DYNA
0012-7353
2346-2183
Universidad Nacional de Colombia
https://doi.org/10.15446/dyna.v91n232.111377

Recibido: 1 de octubre de 2023; Recibido: 15 de abril de 2024; Aceptado: 22 de abril de 2024

Analytical procedure for calculating impulsive responses on floor systems under human walking

Procedimiento analítico para el cálculo de respuestas impulsivas en sistemas de piso ante el caminar humano

O. Caballero-Garatachea, a A. Ayala-Milián, b G. Juárez-Luna, c M. Escamilla-García, a

Instituto de Ciencias Básicas e Ingeniería, Universidad Autónoma del Estado de Hidalgo, Mineral de la Reforma, Hidalgo, México. omar_caballero@uaeh.edu.mx, marco_escamilla@uaeh.edu.mx Universidad Autónoma del Estado de Hidalgo Instituto de Ciencias Básicas e Ingeniería Universidad Autónoma del Estado de Hidalgo Mexico
Instituto de Ingeniería, Universidad Nacional Autónoma de México, Ciudad Universitaria, Ciudad de México, México. GayalaM@iingen.unam.mx Universidad Nacional Autónoma de México Instituto de Ingeniería Universidad Nacional Autónoma de México Ciudad de México Mexico
Departamento de Materiales, Universidad Autónoma Metropolitana, Unidad Azcapotzalco, Ciudad de México, México. gjl@azc.uam.mx Universidad Autónoma Metropolitana Departamento de Materiales Universidad Autónoma Metropolitana Ciudad de México Mexico

Abstract

Human walking is an activity which generates impulsive responses on floors systems with fundamental frequency higher than 10 Hz. In the literature, there are procedures based on extensive polynomial functions to calculate impulsive responses on floor systems under human walking. However, the prediction of this type of human activity in the development of analytical procedures is still complex. Because of that, it is necessary to provide alternatives of human walking simulation and dynamic response analysis of the floor system. Considering this, a practical procedure based on the use of a simple harmonic function is proposed to calculate the impulsive response of the floor system, which is validated with a numerical-experimental study consisting of a concrete slab supported on beams subjected to a person’s walking. According to the obtained results, it is demonstrated that the proposed procedure provides reasonably approximate results.

Keywords:

analytical procedure, reinforced concrete, floor vibration, human walking.

Resumen

El caminar humano es una actividad que genera respuestas impulsivas en sistemas de piso con frecuencia fundamental mayor que 10 Hz. En la literatura se han propuesto procedimientos analíticos basados en funciones polinomiales extensas para calcular respuestas impulsivas en losas ante el caminar humano. Sin embargo, la predicción de este tipo de actividad humana en el desarrollo de procedimientos analíticos aún es compleja. Por tal razón, es necesario proporcionar alternativas de simulación del caminar humano y análisis de la respuesta dinámica del sistema de piso. Considerando lo anterior, se propone un procedimiento práctico basado en el uso de una función armónica simple para calcular la respuesta impulsiva del sistema de piso, el cual se valida con un estudio numérico-experimental de una losa de concreto reforzado apoyada sobre vigas sometida al caminar de una persona. De los resultados obtenidos, se demuestra que el procedimiento propuesto proporciona resultados razonablemente aproximados.

Palabras clave:

procedimiento analítico, concreto reforzado, vibración de losa, caminar humano.

1. Introduction

The vibration analysis of floor systems under human walking depends on the determination of parameters such as the fundamental frequency and the damping ratio of the floor as well as the magnitude and characterization of the human-induced force. The human walking is simulated as the sum of different harmonics functions, whose frequency values are approximately 1.6 to 9.0 Hz. These functions are associated to Dynamic Load Factors (DLFs) to define the magnitud of the acting force.

Human walking is frequently the dominant type of human-induced excitation activity in residential and office buildings [1,2]. In accordance with [3], the calculation of the vibration of a floor system under human walking mainly depends on its classification: low- or high-frequency floor.

RC two-way slab supported on beams.

Figure 1: RC two-way slab supported on beams.

Source: The authors

Low-frequency floors are characterized by having a fundamental frequency lower than 9-10 Hz and exhibit a resonance response due to walking activity. On the other hand, the high-frequency floors have at least one responsive natural frequency higher than 9-10 Hz, where the floor system exhibits a sequence of impulses from a person walking [4]. In the analysis of high frequency floors, human walking generates transient responses, which are calculated with based on the use of single footfalls, as shown in Fig. 2a. This criterion provides satisfactory results in the analysis of this type of floor systems as proven in the literature. However, considering that human walking is still an activity of complex prediction, it is necessary to provide other criteria to simulate it adequately. Because of that, this work suggests the hypothesis that a simple harmonic load can potentially predict the impulse response of a high frequency floor under human walking. Thus, an analytical procedure is proposed to calculate the dynamic response of this type of floor system.

Forcing function resulting from footfalls during walking with a pacing rate of 2 Hz: a) force from single footfall and b) force from footfall overlap

Figure 2: Forcing function resulting from footfalls during walking with a pacing rate of 2 Hz: a) force from single footfall and b) force from footfall overlap

Source: Baumann and Bachmann [7]

Considering the need to use a high frequency floor for the purposes of this work, an existing RC two-way slab supported on beams is analysed for its vibration analysis under human walking. This type of floor system is constituted by significantly rigid structural elements [5,6], as shown in Fig. 1, so it is adequate to generate impulsive responses and to validate, the proposed analytical solution.

1.1. Modelling of human walking on floor systems

1.1.1. Introduction

The human activity of walking is a phenomenon commonly represented by time-domain deterministic force models, which consist of simulating the induced load either with individual footfalls or footfall overlapping, as shown in Fig. 2. The first load function, shown in Fig. 2a, simulates the force induced from the heel to toe and it is considered as a practical function for the calculation of impulse responses on high frequency floors [4,8-10]. The development of this function is based on a polynomial expression, which depends on variables such as the step frequency, person´s weight and contact duration. The second load consists of the summation of forces, as shown in Fig. 2b, where it is observed that both feet generate slightly higher induced loads than the single footfall. In general, these types of excitation have been studied for many years [11] because of the uncertainties that still exist in walking parameters such as weight, step frequency, walking speed and so on. However, their use can provide reasonable results when it is applied for the vibration analysis of floor systems.

Considering that hypothetically a simple harmonic load can generate a realistic human induced-load on the vibration analysis of high frequency floors, a time domain force model was studied to simulate this condition. In this work, the expression proposed by [12] is considered for such analysis, which simulates the vertical dynamic force induced by a pedestrian F(t) and it is expressed as:

where P is the weight of a person (N), i is a harmonic multiple of the step frequency, fs is the step frequency (Hz), ϕi is the phase shift (rad) and αi is the Fourier coefficient for the ith harmonic force usually known as dynamic load factor (DLF). Given that the higher harmonics have little contribution in the excitation of the floor system [4], only the first harmonic was considered in the eq. (1), where the action produced by both feet is modelled in a simplified way.

1.1.2. Dynamic load factor

The Dynamic Load Factors (DLFs) are the key to generate an accurate force model and are defined as the ratio of the force amplitude of each harmonic to the weight of the person. Based on Fourier decomposition, several studies were carried out to quantify this parameter, which is the basis to define the periodic human induced force. Based on the literature review carried out by [11] and Zivanović et al. [13], it is observed that authors such as [14-19] provide different values of DLFs to predict adequately the process of human walking. In this work some coefficients were evaluated to accomplish this condition.

1.2. Calculation of the dynamic response of high frequency floors under human walking

To determine the dynamic response of a high frequency floor there are procedures such as Ungar and White [8], Wyatt [9], and Willford et al. [10], which are mainly based on the analysis of a single degree-of-freedom system (SDOF) subjected to a footfall as source of excitation. These procedures do not consider the use of harmonic functions to simulate the dynamic force induced by a pedestrian, it is because mainly the response is not influenced by high harmonics. According to [4] the method proposed by [10] provides best results in the calculation of impulsive responses on floor systems; this method is derived from statistical studies on a SDOF system in terms of velocity, from which an expression to simulate the human induce-load was proposed:

where Ieff is called effective impulse, so the velocity of the floor system is calculated with the following expression:

where Mmod is the modal mass of the floor system. µi and µj are the mode shape ordinates, which correspond to the point i where the impulse is applied and the point j where the response is measured [10]. As observed, this method does not consider variables such as the weight of the person, damping ratio and the modal stiffness are neglected during the analysis process, so the author´s point of view is to consider these variables in order to improve the prediction of the source of excitation.

Harmonic loads are used on low frequency floors, while impulse loads are used on high frequency floors. It is worth mentioning that in certain circumstances, the classification of the floor system is no reliable when selecting a force model [11]. For instance, when the floor develops a fundamental frequency close to 9-10 Hz, it can develop either resonant or transient responses, so the selection of the force model is no accurate. Because of that, it is feasible to evaluate the applicability of a harmonic load to simulate the human walking on high frequency floors.

In general, the prediction of human walking activity on floor systems is still significantly imprecise and complex, so it is necessary to provide recommendations or alternatives of modelling and simulation to improve it. In this work, a single harmonic function to simulate the force induced by a pedestrian on a high frequency floor is proposed. According to this, an analytical procedure for the calculation of the acceleration of this type of floor system is provided. This procedure is based on a developed closed-form solution, which is derived from the equation of motion of a SDOF system.

2. Proposed method for the calculation of impulsive responses on high frequency floors

2.1. Harmonic force model

Unlike the methods [8-10], where a footfall function is used for modelling a person walking on the high frequency floor, a single harmonic load is proposed. In this case, the eq. (1) is used as a basis for this purpose. Considering the contribution of both feet as the action generating the maximum dynamic response, the lowest harmonic from eq. (1) is used, so the force model is expressed as:

which hypothetically generates an impulsive response on the floor system. As observed in Fig. 3, each maximum is associated to the induced load by the heel and toes while the minimum induced load is generated by the sole of the foot. Unlike the function shown in Fig. 2a, the proposed function starts with a maximum applied force at t=0 s, i.e., the maximum response occurs immediately after rest. As observed, the magnitude of eq. (4) depends not only on the value of P but also on the value of the DLF αi corresponding to the lowest harmonic, so in this work, some values of αi were taken from the literature to evaluate its level of accuracy in the human walking simulation.

Proposed harmonic load to simulate the human walking

Figure 3: Proposed harmonic load to simulate the human walking

Source: The authors

2.2. Calculation of the dynamic response of the floor system

In this section, an analytical procedure for the vibration analysis of RC two-way slabs under human walking is proposed. Considering that a floor system has distributed mass and stiffness and therefore can be defined by an infinite number of degrees of freedom, a single degree of freedom model was proposed in order to simplify the analysis. The dynamic load given by eq. (4) was taken as source excitation, where only the lowest harmonic generates the demands of dynamic response on the floor system.

Due to the maximum amplitudes of motion of a floor system are developed at the center of the slab, the analytical procedure is developed to describe the dynamic response of the floor system at this point. In the simplified SDOF equivalent model, the modal mass and stiffness are equivalent to a percentage of the mass and stiffness of the whole slab, the modal damping is a ratio of the critical damping for the fundamental mode. The excitation load is a cosine function to model a person when walking at the midspan of the slab as shown in Fig. 4. From eq. (1), the equation of motion of the system under the influence of viscous damping and the external force is as shown in eq. (5). In this equation, the summation of the load P and the weight of the floor are in equilibrium with the force generated by the stiffness of the slab, so only the harmonic contribution is considered in eq. (5).

Single degree of freedom system for the vibration analysis of RC two-way slab under human walking.

Figure 4: Single degree of freedom system for the vibration analysis of RC two-way slab under human walking.

Source: The authors

where cmod is the damping and Po=Pαi in accordance with eq. (5). Dividing both sides of the equation by Mmod gives:

The general solution of eq. (6) consists of sum of the complementary solution uh(t) plus the particular solution up(t).

the general solution of the underdamped system is given by:

where

ωn is the fundamental natural frequency of the floor system, ωD is the damped natural frequency and A and B are constants. The particular solution for up(t) is of the form:

where ωs is the excitation frequency, which is defined as ωs=2πifs in accordance with eq. (4); C and D are constants. Considering that the general solution is the sum of both complementary and particular solutions, the equation predicting the displacement of the SDOF system is:

Deriving eq. (11) the dynamic response of the model can be represented in terms of velocity, as follows:

Deriving twice eq. (11), the dynamic response of the equivalent system can be represented in terms of acceleration:

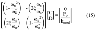
Eqs. (11), (12) and (13) represent the analytical procedure to calculate the dynamic response of the floor system. Using the undetermined coefficient method to calculate the constants C and D, eq. (10) is derived and substituted in eq. (6) in such a way that:

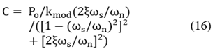
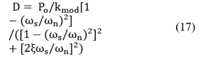
Solving eq. (14) through the system of equations (15), the values of C and D are computed, as shown in eqs. (16) and (17). As observed, C and D correspond to the particular solution, which mainly involves the relation between the excitation frequency and the natural frequency of the floor system.

Taking into account the initial conditions u(0) and u´(0) in eqs. (11) and (12), respectively, the coefficients A and B are defined as shown in eqs. (18) and (19), which depend on the initial conditions and the values of C and D:

As observed, constants A, B, C and D depends on the slab properties, the characteristics of the load excitation and the initial conditions of the problem. It is worth mentioning that, the analytical procedure proposed in this work is based on the analysis of an equivalent SDOF. All the parameters involved in the phenomenon are included, i.e, there are no simplifications in the development of the analytical formulation. The proposed analytical procedure is calibrated with numerical and experimental results where the acceleration is the comparison parameter. An existing office building two-way slab supported on edge beams subjected to a person walking was used as main reference for the comparative study.

3. Experimental program

A two-way RC slab supported on edge beams, which is part of a three-story RC moment frame structure and is used as office building, was tested. This structure is located in the Autonomous Metropolitan University, Mexico City. The vibration testing was carried out at the first-story for the slab panel shown in Fig. 5. This panel is divided into two parts by a lightweight partition wall, the first part is an office area while the second one is a hallway, as shown in Figs. 6 and 7. The slab thickness was 0.13 m for the whole floor system. The dimensions of the slab panel were 6.20 m x 5.60 m. The width for all beams was 0.25 m. The depth for the beam T-01 was 0.60 m while the depth for the beam T-02 was 0.45 m.

Two-way slab panel tested in the experimental program

Figure 5: Two-way slab panel tested in the experimental program

Source: The authors

Slab panel having mixed occupancies, office area combined with a hallway

Figure 6: Slab panel having mixed occupancies, office area combined with a hallway

Source: The authors

Characteristics of the slab panel for human walking tests: a) office area and b) hallway

Figure 7: Characteristics of the slab panel for human walking tests: a) office area and b) hallway

Source: The authors

The reinforced concrete slab is constituted of reinforcing steel bars with nominal yield strength of fy=420 MPa and plain concrete with a compressive strength of f`c=45.10 MPa and a density of W=2400 kg/m3. The modulus of elasticity was computed from eq. (20), in accordance with the Mexico City Building Code for the design of concrete structures NTCC-17 [20], whose value is Ecc=29134 MPa. The floor system supports superimposed dead loads, which are summarized in Table 1.

Table 1: Superimposed dead loads on the office slabs

Load type Magnitude (kN/m2)
Service instalations 0.2
Suspended ceilings 0.2
Ceramic tile 0.2
Furniture and drywall partitions 0.5
Total load 0.11

Source: The authors

3.1. Equipment

Three uniaxial acceleration sensors were used to measure the vertical dynamic response of the slab panel. The accelerations were recorded with a sample rate of 512 Hz. The first sensor (S1) was installed at the centre of the slab for monitoring the maximum modal amplitude while the two sensors S2 and S3 were installed at two supporting beams with the aim of evaluating their contribution in the development of the fundamental mode shape of the panel, as well as the level of acceleration at these points, as shown in Fig. 8. A signal processing equipment, which is a portable spectrum analyzer model SIG-LAB 20-42 [21], was used for data processing. Subsequently, an algorithm was implemented in Matlab V2017 [22] for calculating dynamic responses from either time domain or frequency domain approach.

Instrumentation plan to perform experimental measurements

Figure 8: Instrumentation plan to perform experimental measurements

Source: The authors

3.2. Free vibration test

Free vibration tests were performed through ambient vibration measurements (i.e, wind, traffic noise, different levels of ground motion, etc.). The acceleration records were carried out with a time window of 300 s, as shown in Fig. 9, where it is observed that the maximum accelerations were recorded by the sensor S1, while the sensors S2 and S3 recorded low values of this parameter. Power Spectral Density (PSD) analyses were performed to identify the fn of the floor panel.

Acceleration records from sensors: a) S1, b) S2 and c) S3

Figure 9: Acceleration records from sensors: a) S1, b) S2 and c) S3

Source: The authors

PSD graphs were calculated for each sensor, where fn was defined by the peak values in the bandwith labelled B as shown in Fig. 10; according to this, fn is equal to 14.06 Hz, whose amplitude of motion is graphically described in Fig. 11. It is worth mentioning that the floor system has other defined frecuencies of vibration that may be attributed to either high frequency mode shapes developed in the floor or an electrical feedback initiated by the electrical current source during the test, however, in this work fn was the variable of interest.

B bandwidth which defines the fundamental frequency of the two-way RC slab panel

Figure 10: B bandwidth which defines the fundamental frequency of the two-way RC slab panel

Source: The authors

Fundamental mode shape of the slab panel determined experimentally by ambient vibration tests.Fundamental mode shape of the slab panel determined experimentally by ambient vibration tests.Fundamental mode shape of the slab panel determined experimentally by ambient vibration tests.Fundamental mode shape of the slab panel determined experimentally by ambient vibration tests.

Figure 11: Fundamental mode shape of the slab panel determined experimentally by ambient vibration tests.

Source: The authors

3.3. Forced vibration tests

A forced vibration test was carried out with a person walking on the two-way RC slab panel. The weight of the person was 952 N with a step frequency of 2.0 Hz approximately, which is calculated with an average value determined from steps measurements in walking situation. The person walked in a predefined path as shown in Fig. 12b, which represents a typical walking trajectory on the floor system during its useful life.

Walking test performed on the two-way reinforced concrete slab panel in an office building: a) one person walking and b) walking trajectory.

Figure 12: Walking test performed on the two-way reinforced concrete slab panel in an office building: a) one person walking and b) walking trajectory.

Source: The authors

Fifteen measurements were carried out for determining the maximum dynamic response of the slab panel. Two measurements were taken from all of them, which are shown in Figs. 13 and 14. These measurements correspond to the recorded accelerations at the midspan of the slab (see Figs. 13a and 14a), where the maximum and minimum peak accelerations recorded were 12.16 and 10.52 cm/s2, respectively. On the other hand, the accelerations recorded at the beams by sensors S2 and S3 are significantly low, which means that their contribution in the maximum acceleration of the floor panel can be neglected. Considering the above, the experimental results represent a reference to validate the procedure developed in this work.

Measure 1 - Accelerations recorded on the floor system with sensors: a) S1, b) S2 and c) S3

Figure 13: Measure 1 - Accelerations recorded on the floor system with sensors: a) S1, b) S2 and c) S3

Source: The authors

Acceleration records of forced vibration test from sensor S1: a) measure 1 and b) measure 2

Figure 14: Acceleration records of forced vibration test from sensor S1: a) measure 1 and b) measure 2

Source: The authors

4. Numerical modelling

4.1. Mesh convergence study

A numerical simulation of the tested specimen was carried out in the software MIDAS V18 program [23]. Due to the influence of mesh size in the calculation of parameters such as the fundamental frequency and acceleration, an assessment of the meshing strategy is provided. It consists of the analysis of square slabs whose lengths were 4 m and 8 m, respectively; they were modelled with 3D-shell elements. The reinforced concrete elements were modelled as isotropic linear elastic material with a compressive strength f´c=30 MPa and elastic modulus E=24350 MPa. The boundary conditions for each model were simply supported and clamped. These models were subjected to a dynamic load, which is the harmonic function derived from the eq. (4); this force model was applied at midspan using the following parameter values: P= 97 kg, αi= 0.5, fs= 2 Hz, i=1. Ratios of natural frequency and acceleration related to the number of elements per side were calculated respectively, where it is seen that 8 elements per side is the minimum to have accurate results for the frequency ratio and 4 elements per side for the peak acceleration ratio. To assure accuracy, 20 elements per panel side were used for meshing the floor systems.

4.2. Fundamental natural frequency

According to the meshing criteria defined above, the test specimen shown in Fig. 5 was modelled to determine its dynamical properties, which were compared with those reported analytically and experimentally. The numerical model was developed with 4-node 3D-shell elements for slabs and 2-node 3D-beam elements for beams. The reinforced concrete elements were modelled as isotropic linear elastic material due to the slabs were under small loads and displacements. The characteristics of the developed model as well as the calculation of its dynamic properties are described below.

Fundamental natural frequency was computed with [23], where the direct method of Lanczos eigen solver was used as the simulation platform. Taking into account the dead loads from the bare structure and the superimposed loads summarized in Table 1, the calculated fundamental natural frequency of the studied panel was 14.78 Hz, with a fundamental mode shape as shown in Fig. 15. The comparison between the numerical and the experimental results gives a difference of 4.9 %.

Numerical model of the floor system: a) undeformed model and b) fundamental mode shape of the studied panel

Figure 15: Numerical model of the floor system: a) undeformed model and b) fundamental mode shape of the studied panel

Source: The authors

5. Results and comparisons

A comparative study between analytical, numerical and experimental results was carried out to evaluate the proposed analytical procedure for the calculation of the maximum peak acceleration of a two-way RC slab under a human-induced load. Considering that the test specimen is used as a floor of offices, a value of damping ratio of 0.05 was proposed from the literature [24]. A dynamic analysis was performed to calculate the peak acceleration at the midspan of the slab panel, which consists of solving the equation of motion at each instant of time; in this analysis the value of damping was associated to the minimum and maximum values of frequency of the floor system. Given that the walking load used in eq. (4) depends mainly on the value of DLF, different values of this parameter taken from [14,15,17-19] to evaluate its level of approximation, the values of DLF were 0.257, 0.370, 0.4, 0.5 and 0.431, respectively. Thus, the numerical results are summarized in Table 2.

Table 2: Analytical, numerical and experimental results considering the use of different dynamic load factors given by different authors

Author(s) Maximum acceleration (cm/s2)
Eq. (13) FEA method Exp. 1 Exp. 2
Rainer et al. [18] 13.78 17.14 12.16 10.52
Blanchard et al. [14] 7.08 8.81
Schulze [15] 10.19 12.68
Bachmann et al. [17] 11.02 13.71
Young [19] 11.86 14.75

Source: The authors

To calculate the acceleration with eq. (13), the dynamic properties of the slab panel were computed from the numerical model shown in section 4, so fs, fn and Mmod of the slab panel were 2.0 Hz, 14.78 Hz and 5.57 kg-s2/cm, respectively. The modal mass was calculated with the expression Mmod= Ʃδk x Mk, where δk is the vertical deflection at node k (normalised to the maximum deflection) and Mk is the mass of the floor represented at node k [24]. Thus, kmod was calculated from the basic equation to calculate the fundamental frequency of a SDOF system, kmod=(2πfn)2Mmod and whose value is 471 kN/cm. Therefore, the values of the coefficients A, B, C and D were calculated. As observed in Table 2, the use of different DLFs generate a variation in the calculation of the vertical acceleration, where the coefficients given by [18] and [14] generate the highest and lowest dynamic responses, respectively, while [15,17,19] generate similar values of the dynamic response.

The analytical results are similar to those reported numerically and experimentally at t=0 s, while the numerical results are slightly higher than those calculated analytically and experimentally, it is attributed to that the use of mathematical force models often generates an overestimation of the floor vibration response [25]. As shown in Table 2, the analytical and numerical results are higher than 10% when using the DFL given by [18]. [14] generates the lowest results, while [15,17] and [19] generate differences from 3 to 12% with respect to the experimental measurements. Although, the coefficients given by [15,17,19] provide satisfactory results in the calculation of the dynamic response of the floor system, the coefficient given by [17] generates the best results, as shown in Fig. 16.

Analytical and numerical accelerations calculated with αi=0.4 [17] and compared with the experimental measurements: a) 1 and b) 2

Figure 16: Analytical and numerical accelerations calculated with αi=0.4 [17] and compared with the experimental measurements: a) 1 and b) 2

Source: The authors

According to Fig. 16, the analytical dynamic response calculated with eq. (13) is slightly higher than the numerical and experimental results for the zone of decay range, i.e, between t=0 s and 0.50 s. It can be attributed to the fact that the value of the damping ratio was taken as 0.05 in the analyses; this value can be higher when the person is on the floor system [26] reducing the amplitudes of oscillation. It should be note that growth of acceleration occurs approximately at t=0.60 and t=1.2 s during the test, it is due to the development of high-harmonic excitations acting on the floor system. These amplitudes are not predicted by the analytical solution, because the first part of the closed form solution in eq. (13) only describes decay.

6. Conclusions

An assessment of a walking force model and the development and validation of an analytical procedure for the vibration analysis of high frequency floors under human walking is carried out. The study consists of evaluating and assessing the applicability of a simple harmonic load in the calculation of the impulsive response of a high frequency floor. The proposed procedure consists of solving the equation of motion of a SDOF subjected to a cosine load representative of human walking. Subsequently, a numerical-experimental study of a two-way RC slab subjected to human walking was conducted to evaluate their dynamic response. The results obtained were compared with those calculated analytically. In the experimental-numerical study, the accelerations in supporting beams were very low. Because of that, their contribution was not presented in this work. The variable of interest was the dynamic response at the midspan of the RC slab panel.

Using a concentrated load for modelling the human walking on the slab is enough to simulate the effect of a pedestrian on the zone of maximum modal amplitude. The DLFs influence considerably in the calculation of the acceleration of the slab, in the case of this work the DLFs given by [15,17] and [19] contribute to a reasonably prediction of the human induced-load on the floor system. According to this, it is concluded that the use of a cosine function for modelling the human walking has a certain scope of application in the calculation of impulsive responses on the floor system, since the simple harmonic function can predict reasonably the induced force by the heel and toe during the walking process as the force model used by [10].

The developed expression to calculate the dynamic response of the floor system was based on parameters of practical calculation such as modal mass, modal stiffness and damping ratio. The calculation of these parameters corresponds to the fundamental mode shape, whose maximum amplitude occurs at the midspan. Mmod and fn were calculated from the numerical model in order to evaluate the accuracy of the proposed analytical expression as better as possible. It is worth mentioning that, although the method proposed by [10] is based on neglecting some variables in the calculation of the dynamic response of the floor system, the procedure proposed in this work involves more variables of analysis, which can provide advantages in the study of the phenomenon.

Acknowledgements

Acknowledgement

The authors wish to express their gratitude for the financial support from the General Direction of Academic Personnel and the Institute of Engineering of the National Autonomous University of Mexico. The first and last authors express their gratitude for the support given by the Autonomous University of the State of Hidalgo. The third author acknowledges the support given by the Metropolitan Autonomous University and the academic licences given by Midas Information Technology.

References

  1. [1] Pavic, A., and Reynolds, P., Vibration serviceability of long-span concrete building floors. Part 2: review of mathematical modelling approaches. Shock Vib Dig, 34, pp. 279-297, 2002. 🠔
  2. [2] Griffin, M.J., Handbook of human vibration, 1st ed., Elsevier Science, London, UK, 2012. 🠔
  3. [3] Racic, V., Pavic, A., and Brownjohn, J.M.W., Experimental identification and analytical modelling of human walking forces: literature review. J Sound Vib, 326, pp. 1-49, 2009. DOI: https://doi.org/10.1016/j.jsv.2009.04.020 [URL] 🠔
  4. [4] Middleton, C.J., and Brownjohn, J.M.V., Response of high frequency floors: a literature review. Eng Struct, 32, pp. 337-352, 2010. DOI: https://doi.org/10.1016/j.engstruct.2009.11.003 [URL] 🠔
  5. [5] Caballero, O. y Juárez, G., Estudio de las variables que influyen en el control de la frecuencia natural de vibración en losas de concreto reforzado. En: XX Congreso Nacional de Ingeniería Estructural. Mérida, Yucatán, México, 2016, pp. 1-13. 🠔
  6. [6] Juárez, G. y Caballero, O., Variables que influyen en la frecuencia natural de losas macizas de CR apoyadas en dos direcciones, Revista Internacional de Ingeniería de Estructuras, 25, pp. 561-579, 2020. DOI: https://doi.org/10.24133/riie.v25i4.1863 [URL] 🠔
  7. [7] Baumann, K., and Bachmann, H., Durch Menschen verursachte dynamische Lasten und deren Auswirkungen auf Balkentragwerke (Man-induced dynamic forces and the response of beam structures). Versuchsbericht Nr.7501- 3, Zurich, Birkhäuser Verlag Basel, Institut für Baustatik und Konstruktion, ETH, 1988. 🠔
  8. [8] Ungar, E.E., and White, R.W., Footfall-induced vibrations of floors supporting sensitive equipment, Journal of Sound and Vibration, 13, pp. 10-13, 1979. DOI: https://doi.org/10.1121/1.2004124. [URL] 🠔
  9. [9] Wyatt, T.A., Design guide on the vibration of floors. The Steel Construction Institute, 1989, pp. 1-43. DOI: https://doi.org/10.13140/RG.2.2.29342.95048 [URL] 🠔
  10. [10] Willford, M., Young, P., and Field, C., Predicting footfall-induced vibration: Part 1., in: Proceedings of the Institution of Civil Engineers-Structures and Buildings, 160, pp. 65-72, 2007. DOI: https://doi.org/10.1680/stbu.2007.160.2.65 [URL] 🠔
  11. [11] Younis, A., Avci, O., Hussein, M., Davis, B., and Reynolds, P., Dynamic forces induced by a single pedestrian: a literature review. Appl Mech Rev, 69, pp. 1-17, 2017. DOI: https://doi.org/10.1115/1.4036327. [URL] 🠔
  12. [12] Allen, D.E., and Murray, T.M., Design criterion for vibrations due to walking, Engineering Journal, AISC, 30, pp. 117-129, 1993. 🠔
  13. [13] Živanović, S., Pavic, A., and Reynolds, P., Vibration serviceability of footbridges under human-induced excitation: a literature review. J. Sound Vib., 279(1), pp. 1-74, 2005. DOI: https://doi.org/10.1016/j.jsv.2004.01.019. [URL] 🠔
  14. [14] Blanchard, J., Davies, B.L., and Smith, J.W., Design criteria and analysis for dynamic loading of footbridges. Symposium on dynamic behaviour of bridges at the transport and road research laboratory: Crowthorne, Berkshire, UK, pp. 90-106, 1977. 🠔
  15. [15] Schulze, H., Dynamic effects of the live load on footbridges. Signal und Schiene 24(2), pp. 91-93 and 24(3), pp. 143-147, 1980. 🠔
  16. [16] Bachmann, H., and Ammann, W., Vibrations in structures: induced by man and machines. IABSE, Zurich, Switzerland, 1987. 🠔
  17. [17] Bachmann, H., Ammann, W.J., Deischl, F., et al, Vibration problems in structures. Birkhäuser, Basel, Switzerland,1995. 🠔
  18. [18] Rainer, J.H., Pernica, G., and Allen, D.E., Dynamic loading and response of footbridges. Can J Civ Eng, 15(1), pp. 66-71, 1988. DOI: https://doi.org/10.1139/l88-007 [URL] 🠔
  19. [19] Young, P., Improved floor vibration prediction methodologies. Arup vibration seminar on engineering structural vibration. Current developments in research and practice, London, 2001. DOI: https://doi.org/10.1117/12.615417. [URL] 🠔
  20. [20] Reglamento de Construcciones para el Distrito Federal. Gaceta Oficial de la Ciudad de México, Normas Técnicas Complementarias para el Diseño y Construcción de Estructuras de Concreto (NTCC-17), México, 2017. 🠔
  21. [21] Spectral Dynamics Inc., SIGLAB Manuals, User’s Guide, 2001. 🠔
  22. [22] MATLAB, R2017b. Natick, Massachusetts: The MathWorks Inc. 2017. 🠔
  23. [23] Midas Information Technology Co. Ltd, MIDAS/GEN, General Structural Design System, MIDAS/Gen Ver. 18, 2018. 🠔
  24. [24] Feldmann, M., Heinemeyer, C., and Lukić, M., Human-induced vibration of steel structures (Hivoss), European Commission, Directorate-General for Research and Innovation, 2007. DOI: https://data.europa.eu/doi/10.2777/79056. [URL] 🠔
  25. [25] Brownjohn, J.M.W., Energy dissipation from vibrating floor slabs due to human - structure interaction. Shock Vib, 8(6), pp. 315-323, 2001. DOI: https://doi.org/10.1155/2001/454139. [URL] 🠔
  26. [26] Brownjohn, J.M.W., Pavic, A., and Omenzetter, P., a spectral density approach for modelling continuous vertical forces on pedestrian structures due to walking, Can. J. Civ. Eng., 31(1), pp. 65-77, 2004. DOI: https://doi.org/10.1139/l03-072 [URL] 🠔
Caballero-Garatachea, O., Ayala-Milián, A.G., Juárez-Luna, G., and Escamilla-García, M.A., Analytical procedure for calculating impulsive responses on floor systems under human walking. DYNA, 91(232), pp. 86-94, April - June, 2024.
The authors declare that they have no known competing financial interests or personal relationships that could have appeared to influence the work reported in this paper
, received his PhD. in Structural Engineering, from the Metropolitan Autonomous University, Campus Azcapotzalco (UAM-A), Mexico. He is currently a research professor at the Autonomous University of the State of Hidalgo, Mexico. His areas of interest include structural dynamics, vibration and analytical formulation of structures idealized as continuous systems. ORCID: 0000-0001-6927-9888
, received his PhD. in Structural Engineering from the University of Southampton. He is a research professor in the Institute of Engineering (IINGEN-UNAM). His areas of interest include the development of finite elements in structural engineering and seismic design methodologies of buildings based on concepts of performance and resilience. ORCID: 0000-0002-6777-3273
, received his PhD. in Structural Engineering from the National Autonomous University of Mexico (UNAM). He is a research professor in the Metropolitan Autonomous University, Campus Azcapotzalco (UAM-A). His areas of interest are mainly the development of finite elements for predicting the behavior of structures in progressive collapse. ORCID: 0000-0002-1971-5802
, received his PhD. in Structural Engineering from the National Autonomous University of Mexico (UNAM). He is an associate professor in the Faculty of Engineering (UNAM). He is currently a research professor at the Autonomous University of the State of Hidalgo. His research work is aimed at developing Approximate Procedures for assessment and seismic design, evaluation of the vulnerability and resilience of structures, structural health. ORCID: 0000-0001-5276-4369