitude of the impact of each variable on roadway traffic indicators. That is, TF > NPS > ST.

The sensitivity function and sensitivity factor in a dimensionless form are proposed. They made the multifactor sensitivity analysis comparable. The method is used to describe the change process of school road traffic indicators and determine the sensitivity of the variables, determining the evaluation indicators most sensitive to that factor. In the school scenario, the sensitive intervals for TF, NPS, and ST are [1700,3300], [18,50], and [10,52] respectively. And in order of the sensitive factors of the evaluation indicators, from largest to smallest, they are the queue length, vehicle delay, and average speed.

We have followed the traffic simulation calibration process to calibrate the parameters of the school scenario simulation environment. A parameter calibration method for traffic simulation considering on-street parking is proposed. This method automates the calibration process, and the process is reasonable and actionable that can better reflect the actual road traffic status and play a crucial role in practical engineering. By comparing the observed data with the simulated data, the calibrated simulation outputs of average vehicle delay, queue length, and average speed have an error of 0.67%, 1.26%, and 0.63%, respectively, which reduce the error by 4.73%, 5.9%, and 4.77%, respectively. When the permissible errors in engineering practice are 1.5%, the method can fulfill the requirements.

In summary, this method can identify the key factors affecting the school road traffic status at a low cost. It also determines to set a reasonable range of traffic parameters based on the change process of the evaluation indicators and the results of the sensitivity analysis. This method can be extended to urban roadway on-street short parking scenarios, such as hospitals, shopping malls, etc.

Acknowledgements

Acknowledgements

This research is funded by Postgraduate Innovation Research Program of Jilin University (2023CX197); Scientific Research Project of Jilin Education Department in 2023 (JJKH20231189KJ); National Natural Science Foundation of China (71871103).

References

  1. [1] Müller, S., Tscharaktschiew, S., and Haase, K., Travel-to-school mode choice modeling and pat-terns of school choice in urban areas, Journal of Transport Geography, 16(5), pp. 342-357, 2008. DOI: https://doi.org/10.1016/j.jtrangeo.2007.12.004. [URL] 🠔
  2. [2] Chen, J., Pang, M.B., and Yang, M., A cellular automaton model for the road in front of elementary and middle school gates during students going to school, Acta Physica Sinica, 63(9), art. 094502, 2014. DOI: https://doi.org/10.7498/aps.63.094502. [URL] 🠔
  3. [3] Bina, M., Confalonieri, F., Abati, D., Villa, D., and Biassoni, F., Analysis of traffic upon school departure: environment, behaviour, well-being and risk factors for road crashes, Journal of Transport & Health. 22, art. 101119, 2021. DOI: https://doi.org/10.1016/j.jth.2021.101119. [URL] 🠔
  4. [4] Daganzo, C.F., and Geroliminis, N., An analytical approximation for the macroscopic fundamental diagram of urban traffic, Transportation Research Part B, 42(9), pp. 771-781, 2008. DOI: https://doi.org/10.1016/j.trb.2008.06.008. [URL] 🠔
  5. [5] Jin, S., Luo, X., and Ma, D., Determining the breakpoints of fundamental diagrams, IEEE Intelligent Transportation Systems Magazine, 12(1), pp. 74-90, 2020. DOI: https://doi.org/10.1109/MITS.2018.2876576. [URL] 🠔
  6. [6] Qu, X., Wang, S., and Zhang, J., On the fundamental diagram for freeway traffic: a novel calibration approach for single-regime model, Transportation Research Part B , 73, pp. 91-102, 2015. DOI: https://doi.org/10.1016/j.trb.2015.01.001. [URL] 🠔
  7. [7] Peng, G., Wang, W., and Tan, H., Chaotic jam and phase transitions in heterogeneous lattice model integrating the delay characteristics difference with passing effect under autonomous and human-driven vehicles environment, Chaos Solitons and Fractals, 177, art. 114252, 2023. DOI: https://doi.org/10.1016/j.chaos.2023.114252. [URL] 🠔
  8. [8] Zhao, Y., Zheng, J., Wong, W., Wang, X., Meng, Y., and Liu, H., Various methods for queue length and traffic volume estimation using probe vehicle trajectories, Transportation Research part C, 107, pp. 70-91, 2019. DOI: https://doi.org/10.1016/j.trc.2019.07.008. [URL] 🠔
  9. [9] Bie, Y., Mao, C., and Yang, M., Development of vehicle delay and queue Length Models for adaptive traffic control at signalized roundabout, Procedia Engineering, 137, pp. 141-150, 2016. DOI: https://doi.org/10.1016/j.proeng.2016.01.244. [URL] 🠔
  10. [10] Chen, J., Jiang, R., Li, X., Hu, M., Jia, B., and Gao, Z., Morning commute problem with queue-length-dependent bottleneck capacity, Transportation Research Part B , 121, pp. 184-215, 2019. DOI: https://doi.org/10.1016/j.trb.2019.01.009. [URL] 🠔
  11. [11] Jiang, X., and Adeli, H., Freeway work zone traffic delay and cost optimization model, Journal of Transportation Engineering, 129(3), pp. 230-241. 2003. DOI: https://doi.org/10.1061/(ASCE)0733-947X(2003)129:3(230). [URL] 🠔
  12. [12] Chung, K., Rudjanakanoknad, J., and Cassidy, M.J., Relation between traffic density and capacity drop at three freeway bottlenecks, Transportation Research Part B Methodological, 41(1), pp. 82-95, 2007. DOI: https://doi.org/10.1016/j.trb.2006.02.011. [URL] 🠔
  13. [13] Lee, J., and Lee, J., Preventing capacity drop at isolated merging bottleneck through variable speed limit control, Sensors and Materials, 31(10), pp. 3397-3407, 2019. DOI: https://doi.org/10.18494/sam.2019.2567. [URL] 🠔
  14. [14] Qi, H., Chen, M., and Wang, D., Recurrent and non-recurrent bottleneck analysis based on traffic state rank distribution, Transportmetrica B-Transport Dynamics, 7(1), pp. 275-294, 2019. DOI: https://doi.org/10.1080/21680566.2017.1401496. [URL] 🠔
  15. [15] Raju, N., Arkatkar, S., and Joshi, G., Examining effect of bottleneck on multi-lane roads at midblock sections using simulation, in: Proceedings of the American-Society-of-Civil-Engineers (ASCE) India Conference on Urbanization Challenges in Emerging Economies, New Delhi, D.C., pp. 697-705, 2018. DOI: https://doi.org/10.1061/9780784482025.071. [URL] 🠔
  16. [16] Wan, Q., Peng, G., Li, Z., and Inomata, F.H.T., Spatiotemporal trajectory characteristic analysis for traffic state transition prediction near expressway merge bottleneck, Transportation Research part C , 117, art. 102682, 2020. DOI: https://doi.org/10.1016/j.trc.2020.102682. [URL] 🠔
  17. [17] Park, B., and Schneeberger, J., Microscopic simulation model calibration and validation: case study of VISSIM simulation model for a coordinated actuated signal system, Transportation Research Record: Journal of the Transportation Research Board, 1856, pp. 185-192, 2003. DOI: https://doi.org/10.3141/1856-20. [URL] 🠔
  18. [18] Pourmoradnasseri, M., Khoshkhah, K., and Hadachi, A., Real-time calibration of disaggregated traffic demand, arXiv, 2210, art. 17315, 2022. DOI: https://doi.org/10.48550/arXiv.2210.17315. [URL] 🠔
  19. [19] Pourmoradnasseri, M., Khoshkhah, K., and Hadachi, A., Leveraging IoT data stream for near-real-time calibration of city-scale microscopic traffic simulation, IET Smart Cites, 5(4), pp. 269-290, 2022. DOI: https://doi.org/10.5281/zenodo.8125656. [URL] 🠔
  20. [20] Hollander, Y., and Liu, R., The principles of calibrating traffic microsimulation models, Transportation, 35(3), pp. 347-362, 2008. DOI: https://doi.org/10.1007/s11116-007-9156-2. [URL] 🠔
  21. [21] Sacha, B., Kaveh, K., Mozhgan, P., Rumpler, R., and Hadachi, A., Near-real-time dynamic noise mapping and exposure assessment using calibrated microscopic traffic simulations, Transportation Research Part D, 124, art. 103922, 2023. DOI: https://doi.org/10.1016/j.trd.2023.103922. [URL] 🠔
  22. [22] Cassidy, M.J., Jang, K., and Daganzo, C.F., Macroscopic fundamental diagrams for freeway networks: theory and observation. Transportation Research Record, 2260(1), pp. 8-15, 2011. DOI: https://doi.org/10.3141/2260-02. [URL] 🠔
  23. [23] Di, S., Gao, J., Yang, D., Zuo, F., and Ozbay, K., Calibrating stochastic traffic simulation models for safety and operational measures based on vehicle conflict distributions obtained from aerial and traffic camera videos, Accident Analysis and Prevention, 179, art. 106878, 2022. DOI: https://doi.org/10.1016/j.aap.2022.106878. [URL] 🠔
  24. [24] Zang, Z., Xu, X., Qu, K., Chen, R., and Chen, A., Travel time reliability in transportation networks: A review of methodological developments, Transportation Research part C , 143, art. 103866, 2022. DOI: https://doi.org/10.1016/j.trc.2022.103866. [URL] 🠔
  25. [25] Dalla, C.G., Krutein, K.F., Ranjbari, A., and Goodchild, A., Providing curb availability information to delivery drivers reduces cruising for parking, Scientific Reports, 12(1), art. 19355, 2022. DOI: https://doi.org/10.1038/s41598-022-23987-z. [URL] 🠔
  26. [26] Dai, S., Liu G., Zhu J., Gong, J., and Qu, X., On-street parking management strategies and practice, Urban Transport of China, 12, art. 6-11, 2014. DOI: https://doi.org/10.13813/j.cn11-5141/u.2014.01.007. [URL] 🠔
  27. [27] Cao, Y., Yang, Z.Z., and Zuo, Z.Y., The effect of curb parking on road capacity and traffic safety, European Transport Research Review, 9(1), art. 4, 2017. DOI: https://doi.org/10.1007/s12544-016-0219-3. [URL] 🠔
  28. [28] Mei, Z., and Chen, J., Modified motor vehicles travel speed models on the basis of curb parking setting under mixed traffic flow, Mathematical Problems in Engineering, 2, pp. 139-139, 2012. DOI: https://doi.org/10.1155/2012/351901. [URL] 🠔
  29. [29] Cheng, Q., Liu, Z., Lin, Y., and Zhou, X., An s-shaped three-parameter (S3) traffic stream model with consistent car following relationship, Transportation Research Part B: Methodological, 153, pp. 246-271, 2021. DOI: https://doi.org/j.trb.2021.09.004. [URL] 🠔
  30. [30] Saric, A., and Lovric, I., Improved volume-delay function for two-lane rural highways with impact of road geometry and traffic-flow heterogeneity, Journal of Transportation Engineering, Part A. Systems, 10, art. 147, 2021. DOI: https://doi.org/10.1061/JTEPBS.0000575. [URL] 🠔
  31. [31] Bally, M.M., Khairy, A.A., and Vien, L.L., Compatibility between delay functions and highway capacity manual on Iraqi highways, Open Engineering, 12(1), pp. 359-372, 2022. DOI: https://doi.org/10.1515/eng-2022-0022. [URL] 🠔
  32. [32] Ma, D., Wang, D., Bie, Y., Sun, F., and Jin, S., A method for queue length estimation in an urban street network based on roll time occupancy data, Mathematical Problems in Engineering , 9, pp. 285-292, 2012. DOI: https://doi.org/10.1155/2012/892575. [URL] 🠔
  33. [33] Aksoy, G., and Oeguet, K.S., Direct usage of occupancy data for multiregime speed-flow rate models, Journal of Transportation Engineering, Part A. Systems , 149(1), art. 04022112, 2023. DOI: https://doi.org/10.1061/JTEPBS.0000773. [URL] 🠔
  34. [34] Olstam, J., and Tapani, A., A review of guidelines for applying traffic simulation to level-of-service analysis. Procedia Social and Behavioral Sciences, 16(1), pp. 771-780, 2011. DOI: https://doi.org/10.1016/j.sbspro.2011.04.496. [URL] 🠔
  35. [35] Otkovic, I.I., Tollazzi, T., and Sraml, M., Calibration of microsimulation traffic model using neural network approach, Expert Systems with Applications, 40(15), pp. 5965-5974, 2013. DOI: https://doi.org/10.1016/j.eswa.2013.05.003. [URL] 🠔
  36. [36] Huang, F., Liu, P., Yu, H., and Wang, W., Identifying if VISSIM simulation model and SSAM provide reasonable estimates for field measured traffic conflicts at signalized intersections, Accident Analysis and Prevention , 50, pp. 1014-1024, 2013. DOI: http://dx.doi.org/10.1016/j.aap.2012.08.018. [URL] 🠔
  37. [37] Song, G., Yu, L., and Zhang, Y., Applicability of traffic microsimulation models in vehicle emissions estimates, Transportation Research Record : Journal of the Transportation Research Board , 2270, pp. 132-141, 2012. DOI: https://doi.org/10.3141/2270-16. [URL] 🠔
Liu, H., Deng, H., Li. J., Zhao, Y. & Yang, S. Simulation analysis of school road traffic characteristics. DYNA, 91(231), pp. 37-46, January - March, 2024.
, received the BSc., MSc, and PhD in Department of Transportation Planning and Management, Jilin University, Changchun, China, in 2009, 2012, and 2015, respectively. He is currently an associate professor with the Transportation College, Jilin University. He has completed more than 20 research projects totally. He has published over ten journal and conference proceedings studies in his research areas. His research interests include traffic accident analysis, traffic system reliability, traffic simulation, and sustainable transportation. ORCID: 0000-0002-2635-999X
, received the BSc. Eng. in 2022 from Tibet University, Tibet, China. He is now studying for MSc. in Department of Transportation Planning and Management, Jilin University, Changchun, China. He has published the journal studies and oversees Postgraduate Innovation Research Program of Jilin University (2023CX197). His research interests include: simulation, modeling and forecasting in traffic flow; study the mechanisms of urban traffic congestion and propose measures to improve it. ORCID: 0009-0009-7463-830X
, received the BSc., MSc., and PhD in Department of Transportation Planning and Management, Jilin University, Changchun, China, in 1991, 1996, and 2003, respectively. From 2009 to 2010, she was a visiting scholar at the Department of Civil and Environmental Engineering at the University of Texas at Austin, USA. She presided over seven provincial and ministerial level scientific research projects and participated in the completion of more than 50 National Natural Fund projects and other provincial and ministerial level projects. She is currently an associate professor with the Transportation College, Jilin University. Her research interests include transport economics and urban and regional transport planning. ORCID: 0000-0001-8783-4881
, received the BSc. Eng. in Department of Transportation Planning and Management, Jilin University, Changchun, China, in 2021 and is now studying for the MSc. at the College of Transportation, Jilin University. She has published the journal studies. Her research interests include balance between supply and demand in the transport system. ORCID: 0009-0005-6952-8051
, received the BSc. Eng. in Department of Transportation Planning and Management, Jilin University, Changchun, China, in 2022 and is now studying for the MSc at the College of Transportation, Jilin University. Her research interests include transport planning and management. ORCID: 0009-0006-9142-5435