DYNA
0012-7353
2346-2183
Universidad Nacional de Colombia
https://doi.org/10.15446/dyna.v91n231.110995

Recibido: 6 de septiembre de 2023; Revision Received: 11 de enero de 2024; Aceptado: 13 de febrero de 2024

Smart sensors/actuators based in amorphous nanostructures, according to enhance robotic arms energy transmission

Sensores/actuadores inteligentes basados en nanoestructuras amorfas, para mejorar la transferencia de energía en brazos robóticos

J. Calderón-Ch., abc*B. Barriga-G., bJ. Tafur, bF. Jiménez, bJ. Lozano, bdfH. Lozano, eR. Risco, gD. Gallo-T., d

Applied Physics, Institute for Physics, Technical University of Ilmenau, Ilmenau, Germany Technical University of Ilmenau Applied Physics Institute for Physics Technical University of Ilmenau Ilmenau Germany
Pontificia Universidad Católica del Perú, Mechatronic Master Program, and Energy Laboratory, Lima, Peru. Pontificia Universidad Católica del Perú Pontificia Universidad Católica del Perú Mechatronic Master Program, and Energy Laboratory Lima Peru
Aplicaciones Avanzadas en Sistema Mecatrónicos JACH S.A.C. Aplicaciones Avanzadas en Sistema Mecatrónicos JACH S.A.C Aplicaciones Avanzadas en Sistema Mecatrónicos JACH S.A.C
Universidad Continental, Huancayo, Perú. dante.gallo@pucp.edu.pe Universidad Continental Universidad Continental Huancayo Perú
Universidad del Centro del Perú, Huancayo, Perú. hlozano@uncp.edu.pe Universidad del Centro del Perú Universidad del Centro del Perú Huancayo Perú
Northern (Arctic) Federal University named after MV Lomonosov, Russian Federation Northern (Arctic) Federal University Northern (Arctic) Federal University Russian Federation
Universidad Nacional del Santa, Áncash, Perú. rrisco@uns.edu.pe Universidad Nacional del Santa Universidad Nacional del Santa Áncash Perú

Corresponding and main author:alan.calderon@pucp.edu.pe,bbarrig@pucp.edu.pe,jtafur@pucp.edu.pe,ojimene@pucp.edu.pe,john.lozanoj@pucp.edu.pe

Abstract

This article mainly analyzes the correlation between the carrier energy in robotic arms, according to enhance its performance. This task is achieved because of the sensors/actuators based on nanostructures properties: short response time and high robustness, which proportionated the possibility to execute intricate instructions by the control subsystem of the robotic arm. Therefore, the instructions executed by the controller are supported by a polynomial design, this algorithm helped to evaluate every response signal as a consequence of the main control system, which was consequently by the short response time from the main sensors "flow (carrier energy) and speed of the robotic arm", moreover, the advantage of the proposed system is given by the extra time obtained also to verify the stability of the robotic arm based in Lyapunov models correlated with Lagrange, as well as every equations were solved and organized by neural network.

Keywords:

sensors, actuators, nanostructures, robotic arms, modulating functions, Lagrange, Lyapunov, pneumatic, oleohidraulic.

Resumen

Este artículo analiza principalmente la correlación entre la energía portadora en brazos robóticos, en función de mejorar su rendimiento. Esta tarea se logra gracias a los sensores/actuadores basados en propiedades de nanoestructuras: corto tiempo de respuesta y alta robustez, lo que proporcionó la posibilidad de ejecutar instrucciones complejas mediante el subsistema de control del brazo robótico. Por lo tanto, las instrucciones ejecutadas por el controlador están sustentadas en un diseño polinómico, este algoritmo ayudó a evaluar cada señal de respuesta como consecuencia del sistema de control principal, lo que fue gracias al corto tiempo de respuesta de los sensores principales "flujo (energía portadora) y velocidad del brazo robótico", además, la ventaja del sistema propuesto está dada por el tiempo extra que se toma también para verificar la estabilidad del brazo robótico basado en modelos de Lyapunov correlacionados con Lagrange, así como todas las ecuaciones fueron resueltas y organizadas por red neuronal.

Palabras clave:

sensores, actuadores, nanoestructuras, brazos robóticos, funciones moduladoras, Lagrange, Lyapunov, neumática, oleohidráulica.

1. Introduction

In Peru, such as in many Latin American countries, there are developed many tasks that need the support of robotic arms according to be a complement for economic activities, such as for example in mining, fishing, agriculture processing and mechanic metal manufacturing. Nevertheless, the reparation of robotic arms depends on good understanding of the physical laws, as well as its mathematical modelling that are the base for the control algorithms of the robotic arms, in this context, this research provides technical strategies for designers and users of robotic arms, based in sensors/actuators that were prepared by nanostructure samples. The mathematical analysis of the proposed research focuses the effects of the advanced sensors/actuators as part of the robotic arms in the energy balance correlated with the energy carrier "pneumatic or oleo hydraulic".

The propose of this research is focused in the analysis, design and applications of smart sensors/actuators based in Anodic Aluminum Oxide amorphous nanostructures, according to be used by robotic arms, as well as to enhance their performance. The designed smart sensors/actuators are supported by the short response time and high robustness as characteristics of the transducers prepared by the amorphous nanostructures. Hence, the microcontroller of the designed smart sensors (as part of the studied robotic arms) can execute intricate algorithms as a consequence of the optimized time, due to by traditional electromechanical sensors/actuators it is not simple to execute advanced algorithms for robotic arm tasks in contrast to solve them in short time because of the high robustness and short response time are properties of the designed sensors based on nanostructures. For this reason, whether the designed sensors/actuators are working as part of robotic arms, they can execute more sophisticated algorithms to reproduce movement tasks that are needed by the robotic arm. In fact, in this proposed research, it is evaluated the performance by executing advanced mathematical models based in neural network to find solution of the differential equations designed for the dynamic description of the robotic arm evaluated, modulating functions, Lagrange and Lyapunov analysis, as well as the comparison results among the robotic arm using electromechanical sensors/actuators with the robotic arms using the designed smart sensors/actuators, besides there are explained some communication protocols used in the designed proposal that are based in wireless interchanging data between the sensors and actuators.

Furthermore, in this research is evaluated the enhancement of the robotic arms energy transmission as a consequence of the smart sensors/actuators integrated in them, for which, there were analyzed Lyapunov models according to get numerical results of the optimal energy transmission through the robotic arm (Lyapunov stability), as a result, it means an optimal energy transmission over the objective in which the robotic arm will execute a task.

In the following research is analyzed the energy transmission as well as the optimization according to improve the performance of robotic systems. The main objective in this research is the analysis of the consequences to use sensors/actuators based on amorphous nanostructures owing to enhance the energy transmission/balance of robotic arms. Hence, in this article is detailed the mathematical model designed to achieve the proposed objective, then, as a consequence of the mathematical view, it was possible to design sophisticated algorithms for simulations and the prototype design.

It was necessary to focus the study of the energy carrier from which to get the movement consequence of the robotic system, therefore it was analyzed the energy carrier as part of a pneumatic or oleohydraulic system. By other side, the energy transmission can be improved by sensors and actuators with high robustness and short response time, these properties were obtained by the smart sensors/actuators designed by nanostructures as part of the robotic arm (robotic system studied in this research).

It is expected that this research could be a support for designers of robotic arms or for researchers who are trying to get optimal solutions (by optimal and adaptive algorithms) consequently to be used for the industrial and economical activities in the Latin-American market, because of the Latin-American countries have own reality by agriculture, mining and fishing with the high responsibility to care the environment conditions. In the following Fig. 1 is depicted a robotic arm, in which "A" represents the main energy transmission of the energy carrier over the block "B", which coordinates the first degree of freedom for the robotic system, the second coordination of movement are given by "C" and "D" that get action over the holders of the subsystem "E".

Representation of a robotic arm for the proposed research.

Figure 1: Representation of a robotic arm for the proposed research.

Source: Own elaboration

2. Theoretical analysis

The sensors and actuators of the robotic system were designed by amorphous nanostructures, from which the eq. 1 gives the information of the volume base "V b " for a unit of nanostructures, in which "I" is the side base as well as "L" is the height [1-3,17].

The porous volume "V p " is given by the eq. 2, which was obtained over the unit sample described by the previous eq. 1, furthermore, "D p " is the diameter of the porous [1-3,17].

Hence, the porosity " P " is achieved by the eq. 3 that is consequence to correlate eq. 1 and eq. 2 [1-3,17].

The Fig. 2 depicts the porous of Anodic Aluminum Oxide (AAO) prepared over the Aluminum sample due to anodization reactions that also can help for the controlling the porous diameter during the electrochemical reactions of their preparation, thus, the expansion of the porous (during the elaboration process) is depicted by the direction of every red arrow depicted on the Fig. 2. [1-3,17].

representation of AAO samples.

Figure 2: representation of AAO samples.

Source: Own elaboration

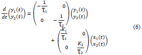
The following eq. 4 gives information regarding the first order transfer function of the flow sensor that was designed to analyze the optimal energy transmission on the studied robotic system. The flow sensor model also helped to get the implicit speed of the designed robotic system, in which the response time "T 1", gain "K 1 " and delay "L 1 "; the flow variable (energy carrier) is the variable "Y 1" and the input variable is given by "X 1". It must be understand that the eq. 4 (also the subsequent eq. 5) are given in Laplace "S" domain that were obtained by experiments, during the dynamic analysis of the system [6-12].

Moreover, the eq. 5 gives information concerning the displacement measured by infrared (IR), for which, the response time "T2", gain "K 2 " and delay "L2"; the displacement variable (of the robotic arm) is the variable " y2 " and the input variable is given by "X 2 " that is the IR signal over the displacement target of the robotic arm. [6-12].

Therefore, it is possible to join both eqs. 4 and 5 by a differential matrix equation, as it is described by the eq. 6 on the time domain, as well as it was possible to evaluate the designed smart sensors on either hydraulic/pneumatic robotic system or electrical robotic system. [6-12].

Thus, as a consequence, the solution is proposed by the following equation matrix eq. 7. [6-12].

For the both designed systems (hydraulic/pneumatic and electrical), the sensors are positioned near the articulations of the robotic arms according to measure the speed and position.

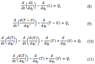
Since the eqs. 8 to 11 are the summary of the Lagrange analysis owing to validate the energy transmission through the robotic system. In which, "L" is the Lagrange function, "T" is the kinetic energy, "U" is the potential energy, and "q" is the coordinate axis, as well as "Q" is the external force, and "i". [4,5,7].

For the control analysis of the robotic arms, it was proposed a "Proportional, Integral, Derivative" PID controller, for which the eq. 12 is the characteristic equation of the robotic arm system [4,5,7].

The transfer function of the designed sensors is given by the eq. 13, the transfer function of the designed sensor is one, because of the measured displacement of the first degree of freedom. [4,5,7].

The PID controller in Laplace domain is given by the eq. 14, from which, the control parameters got dependences from the sensors/actuators based on nanostructures. [4,5,7].

As a response of step excitation signals over the robotic system, it was obtained first order transfer function for a robotic system, which is showed by the eq. 15. [4,5,7].

Correlating all the described transfer functions, it was achieved the following eq. 16, in spite of it is not analyzed the adaptive equations yet. [4,5,7].

When the sensor response time "Ts" is null, and comparing the general second order model obtained was compared with the following second order system of the eq. 17. [4,5,7].

Hence, the second order model is given by the eq. 18. [4,5,7].

Comparing the eqs. 17 and 18, it was achieved the eq. 19, in order to find the control parameters. [4,5,7].

Therefore, the proportional controller is given by the eq. 20. [4,5,7].

As well as, consequently to the comparison between the eqs 17 and 18, it is obtained the eq. 21. [4,5,7].

Furthermore, it was obtained the integral gain of the PID that is given by the eq. 22. [4,5,7].

Notwithstanding, it must be analyzed the stability of the robotic system (robotic arm) that is composed by the designed smart sensors/actuators based on nanostructures, due to provide information of the control system can solve different movement tasks which can be asked to the robotic system, and as a consequence the robotic system needs to warrant good performance, it means the analysis of stability is quite important.

The eq. 23 gives information of the dynamic system for the robotic arm. [4,5,7,17].

From which, the eq. 24 is the speed of the robotic arm. [4,5,7,17].

Correlating the eq. 23 and the eq. 24, it was achieved the eq. 25. [4,5,7,17].

Moreover, it was proposed the eq. 26 as a Lyapunov function according to analyze the robotic arm stability, which also verifies the first Lyapunov stability condition, it means that is positive and bigger than zero. [4,5,7,17].

The eq. 27 looks for the verification of the second condition Lyapunov stability. [4,5,7,17].

The eq. 28 is obtained reducing the eq. 27 and using the eq. 26. [4,5,7,17].

In fact, the eq. 29 satisfies the second condition of Lyapunov stability because of it is negative while the response time parameters and the response gain parameters are positive, this effect is also a good consequence of the designed smart sensors/actuators based on nanostructures. [4,5,7,17].

In this research were analyzed the differential equation solutions by neural network, which were described by the eq. 30 [13], as a consequence of the multiple solutions from every studied model that comes from the transduction responses (every sensor response), the identification data based on the polynomial analysis results established on Lagrange (studied on paragraphs above), moreover the stability analysis from the dynamic of the system also in correlation with the optimal energy transmission through the robotic arm system. Thus, every differential equation was organized to achieve their solutions by neural network, in which the solution package is given by "α", activation function is given by "σ" (this was generalized by consequences of Modulating Functions), every input variable "x" (for every differential equation from the full system), the weights matrix "w" according to find the adaptive solution for every subsystem of the robotic arm, every joined disturbance "β" that for some authors also this could be considered as kind of error signal, every variable indicated and fixed by the auxiliary variable "i", counting the equations from 1 till "n".

It was necessary to improve the adaptive parameters of the eq. 30 (which were considered as weights matrix) in order to obtain the optimal solutions of every differential equation that describe the robotic arm, as well as its optimal energy transmission based on the stability and dynamic (Lyapunov and Laplace). Therefore, the recurrence of the eq. 31 [13] is also supported by every updated value in "w", adjusted by "r]" in the continuous decay of "L" because of its gradient in dependence on " w t ".

Every component of the designed system has integration each to other wirelessly (some sensors, actuators, and the control system of the robotic arm). As it was explained in the previous chapters of this proposed article, the short response time in comparison with the traditional electromechanical sensors (in average that was around 0.5 to 0.8 seconds) helped to execute intricate algorithms to achieve the main objective of the proposed article "Optimal energy transmission in the robotic arm to develop tasks", moreover to get the correlation for the emitter/receptor of every measured data and control data without wires between each to other.

It means that it was necessary a protocol for the interchanging data communication (and control data), for this research, it was selected inferred (IR) signal according to be the electromagnetic wave (the medium) for the data communication/control of the robotic arm, and the standard protocol for the IR signal in communication systems is given by Infrared Data Association (IrDA) [14], the operation frequency for most of the data communication/control of the robotic arm are not inside of the range of work proportionated by IR, therefore, also it was one of the justification to work with IR signal in order to replace wires between every subsystem (such as a kind of embedded system).

Hence, it was decided to enhance the data communication between every subsystem of the robotic arm, for which, it was possible to interchange information from the main control system to the sensors and actuators by IrDA, it was a good advantage because of not using wires between the subsystem of the robotic arm. Notwithstanding, it was necessary to integrate a microcontroller for the designed sensors in order to support the dynamic responses of the robotic arm by the correlation between the consumed energy by the robotic arm with the dynamic parameters necessary to solve tasks.

3. Simulation analysis

After to organize the described equations and analysis from paragraphs above, it was prepared an adaptive algorithm in order to evaluate the optimal energy transmission of the studied robotic arms, and the following Fig. 3 shows a result of the simulated displacement on the axis X and Y. The scale was 10 cm for the displacement of the robotic arm over a plane surface "XY".

The expected trajectory achieved by simulations and calculations was a result of the coordination from the energy transmission analysis. It means, from the interpretation results of the response time "X1" and "T2" (correlation between the dynamic effect over the robotic arm with its energy charger response), as well as the expected solutions for every dynamic model were soft curves based on the first order systems of their behavior. Furthermore, the dynamic interpretation achieved consequently from Lagrange analysis (because of the carrier energy effect) needed to be verified by Lyapunov, owing to the stability of the main system. Thus, every solution for every differential equation of the full system was organized through neural network analysis and supporting the simulations and experimental algorithms design. Hence, the Fig. 3 shows the representation of the robotic arm movement over the described XY plane.

Simulation result of the robotic arm displacement.

Figure 3:: Simulation result of the robotic arm displacement.

Source: Own elaboration

4. Experimental analysis

The experiments to evaluate the performance of the designed robotic arm were made consequently to design the mathematical model that correlates the robotic arm dynamics with the optimal energy transmission given by the energy carrier (which was explained in chapters above).

Therefore, the optimal energy transmission through every subsystem of the robotic arm can achieve a successful result owing to the short response time of sensors/actuators designed for this research that was based on nanostructures prepared over AAO samples. In this context, the Fig. 4 shows holes with diameters around 1um or 1000 nm, over which were deposited atoms by "Sputtering process", "physical vapor deposition", or "electrochemical deposition"

Sample of AAO analyzed by microscope Litz.

Figure 4:: Sample of AAO analyzed by microscope Litz.

Source: Own elaboration

There were prepared nanostructures by electrochemical depositions.

Nevertheless, the samples obtained were amorphous, in this context there were designed transducers (such as nano wires) based on titanium dioxide, silicon, ferric, cooper, gold and silver.

Even though, the samples are amorphous, it does not mean that cannot be useful [15,16], these samples are useful as clusters with good performance in the electromagnetic absorbance (for the wireless sensors designed in this task).

The Fig. 5 shows the setup for the experiments (in which the energy carrier was evaluated either as air or oil). The main robotic arm designed was under the procedure to test its performance between the dynamic parameters (response time and robustness) with the energy carrier parameters (fluid density and referential distance).

Setup for the experiments (some of them made in Oleo-hydraulic laboratory from the PUCP).

Figure 5:: Setup for the experiments (some of them made in Oleo-hydraulic laboratory from the PUCP).

Source: Own elaboration

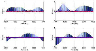
In the following Fig. 6 are showed the trajectories of the designed robotic arm, in the left upper subfigure and in the right upper subfigure, from which it was possible to verify the response of the robotic arm achieved by a classic electromechanical sensor (red color curves) in comparison with a theoretical analysis (blue color curves) of the robotic arm movement that was described in previous chapters.

Responses and trajectories of the robotic arm.

Figure 6:: Responses and trajectories of the robotic arm.

Source: Own elaboration

In both cases, it is possible to see that the movement measured by the sensors based in nanostructures (green color curve) get more close correlation with the theoretical model (blue color curve).

As well as, for both lower subfigures of the following Fig. 5 are showed the trajectories of the designed robotic arm. Hence, also the measurement obtained by the sensors based in nanostructures has a better behavior than the electromechanical sensors, which is validated by their short response time and robustness under disturbances.

The following Fig. 7 is an amplification from the previous figure, in which is possible to verify that the designed smart sensors/actuators as part of the robotic arm can proportionate a better information of the movement task for the control system of the robotic arm, then it is a good support to keep its stability.

Responses and trajectories of the robotic arm (amplified view)

Figure 7:: Responses and trajectories of the robotic arm (amplified view)

Source: Own elaboration

The green color curve for the 4 subfigures of the following figure is the data achieved by the designed smart sensors, the blue color curve is the theoretical trajectory analyzed by the previous mathematical models described in chapters above, as well as the red color curve is the data measured by the traditional electromechanical sensors.

Otherwise, it was analyzed the static responses of the carrier energy of the designed robotic arm, in which it was possible to identify the range of operation. In the Fig. 8, the blue color curve tends to give a wide operating range by linear response from 0 mbar to 11 mbar as difference of pressure.

Static curves for the difference of pressure of the carrier energy on the designed sensor.

Figure 8:: Static curves for the difference of pressure of the carrier energy on the designed sensor.

Source: Own elaboration

The following Fig. 9 shows the dynamic response of the carrier energy for the designed robotic arm, which was air. Therefore, airflow was controlled as part of the control volume (carrier energy) to give the movement effect for the robotic system. The blue color curve is the theoretical model of the airflow as part of a step response over the robotic arm, the red color curve was the data measured by a traditional electro mechanic sensor, and the green color curve is the airflow measured by the designed smart sensor.

Dynamic response for the energy carrier of the robotic arm.

Figure 9:: Dynamic response for the energy carrier of the robotic arm.

Source: Own elaboration

Hence, the data measured by the designed sensor based in nanostructures provided high robustness and short response time over the proposed operating range.

5. Conclusions

It was designed and analyzed a general mathematical model for the study of the optimal transmission of the energy carrier in a robotic arm, according to research the effects to use sensors/actuators based on nanostructures.

It was designed an adaptive algorithm to simulate the movement effect of a robotic arm, as well as its energy carrier transmission. Even though, the algorithms designed were also used for the designed robotic arm.

It was correlated the displacement and speed of the robotic arm with the airflow as part of the energy carrier in order to get the stability analysis by Lyapunov.

It was verified the short response time and high robustness of the sensors/actuators based in nanostructures owing to enhance the energy transmission in a robotic arm that can be useful for researchers and designers.

6. Outlook

It is suggested to integrate the designed smart sensors/actuators and the robotic arm as part of a robotic system with autonomous movement, such as for example with independent dynamic and displacement.

It is suggested to analyze the enhancement of the designed robotic arm by autonomous support of saved energy and wireless communication inside its hardware, according to validate the importance to use sensors/actuators based in nanostructures.

Acknowledgements

Acknowledgement

It is expressed warm and special thankful to Mrs. Aleksandra Ulianova de Calderón because of her dedication and support in the analysis of the application of this research according to get a positive impact in the cares of the environment conditions.

It is expressed special grateful to Mr. Carlos Luis Calderón Soria because of his support in the experimental analysis.

It is expressed thankful to Oleo-hydraulic laboratory from the PUCP, moreover to the financial area and programs support FONCAI.

It is expressed grateful to Bryan Bastidas, Wilson Chauca and Fernando Romero, because of their continuous support in the development of this research.

References

  1. [1] Lei, Y., Cai, W., and Wilde, G., Highly ordered nanostructures with tunable size, shape and properties: a new way to surfacenano-patterning using ultra-thin alumina masks, Progress in Materials Science, Science Direct, Elsevier, [online]. 52, pp. 465-539, 2007. Available at: https://www.sciencedirect.com/science/article/pii/S2211812814008037 [URL] 🠔
  2. [2] Manzano, C., Schwiedrzik, J., Bürki, G., Pethö, L., Michler, J., and Philippe, L., A set of empirical equations describing the observed colours of metal-anodic aluminium oxide-Al nanostructures, Beilstein Journal of Nanotechnology, [online]. 11, pp. 798-806, Germany, 2020. Available at: https://www.beilstein-journals.org/bjnano/articles/11/64 [URL] 🠔
  3. [3] Yan, H., Preparation and optical characterization of nanoporous templates as a basis for nanocontacts arrays, Fakultät für Elektrotechnik, Informationstechnik, Physik der Technischen Universität Carolo-Wilhelmina, Germany, 2012. Available at: https://leopard.tu-braunschweig.de/servlets/MCRFileNodeServlet/dbbs_derivate_00026579/thesis.pdf [URL] 🠔
  4. [4] Landau, L.D., and Lifshitz, E.M., Theory of elasticity, course of theoretical physics, vol. 7. Institute of Physical Problems, Academy of Science, USSR, 1959. 🠔
  5. [5] Feynman, R., Leighton, R., and Sands M., The Feynman lectures on physics, vol. I. New Millennium eds., USA, 1962. 🠔
  6. [6] Qiu, L., and Zhou, K., Introduction to feedback control, Pearson Prentice Hall, USA, 2010. 🠔
  7. [7] Aström, K., and Murray, R.M., Feedback systems, Princeton University Press, USA, 2009. 🠔
  8. [8] Pearson, A.E., Aerodynamic parameters estimation via Fourier Modulating Functions techniques, Center for aerospace, NASA, USA, 1995. 🠔
  9. [9] Castro, J.M., El teorema de Lagrange y el segundo método de Liapunov, como criterio de estabilidad. Boletín de Matemáticas, [en línea]. 7(4), pp. 205-218, 1973. Disponible en: https://dialnet.unirioja.es/servlet/articulo?codigo=6960152 [URL] 🠔
  10. [10] Ogata, K., Dinámica de sistemas. Prentice Hall Hispanoamericana S.A. 1987. 🠔
  11. [11] Ollar, J., Mecánica Teórica. Departamento de Física. [en línea]. Universidad de Murcia. 2004, 197 P. Disponible en: https://www.um.es/oller/docencia/mecan.pdf [URL] 🠔
  12. [12] Escalante-González, R. de J., Generación de sistemas dinámicos lineales por partes caóticos sin puntos de equilibrio. Posgrado en control y sistemas dinámicos. Instituto Potosino de Investigación Científica y Tecnológica A.C., San Luis Potosí, México, [en línea]. 2016. Disponible en: https://www.um.es/oller/docencia/mecan.pdf [URL] 🠔
  13. [13] Machado-L., J.M., Evaluación de una red neuronal para la solución de ecuaciones diferenciales. Tesis de grado, Ingeniería Física, Escuela de Ciencias Aplicadas e Ingeniería, Universidad EAFIT, Medellín, Colombia, [En línea]. 2023. Disponible en: https://repository.eafit.edu.co/server/api/core/bitstreams/7f35cf50-e258-4361-a4f8-1457d1576cc6/content [URL] 🠔
  14. [14] Vishay. Infrared Data Communication According to IrDA standard. IrDA Physical Layer, Vishay Semionductors. [online]. 2021. Available at: https://www.vishay.com/docs/82513/physicallayer.pdf [URL] 🠔
  15. [15] Wei, B., Li, L., Shao, L., and Wang, J., Crystalline amorphous nanostructures: microstructure, property and modelling. MDPI, Materials. [online]. 2023. Available at: https://www.mdpi.com/1996-1944/16/7/2874 [URL] 🠔
  16. [16] Kang, J., Li, F., Xu Z., Chen, X., Sun, M., Li, Xiuyi, Y.Y., and Guo L., How amorphous nanomaterials enhanced electrocatalytic, SERS, and mechanical properties. ACS Publications, [online]. JACS. 2023. Available at: https://www.ncbi.nlm.nih.gov/pmc/articles/PMC10598560/ [URL] 🠔
  17. [17] Calderón, J.A., Jiménez F.O., Barriga, B., Tafur, J.C., Gallo, D.J., Lengua, J.C., Lozano, J.H., and Lozano-Núñez, H., Optimal analysis for the enhancement in the thermal variables measurement by smart and modular solid-state sensors. In: New Advances in Biosensing [Working Title]. IntechOpen, Nov., 2023. DOI: https://doi.org/10.5772/intechopen.112676. [URL] 🠔
: Calderón-Ch., J.A., Barriga-G., B., Tafur, J.C., Jiménez, F., Lozano, J., Lozano, H., Risco, R., and Gallo-T., D.J., Smart sensors/actuators based in amorphous nanostructures, according to enhance robotic arms energy transmission. DYNA, 91(231), pp. 112-120, January - March, 2024.
., is PhD. candidate in Engineering, at the TU Ilmenau, Technische Universität Ilmenau, Germany. In 2016-Present is researcher and designer of advanced mathematical models, advanced algorithms and hardware to enhance mechatronic systems and environment conditions through nanostructures, Institut für Physik Angewandte Nanophysik Group TU Ilmenau. In 2014 - 2015 is MSc. Mechatronic, from the TU Ilmenau, Technische Universität Ilmenau, Germany. In 2013 - 2015, is MSc. Mechatronic, PUCP. In 2006/2 2012/1, is BSCc. Eng. in Electronic Engineer, from the PUCP -Pontificia Universidad Católica del Perú. In 2003 2005, was Science Physics student, at the UNMSM - Universidad Nacional Mayor de San Marcos, Peru. In 1991-2003, Micaela Bastidas school, Bertolt Brecht School and science specialization in the ADUNI & César Vallejo academy. ORCID: 0000-0002-6486-5105
., is BSc. Electrical Mechanical Engineer from the National University of Engineering, UNI, Perú. Dipl. Engineer from the RWTH-Aachen, Germany in the Sp. of Machine Design Methodology. Actually, is professor of the master in Mechanical Engineering and Mechatronics Engineering, professor in the methodology courses of Machine Design and Mechatronic Design, professor of the lectures in Oleo Hydraulics and Pneumatics, Mobile Hydraulics. In fact, I have extensive experience in the design and manufacture of hydraulic and pneumatic systems for the industry, moreover I am the founder of the firm Fluidtek SRL. ORCID: /0000-0002-7781-6177
., is PhD. in Automation and Robotics, from the Universidad Politécnica de Madrid, Spain. Development of research projects in the fields of automation and control, robot control, robotic teleoperation, computer vision applications and mechatronic design. ORCID: 0000-0003-3415-1969
, is MSc. Industrial Engineering, BSc. Engin Mechanic Engineer. Main director of the Energy Laboratory, PUCP, Main director of the master program in Energy of the PUCP. Main researcher of plenty projects in renewable energy and energy efficiency. Main teacher on thermodynamics in the PUCP, Lima, Perú. ORCID: 0000-0003-0540-9481
, is MSc. in Mechatronics, from the PUCP, Lima, Perú. BSc. Eng. in Robotic Engineering, from the Northen (Artic) Federal University named after MV Lomonosov, Russian Federation. Main teacher and main researcher about mechatronic and advanced control systems in the Continental University, Huancayo, Perú. Teacher and researcher in Numerical Analysis in the PUCP, Lima, Perú. ORCID: 0000-0002-8430-9480
, is Dr. in Environmental Engineering and Sustainable Development, from the UNFV, Perú. MSc. in Energetic Technologies, from the National University of the Center of Perú, Huancayo, Perú, BSc. Eng. in Electrical Engineer, from the National University of the Center of Perú, Huancayo. Quite experience in the industry and research about electrical power systems, main teacher and researcher in the National University of the Center of Perú, Huancayo, Perú. ORCID: 0000-0003-3264-2908
, is MSc. Mechanical Engineering, from the PUCP, Lima, Perú. BSc. Eng. in Mechanic Engineer, from the National University Del Santa, Nuevo Chimbote, Ancash, Perú. Main director of Mechanical Engineering Department. Quite interested in mechanic designing and energy transmission. Teacher and researcher of mechanical engineering in the National University Del Santa, Nuevo Chimbote, Ancash, Perú. ORCID: /0000-0003-0194-169X
., is MSc. candidate in Mechatronics, from the PUCP, Lima, Perú. BSc. Eng. in Mechatronic Engineer, from the Continental University, Huancayo, Perú. Teacher and researcher of advanced mechatronic systems in the Continental University, Huancayo Perú, and Engineering and Technological University. ORCID: 0009-0004-4506-3205