DYNA
0012-7353
2346-2183
Universidad Nacional de Colombia
https://doi.org/10.15446/dyna.v91n232.111361

Recibido: 30 de septiembre de 2023; Revision Received: 18 de marzo de 2024; Aceptado: 8 de abril de 2024

Probabilistic Weibull reliability of a shaft design subjected to bending and torsion stress

Confiabilidad probabilística Weibull en el diseño de un eje sometido a esfuerzos de flexión y torsión

M. Baro, a M. Piña-Monarrez, b

Tecnológico Nacional de México, Campus Nuevo Casas Grandes, Nuevo Casas Grandes, México. mbaro@itsncg.edu.mx Tecnológico Nacional de México Campus Nuevo Casas Grandes México
Industrial and Manufacturing Department of the Engineering and Technological Institute, Universidad Autónoma de Ciudad Juárez, Cd. Juárez, México. Manuel.pina@uacj.mx Industrial and Manufacturing Department of the Engineering and Technological Institute Universidad Autónoma de Ciudad Juárez México

Abstract

The circular shaft serves as the axis of rotation for the components. It is subjected to flexion and tearing, indicating that fatigue is the mode of failure. The range of stresses resulting from the mean and alternating loads determines the occurrence of fatigue failure. The deterministic fatigue analysis, calculated using the stress average obtained from SN curves, can only represent the mean life. This is because the stress range is not a single number, and therefore it cannot provide the reliability level for the stress. The study employs the Weibull distribution to estimate loads and parameters for a probabilistic shaft design under bending and torsion. The minimum strength is assessed using corresponding stress analysis to determine the reliability index for the designed shaft.

Keywords:

probabilistic design, Weibull distribution, reliability, stress-strength.

Resumen

El eje circular sirve de eje de rotación de los componentes. Está sometido a flexión y desgarro, lo que indica que el modo de fallo es la fatiga. El rango de tensiones resultante de las cargas medias y alternas determina la aparición del fallo por fatiga. El análisis determinista de la fatiga, calculado a partir de la tensión media obtenida de las curvas SN, sólo puede representar la vida media. Esto se debe a que el rango de tensiones no es un número único y, por lo tanto, no puede proporcionar el nivel de fiabilidad de la tensión. El estudio emplea la distribución de Weibull para estimar las cargas y los parámetros de un diseño probabilístico de un eje sometido a flexión y torsión. La resistencia mínima se evalúa mediante el correspondiente análisis de tensiones para determinar el índice de fiabilidad del eje diseñado.

Palabras clave:

diseño probabilístico, distribución de Weibull, fiabilidad, tensión-resistencia.

1. Introduction

A shaft is a spinning, often circular cross-section that is used in a variety of applications to convey power and rotational motion [1]. The main goal of a shaft design is to make them safe and to continuously enhance this goal, engineers focus on increasing their dependability and efficiency [2]. The shaft design is considered to be a typical mechanical engineering issue in which the effect of the uncertainty, i.e., environment or usage circumstances and material strength qualities, is to try to reduce this uncertainty by applying safety factors [3].

In general, a shaft failure results from bending stress perpendicular to the shaft axis, and the shaft fracture resulting from torsional stress most frequently disposed at a 45° angle to the shaft axis [4], i.e. the stresses acting on the shaft is the σx, σy and τxy [5]. Bending and torsion imply that the failure mode of shafts is by fatigue. Then, when shafts are exposed to alternating strains over extended periods, fatigue develops. To estimate shaft fatigue time, statistical models are crucial since the fatigue behavior of shafts under cyclic stress is random [6]. The Weibull distribution, on the other hand, is the distribution that, using the weakest link concept, could be one of the best predictors of fatigue life [7]. The Weibull distribution is a natural distribution for forecasting lifespan as a result. Moreover, as the Weibull model for fatigue estimate effectively predicts life, it should be utilized to forecast the fatigue SN reliability R(t) [8]. The Weibull distribution has the property of lognormal distribution. This shows that the shape parameters have not changed even though the position and scale parameters have changed [9]. i.e. . In that case, at least one data set is also Weibull distributed. Based on these facts, we present a probabilistic Weibull model analysis of shaft designs under bending and torsional loading to predict the lifetime SN number [10]. The Weibull distribution withstand stress analysis is then used to calculate the reliability R(t) of the shaft under variable stress [11].

2. Fatigue

Fatigue occurs when a material is subjected to cyclic loads below the threshold at which failure can occur [12]. The cumulative and irreversible nature of damage caused by fatigue processes and the fact that failures often occur suddenly make it difficult to detect incremental changes in material behavior over time [13]. The material behavior under this type of load is different from that under static load materials that can withstand large static loads and can fail at lower loads when repeated many times. Fatigue failure is caused by repeated loading. It is reported that 90% of all devastation is caused by it. On the other hand, fatigue is affected by three basic factors [14].

The three most important factors that affect fatigue are: many cycles, a wide range of applied loads, and high maximum stresses (bending and torsion). There is no universal theory to explain how materials behave under fatigue and cyclic loading, making material fatigue and damaging formation a complex process [15]. By measuring the fatigue life of a component under a given load cycle sequence, fatigue analysis aims to predict fatigue life in actual operation. Fatigue prediction techniques often fall into two categories [16]. The first focuses on predicting crack initiation using a combination of damage as a function of component stress [17]. The second approach is based on the mechanism of continuous fatigue life by calculating damage cycles [18]. According to the deterministic point of view, there are three main ways used in design to identify a cyclically loaded component that would fail over time [19]. In general, the life forecast of sensitive to fatigue parts is based on the safe-life approach [20]. These three methods are linear elastic fracture mechanics, stress-life method, and strain-life method. The purpose of these techniques is to predict N, cycles to failure at a given stress level [21]. This error cycle is categorized as follows: 1 N ≤ 103 the cycles as low-cycle fatigue, whereas high-cycle fatigue is N > 103 cycles [22].

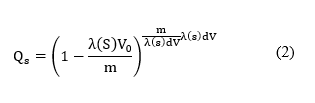
This deterministic method of fatigue calculations is used by most contemporary fatigue standards (ASTM E606/E606M). Due to the use of deterministic algorithms, fatigue estimation always produces the same result given an input [23]. The random nature of fatigue and deterministic fatigue techniques that use characteristic values and high safety factors to explain are fraught with uncertainty [24]. As the issue of fatigue assessment is so complicated and has not yet been properly resolved, probabilistic approaches are required for accurate damage prediction, constructive design, and fatigue risk analysis [25]. Therefore, it is essential to evaluate and predict the fatigue life of elements using mathematical and probabilistic models [1]. Therefore, according to the weakest-link principle, the survival probability of a uniformly loaded volume V(0) is given by all probabilities volume elements survive [26].

And introducing V0 = mdV in eq. (2)

As both m and dV rise indefinitely, Eq. (3) transforms into an exponential function, as shown by

2.1. Fatigue Failure Mode for Shafts

A rotating part that conveys power or motion is called a shaft. Typically, its cross-section is round. It provides an axis of rotation or oscillation for a variety of parts, such as cranks, pulleys, and gears. Shafts are designed to transmit motion, so they must be subjected to bending, axial rotation, and torsional loads to transmit motion [27]. Torque is transferred from input to output by torsional stress. The shaft component transmits torque xy. At stable operating levels, the torque is often fairly constant and the outer surface experiences a maximum shear stress due to torsion [28]. A given load element alternates between compression and tension with each rotation of the shaft, so that a constant bending moment applied to the rotating shaft produces a reversible moment in rotation. For deterministic methods of fatigue analysis, the axial stress is lower than the bending stress [29]. Thus, a shaft's failure mechanism is due to fatigue when it is subject to alternating loads over time. The cumulative damage from each cycle approaches a tipping point, leading to failure [30]. As a result, unlike most failure types, fatigue causes failure at loads much below the maximum value. As a result, fatigue is probabilistic rather than deterministic. The ASTM acknowledges that the Weibull distribution is the function that may estimate the life of fatigue [31]. Hence, the mean stress and the alternating stress may be determined using Mohr circle based on the bending stress x, the axial stress y, and the torsion stress xy data. As a result, according to, the values of the Weibull distribution may be approximated using the principal stresses σ1 and σ2 [32].

The foundation of the Mohr circle and the formulation of the maximum stress estimation are described in the next section.

2.2. Generalities of Mohr Circle

The Mohr circle, which was found by Culmann (1866) and explored in detail by Mohr (1882), is a graphical representation of the aforementioned stress connections [33].

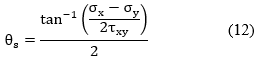
Think about the stressed-out plane condition, where only σx, σy and τxy act. Assume that we are aware of these coordinate stresses. Finding the stress state in rotating configurations is the goal in this situation. i.e., determine the major stressors σ1, σ2 [34]. Let be θ the angle where the main stresses are operating between the original coordinate system and the rotated system e.g. σ1, σ2 and τmax [35]. Based on the normal stresses σx, σy and τxy, the major stressors are predicted [36].

The trigonometric double angle is used to mathematically justify the Mohr circle method. i.e.

The Mohr circle is a tool that makes it easier to see how rotating the axis affects the stresses and the second-rank tensor [37]. A rotation does not occur for a xy = 0, which implies that the stresses produced in the normal plane are acting equally in the normal plane [38]. Nevertheless, as the main stresses are occurring on the rotational plane if xy ≠ 0, then the Weibull distribution should be utilized rather than the normal distribution [39].

The necessary equations for the estimation of the main stresses as well as the angle of action are presented below.

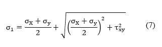
Maximum stress

Minimum stress

Mohr circle center

Maximum shear stress (ratio)

Principal angle

Shear angle θs

Thus, depending on the strength of the material, the maximum shear stress theory and the deformation energy theory provide a safe state S y and the safety factor S f.

And the maximum stress is.

The parameters of the Weibull distribution can be obtained entirely from the primary stresses using the Mohr circle-Weibull relation [40]. However, this fatigue failure prediction method does not consider stress as a random variable [41].

3. Weibull Distribution

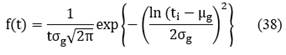
In this section, the Weibull model used in fatigue analysis is presented along with the theoretical basis and characterization definitions. Due to its versatility, the Weibull distribution is often used in reliability and service life studies [42]. Depending on the value of the Weibull parameter, the Weibull distribution can be used to describe different life behaviors. The values of the shape and scale parameters have a strong influence on the distribution characteristics [43]. The probability density function of the Weibull distribution is given by.

The Weibull distribution cumulative and reliability functions are

The linear form of Eq. (17) is given by.

Or equivalently is given by

Where , and . The median rank is given by.

The sample n is determined by the reliability R(t).

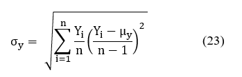
The mean μy and the standard deviation σy of the vector Y are

4. Weibull Distribution Properties

Concerning to location and scale transformation the Weibull distribution is stable, which is the first of two crucial Weibull distribution characteristics for fatigue lifetime prediction.

This implies that while the shape parameters are kept unchanged, the transformation constants a and b are given new scale and position parameters in relation to their former values. In other words, assuming the scale and position parameters stay the same, the converted variable is likewise a Weibull random variable. Their resilience to the most straightforward random variable manipulations, Xi = 12, …, m, demonstrates their independence and uniform distribution.

This shows that a random variable's distribution is the same as a collection of independently distributed random variables if it is a Weibull variable. There is a minimum with a collection of identical random values Xi through Xm that are independently distributed and have a common Cdf F(x).

5. Fundaments of the Fatigue Weibull Model

The Weibull model is used for fatigue life of constant cycle components based on the following principles:

According to the weakest link theory, the fatigue of a longitudinal member is equal to the minimum fatigue of its components.

The second fundament is stability, which means that the selected distribution family must hold for different lengths, it is to say, a parametric family of cdfs is used to represent the cdf for fatigue of a longitudinal element of length l, according to Eq. (18) the element must be

The Weibull distribution was the only distribution that could satisfy this functional equation.

A third concept, known as limit behavior, is that in extreme cases where the component size of an element tends to zero or the number of components tends to infinity, the distribution function is asymptotic and the distribution in the independent case are the Weibull and Gumbel distributions.

The approach to fully estimate the Weibull distribution parameters directly from the primary stresses [39].

6. Estimation of Weibull Parameters by Method

Step 1:

Choose reliability level.

Step 2:

Using the R(t) indices from step 1, compute the corresponding n values in equation (20). As a result, use the F ti values from equation (20) and the mean and standard values. to calculate the appropriate element Y i . Deviation from equations (22) and (23).

Step 3:

Perform a stress analysis to determine the maximum and minimum primary stress and calculate the ratio. σ1, σ2.

Step 4.

By utilizing the Weibull distribution's initial shape parameter value, it is

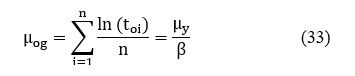
Estimate standardized logarithms (ln(toi)) elements, and calculate the initial μog, μo and the g(x) values are given by.

Step 5.

Determine the corresponding β value given by

Step 6.

With the principal stresses σ1 and σ2, estimate the mean μ. Then, based on the Mohr circle estimation μ and the estimated toi mean value μo of step 5, determine the corresponding scale η parameter of the Weibull distribution as

The β value of step 5 and the η value of step 6 corresponds to the Weibull parameters that represents the observed stresses σ1 and σ2 values.

Finally, given that stress behavior is typically viewed as falling below a log-normal distribution provided by

With log-mean μg and log-standard deviation σg parameters, thereby because both μg and σg [44] the log-normal distribution's parameter connection in terms of β and η is given by

Where μy and σy from Equation (22) mean and standard deviation, respectively (23). Then the negative μg and the standard deviation is given by

In the next part, the approach is now applied, and the results are compared to those of the deterministic method.

7. Weibull Shaft Lifetime Application

The used data to run the numerical application are an alternator rotor is supported by the shaft in Fig. 1. It is constructed from AISI 4340 steel that has been heating treated, ground, and given a Brinell hardness range of 323-370. (R, 35 to 40). The shaft will experience an axial force from the rotor of up to 130 MPa and a maximum bending stress of 607 MPa. The predicted dependability is R(t) = 95%, and the shaft will rotate at a speed of 12000 rpm. Tensile yield, the properties of the material, correspond to a material with a 277 Brinell hardness, Sy, and ultimate strength, Sut, with Sy = 113Mpa and Sut = 128Mp, respectively (see Figs. 1 and 2) [45].

Shaft

Figure 1: Shaft

Free-Body diagram

Figure 2: Free-Body diagram

Source: The authors

This suggests that if the system is in equilibrium, the total sum of all forces and moments must equal zero.

8. Parameters of the Design Shaft

Step 1. The desired reliability index according to the data is 95%, however, to have an integer n value the reliability level to use will be equal to R(t) = 0.9535.

Step 2. By using Eq. (31) the n value is estimated as follows:

Then, using Eq. (31) according to the n value estimated, the corresponding F(ti) elements, and Yi elements, in the same way, the μy and σy values are given in Table 1.

Table 1: Weibull β = 3.710802 and η = 409.156

n F(ti) Yi ln(toi) toi n F(ti) Yi ln(toi) toi
1 0.03271 -3.403483 -1.7148667 0.1799877 12 0.546729 -0.234122 -0.117964 0.888728
2 0.079439 -2.491662 -1.2554397 0.2849505 13 0.593458 -0.105285 -0.0530486 0.948334
3 0.126168 -2.003463 -1.0094577 0.3644166 14 0.640187 0.021928 0.0110488 1.01111
4 0.172897 -1.661646 -0.8372308 0.4329077 15 0.686916 0.149526 0.0753395 1.0782502
5 0.219626 -1.394398 -0.7025764 0.4953075 16 0.733645 0.279845 0.1410017 1.1514266
6 0.266355 -1.172054 -0.5905467 0.5540243 17 0.780374 0.415962 0.2095851 1.2331664
7 0.313084 -0.979381 -0.4934674 0.6105058 18 0.827103 0.562502 0.2834202 1.3276629
8 0.359813 -0.807447 -0.4068375 0.6657524 19 0.873832 0.727616 0.3666139 1.4428407
9 0.406542 -0.650492 -0.3277546 0.7205398 20 0.920561 0.929311 0.4682391 1.5971792
10 0.453271 -0.504509 -0.2542 0.7755367 21 0.96729 1.22966 0.6195719 1.8581324
11 0.5 -0.366513 -0.1846699 0.8313787 µy= -0.545624 µoi= -0.274916 µo= 0.878673
σy= 1.1751169 σoi= 0.5920901 σo= 0.4454875

Source: The authors

Determinant of the stresses is given by.

corresponding geometric mean is

the arithmetic mean is given by

The eigenvalues are given by .

The angle acting on this system is given by Eq. (25), this is equivalent to

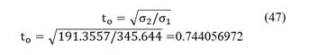
In such a way the principal stresses σ1 and σ2 are equal to 345.6443Mpa, and 191.3557Mpa, respectively.

Determine the value of β of the Weibull distribution as

The scale value η of the Weibull distribution is determined as

The parameter that represents the Weibull distribution family is given by W~(β = 3.71080717, η = 409.1562166). Then, these Weibull parameters are the stress distribution parameters (see Table 1).

9. Estimation of strength parameters and its corresponding reliability

The basis of the investigation is the initial stress intensity ratio from the Weibull analysis. This gives the minimum material strength and maximum principal stress at which failure occurs. After that, the procedure will be explained.

Step 1.

Determine the principal stresses.

In this case the principal stresses are σ1 = 345.6443Mpa. and σ2 = 191.3557Mpa.

Step 2.

Used the estimated Weibull parameters.

Step 3.

Estimate the value of gx

Step 4.

Select the reliability level and using the corresponding β value estimate the values of toi.

If the desired reliability is 95% and β = 3.71080171 then.

Step 5.

Estimate the minimum strength.

Step 6.

Estimate the minimum strength average.

Step 7.

Determine to

Step 8.

Estimate Strengthmin with

Step 9.

Determine the scale parameter as

Step 10.

Estimate the corresponding design reliability using equation 17.

As can be seen, the reliability of the design for the diameter and the used material corresponds to 95% and the estimated Weibull family for both stress and resistance represents the fatigue behavior completely.

10. Conclusion

By predicting the primary stresses and the lowest and average loads, the probabilistic design for the analysis of the chosen element can be estimated, in this case, an axis, and first, evaluate the validity of the design for the stress and load. It is also feasible to identify the associated loads for the resistance and the accompanying Weibull parameters using the estimated Weibull distribution parameters. This allows for the calculation of the dependability of the resistance, which accurately depicts the resistance distribution. It is feasible to construct appropriate decision-making for the type of stress and resistance by determining the related distributions, as shown in this study.

References

  1. [1] Khan, A., Das, A., and Bhaskar, A.S., Prediction of fatigue life of glass-vinyl-ester-polyurethane sandwich structure using mathematical model. In: Pal, S., Roy, D., Sinha, S.K. (eds), Processing and Characterization of Materials. Springer Proceedings in Materials, 13, Springer, Singapore. 2021. DOI: https://doi.org/10.1007/978-981-16-3937-1_24 [URL] 🠔
  2. [2] Ebrahimi, A., Effect analysis of RAMS parameter in design & operation of DP system in floating offshroe structure, Royal Institute of Technology, October, 2010. 🠔
  3. [3] Rao, B.C., Revisiting classical design in engineering from a perspective of frugality, Heliyon, 3(5), art. e00299, 2017. DOI: https://doi.org/10.1016/j.heliyon.2017.e00299. [URL] 🠔
  4. [4] Xu, Z., Cui, Y., Li, B., Liu, K., Shi, F., and Cao, P., Impact analysis of initial cracks angle on fatigue failure of flange shafts. Coatings, 12(2), 2022. DOI: https://doi.org/10.3390/coatings12020276 [URL] 🠔
  5. [5] Rexnord Industries G.G., LLC, Gears-Shafts-Bearings-Seals, Failure Analysis Installation & Maintenance, 2(August), 1978, 20 P. 🠔
  6. [6] Korczewski, Z. and Marszałkowski, K., Energy analysis of the propulsion shaft fatigue process in a rotating mechanical system. Part III dimensional analysis. Polish Maritime Research, 28(2), pp. 72-77, 2021. DOI: https://doi.org/10.2478/pomr-2021-0023. [URL] 🠔
  7. [7] Barraza-Contreras, J.M., Piña-Monarrez, M.R., and Molina, A., Fatigue-life prediction of mechanical element by using the Weibull distribution, Applied Sciences (Switzerland), 10(18), art. 6384, 2020. DOI: https://doi.org/10.3390/APP10186384. [URL] 🠔
  8. [8] Zhao, Y.X., and Liu, H.B., Weibull modeling of the probabilistic S-N curves for rolling contact fatigue, Int J Fatigue, 66, pp. 47-54, 2014. DOI: https://doi.org/10.1016/j.ijfatigue.2014.03.008. [URL] 🠔
  9. [9] Taketomi, N., Yamamoto, K., Chesneau, C., and Emura, T., Parametric distributions for survival and reliability analyses, a review and historical sketch, Mathematics, 10(20),art. 10203907, 2022. DOI: https://doi.org/10.3390/math10203907. [URL] 🠔
  10. [10] Matsuda, S. and Ogi, K., Effect analysis of loading rate on relationship between strength and flaw size of ceramics using probabilistic model on the basis of SCG concept, Transactions of the JSME (in Japanese), 83(847), pp. 16-00369-16-00369, 2017. DOI: https://doi.org/10.1299/transjsme.16-00369. [URL] 🠔
  11. [11] Baro-Tijerina, M., Piña-Monárrez, M.R., and Villa-Covarrubias, B., Stress-strength weibull analysis with different shape parameter β and probabilistic safety factor, DYNA (Colombia), 87(215), pp. 28-33, 2020. DOI: https://doi.org/10.15446/dyna.v87n215.84909. [URL] 🠔
  12. [12] Aaronson, L.S., Defining and measuring fatigue. Journal of Nursing Scholarship, 31(1), pp. 45-50, 1999. DOI: https://doi.org/10.1111/j.1547-5069.1999.tb00420.x. [URL] 🠔
  13. [13] Ma, X., Yang, F., Li, J., Xue, Y., and Guan, Z., Fatigue life assessment method of in-service mechanical structure. Advances in Mechanical Engineering, 13(2), pp. 1-9, 2021. DOI: https://doi.org/10.1177/1687814021996524. [URL] 🠔
  14. [14] Khalaf, M.R. and Al-Ahmed, A.H.A., Effect of large openings on the behavior of reinforced concrete continuous deep beams under static and repeated load. E3S Web of Conferences, 318, pp. 3-10, 2021. DOI: https://doi.org/10.1051/e3sconf/202131803012. [URL] 🠔
  15. [15] Hosseini, S.M., Azadi, M., Ghasemi-Ghalebahman, A., and Jafari, S.M., Data analysis of striation spacing, lifetime, and crack length in crankshaft ductile cast iron under cyclic bending loading through high-cycle fatigue regime, Data Brief, 45(December), art. 108666, 2022. DOI: https://doi.org/10.1016/j.dib.2022.108666. [URL] 🠔
  16. [16] Kashyzadeh, K.R., Souri, K., Bayat, A.G., Jabalbarez, R.S, and Ahmad, M., Fatigue life analysis of automotive cast iron knuckle under constant and variable amplitude loading conditions. Applied Mechanics, 3(2), pp. 517-532, 2022. DOI: https://doi.org/10.3390/applmech3020030. [URL] 🠔
  17. [17] Liu, B., Sun, Y., Wang, J., and Zhang, G., Characteristic analysis of crack initiation and crack damage stress of sandstone and mudstone under low-temperature condition. Journal of Cold Regions Engineering, 34(3), art. 0225, 2020. DOI: https://doi.org/10.1061/(asce)cr.1943-5495.0000225. [URL] 🠔
  18. [18] Kim, H.S., A practical procedure for predicting the remaining fatigue life at an arbitrary stress ratio, Journal of Composites Science, 6(6), art. 60170, 2022. DOI: https://doi.org/10.3390/jcs6060170. [URL] 🠔
  19. [19] Kim, J., Anterior cruciate ligament microfatigue damage detected by collagen autofluorescence in situ. J Exp Orthop, 9(1), art. 74, 2022. DOI: https://doi.org/10.1186/s40634-022-00507-6. [URL] 🠔
  20. [20] Chen, M., Xiong, X., Zhuang, W., and Zeng, F., Fatigue life analysis of automotive glass regulator based on ABAQUS and FE-SAFE. IOP Conf Ser Earth Environ Sci, 571(1), art. 012109, 2020. DOI: https://doi.org/10.1088/1755-1315/571/1/012109. [URL] 🠔
  21. [21] Alamnie, M.M., and Endalemaw, Y., Fatigue life analysis of rail-welds using linear elastic fracture mechanics, ISEC 2019 - 10th International Structural Engineering and Construction Conference (July), 2019. DOI: https://doi.org/10.14455/isec.res.2019.197. [URL] 🠔
  22. [22] Wang, S., Tang, S., He, C., and Wang, Q., Cyclic deformation and fatigue failure mechanisms of thermoplastic polyurethane in high cycle fatigue, Polymers (Basel), 15(4), art. 5040899, 2023. DOI: https://doi.org/10.3390/polym15040899. [URL] 🠔
  23. [23] Chai, Y., Gao, W., Ankay, B., Li, F., and Zhang, C., Aeroelastic analysis and flutter control of wings and panels: a review. International Journal of Mechanical System Dynamics, 1(1), pp. 5-34, 2021. DOI: https://doi.org/10.1002/msd2.12015. [URL] 🠔
  24. [24] Guo, F., Hu, F., Wu, S., He, F., Liu, J., and Wu, X., System dynamics in structural strength and vibration fatigue life assessment of the swing bar for high‐speed maglev train. International Journal of Mechanical System Dynamics, 2(2), pp. 178-189, 2022. DOI: https://doi.org/10.1002/msd2.12045. [URL] 🠔
  25. [25] Schneider, J., and Haindl, H., Mechanic treatment of fastener holes: the influence of compressive residual stress on the corrosion behaviour of aluminium alloys, Materials and Corrosion, 59(9), pp. 753-761, 2008. DOI: https://doi.org/10.1002/maco.200804149. [URL] 🠔
  26. [26] Hirschberg, V., Wilhelm, M., and Rodriguez, D., Cumulative nonlinearity as a parameter to quantify mechanical fatigue. Fatigue Fract Eng Mater Struct, 43(2), pp. 265-276, 2020. DOI: https://doi.org/10.1111/ffe.13120. [URL] 🠔
  27. [27] Hahn, S., Feldmeth, S., and Bauer, F., Assessment of the lubricity of grease-sealing rotary shaft seals based on grease properties. Chem Eng Technol, 46(1), pp. 53-60, 2023. DOI: https://doi.org/10.1002/ceat.202200382. [URL] 🠔
  28. [28] Patel, N., Mohebbi, A., Jan, C.D., and Guo, J., Maximum shear-stress method for stable channel design. Guo, 146(12), art. 01827, 2020. DOI: https://doi.org/10.1061/(asce)hy.1943-7900.0001827. [URL] 🠔
  29. [29] Turbucz, M., and Fayad, J., Can semirigid fixation of the rostral instrumented segments prevent proximal junctional kyphosis in the case of long thoracolumbar fusions? A finite element study, SPIN (March), art. 22931, 2023. DOI: https://doi.org/10.3171/2023.1.SPINE22931. [URL] 🠔
  30. [30] Joun, M.S., Ji, S.M., Chung, W.J., Cho, G.S., and Lee, K.H., A new general fatigue limit diagram and its application of predicting die fatigue life during cold forging, Materials, 15(79, pp. 1-17, 2022. DOI: https://doi.org/10.3390/ma15072351. [URL] 🠔
  31. [31] Wang, Y., and Peng, Z., Fatigue life prediction method of mechanical parts based on Weibull distribution. IOP Conf Ser Mater Sci Eng, 782(2), art. 022068, 2020, DOI: https://doi.org/10.1088/1757-899X/782/2/022068. [URL] 🠔
  32. [32] Pawliczek, R., and Rozumek, D., Limited stress surface model for bending and torsion fatigue loading with the mean load value, Materials, 14(22), art. 227023, 2021. DOI: https://doi.org/10.3390/ma14227023. [URL] 🠔
  33. [33] Parry, Mohr’s Circles, Stress Paths, and Geotechnics. New York, USA, 2004. 🠔
  34. [34] Stresses, P., Stress, Strain, Mohr’ s Circle, 2014, pp. 1-7. 🠔
  35. [35] Narayan, K., Behdinan, K., and Vanderpol, P., An equivalent uniaxial fatigue stress model for analyzing landing gear fuse pins, Strength of Materials, 38(3), pp. 278-288, 2006. DOI: https://doi.org/10.1007/s11223-006-0041-6. [URL] 🠔
  36. [36] Pelleg, J., Mechanical Properties of Materials, Vol. 190, Springer, 2012, 645 P. DOI: https://doi.org/10.1007/978-94-007-4342-7. [URL] 🠔
  37. [37] Wang, Z., Sun, G., Wang, W., and Zhang, M., Application for surveillance video with tensor factorization in machine learning. SSRN Electronic Journal (February), art. 4218404, 2022. DOI: https://doi.org/10.2139/ssrn.4218404. [URL] 🠔
  38. [38] Taniguchi, Y., Takizawa, K., Otoguro, Y., and Tezduyar, T.E., A hyperelastic extended Kirchhoff-Love shell model with out-of-plane normal stress: I. Out-of-plane deformation, Comput Mech, 70(2), pp. 247-280, 2022. DOI: https://doi.org/10.1007/s00466-022-02166-x. [URL] 🠔
  39. [39] Piña-Monarrez, M.R., Weibull stress distribution for static mechanical stress and its stress/strength analysis. Qual Reliab Eng Int, 34(May), pp. 229-244, 2017. DOI: https://doi.org/10.1002/qre.2251. [URL] 🠔
  40. [40] Li, L., Cao, H., Guan, J., He, S., Niu, L., and Liu, H., A three-parameter Weibull distribution method to determine the fracture property of PMMA Bone Cement, Polymers (Basel), 14(17), pp. 1-17, 2022. DOI: https://doi.org/10.3390/polym14173589. [URL] 🠔
  41. [41] Menan, F., P-a A., and François, M., The stress-strength interference method applied to fatigue design: the independence of the random variables, Procedia Eng., 133(December), pp. 746-757, 2015. DOI: https://doi.org/10.1016/j.proeng.2015.12.656. [URL] 🠔
  42. [42] Sugito, P M.A., Ispriyanti, D., and Dewi, L.N., Analysis of geometric and Weibull queuing model. Case study: customer service and electronic ID card recording counters at Dispendukcapil of Semarang City. Journal of Physics: Conference Series, 1943(1), art. 012151, 2021. DOI: https://doi.org/10.1088/1742-6596/1943/1/012151. [URL] 🠔
  43. [43] Khan, M.G.M. and Ahmed, M.R., Bayesian method for estimating Weibull parameters for wind resource assessment in the Equatorial region: a comparison between two-parameter and three-parameter Weibull distributions, Wind Energy Science, 8, pp. 1277-1298, 2023. DOI: https://doi.org/10.5194/wes-8-1277-2023 [URL] 🠔
  44. [44] Piña-Monarrez, M.R. and Ortiz-Yañez, J.F., Weibull and lognormal Taguchi analysis using multiple linear regression. Reliability Engineering & System Safety, 144, pp. 244-253, 2015. DOI: https://doi.org/10.1016/j.ress.2015.08.004. [URL] 🠔
  45. [45] Juvinall, R.C., and Saunders, H., Fundamentals of Machine Component Design. J. Mech., Trans., and Automation, 105(4), pp. 607-607, 2012. DOI: https://doi.org/10.1115/1.3258522. [URL] 🠔
Baro, M. and Piña-Monarrez, M.R., Probabilistic weibull reliability of a shaft design subjected to bending and torsion stress. DYNA, 91(232), pp. 58-65, April - June, 2024.
is a researcher-professor in the Industrial and Manufacturing Department at the Technological Institute of Nuevo Casas Grandes, Mexico, He completed his BSc. Eng. in Industrial and System from the ITSNCG. MSc. in Industrial Engineering from the Universidad Autónoma de Ciudad Juárez, México, getting the highest mark. By last he completed his Technology PhD in 2020. Also getting the highest mark. Contact al164467@alumnos.uacj.mx. ORCID: 0000-0003-1665-8379
is a researcher-professor in the Industrial and Manufacturing Department at the Autonomous University of Ciudad Juárez, México. PhD. in Science in Industrial Engineering in 2006 from the Instituto Tecnológico de Ciudad Juárez, México. He had conducted research on system design methods including robust design, reliability and multivariate process control. He is member of the National Research System (SNI), of the National Council of Science and Technology (CONACYT) in México. ORCID: 0000-0002-2243-3400