DYNA
0012-7353
2346-2183
Universidad Nacional de Colombia
https://doi.org/10.15446/dyna.v91n232.113261

Recibido: 29 de febrero de 2024; Revision Received: 6 de mayo de 2024; Aceptado: 21 de mayo de 2024

Herramienta computacional para diseño y optimización de tratamientos squeeze de inhibición de incrustaciones

Computational tool for design and optimization of scale inhibitor squeeze treatments

C. Leon-Vanegas, aD. Vargas-Silva, bF. Cortes-Correa, aH. Buendía-Lombana, b

Universidad Nacional de Colombia, Sede Medellín, Facultad de Minas, Departamento de Procesos y Energía, Medellín, Colombia. carolina.leonva@ecopetrol.com.co, fbcortes@unal.edu.co Universidad Nacional de Colombia Universidad Nacional de Colombia Facultad de Minas, Departamento de Procesos y Energía Medellín Colombia
Escuela de Ingeniería de Petróleos, Universidad Industrial de Santander, Colombia. diego.vargas4@correo.uis.edu.co, hernandobuendia@hotmail.com Universidad Industrial de Santander Escuela de Ingeniería de Petróleos Universidad Industrial de Santander Colombia

Resumen

Estudios fisicoquímicos de aguas evidencian que actualmente existe una tendencia incrustante en 24 Campos Petroleros de Colombia. Esto implica que el agua tiene tendencia a precipitar diferentes escamas, principalmente carbonato de calcio y sulfato de bario, surgiendo la necesidad de implementar herramientas para evitar o retardar la precipitación y depositación, mediante el diseño y optimización de tratamientos squeeze. Por tanto, se seleccionó un modelo matemático aplicable a formaciones de areniscas, el cual se validó para flujo lineal y radial mediante literatura, laboratorio y campo, permitiendo estimar la distribución del inhibidor a lo largo del plug durante la adsorción, y su posterior liberación relacionada con el fenómeno de desorción. Dicha metodología se validó en condiciones de presión y caudales en campo, permitiendo estimar la predicción de la vida útil del tratamiento, y se analiza el efecto de los volúmenes porosos inyectados, y caudal de producción sobre la duración del tratamiento, concluyendo que los caudales altos presentan un efecto negativo sobre la duración de los tratamientos squeeze. Además, la herramienta diseñada, permite modelamiento de adsorción y desorción de inhibidores y constituye un aporte significativo para la prevención del daño a la formación ocasionado por escamas inorgánicas, ya que actualmente no se cuenta con software comercial para este propósito.

Palabras clave:

herramienta computacional, squeeze, modelamiento numérico, adsorción, desorción, escamas, daño a la formación.

Abstract

Physicochemical studies of water show that there is currently an encrusting trend in 24 oil fields in Colombia. This implies that the water has a tendency to precipitate different scales, mainly calcium carbonate and barium sulfate. Emerging the need to implement tools that allow avoiding or delaying precipitation and deposition, through the design and optimization of squeeze treatments. Therefore, a mathematical model applicable to sandstone formations was selected, which was validated for linear and radial flow through literature, laboratory and field, allowing to estimate the distribution of the inhibitor along the plug during adsorption, and its subsequent related release with the desorption phenomenon. This methodology was analyzed under conditions of pressure and flow rates present in the field, allowing the prediction of the useful life of the treatment to be estimated, and the effect of the injected pore volumes and production flow rate on the duration of treatment, concluding that high flow rates have a negative effect on the duration of squeeze treatments. Furthermore, the designed tool allows modeling of adsorption and desorption of inhibitors and constitutes a significant contribution to the prevention of damage to the formation caused by inorganic scales, since there is currently no free software for this purpose.

Keywords:

computational tool, squeeze, numerical modelling, adsorption, desorption, scales, formation damage..

1. Introducción

La formación de incrustaciones o escamas inorgánicas constituye un grave problema para la industria del petróleo y gas, durante la producción de los fluidos del pozo. Las incrustaciones pueden depositarse sobre cualquier superficie, formando una capa cada vez más gruesa, debido al crecimiento continuo de los cristales por adsorción de iones, sobre las imperfecciones de los mismos, ocasionando obstrucción en los canales de flujo del medio poroso o en los pozos, causando daño a la formación y pérdida de productividad, principalmente por reducción de la permeabilidad [1]. Por lo anterior, investigaciones previas han caracterizado este fenómeno estudiando las causas de arrastre, precipitación e impacto en la producción [2].

Además del medio poroso, también se pueden depositar sobre los equipos de superficie causando su mal funcionamiento, o pueden aparecer en cualquier parte a lo largo de los tubos de producción, reduciendo el diámetro interno y bloqueando el flujo; e incluso pueden formarse en las plantas de tratamiento [3]. Lo que lleva a la industria a proponer soluciones de prevención y mitigación, ya sea enfoca a equipos y tuberías [4] o a tratamientos en la cara de pozo para mejorar la permeabilidad [5]

Como consecuencia de la precipitación y posterior depositación, el flujo se reduce a tal punto que puede producirse el abandono del pozo. Adicionalmente, a pesar de la utilización de técnicas de remoción y tratamientos de inhibición, se presentan problemas de taponamiento por depositación de escamas minerales, una vez que se alcanza la Concentración Mínima de Inhibidor (MIC), lo cual significa pérdidas de producción mensual de hasta 1500 Barriles (bbl). Por lo tanto, los costos por la formación de incrustaciones son muy significativos, y la solución a estos problemas le cuesta a la industria cientos de millones de dólares por año en términos de mantenimiento y pérdidas de producción cuando se deja de extraer crudo [6]. Debido a lo anterior, surge la necesidad de plantear modelamientos numéricos para entender estos fenómenos de daño a la formación, no solo por escamas sino también por migración de finos y su respectivo escalado a yacimiento, permitiendo estudiar el efecto que este tipo de daño genera sobre la producción, sentando las bases para el uso de estos modelos a escala de yacimiento [7]. El presente documento incluye un estudio enfocado a condiciones de laboratorio y condiciones de campo, abarcando el ámbito conceptual y numérico, con el fin de plantear una herramienta computacional, la cual, luego de ser validada con datos reales, permite predecir la durabilidad de los tratamientos de inhibición en campo y, por tanto, se puede saber en cuanto tiempo debe realizarse un nuevo tratamiento squeeze, evitando los costos asociados a la depositación y remoción de incrustaciones

2. Metodología

2.1. Modelamiento de los fenómenos adsorción y desorción a condiciones de laboratorio

En la Fig. 1, se observa el diagrama esquemático de una prueba coreflood. Estas pruebas de laboratorio se realizan con el objetivo de simular un tratamiento químico squeeze en yacimiento, siendo una herramienta vital para el entendimiento de los mecanismos que controlan la interacción roca - inhibidor.

Representación Esquemática de una prueba de coreflood

Figura 1: Representación Esquemática de una prueba de coreflood

Fuente: Elaboración propia

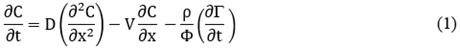
El desplazamiento ilustrado (Fig. 1), puede ser analizado mediante un modelo matemático que describe el proceso de adsorción/desorción en laboratorio (ec. 1) [8]

Donde C es la concentración del inhibidor en la fase móvil (g/L o mg/cm3), Γ es el nivel de adsorción (mg/g), D es el coeficiente de dispersión (cm2/s), V la velocidad superficial (cm/s), ? la porosidad, ρ la densidad de la roca (g/cm3), x la distancia (cm) y t el tiempo. Debido a la dificultad para medir la dispersión física D, algunos autores consideran este término nulo [8]. En equilibrio, cuando los efectos cinéticos son secundarios, es decir, la tasa de adsorción es muy rápida comparada con la tasa de flujo de fluido, el nivel de adsorción (Γ) permanece constante, solo depende de la concentración del inhibidor (Ec. (2)).

Una forma analítica utilizada para describir el nivel de adsorción como función de la concentración son las isotermas de adsorción de Freundlich (Ec. (3)) [9]:

Como se mencionó anteriormente, Γ representa el nivel de adsorción, C la concentración de la solución, y la forma de la isoterma es gobernada por los parámetros k y ni determinados de manera experimental. El término ∂Γ/∂C de la ec. (2) es el gradiente de la isoterma de adsorción a la concentración C. Teniendo en cuenta las suposiciones anteriores, el modelo matemático para representar el fenómeno de adsorción se muestra en la ec. (4).

La ec. anterior no tiene solución analítica simple, por lo tanto, se debe solucionar mediante aproximaciones numéricas, en este caso diferencias finitas (ec. (5)) donde los superíndices hacen referencia al tiempo y los subíndices hacen referencia al espacio. A continuación, se muestran las aproximaciones de la primera derivada con respecto al tiempo y la distancia.

Existen tres formas de solucionar estas aproximaciones: implícita, explícita y una combinación entre estas (Crank-Nicolson). Para el caso de estudio se utilizó la forma implícita, se construyeron las respectivas matrices para un modelo 1D y mediante Excel se generó la inversa y su respectiva solución para distintos tiempos iniciando en cero (0) y finalizando hasta el tiempo necesario para que la concentración se acerque a cero (0), los resultados se evidencian en la Fig. 2

Concentración del inhibidor en función de la distancia para diferentes tiempos

Figure 2: Concentración del inhibidor en función de la distancia para diferentes tiempos

Fuente: Elaboración propia

La Fig. 2 corresponde al fenómeno de adsorción, donde se observa la concentración del inhibidor en función de la longitud del plug para distintos tiempos. Para el tiempo 1 la concentración del inhibidor cae drásticamente al pasar por la roca, debido a que el fluido que tiene la muestra inicialmente es solo salmuera (no hay inhibidor en el plug para el tiempo cero). Para los tiempos posteriores, la concentración del inhibidor en la fase móvil se mantiene debido a que la roca ya tiene fluido con inhibidor, por lo tanto, la concentración a la salida de la muestra es cercana a la inicial.

En la Fig. 3 se puede observar el aumento de concentración de inhibidor en cada Δx del plug, que para efectos prácticos serán llamados Nodos, como función del tiempo. Estas curvas representan la concentración de inhibidor que es retenida en la roca, mediante adsorción del inhibidor sobre la superficie de los granos, debido a interacciones electrostáticas y de Van der Waals entre las moléculas del inhibidor y los minerales de la roca [10-12].

Concentración del inhibidor en del tiempo para diferentes nodos

Figura 3: Concentración del inhibidor en del tiempo para diferentes nodos

Fuente: Elaboración propia

Posterior al proceso de inyección del inhibidor en la muestra, se realiza un contraflujo para simular la producción del pozo. En esta parte de la prueba se analiza la desorción, la cual consiste en la liberación del inhibidor que fue adsorbido en la etapa anterior. Durante la desorción el nivel de adsorción (Γ) varía con el tiempo mediante la ec. (6).

Donde el término se expresa mediante la isoterma de Freundlich y r es la tasa de desorción. El fenómeno de desorción puede ser representado mediante las ecuaciones (1) y (6), teniendo en cuenta que se considera nulo el valor del coeficiente de dispersión y por lo tanto no se incluye. Para solucionar la ec. (6) se utiliza una aproximación numérica que representa el nivel de adsorción en función del tiempo como se muestra en la ec. (7).

A partir de las ecuaciones (1) y (2), y las aproximaciones numéricas (5) y (6) se obtiene un sistema de dos ecuaciones con dos incógnitas, mediante el cual se solucionan las ecuaciones con métodos iterativos multivariables, para realizar el modelamiento de la desorción del inhibidor en flujo lineal (a nivel de laboratorio).

En la Fig. 4 se representa gráficamente el fenómeno de desorción, mediante la variación de la concentración del inhibidor en función de los volúmenes porosos de agua producida. Cabe resaltar que el nodo 3 corresponde a la salida del plug y por lo tanto representa la concentración en la cara del pozo. Se puede observar que luego de producir 250 volúmenes porosos, la concentración del inhibidor a la salida del plug es aprox. 0,01 g/L (10 ppm). Esta concentración es importante ya que, según el tipo de inhibidor se determina si aún evita la formación de escamas, o si se debe realizar una nueva inyección del tratamiento.

Modelamiento de la desorción de inhibidor durante una prueba coreflood (Residuales de Inhibidor para flujo lineal).

Figura 4: Modelamiento de la desorción de inhibidor durante una prueba coreflood (Residuales de Inhibidor para flujo lineal).

Fuente: Elaboración propia

A nivel experimental es necesario desplazar agua de formación en sentido de producción, hasta llegar a la Concentración Mínima de Inhibidor (MIC), ya que por debajo de este valor el inhibidor no es efectivo para evitar la depositación de incrustaciones y por tanto debe realizarse nuevamente un tratamiento Squeeze.

2.2. Modelamiento de los fenómenos adsorción y desorción en campo

En la Fig. 5 se observa el esquema de un tratamiento Squeeze en campo.

Esquema gráfico de un Tratamiento "Squeeze”

Figura 5: Esquema gráfico de un Tratamiento "Squeeze”

Fuente: Elaboración propia

El tratamiento realizado en campo, tiene el mismo principio teórico de la prueba de laboratorio. La ec. (8) representa esta prueba, en unidades de campo.

Donde el término está representado por ec. (9)

Utilizando las ecuaciones (6) y (8), y las aproximaciones (5) y (7) se soluciona el modelo mediante métodos numéricos multivariables obteniendo resultados de desorción. En la Fig. 6 se observa el fenómeno de desorción en campo, mostrando la concentración remanente del inhibidor en el agua producida durante determinado tiempo. Esta concentración es de gran importancia pues determina si el tratamiento aun es efectivo, para este caso con una concentración inicial de 1 g/L y un caudal de 400 Barriles Por Día (BPD) después de 200 días, existía una concentración de 24.8 ppm (0.0248 g/L).

Modelamiento de la desorción de inhibidor a nivel de campo (Residuales de inhibidor para flujo radial).

Figura 6: Modelamiento de la desorción de inhibidor a nivel de campo (Residuales de inhibidor para flujo radial).

Fuente: Elaboración propia

El modelo también permite simular la distribución areal de la concentración del inhibidor en campo, y la variación de concentración en función de la distancia al pozo, para cada etapa del tratamiento squeeze. Para el caso del pre-flujo se observan en la Figs. 7 y 8.

Variación de la concentración de Inhibidor en función de la distancia al pozo (etapa de pre-flujo)

Figura 7: Variación de la concentración de Inhibidor en función de la distancia al pozo (etapa de pre-flujo)

Fuente: Elaboración propia

Distribución areal de la concentración de inhibidor durante la etapa de Pre-flujo, (distancias en ft)

Figura 8: Distribución areal de la concentración de inhibidor durante la etapa de Pre-flujo, (distancias en ft)

Fuente: Elaboración propia

De acuerdo con el diagrama sobre el plano de la Fig. 8, se puede observar la variación de la concentración del inhibidor en el pozo al inicio de la inyección (Máxima concentración) y a determinada distancia del pozo cuando la concentración es cero, mediante la barra de color rojo a azul. Finalizado el tiempo de inyección de pre-flujo la concentración de inhibidor en la cara del pozo es de 1000 ppm.

Luego del pre-flujo, se procede a inyectar el tratamiento, en la Figura se observa la variación de concentración de inhibidor en el pozo al inicio de la inyección del tratamiento. Posteriormente la concentración de inhibidor en todo el pozo es de 100000 ppm, lo cual está representado por el círculo de color amarillo. Así mismo, mediante la Figs. 7 y 9 se puede monitorear la concentración de inhibidor alrededor del pozo, para diferentes días.

Variación de la concentración de Inhibidor en función de la distancia al pozo (etapa de tratamiento)

Figura 9: Variación de la concentración de Inhibidor en función de la distancia al pozo (etapa de tratamiento)

Fuente: Elaboración propia

Para la siguiente etapa, en la Fig. 11 se puede observar el efecto de la inyección del overflush, desplazando el tratamiento de inhibición inyectado previamente para ubicarlo lo más lejos posible del pozo con el propósito de obtener el mayor tiempo de vida del tratamiento squeeze.

Distribución areal de la concentración de inhibidor durante la etapa de Tratamiento

Figura 10: Distribución areal de la concentración de inhibidor durante la etapa de Tratamiento

Fuente: Elaboración propia

Concentración de Inhibidor después de la inyección de Overflush

Figura 11: Concentración de Inhibidor después de la inyección de Overflush

Fuente: Elaboración propia

Así mismo, en la Fig. 12 se puede monitorear la concentración del inhibidor alrededor del pozo (radial), evidenciando que, para cualquier tiempo, la concentración de inhibidor aumenta a medida que la distancia al pozo se hace mayor, hasta un valor máximo y posteriormente disminuye hasta llegar a cero.

Variación de la concentración de Inhibidor en función de la distancia al pozo (etapa de overflush)

Figura 12: Variación de la concentración de Inhibidor en función de la distancia al pozo (etapa de overflush)

Fuente: Elaboración propia

En la Fig. 13 se pueden observar la variación de concentración en el tiempo, para cada nodo a determinada distancia del pozo. Finalmente, se inicia la desorción, en las Figs. 14 y 15 se evidencia la concentración de inhibidor en el agua de formación después de 500 días de producción. Para este caso, la concentración de inhibidor es de aproximadamente 0.3 ppm.

Variación de la concentración de inhibidor en función del tiempo de inyección

Figura 13: Variación de la concentración de inhibidor en función del tiempo de inyección

Fuente: Elaboración propia

a) Distribución areal de la concentración de inhibidor durante la etapa de Desorción, b) Vista superior de la etapa de desorción

Figura 14: a) Distribución areal de la concentración de inhibidor durante la etapa de Desorción, b) Vista superior de la etapa de desorción

Fuente: Elaboración propia

Curva de Desorción del inhibidor

Figura 15: Curva de Desorción del inhibidor

Fuente: Elaboración propia

Estas simulaciones son muy importantes, ya que el monitoreo de la concentración a través del tiempo permite evitar la depositación de escamas en la formación y cara del pozo. Es de resaltar que en la Fig. 15 se hace la comparación con un modelo conceptual realizado en ECLIPSE con el fin de soporta el modelo numérico y darle mayor veracidad, antes de pasar a la etapa de optimización y comparación con campo.

3. Resultados

3.1. Optimización de tratamientos squeeze mediante la herramienta computacional construida

La principal aplicación del modelo consiste en la posibilidad de realizar optimización de tratamientos de inhibición, mediante la evaluación de parámetros operacionales como el caudal de producción, la cantidad de inhibidor a inyectar, o la concentración del tratamiento de inhibición. De esta manera se puede determinar el valor apropiado de volúmenes porosos que deben ser inyectados, para alcanzar la saturación total de la roca. Con respecto al caudal de producción, es posible determinar el efecto del cambio en la tasa de producción de un pozo, sobre la duración de un tratamiento squeeze para inhibición de incrustaciones. Así mismo, se pueden realizar simulaciones para diferentes concentraciones de inhibidor, con el propósito de determinar la concentración optima que permita mayor durabilidad del tratamiento de inhibición. Adicionalmente, es posible conocer el comportamiento de un inhibidor previo a la inyección en campo, a partir pruebas realizadas en laboratorio a condiciones de yacimiento.

3.2. Impacto del volumen de inhibidor inyectado en la adsorción

Para este análisis consideramos un plug de porosidad 20%, longitud 12 cm y radio 1.5 cm. La variable a analizar son los volúmenes porosos inyectados a un caudal de 1.5 cm3/min, para diferentes concentraciones iniciales de inhibidor. En la Fig. 16, se representa la concentración del inhibidor a la salida del plug en función de los volúmenes porosos inyectados, para dos concentraciones de inhibidor 1 g/L y 3 g/L. De acuerdo con el diagrama, hay un número de volúmenes porosos en los cuales se alcanza la concentración máxima en la fase móvil (se satura la muestra); lo cual, permite establecer un máximo de volúmenes porosos a inyectar durante un tratamiento de inhibición a escala de laboratorio, que es fundamental para definir de manera óptima el volumen de inhibidor a emplear a condiciones reales de campo, evitando sobrecostos y logrando tratar toda la región de interés.

Efecto de los volúmenes porosos inyectados

Figura 16: Efecto de los volúmenes porosos inyectados

Fuente: Elaboración propia

3.3. Impacto del caudal de producción sobre la desorción del tratamiento de inhibición

En la Fig. 17, se observa que para un caudal de 100 BPD el tratamiento tiene una mayor duración, comparado con el caudal de 200 BPD, y este dura más comparado con el de 300 BPD; sin embargo, para caudales superiores a 400 BPD se obtienen tiempos de vida similares del tratamiento químico, lo que significa que a estos caudales baja al mínimo la concentración del inhibidor.

Efecto del caudal sobre la duración del tratamiento squeeze.

Figura 17: Efecto del caudal sobre la duración del tratamiento squeeze.

Fuente: Elaboración propia

4. Validación y discusión

El modelo se validó utilizando algoritmos escritos en el lenguaje de programación de Python, para flujo lineal y radial con datos de literatura, laboratorio, y campo. En las Figs. 18 y 19 se encuentra la comparación entre los datos simulados y los reportados en literatura, para pruebas coreflood con muestras sintéticas. La validación con datos de laboratorio se realizó mediante pruebas de desplazamiento con plugs de campos colombianos como: Acaé, Cusiana, y Cupiagua.

Validación del modelo para flujo lineal con datos de literatura Muestra Sintética # A

Figura 18: Validación del modelo para flujo lineal con datos de literatura Muestra Sintética # A

Fuente: Elaboración propia

Validación del modelo para flujo lineal con datos de literatura Muestra Sintética # B

Figura 19: Validación del modelo para flujo lineal con datos de literatura Muestra Sintética # B

Fuente: Elaboración propia

En las Figs. 20 a 23 se encuentran las simulaciones y datos experimentales para muestras de roca de los campos mencionados, y en la Fig. 24 se presenta una de las simulaciones realizadas para un pozo de campo Cusiana.

Validación del modelo para flujo lineal con plug de Acaé (Pf. 10630’)

Figura 20: Validación del modelo para flujo lineal con plug de Acaé (Pf. 10630’)

Fuente: Elaboración propia

Validación del modelo para flujo lineal con plug de Acaé (Pf. 10633’)

Figura 21: Validación del modelo para flujo lineal con plug de Acaé (Pf. 10633’)

Fuente: Elaboración propia

Validación del modelo para flujo lineal con plug de Cusiana (Pf. 16455,3)

Figura 22: Validación del modelo para flujo lineal con plug de Cusiana (Pf. 16455,3)

Fuente: Elaboración propia

Validación del modelo para flujo lineal con plug de Cupiagua (Pf. 13801,17)

Figura 23: Validación del modelo para flujo lineal con plug de Cupiagua (Pf. 13801,17)

Fuente: Elaboración propia

Validación del modelo para flujo radial con datos de Campo Cusiana

Figura 24: Validación del modelo para flujo radial con datos de Campo Cusiana

Fuente: Elaboración propia

Adicionalmente se realizaron validaciones de la herramienta computacional utilizando simuladores de yacimientos como Eclipse y Squeeze, variando como parámetro el corte de agua de los pozos desde 10 hasta 90% [13-16].

En las Figs. 25, a 30, se presenta la comparación de los simuladores, lo cual sumado a las validaciones con datos de laboratorio y campo se puede concluir que la herramienta computacional diseñada es precisa y puede ser usada en predicciones para otros campos. Así mismo, es posible evidenciar que el corte de agua influye en gran medida, un ejemplo de ello se detalla en la Fig. 30 con un corte de agua de 90%, el inhibidor está por debajo de 1 ppm en 350 días, mientras que en la Fig. 25 para los mismos 350 días, la concentración aun es cercana a 50 ppm

Datos modelados en la Herramienta Vs. Squeeze VI (Cw = 10 %)

Figura 25: Datos modelados en la Herramienta Vs. Squeeze VI (Cw = 10 %)

Fuente: Elaboración propia

Datos modelados en la Herramienta Vs. Squeeze (Cw =15%)

Figura 26: Datos modelados en la Herramienta Vs. Squeeze (Cw =15%)

Fuente: Elaboración propia

Datos modelados en la Herramienta Vs. Squeeze VI (Cw =55%)

Figura 27: Datos modelados en la Herramienta Vs. Squeeze VI (Cw =55%)

Fuente: Elaboración propia

Datos modelados en la Herramienta Vs. Eclipse (Cw=70%)

Figura 28: Datos modelados en la Herramienta Vs. Eclipse (Cw=70%)

Fuente: Elaboración propia

Datos modelados en la Herramienta Vs. Squeeze (Cw=87%)

Figura 29: Datos modelados en la Herramienta Vs. Squeeze (Cw=87%)

Fuente: Elaboración propia

Datos modelados en la Herramienta Vs. Eclipse (Cw=90%)

Figura 30: Datos modelados en la Herramienta Vs. Eclipse (Cw=90%)

Fuente: Elaboración propia

5. Conclusiones

La herramienta computacional es de gran importancia para la prevención de la formación de incrustaciones, ya que permite predecir la durabilidad de los tratamientos de inhibición en campo y, por tanto, se puede saber en cuanto tiempo debe realizarse un nuevo tratamiento squeeze, evitando los costos asociados a la depositación y remoción de incrustaciones.

La herramienta computacional para modelamiento de adsorción y desorción de inhibidores constituye un aporte significativo para la prevención del daño a la formación ocasionado por escamas inorgánicas, ya que actualmente no se cuenta con software comercial para este propósito.

La implementación de esta herramienta permitirá realizar optimización de tratamientos de inhibición aplicados en campo, a partir de pruebas de desplazamiento realizadas en laboratorio, o residuales de inhibición obtenidos de tratamientos squeeze previos.

Los resultados del modelamiento del fenómeno de desorción en laboratorio y campo permiten monitorear la concentración de un inhibidor en el agua de producción, y así determinar la vida útil del tratamiento químico.

El modelo presentado es fundamental para el correcto diseño de un tratamiento squeeze, ya que permite evaluar parámetros operacionales como tasa de inyección, caudal de producción, cantidad de inhibidor a inyectar y concentración optima del tratamiento.

Mediante la utilización de la herramienta es posible conocer el comportamiento de interacción roca - inhibidor en yacimientos de areniscas, a partir de pruebas realizadas en laboratorio a condiciones de yacimiento.

La herramienta computacional permite determinar el valor apropiado de volúmenes porosos que deben ser inyectados, para alcanzar la saturación total de la roca, evitando sobrecostos y logrando tratar toda la región de interés.

Al realizar simulaciones se determinó el impacto del caudal de producción sobre la desorción del inhibidor, encontrando que caudales altos presentan un efecto negativo sobre la duración de los tratamientos squeeze.

Referencias

  1. [1] Civan, F. Non-isothermal Permeability Impairment by Fines Migration and Deposition in Porous Media including Dispersive Transport. Transp Porous Med 85, 233-258, 2010 doi: https://doi.org/10.1007/s11242-010-9557-0 [URL] 🠔
  2. [2] Gruesbeck, C., and R. E. Collins. "Entrainment and Deposition of Fine Particles in Porous Media." SPE J. 22, 1982. doi: https://doi.org/10.2118/8430-PA [URL] 🠔
  3. [3] KELLAND, Malcolm A. “Effect of Various Cations on the Formation of Calcium Carbonate and Barium Sulfate Scale with and without Scale Inhibitors”. En: I&EC Research. p. 5852-5861, 2011. doi: https://doi.org/10.1021/ie2003494 [URL] 🠔
  4. [4] Enyi, G. C., Nasr, G. G., Nourian, A., El Kamkhi, M. A., & Burby, M. L. Removal of scales in petroleum production tubing utilising high pressure atomisers. In ICLASS 2012, 12th Triennial International Conference on Liquid Atomization and Spray Systems. Institute for Liquid Atomization and Spray Systems-Europe, 2012 Disponible en: http://usir.salford.ac.uk/id/eprint/59503 [URL] 🠔
  5. [5] Taheri-Shakib, J., Naderi, H., Salimidelshad, Y. et al. Using ultrasonic as a new approach for elimination of inorganic scales (NaCl): an experimental study. J Petrol Explor Prod Technol 8, 553-564, 2018 https://doi.org/10.1007/s13202-017-0369-4 [URL] 🠔
  6. [6] JINES, Jose Luis. “Uso del tubo de diálisis en el diseño de tratamiento antiescala en el pozo SA 110 del campo sacha en distrito amazónico ecuatoriano”. Trabajo de grado previo a la obtención del Título de: Ingeniero en Petróleo. Escuela Superior Politécnica del litoral. Facultad de Ingeniería en Ciencias de la Tierra, 186 p. 2010. 🠔
  7. [7] Zabala Romero, R. D. Modelo fenomenológico para escalar a yacimiento el impacto sobre producción de hidrocarburos del daño de formación por migración de finos. Revista Fuentes, El reventón energético, 14(1), 103-114 2016 https://doi.org/10.18273/revfue.v14n1-2016009 [URL] 🠔
  8. [8] Sorbie, K.S., Yuan, Ming Dong, Todd, A.C., and R.M.S. Wat. "The Modelling and Design of Scale Inhibitor Squeeze Treatments in Complex Reservoirs." Paper presented at the SPE International Symposium on Oilfield Chemistry, Anaheim, California, 1991. doi: https://doi.org/10.2118/21024-MS [URL] 🠔
  9. [9] Moreno-Enriquez, A.; Vargas-Silva, D.; Gambús-Ordaz, M.; Calderón-Carrillo, Z.; Robles-Albarracín, E. Evaluación del volumen de gas original in situ en yacimientos no convencionales tipo gas-shale mediante múltiples modelos a nivel mundial y su analogía a una formación colombiana. Boletín de Geología, 44(2), 109-123, 2022. https://doi.org/10.18273/revbol.v44n2-2022005 [URL] 🠔
  10. [10] ALBRIGHT, F. L., Albright's Chemical Engineering Handbook. Boca Raton, FL: CRC Press. (2009). 🠔
  11. [11] Jordan, M.M., Sorbie, K.S., Griffin, P., Hennessey, S., Hourston, K.E., and P. Waterhouse. "Scale Inhibitor Adsorption/Desorption vs. Precipitation: The Potential for Extending Squeeze Life While Minimising Formation Damage." Paper presented at the SPE European Formation Damage Conference, The Hague, Netherlands, 1995 doi: https://doi.org/10.2118/30106-MS [URL] 🠔
  12. [12] Yuan, Ming Dong, Sorbie, K.S., Todd, A.C., Atkinson, L.M., Riley, Helen, and Stuart Gurden. "The Modelling of Adsorption and Precipitation Scale Inhibitor Squeeze Treatments in North Sea Fields." Paper presented at the SPE International Symposium on Oilfield Chemistry, New Orleans, Louisiana, 1993 doi: https://doi.org/10.2118/25163-MS [URL] 🠔
  13. [13] Vazquez, Oscar, Mackay, Eric James, and Kenneth S. Sorbie. "Development of a Non-Aqueous Scale Inhibitor Squeeze Simulator." Paper presented at the SPE International Oilfield Scale Symposium, Aberdeen, UK, 2006. doi: https://doi.org/10.2118/100521-MS [URL] 🠔
  14. [14] Vazquez, O., Mackay, E., Sorbie, K., and M. Jordan. "Impact of Mutual Solvent Preflush on Scale Squeeze Treatments: Extended Squeeze Lifetime and Improved Well Clean-up Time." Paper presented at the 8th European Formation Damage Conference, Scheveningen, The Netherlands, 2009. doi: https://doi.org/10.2118/121857-MS [URL] 🠔
  15. [15] Vazquez, O., Mackay, E. J., and K. S. Sorbie. "Modelling of Non-Aqueous and Aqueous Scale Inhibitor Squeeze Treatments." Paper presented at the International Symposium on Oilfield Chemistry, Houston, Texas, U.S.A., 2007. doi: https://doi.org/10.2118/106422-MS [URL] 🠔
  16. [16] Rakhimov, A.. , Vazquez, O.. , Sorbie, K. S., and E. J. Mackay. "Impact of Fluid Distribution on Scale Inhibitor Squeeze Treatments in Pattern Floods and Fractured Wells." Paper presented at the SPE EUROPEC/EAGE Annual Conference and Exhibition, Barcelona, Spain, 2010. doi: https://doi.org/10.2118/131724-MS [URL] 🠔
Leon-Vanegas, C., Vargas-Silva, D.A., Cortes-Correa, F.B. and Buendía-Lombana, H., Computational tool for design and optimization of scale inhibitor squeeze treatments. DYNA, 91(232), pp. 121-130, April - June, 2024.
MSc. en Ingeniería de Petróleos, pertenece al Grupo de investigación en fenómenos de superficie, Departamento de Procesos y Energía, Facultad de Minas, Universidad Nacional de Colombia Sede Medellín. Profesional con conocimientos en daño a la formación, estimulación, análisis petrofísicos, modelamiento de procesos y mejoramiento de productividad. Con experiencia en: tratamientos de inhibición, fluidos de control de pozo, y fluidos de estimulación. Experiencia en formulación, gestión y liderazgo de proyectos. Manejo de software especializado de yacimientos para simulación. ORCID: 0009-0009-1670-2350.
es Ingeniero de Petróleos, MSc. en Geofísica y candidato a Doctor en Ingeniería Química de la Universidad Industrial de Santander, Colombia. Con experiencia en presión de poro mediante modelamiento de cuencas 1D, 2D y 3D, aplicado al Valle Medio del Magdalena (VMM) y Piedemonte. Modelando el fenómeno de pérdidas de fluido de perforación en yacimientos naturalmente fracturados y diseño de software. Actualmente se desempeña como docente de las escuelas de Ingeniería de Petróleos y Física. ORCID: 0000-0001-6593-1664
es profesor titular y director del grupo Fenómenos de Superficie -Michael Polanyi de la Facultad de Minas, Universidad Nacional de Colombia, sede Medellín. Dr. en Sistemas Energéticos de la Universidad Nacional de Colombia, sede Medellín. Su investigación se centra en fenómeno de adsorción, materiales nanoportados y síntesis de nanomateriales; sus artículos han aparecido en Fuel, Energy and Fuels, Petroleum Science, entre otros. ORCID: 0000-0003-1207-3859
, es Químico, Modelamiento de Procesos Hidrocarburos (GMPH), Escuela de Ingeniería de Petróleos, Universidad Industrial de Santander, Colombia. ORCID: 0000-0003-0006-7275