DYNA
0012-7353
2346-2183
Universidad Nacional de Colombia
https://doi.org/10.15446/dyna.v91n231.110974

Recibido: 5 de septiembre de 2023; Revision Received: 16 de enero de 2024; Aceptado: 26 de enero de 2024

Quantification and analysis of flexibility in a power distribution network with penetration of non-conventional renewable sources

Cuantificación y análisis de la flexibilidad en una red de distribución de energía eléctrica con penetración de fuentes renovables no convencionales

J. Suarique-Agudelo, a J. Herrera-Murcia, b

Universidad Nacional de Colombia, Sede Medellín, Facultad de Minas, Medellín, Colombia. jpsuariquea@unal.edu.co Universidad Nacional de Colombia Universidad Nacional de Colombia Facultad de Minas Medellín Colombia
Universidad Nacional de Colombia, Sede Medellín, Facultad de Minas, Medellín, Colombia. jherreram@unal.edu.co Universidad Nacional de Colombia Universidad Nacional de Colombia Facultad de Minas Medellín Colombia

Abstract

This work shows the quantification of the flexibility in power distribution systems in the scenario in which non-conventional renewable sources are connected to it. From a set of metrics available in the literature, one is selected based on its applicability to operational and distribution system planning scenarios. The theoretical foundation and detail of its computational implementation is shown. On the basis of this, its calculation is addressed for a distribution system in which non-conventional renewable sources and storage systems are present. From the results it is possible to identify quantifiable characteristics of flexibility to the variation in the operation of this type of systems.

Keywords:

flexibility, power distribution networks, renewable energy sources, electrical energy storage systems.

Resumen

Este trabajo muestra la cuantificación de la flexibilidad en sistemas de distribución de energía eléctrica en el escenario en el cual se tienen fuentes renovables no convencionales conectados al mismo. A partir de un conjunto de métricas disponibles en la literatura, se selecciona una basada en su aplicabilidad a escenarios operativos y de planeación de sistemas de distribución. Se muestra el fundamento teórico y el detalle de su implementación computacional. Con base en esta, se aborda su cálculo para el caso de un sistema de distribución en el cual se tiene presencia de fuentes renovables no convencionales y sistemas de almacenamiento. A partir de los resultados es posible identificar características cuantificables de la flexibilidad ante la variación en la operación de este tipo de sistemas.

Palabras clave:

flexibilidad, redes de distribución de energía eléctrica, fuentes de energía renovable, sistemas de almacenamiento de energía eléctrica.

1. Introduction

On the planet Earth there are five main sources of energy: chemical reactions of natural resources, artificially induced nuclear reactions, the motion and gravitational potential of the earth, the sun and the moon, solar radiation and finally geothermal energy. Both conventional energy sources and Renewable Energy Sources (RES) are derived from these energy sources, but they differ from one another because RES primarily depend on weather conditions, causing their power generation to be highly variable but predictable with a certain degree of reliability in the medium and long term [1,2]. It is generally accepted that renewable energy sources (RES) are more cost-effective compared to conventional sources, resulting in greater affordability and accessibility. The promotion and implementation of regulations in the technological field have resulted in a convergence [3]. Furthermore, to address the detrimental impacts of climate change, there has been a notable rise in the utilization of renewable energy sources (RES) that rely on solar radiation and wind speed.

According to [4], as of 2021, approximately 60% of global electricity generation relied on fossil fuels, while renewable energy sources (RES) accounted for the remaining 40%. The author's analysis includes a projection for the year 2050 regarding the sources of electricity generation based on the global perspective of various energy institutes and research centers. The projection emphasizes a notable diversification in the types of generation sources, with a prominent influence from solar and wind energy sources. Other works as [5], support these projections by observing that a 2°C increase in global temperature by 2050 would result in approximately 17% of energy production being derived from solar radiation systems.

In the context of Colombia, it has been reported by XM E.S.P [6] that the proportion of renewable energy sources (RES) in the country's installed capacity reached 68.7% in 2021. Of the total percentage, 66.9% is attributed to hydraulic generators, while approximately 3% is allocated to variable renewable energy sources (RES) such as solar, wind, biomass, and distributed generation. Among the latter group, photovoltaic technology holds a predominant position. According to projections, the integration of photovoltaic technology from renewable sources into the national transmission system is anticipated to occur by the year 2023. Moreover, Colombia's energy matrix is characterized by a significant reliance on hydropower, which has positioned it among the top 10 countries with the most environmentally friendly energy matrices globally.

1.1. Flexibility in power systems with renewable power sources

The increasing adoption and advancement of non-conventional renewable power generation technologies in interconnected and local power systems have resulted in the emergence of significant levels of volatility and unpredictability in power injection. These factors have had notable implications for the safety and reliability of these systems. Various instances have brought to light this particular circumstance, as exemplified in [1,5] respectively. This experience has led to the consolidation of a concept in the realm of traditional power systems known as "Flexibility". Flexibility can be defined as the capacity of an energy system to effectively manage the equilibrium between power generation and variable loads. In a similar vein, [7] and [8] provide a definition of grid flexibility as the capacity of an electricity system to effectively and economically handle the fluctuations in power demand and supply within a specified timeframe. A more expansive interpretation of flexibility can be described as the capacity of a power system to effectively address sudden instances of energy uncertainty, necessitating adjustments over an extended period of time. The latter definition enables the identification of two distinct temporal dimensions of flexibility: operational or short-term flexibility, and planning or long-term flexibility [9-11].

The incorporation of renewable energy sources (RES) into conventional power systems has become more prevalent. As a result, the assessment and measurement of flexibility across various timeframes have become crucial aspects of power systems planning and operation. With the proliferation of emerging renewable generation technologies, there is a growing need for networks that are more agile and flexible than ever before.

1.2. Quantification of flexibility in power electrical systems.

From the basic definition of flexibility set out above, three fundamental parameters for its quantification are derived; See Fig. 1.

Key flexibility quantification parameters.

Figure 1: Key flexibility quantification parameters.

Source: The Authors.

Fig. 1 illustrates the power injection of a generator over a specified time interval. This behavior encompasses three primary components: the extent of power variation generated (Range), the rate at which the generator can modify the produced power (Ramp Rate), and the duration for which a specific generation level is sustained. In a typical situation, multiple generators will be interconnected within a single system, where the load experiences fluctuations over time. It is necessary to constantly maintain a balance between the generation capacity and the load demand, taking into consideration both technical and economic considerations.

Generators with a wider range of variation possess the capability to adapt their generation output to a broader spectrum of scenarios, thereby offering increased flexibility to the system. Some generators could quickly adjust their power generation and provide improved flexibility. In the long run, sources that have the capacity to maintain their production for extended periods of time will provide increased flexibility, allowing them to effectively manage fluctuations or prolonged changes within a system. It is imperative to acknowledge that the factors that contribute to variations in an electrical system are not exclusively ascribed to technical limitations, but also to economic decisions made during its operation. The aforementioned concepts are also addressed in the works referenced as [3,13]. In addition, taking into account additional elements like the frequency of load or generation variations over different time horizons and the sources' accessibility is necessary for quantifying flexibility in an electrical system [13].

The quantification of flexibility is accomplished across different time horizons. Operational flexibility pertains to the capacity to effectively respond and adjust to unanticipated fluctuations in load or generation circumstances within the span of a single day. This phenomenon has the potential to cause rapid fluctuations in the load, thereby requiring the deployment of sources that possess the capability to adjust their generation levels accordingly. Furthermore, these fluctuations can be attributed to changes in environmental variables such as solar radiation or wind speed, resulting in the need for additional generators to bear the burden that was initially not supported by renewable energy source (RES) generators. [11,14,15].

Flexibility in planning studies is related to the estimation of system’s adaptability over long periods and frequently it includes the response to changing regulations, policies, and technological advancements. When developing this kind of studies, the concept of flexibility is commonly addressed through the establishment of indicators. These indicators serve as a basis for planning strategies and take into account periods of low flexibility, projected increases in power demand, among many others. In these studies, it is essential to be able to quantify and forecast hourly variations of demand, weather behavior, and net demand throughout the year, while also taking into account different timeframes. [13]

In the case of the short-term flexibility, some of the proposed metrics include the maximum and minimum residual demand [16], surplus energy [3,17], and instant power balance [18]. In contrast, the National Energy Reliability Center [13] has put forth a metric known as the "net charge" to evaluate the degree of flexibility. The net charge is defined as the immediate disparity between the overall load provided by the system and the load exclusively derived from renewable sources.

Various authors have put forth methodologies to quantify flexibility metrics based on these indicators. These metrics enable operational or planning decisions to be made in electrical systems. One instance of this approach is the methodology proposed by Lannoye et al. in [19], which will be one of the methodologies employed in this study.

1.3. Flexibility impact factors

Similar to an existence of flexibility metrics, there exist certain factors that exert a direct influence on the operational flexibility of a system. Several of these factors are associated with policies, such as demand response, while others are related to physical devices like energy storage [20]. Additionally, the presence of distributed generation on the network is another significant aspect to consider [3]. Another interesting example is the use of solar energy as a means of enhancing flexibility by generating green hydrogen via the process of hydrolysis. This enables the storage of energy in the hydrogen generated, which can be utilized for combustion purposes and other related systems or needs [21].

The adoption of policies or physical devices designed to enhance the flexibility of an electrical system allows for the conceptualization of flexibility as a service. The current implementation of this approach in a significant portion of Europe [7]. It involves modifying the generation dynamics in response to external signals originating from the energy market, network services, and the deliberate utilization of local compensation mechanisms.

Based on the aforementioned analysis, it is discernible that the integration of variable renewable energy sources into electrical systems can yield either advantageous or detrimental consequences, contingent upon the interplay between demand and generation dynamics. The quantification, analysis, and evaluation of flexibility hold significant importance due to their ability to be applied and measured across various voltage levels and electrical systems. In the Colombian context, there has been a notable increase in the adoption of variable renewable generation technologies, such as photovoltaics and wind power, across different scales. Hence, it is imperative to quantitatively assess the adaptability of pre-existing electrical systems in relation to present and prospective circumstances. This evaluation is crucial for assessing the metrics associated with this adaptability and conducting an analysis of the power grid's supply and demand dynamics. The prevalence of photovoltaic system installations for the purpose of reducing energy consumption and billing is particularly evident in distribution systems [6].

Based on this discussion, the objective of this study is to assess the operational flexibility in an electricity distribution system that incorporates renewable energy sources, storage technologies, and demand management systems. Besides, to develop a flexibility estimation methodology that can be applied to a specific distribution network, taking into account the time series data of demand and generation. The modeling and simulation of power systems will be conducted using the open-source Python library known as PandaPower [22]. The repository will utilize time series databases to extract pertinent data from the Colombian Wholesale Energy Market API - XM SA ESP. The open-access library pydataxm is available in the official repository of the XM Analysis Team on GitHub Inc. [6]. Upon the conclusion of the study, an extensive analysis will be conducted to evaluate the chosen methodology and draw the most pertinent conclusions.

2. Methods

The literature contains a diverse range of proposals pertaining to the quantification of flexibility. Several methodologies have been proposed, including the Insufficient Ramping Resource Expectation (IRRE) [23], Lack of Ramp Probability (LORP) [24], Normalized Flexibility Index (NFI) and Loss of Wind Estimation (LOWE) [25], and Net Forecast Error (NFE) [26]. These are just a few examples among many proposals in this field. The assessment of an electrical system's flexibility is primarily determined by the anticipated or observed imbalances between power generation and demand, as well as the potential effects that corrective actions may have on the system. When determining these indicators, consideration is given to the fluctuating load's dynamic behavior and the variability in the timing of power injection from sources, commonly referred to as ramps. Furthermore, diverse metrics can be utilized to assess different timeframes, whether they pertain to operational or planning activities.

However, it should be noted that the methodologies and metrics discussed earlier are not limited to specific power systems, such as extra high, high, medium, or low voltage. The crucial factor lies in fulfilling the fundamental prerequisites for flexibility calculation. The study conducted in [27] provides a comprehensive analysis of flexibility metrics in low voltage residential buildings. The author conducts a thorough literature review and establishes a classification of the most commonly used metrics for this voltage level. Various metrics encompass a range of calculation scenarios, ranging from straightforward calculations like maximum power reduction to more intricate ones that take into account economic variables, energy efficiency, and the impact of gas emissions. These metrics are instrumental in determining flexibility factors. In this study, the metric selected for implementation in a distribution system is the IRRE (Insufficient Ramping Resource Expectation) [23] as it can be used in short-term operation and also in the long-term planning of a distribution system. Its theoretical formulation will be presented in the subsequent sections.

2.1. The insufficient ramping resource expectation (IRRE)

The objective of the IRRE metric is to quantify the anticipated frequency of instances in which an electrical system is unable to effectively manage fluctuations in net load, regardless of whether these fluctuations were predicted or unexpected [23]. The calculation this metric involves the construction of an accumulated distribution of the flexible resources available for each increase or decrease in power injection or direction, and time horizon considered; this is known as the Accumulated Flexible Distribution (AFD). Furthermore, the determination of the likelihood that the system lacks adequate ramp resources in each observation, within each time horizon and direction, is derived from the cumulative distribution of available flexibility (AFD).

The information related to the production time series is used as the main input for calculating the IRRE, as detailed in [23]. The analysis ought to encompass data pertaining to the power output of each generation unit, encompassing both conventional and renewable sources. Furthermore, if accessible, the analysis may integrate time series data pertaining to losses and load consumption. The collection of the time series data is imperative within the specified time frame, typically spanning 24 hours, and at a predetermined level of detail, often measured in intervals of 15 minutes. The aforementioned values are employed in determining the temporal scope that is pertinent to the investigation. In addition, it is necessary to obtain data pertaining to the rated minimum and maximum output power, the startup time for power generation, and the maximum rate at which each unit can increase or decrease its output power.

In flexibility studies several time horizons can be considered based on the historical events related to the sudden increase or decrease of load or generation (ramps), the startup times for each generation type connected to the system under study or any forecast horizon of interest.

Based on the time series, the Net Load (NL) time series is obtained as its defined as the remaining load not served by variable generation. From it, the Net Load variation intime or Net Load Ramp curve is obtained as the difference between subsequent Net Load values for each time horizon considered i. This can be expressed as in eq. (1).

Eq. (1) expresses the variation of the Net Load Ramp (NLR) in time t and for a total of |NL| observations. The values of the NLR exhibits both positive or negative thus two variables are introduced NLR+ and NLR_ defined in eq. (2) for each time interval considered i and for each observation time t.

The variables considered in this analysis encompass the load's behavior and its correlation with the production of generation units.

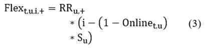
The other element considered in the calculation of the IRRE is the Available Resource Flexibility. For each generation unit 𝑢 having a capacity of increasing its output power or having an upward ramp rate of RRu,+, and a startup time Su, it is possible to define the ability to respond to an increase in its output power or upward flexibility is given by eq. (3) for an interval i and observation time t.

The variable Onlinet,u is binary variable that indicates whether or not unit 𝑢 is operational at a specific time 𝑡. If the source is at maximum production, it has not upward flexibility at that time. Based on this, upward flexibility is bounded by this maximum production. Additionally, it is important to note that the startup time (denoted as Su) is required for the resource to reach its desired power output once it goes online. Therefore, when considering the time horizon for analysis, it is necessary to account for a duration that is longer than the startup time. If a unit has the ability to increase its output during a specific time interval, its upward flexibility can be determined by multiplying the ramping up limit RRu,+ with the difference between the time interval and the startup time, as indicated in eq. (3). Based on the aforementioned considerations, two restrictions are enforced to ensure upward flexibility.

Where Prodt,u is the unit production at a time t, and GenMAX,MIN are the minimum and maximum production ouputs of unit u.

The downward flexibility can be defined in a similar way and expressed as in eq. (5)

Once the available flexibility of each unit is calculated, the upward and downward flexibility of the whole system can be calculated as the summatory of individual flexibilities as shown in eq. (6)

Thus far, two components have been delineated, namely the NLR and the system's flexibility. It is important to acknowledge that these calculations can be performed in real-time using system measurements or short-term forecasts. These calculations could be subsequently used to make operational decisions within a distribution system.

When the long-term knowledge of system flexibility is available, it becomes possible to conduct a statistical analysis of its behavior by quantifying the cumulative distribution of available flexibility, also known as AFD (Available Flexibility Distribution). When considering various scenarios, it is imperative to accurately estimate this distribution as delineated in [23]. Formally, the AFDI,+/-(X) is obtained for upward and downward flexibility and indicates the probability that 𝑋 MW or less will be available for a given time horizon 𝑖.

Finally, this methodology seeks for estimating the probability of a system to have insufficient flexibility at each point in time. The situation in question can be represented via a cumulative distribution, which illustrates the insufficient capacity of a system to adequately accommodate the necessary ramping for fluctuations in the net load at any given moment.

Based on the AFDI,+/-(X) distribution, the Insufficiency Ramping Resource Probability (IRRP) is calculated as shown in eq. (7).

The sum of all IRRP values along the complete time series corresponds to the Insufficiency Ramping Rate Expectation (IRRE) and is given by eq. (8).

This study exclusively focuses on the assessment of short-term flexibility within operational scenarios. This implies that the methodology is utilized to achieve the adaptability of the system and to analyze its statistical properties with respect to specific production and demand curves.

This assertion is grounded in the observation that the Net Load's behavior in planning studies diverges from that of the operational Net Load derived from nearly real-time data.

3. Results

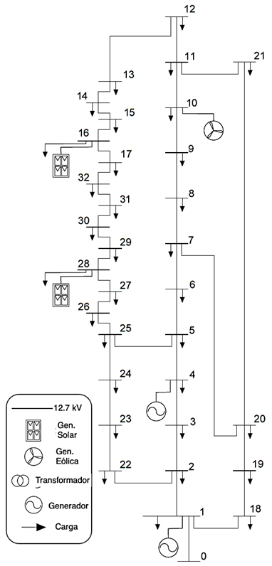
The scenarios chosen to implement the quantification flexibility methodology (IRRE) were derived from the power network known as IEEE 33 Bus Case which is available in the open-source Python library called "PandaPower"; all details can be consulted in [22].

The network is modeled as a medium voltage distribution system as shown in Fig. 2.

IEEE 33 Bus network.

Figure 2: IEEE 33 Bus network.

Source: The Authors.

The time series associated to the generation units and load data was acquired using the XM S.A. E.S.P. API pydataxm [6]. To utilize the aforementioned data, a scaling procedure was conducted to retain the temporal behavior of the generation units, while adhering to the upper limits of production values identified in reference [22].

A total of four cases were examined for the same system. The scenarios for Case I involve a network without any storage devices. Conversely, Case II considers the existence of a storage device at Node 16 of Fig. 2. In both scenarios, the circuital and optimal power flow methods were utilized to generate a 24-hour time series for production and demand. The flexibility methodology was implemented for each case, taking into consideration the data that was available.

The complete parameters of the network are shown in Table 1.

Table 1: IEEE 33 Bus network parameters.

Network Element Number Details
Bus 30

  • Nominal Voltage: 12.66 kV

  • Max. Voltage: 1.1 p.u.

  • Min. Voltage: 0.9 p.u.

Loads 32 Total Power: 3.175 MW
Non-Conventional Units 3

  • PV: 1.13 & 0.56 MW

  • WD: 0.86 MW

Conventional Units 5

  • Hydr: 0.83 MW

  • Diess: 0.38 MW

Batteries 1

  • Power: -0.5 MW

  • Soc: 100%

  • Min Power: -0.125 MW

  • Max Power: -0.625 MW

Lines 34 Length: 1km

Source: The Authors.

The following section presents a detailed examination of the outcomes achieved through the implementation of the IRRE methodology on the circuital power flow of Case I. The findings pertaining to other cases are compared in section 3.2.

3.1. Case I - Circuital power flow

The network in this case had hydraulic, Thermal, Solar and Wind power; the load and generation data were obtained for 24 hours with a 15-minute resolution. The results obtained for the circuital power flow of this case are shown in Fig. 3.

Circuital Power Flow - IEEE 33 Bus network.

Figure 3: Circuital Power Flow - IEEE 33 Bus network.

Source: The Authors.

In Fig. 3 it can be observed system’s total generation (Total), the load consumption (Load) and the system losses (Loss). Generation units are divided in renewable (RNW) and conventional (Conv); according to the definition of Net Load, the NL curve was obtained for each time instant. From this NL curve, the Net Load Ramps (NLR) are obtained from eq. (1) and shown in Fig. 4 for the upward (positive) and downward (negative) changes in the Net Load for this system. As the Net Load is defined as the load not supplied by variable generation, this curve shows the changes in power of the conventional generation units.

Net Load Ramp Curve.

Figure 4: Net Load Ramp Curve.

Source: The Authors.

The upward flexibility (Flex pos) and downward flexibility (Flex neg) can be derived from eq. (3) to eq. (5) based on the production curves depicted in Fig. 3. These flexibilities are then illustrated in Fig. 5 for the renewable units and in Fig. 6 for the conventional units.

Upward and downward flexibility for renewable generation units.

Figure 5: Upward and downward flexibility for renewable generation units.

Source: The Authors.

Upward and downward flexibility for conventional units.

Figure 6: Upward and downward flexibility for conventional units.

Source: The Authors.

From Fig. 6, at a given time instant, two values can be obtained: the available power each renewable source could inject to the system (upward flexibility), and the power it could also cease to inject (downward flexibility). Depending on the type of input from each source (e.g. wind speed or solar radiation), its flexibility changes. For solar units this behavior is as expected; in morning hours its production is almost null but only in high solar radiation hours it could be integrated into the system and considered in the flexibility evaluation. Fig. 6 shows the same variables behavior for conventional units. The conclusions here are analog to those mentioned before for renewable sources.

The total available flexibility of the system at each time instant is determined using eq. (6) and is visually represented in Fig. 7. In each of the flexibility curves presented, the positive value of available flexibility at a specific moment signifies the potential power that can be injected either at each individual unit or within the entire system. Conversely, the concept of negative flexibility pertains to the capacity of individual units to cease injection of power at any given moment.

Upward and downward flexibility the complete system.

Figure 7: Upward and downward flexibility the complete system.

Source: The Authors.

The construction of the cumulative distribution of available flexibility (AFD) is based on the assumption that consistent production and load curves persist throughout a one-year period. The AFD is depicted in Fig. 8 using a distribution estimator.

Upward and downward AFD.

Figure 8: Upward and downward AFD.

Source: The Authors.

Each point on these figures represents the probability that this system has of increasing (or decreasing) an amount or less of power a value.

Finally, the Insufficiency Ramping Resource Probability (IRRP) could be calculated from eq. (7) and IRRE from eq. (8) for long term planning scenarios and based on forecasted or estimated behavior of the net load.

3.2. Results comparison and analysis

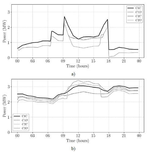
As previously stated, four scenarios were taken into consideration. In Case I, a circuital and optimal flow were carried out in a system without any storage device (C1C and C1O respectively). In Case II, an analysis was conducted on the same two scenarios, but with the inclusion of a storage device within the system (C2C and C2O respectively). The selection of optimal power flow scenarios was motivated by an interest to incorporate the economic factor associated with a theoretical operation and planning of the network being studied into the estimation of flexibility. The generation costs that have been taken into consideration are presented in Table 2 [28,29]. In Table 2, the Cp1 column is related to linear costs per MW and the Cp2 column to quadratic costs per MW. This data is based on an n-polynomial cost function for order two and was used as input for the Optimal Power Flow algorithm. The total production time series for all cases is shown in Fig. 9.

Table 2: Production Costs.

Generation Unit Linear Costs Quadratic Costs
Cp1 (€/MW) Cp2 (€/MW2)
Hydroelectric 20.0 0.038
Thermal / Diessel 40 0.25
Photovoltaic 1 0.01
Photovoltaic 1 0.01
Wind 1 0.01

Source: The Authors.

Total production for all cases.

Figure 9: Total production for all cases.

Source: The Authors.

The order of peak demand among different cases is illustrated in Fig. 9. The highest demand peak is observed in Case II C2C, followed by Case I C1C. C2O occupies the third position, while C1O exhibits the least peak demand. For all cases, the production curves obtained from circuital power flows are higher in the early morning (00 to 08 hours) and night (18 to 24 hours). In the cases of optimal power flows, the production curves order changes during late morning and afternoon hours (09 to 18 hours) due to the cost inclusion in the production of solar energy sources and the use of energy storage systems.

In order to obtain an analysis closer to the operation of a regional distribution power system, we will investigate the optimal flow scenarios, namely C1O and C2O. These cases include the cost factors as previously described.

Fig. 10 displays the net load for all scenarios, representing the load supplied by conventional generation. It is evident that this net load is closely linked to the aforementioned demand peaks. For instance, the minimum peak generation observed in case C1O is associated with the minimum peak net load. Moreover, the minimum values observed in all net load curves can be attributed to the substantial contribution of renewable energy sources during the late morning and afternoon period, specifically between 09:00 and 18:00 hours. This suggests that conventional generation units are anticipated to have a notable capacity for flexibility during this timeframe, in response to an unexpected change in variable generation.

Net Load for all cases.

Figure 10: Net Load for all cases.

Source: The Authors.

The system’s upward and downward flexibility are shown in Fig. 11.

System’s flexibility for all cases. a) Upward flexibility, b) Downward flexibility.

Figure 11: System’s flexibility for all cases. a) Upward flexibility, b) Downward flexibility.

Source: The Authors.

The morphological similarities between the upward flexibility in cases C1O and C2O are quite apparent. Nevertheless, a significant distinction exists: Case C1O exhibits a greater capacity to introduce power into the system during specific time intervals. The enhanced injection capacity is influenced by the nominal parameters of the electrical generation equipment within a designated time frame, typically observed during midday. It is important to acknowledge that the enhanced injection capability in C1O can be mitigated in C2O due to the inclusion of storage units. In the given context of downward flexibility in cases C1O and C2O, it is evident that case C2O exhibits a higher capability to impede power injection into the system. The rate at which this capacity operates is determined by the nominal parameters of the electrical production equipment and is typically limited to a specific time range, commonly around noon. The increased functionality of C2O is attributed to the coexistence of generation storage devices. The charging of these storage devices at specific intervals has resulted in a significant supply of downward flexibility.

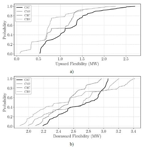
Finally, the upward and downward distributions (AFD) are presented in Fig. 12.

Systems AFD distributions. a) Upward flexibility, b) Downward flexibility.

Figure 12: Systems AFD distributions. a) Upward flexibility, b) Downward flexibility.

Source: The Authors.

Fig. 12 (a) depicts the AFD for upward flexibility cases. In a general sense, the cumulative distributions of these cases exhibit resemblances, except for one noteworthy deviation for optimal power flow cases. These cumulative distribution exhibits divergence in the range of [0.6-1.5] [MW] in relation to upward flexibility. In the case of C1O, it can be observed that the cumulative probability stands at almost 0.55 probability, denoting the availability of about 1 [MW] or less of upward flexibility within a 15-minute timeframe. On the other hand, it is worth noting that in the C2O scenario, the cumulative probability exhibits a significantly higher value, reaching probability values of about 0.79. This suggests that within a 15-minute timeframe, there is a higher likelihood of C2O having upward flexibility of 1 [MW] or less.

In juxtaposition to the preceding instance, we are presented with a situation characterized by notably distinct cumulative distribution patterns. The distributions for cases C1O and C2O are illustrated in Fig. 12 (b), indicating a lack of similarity between the two, except for a common value related to downward flexibility. In both instances, there exists a shared value of downward flexibility, specifically 2.55 [MW] or lower, that can be utilized within a time frame of 15 minutes. The aforementioned value is correlated with a cumulative probability of 0.55. However, significant differences become apparent when analyzing the case C1O. In this particular case, the cumulative probability reaches 0.8, signifying that a maximum of 2.75 megawatts (MW) or less is accessible as downward flexibility within a 15-minute timeframe. In contrast, case C2O exhibits a greater value of 3.07 [MW] or lower as the downward flexibility that is available during the same time period. The aforementioned variations underscore the notable influence on the adaptability of a system when incorporating resources such as storage devices.

The results and analysis presented here gives the possibility to be used in a real-time or operational environment of a distribution system. The forecast based on measurements of environmental or power consumption/generation values could be used in order to evaluate the flexibility of a system at a given time instant. Based on it, the robustness of the system can be known, and control decision can be made to improve this situation.

4. Conclusions

The responsible integration of renewable generation sources, such as photovoltaic or wind power systems, necessitates a careful transition. This is due to their inherent volatility and the presence of high ramp rates in their technology. It is crucial to acknowledge that the migration to these new technologies extends beyond mere fashion or technological trends.

The various software applications available for power system modeling, incorporating the integration of renewable sources, may not inherently support flexibility calculations, and vice versa. Therefore, it is imperative that the objective of flexibility analysis is well-defined. One effective approach is to incorporate simulation and verification models, such as real-time models, which can greatly assist in quantifying and analyzing operational flexibility metrics. However, in the event that a reassessment of planning flexibility is deemed essential, it becomes imperative to utilize historical databases that possess a substantial influx of information pertaining to power systems. Consequently, it becomes crucial to possess the ability to discern the most suitable tool that aligns with the specific requirements.

The examination of flexibility metrics as instruments in the operation and planning of power systems encompasses a diverse array of models, procedures, and methodologies that can be applied, rendering it a potent and adaptable tool for analyzing both specific and general systems. This analysis does not differentiate between time scales, network components, or their physical dimensions.

The utilization of the flexibility metric in power networks has proven to be highly advantageous in providing a rationale for the adoption of regulations, policies, and economic models within frameworks that connect fluctuating renewable energy sources. This is done with the aim of ensuring energy security at the local or regional level. The concept of complete communities refers to the notion of creating urban environments that are self-sustaining and provide all necessary amenities and services.

The methodology for assessing the expectation of insufficient ramp resource (IRRE) encompasses various metrics that facilitate the analysis of maximum power in flexible operation, characterization of net load curves, and statistical analysis of the probability of insufficient resources in flexible ascending or descending scenarios. These metrics serve as a basis for quantifying other related metrics and can also be utilized as a foundation for the development of more comprehensive methodologies. The project in question provided us with a tool that enabled us to gain insights into the benefits and drawbacks of demand management, specifically in relation to the economic aspects of operations.

The incorporation of battery banks into distribution systems characterized by a significant presence of variable renewable generation sources serves the purpose of not only mitigating the effects of low energy production periods but also addressing net load peaks during high production hours. This observation underscores the flexibility of energy storage banks as they effectively mitigate the inherent volatility associated with photovoltaic or wind generators, thereby contributing to the stability and reliability of the overall system operation.

Acknowledgements

Aknowledgements

This research was funded by Minciencias, Universidad Nacional de Colombia, Universidad del Valle and Instituto Tecnológico Metropolitano under the research project “Dimensionamiento, planeación y control de sistemas eléctricos basados en fuentes renovables no convencionales, sistemas de almacenamiento y pilas de combustible para incrementar el acceso y la seguridad energética de poblaciones colombianas” (Minciencias code 70386), which belongs to the research program “Estrategias para el desarrollo de sistemas energéticos sostenibles, confiables, eficientes y accesibles para el futuro de Colombia” (Minciencias code 1150-852-70378, Hermes code 46771).

References

  1. [1] Modi, A., Bühler, F., Andreasen, J.G., and Haglind, F., A review of solar energy-based heat and power generation systems, Renewable and Sustainable Energy Reviews, 67, pp. 1047-1064, 2017. DOI: https://doi.org/10.1016/j.rser.2016.09.075 [URL] 🠔
  2. [2] Jha, S.K., Bilalovic, J., Jha, A., Patel, N., and Zhang, H., Renewable energy: present research and future scope of artificial intelligence, Renewable and Sustainable Energy Reviews , 77(May), pp. 297-317, 2017. DOI: https://doi.org/10.1016/j.rser.2017.04.018 [URL] 🠔
  3. [3] Mohandes, B., Moursi, M.S.E., Hatziargyriou, N., and Khatib, S.E., A review of power system flexibility with high penetration of renewables, IEEE Transactions on Power Systems, 34(4), pp. 3140-3155, 2019. DOI: https://doi.org/10.1109/TPWRS.2019.2897727 [URL] 🠔
  4. [4] Raimi, D., Campbell, E., Newell, R., Prest, B., Villanueva, S. and Wingenroth, J., Global Energy Outlook 2022: turning points and tension in the energy transition a global energy outlook 2022: turning points and tension in the energy transition, N.A., 2022. [Online]. Available at: https://www.rff.org/publications/reports/global-energy-outlook-2022/ [URL] 🠔
  5. [5] Bird, L., Cochran, J., and Wang, X., Wind and solar energy curtailment: experience and practices in the United States, National Renewable Energy Laboratory (NREL) (March), 2014, 58P, [Online]. Available at: http://www.osti.gov/servlets/purl/1126842/ [URL] 🠔
  6. [6] Equipo Analitica XM ESP, “Pydataxm API XM.” GitHub, Inc., Medellin, 2022. [Online]. Available at: https://github.com/EquipoAnaliticaXM/API_XM [URL] 🠔
  7. [7] Eurelectric, Recommendations on the use of flexibility in distribution networks, (April), pp. 1-14, 2020, [Online]. Available at: https://www.eurelectric.org/media/4410/recommendations-on-the-use-of-flexibility-in-distribution-networks_proof-h-86B1B173.pdf [URL] 🠔
  8. [8] Papalexopoulos, A., Hansen, C., Frowd, R., Tuohy, A., and Lannoye, E., Impact of the transmission grid on the operational system flexibility, in 2016 Power Systems Computation Conference (PSCC), Genoa, Italy: IEEE, Jun. 2016, pp. 1-10. https://doi.org/10.1109/PSCC.2016.7541027. [URL] 🠔
  9. [9] Abdin, I.F., and Zio, E., An integrated framework for operational flexibility assessment in multi-period power system planning with renewable energy production, Applied Energy, 222(April), pp. 898-914, 2018. DOI: https://doi.org/10.1016/j.apenergy.2018.04.009. [URL] 🠔
  10. [10] Nosair, H., Member, S., Bouffard, F., and Member, S., Flexibility envelopes for power system operational planning, IEEE Transactions on Sustainable Energy, 6(3), pp. 800-809, 2015. DOI: https://doi.org/10.1109/TSTE.2015.2410760. [URL] 🠔
  11. [11] Grid Modernization Laboratory Consortium, Grid Modernization: Metrics Analysis (GMLC1.1), 4(May), 2017. DOI: https://doi.org/10.13140/RG.2.2.31320.39681. [URL] 🠔
  12. [12] Hsieh, E., and Anderson, R., Grid flexibility: the quiet revolution, Electricity Journal, 30(2), pp. 1-8, 2017. DOI: https://doi.org/10.1016/j.tej.2017.01.009 [URL] 🠔
  13. [13] North American Electric Reliability Corporation., Flexibility requirements and metrics for variable generation: implications for system planning studies, (NERC), North American Electric Reliability Corporation, Village Blvd, August, 2010. [Online]. Available at: https://www.nerc.com/pa/RAPA/ra/Reliability%20Assessments%20DL/IVGTF_Task_1_4_Final.pdf [URL] 🠔
  14. [14] Liu, X., Research on flexibility evaluation method of distribution system based on renewable energy and electric vehicles, IEEE Access, 8, pp. 109249-109265, 2020. DOI: https://doi.org/10.1109/ACCESS.2020.3000685 [URL] 🠔
  15. [15] Gonzalez-Salazar, M.A., Kirsten, T., and Prchlik, L., Review of the operational fl exibility and emissions of gas- and coal- fi red power plants in a future with growing renewables, Renewable and Sustainable Energy Reviews , 82(July), pp. 1497-1513, 2018. DOI: https://doi.org/10.1016/j.rser.2017.05.278. [URL] 🠔
  16. [16] CREG, Medidas para la promocion de la competencia en el mercado de electricidad mayorista, 2010, 33P, [Online]. Available at: https://acolgen.org.co/portfolio/medidas-para-la-promocion-de-la-competencia-en-el-mercado-de-electricidad-mayorista [URL] 🠔
  17. [17] Kondziella, H., and Bruckner, T., Flexibility requirements of renewable energy-based electricity systems - A review of research results and methodologies, Renewable and Sustainable Energy Reviews , 53, pp. 10-22, 2016. DOI: https://doi.org/10.1016/j.rser.2015.07.199. [URL] 🠔
  18. [18] Lannoye, E., Flynn, D., and O’Malley, M., Power system flexibility assessment State of the art, IEEE Power and Energy Society General Meeting, 2012. DOI: https://doi.org/10.1109/PESGM.2012.6345375. [URL] 🠔
  19. [19] Lannoye, E., Flynn, D., and O’Malley, M., Power system flexibility assessment State of the art, IEEE Power and Energy Society General Meeting, 2012. DOI: https://doi.org/10.1109/PESGM.2012.6345375. [URL] 🠔
  20. [20] Kinoshita, S., Yamaguchi, N., Sato, F., and Ohtani, S., Impact of demand response price signal on battery state of charge management at office buildings, in: SEST 2021 - 4th International Conference on Smart Energy Systems and Technologies, 2021. DOI: https://doi.org/10.1109/SEST50973.2021.9543140. [URL] 🠔
  21. [21] Cao, Y. et al., Hydrogen production using solar energy and injection into a solid oxide fuel cell for CO2 emission reduction; Thermoeconomic assessment and tri-objective optimization, Sustainable Energy Technologies and Assessments, 50( November), art. 101767, 2022. DOI: https://doi.org/10.1016/j.seta.2021.101767. [URL] 🠔
  22. [22] Thurner, L. et al., Pandapower - An Open-Source Python tool for convenient modeling, analysis, and optimization of electric power systems, IEEE Transactions on Power Systems, 33(6), pp. 6510-6521, 2018. DOI: https://doi.org/10.1109/TPWRS.2018.2829021. [URL] 🠔
  23. [23] Lannoye, E., Flynn, D., and O’Malley, M., Evaluation of power system flexibility, IEEE Transactions on Power Systems , 27(2), pp. 922-931, 2012. DOI: https://doi.org/10.1109/TPWRS.2011.2177280. [URL] 🠔
  24. [24] Thatte A.A., and Xie, L., A metric and market construct of inter-temporal flexibility in time-coupled economic dispatch, IEEE Transactions on Power Systems , 31(5), pp. 3437-3446, 2016. DOI: https://doi.org/10.1109/TPWRS.2015.2495118. [URL] 🠔
  25. [25] Ma, J., Silva, V., Belhomme, R., Kirschen, D.S., and Ochoa, L.F., Exploring the use of flexibility indices in low carbon power systems, IEEE PES Innovative Smart Grid Technologies Conference Europe (2), pp. 1-5, 2012. DOI: https://doi.org/10.1109/ISGTEurope.2012.6465757. [URL] 🠔
  26. [26] Makarov, Y.V., Etingov, P., Huang, Z., Ma, J., Chakrabarti, B., Subbarao, K., Loutan, C., and Guttromson, R., Integration of wind generation and load forecast uncertainties into power grid operations. in: Transmission and Distribution Conference and Exposition, 2010, pp. 1-8. DOI: https://doi.org/10.1109/TDC.2010.5484201 [URL] 🠔
  27. [27] Li, H., Wang, Z., Hong, T. and Piette, M.A., Energy flexibility of residential buildings: a systematic review of characterization and quantification methods and applications, Advances inApplied Energy , 3(July), art. 100054, 2021. DOI: https://doi.org/10.1016/j.adapen.2021.100054. [URL] 🠔
  28. [28] Mills, A., and Seel, J., Flexibility inventory for western resource planners, Berkeley National Laboratory, 2015. [Online]. Available at: https://eta-publications.lbl.gov/sites/default/files/lbnl-1003750.pdf [URL] 🠔
  29. [29] Guo, Z., Zheng, Y., and Li, G., Power system flexibility quantitative evaluation based on improved universal generating function method: a case study of Zhangjiakou, Energy, 205, art. 117963, 2020. DOI: https://doi.org/10.1016/j.energy.2020.117963. [URL] 🠔
Suarique-Agudelo, J.P., and Herrera-Murcia, J. Quantification and analysis of flexibility in a power distribution network with penetration of non-conventional renewable sources. DYNA, 91(231), pp. 76-85, January - March, 2024.
, is a BSc. Eng. in Electrical Engineer from the Universidad Nacional de Colombia. MSc and PhD from the same university. Associate professor at the Universidad Nacional de Colombia, Medellín Campus. Its research interests are related to the simulation of power systems in steady and transient regimes. ORCID: 0000-0001-5993-296X
, is a BSc. Eng. in Electrical Engineer from the Universidad Nacional de Colombia, Medellín Campus, Young researcher in the project RC-80740-178-2021 - MINCIENCIAS - Strategies for the development of sustainable, reliable, efficient, and accessible energy systems for the future of Colombia. Period 2021-2022. Currently Substation Design Engineer at the company HMV Ingenieros Ltda. ORCID: 0000-0002-7615-3797