DYNA
0012-7353
2346-2183
Universidad Nacional de Colombia
https://doi.org/10.15446/dyna.v91n232.113302

Recibido: 5 de marzo de 2023; Revision Received: 3 de mayo de 2024; Aceptado: 15 de mayo de 2024

Determine velocity of fluid in curved micro channels fabricated with 3d printing (SLA)

Determinación de la velocidad de fluido en micro canales curvos fabricados con impresión 3D (SLA)

N. Esparza-Proaño, a V. Cabrera-Moreta, b

Departament of Mechanical Engineering, Universidad Politécnica Salesiana, Quito, Ecuador. nesparza@est.ups.edu.ec Departament of Mechanical Engineering Universidad Politécnica Salesiana Quito Ecuador
Departament of Mechanical Engineering, Universidad Politécnica Salesiana, Quito, Ecuador. vcabrera@est.ups.ec Departament of Mechanical Engineering Universidad Politécnica Salesiana Quito Ecuador

Abstract

The study investigated fluid dynamics in curved microchannels, exploring 3D printing parameters, channel geometry, and fluid properties, crucial for applications in medicine and energy. It highlighted the importance of microfluidics in handling small samples and enabling rapid analysis, stressing the need for precise measurement techniques to validate fluid velocity. Using 3D printing for microchannel design illustrated their utility, with microscopy aiding flow behavior comprehension. The research aimed to validate fluid velocity, covering technology analysis, microdevice design, fabrication, and measurement methodologies. It successfully fabricated microdevices confirming fluid movement via capillarity, revealing the relationship between channel radius and flow velocity. Distinct flow velocity patterns were observed, vital for design optimization. The study affirmed capillary flow as a spontaneous phenomenon, with fluid velocity variations along curved microchannels consistent with mass conservation principles in incompressible flows.

Keywords:

microchannels, curved, 3D printing, SLA, microfluidics, fluid, velocity, validation, microscopy, design, applications.

Resumen

El estudio investigó el movimiento de fluidos en microcanales curvados, centrándose en la fabricación mediante impresión 3D (SLA). El artículo analiza la geometría del canal, las propiedades del fluido y la microfluídica en el dispositivo. El objetivo principal fue determinar la velocidad del fluido en estos microcanales curvos mediante manufactura aditiva (SLA). Los resultados del estudio permitieron la fabricación de microdispositivos que validaron el movimiento del fluido por capilaridad, resaltando la relación entre el radio del canal y la velocidad del flujo. Se observaron patrones característicos en la velocidad del flujo, fundamentales para la optimización de diseños en diversas aplicaciones. En resumen, se confirmó el flujo capilar como un fenómeno de absorción espontánea de líquidos, evidenciando la variación de la velocidad del fluido a lo largo de los microcanales curvados, en consonancia con el principio de conservación de masa en flujos incompresibles.

Palabras clave:

micro canales, curvo, impresión 3D, SLA, micro fluidos, fluidos, velocidad, validación, microscopía, diseño, aplicaciones.

1. Introduction

The study of fluid velocity in curved microchannels fabricated by 3D printing (SLA) is a relatively new area of research with great potential for applications in various fields. The rationale for this study is based on the need to better understand flow patterns in curved microchannels, which can contribute to the design and optimization of microfluidic systems for biomedical, chemical, and diagnostic applications. In addition, this research may be a precursor to the development of more efficient and accurate microfluidic devices, which in turn could have a significant impact in fields such as medicine, biotechnology, and life sciences.

The focus of the research is on understanding the effect of velocity enhancement in curved sections, specifically in microdevices with curved channels fabricated by 3D printing (SLA). The importance of this study is justified by gaining a better understanding of flow patterns in curved microchannels, which can contribute to the design and optimization of microfluidic systems for biomedical, chemical, and diagnostic applications.

In this study, microdevices with curved channels will be designed and fabricated by 3D printing (SLA) to validate fluid movement by capillarity. The current status of 3D printing (SLA) technology in microchannels with different geometries will be analyzed, a methodology for the fabrication and measurement of fluid in the proposed devices will be established, and the flow velocity measurements obtained in the curved channels will be evaluated.

The research is expected to provide valuable information on fluid behavior in curved microchannels, which can contribute to the design and optimization of microfluidic systems for various applications.

In recent years, the need to understand the effect of velocity enhancement in curved sections, specifically in microdevices with curved channels fabricated by 3D printing (SLA), has become apparent. This research seeks to highlight the relevance of understanding the influence of curved channel radius on fluid velocity, which is crucial for various applications in engineering, materials science, and bioengineering. The rationale is based on the importance of gaining a better understanding of flow patterns in curved microchannels, which can contribute to the design and optimization of microfluidic systems for biomedical, chemical, and diagnostic applications. In addition, this research can lay the foundation for the development of more efficient and accurate microfluidic devices, which in turn could have a significant impact in fields such as medicine and biotechnology.

The proposed research is based on the need to develop an effective methodology to measure and validate flow velocity in curved channels of microdevices fabricated by 3D printing (SLA). Accurate velocity measurement is essential in a variety of applications, such as microfluidics, biotechnology, and nanotechnology. Capillarity has been proposed as a promising technique to solve this challenge in microscopic, curved channels, and 3D printing (SLA) offers the ability to fabricate complex geometries. This research seeks to combine these two technologies to provide a solution that will significantly contribute to the design and development of more efficient and accurate fluidic microdevices in various fields of application.

2. Methodology

2.1. Measurement of fluid velocity in curved microchannels

The study of fluid velocity in curved microchannels fabricated by 3D printing (SLA) is a novel area of research with vast potential for diverse applications. The rationale for this study lies in the need to understand flow patterns in curved microchannels to optimize microfluidic systems applicable in biomedicine, chemistry and diagnostics. This work may be a precursor in the development of more efficient microfluidic devices, impacting areas such as medicine and biotechnology [1-4].

2.2. Measurement techniques

Commonly employed techniques include direct visualization of flow by microscopy, and velocity measurement with particle velocimeter (PIV) or laser Doppler anemometer (LDA). Microscopy allows observation of fluid dynamics, while PIV and LDA measure velocity through moving particles or reflected light, providing accurate data for system design and optimization [3,5-7].

2.3. Curved microchannel design

Commonly employed techniques include direct visualization of flow by microscopy, and velocity measurement with particle velocimeter (PIV) or laser Doppler anemometer (LDA). Microscopy allows observation of fluid dynamics, while PIV and LDA measure velocity through moving particles or reflected light, providing accurate data for system design and optimization [8-11]. Fig. 1 shows an example of curved channel device.

Prototypes designed with radio 4, 6 and 8 mm.

Figure 1: Prototypes designed with radio 4, 6 and 8 mm.

Source: The authors

2.4. Volume and radio calculation

The calculation of volume and radius in curved microchannels is crucial to understand the flow behavior. Volumes were calculated for different radius (4 mm, 6 mm, 8 mm), fundamental to evaluate the efficiency of the system. Figs. 2, 3 and 4 shows the design devices with radius variation along the channel.

Volume 4 mm

Radio deposit 4 mm

Prototype designed with 4 mm radio of curvature.

Figure 2: Prototype designed with 4 mm radio of curvature.

Prototype designed with 6 mm radio of curvature.

Figure 3: Prototype designed with 6 mm radio of curvature.

Source: The authors

Prototype designed with 8 mm radio of curvature.

Figure 4: Prototype designed with 8 mm radio of curvature.

Source: The authors

Volume 6 mm

Radio deposit 6 mm

Volume 8 mm

Radio deposit 8 mm

2.5. Data Processing

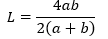
The calculation of the channel length and Reynolds number is vital for understanding fluid flow. The channel length was calculated considering displacement and capillarity. The Reynolds number, essential to characterize the flow, was obtained by considering the average volumetric flow rate and the viscosity of the fluid. This analysis provides a detailed understanding of fluid behavior in curved microchannels, essential for the accurate and efficient design of microfluidic devices.

Displacement calculation. The displacement of a body is defined as the difference between its final position (xi) and its initial position (xf). In simple terms, the displacement represents the total amount that the body has moved from its initial position (xi) to its final position (xf) [12].

The formula for calculating the displacement is as follows:

Calculation of the displacement magnitude. The magnitude of the displacement vector is defined as the length or size of the vector and is calculated by the square root of the sum of the squares of its direction elements. This measure is essential for a complete understanding of the vector, as it provides information about its size regardless of its direction. This concept is fundamental to vector analysis and is used in a variety of scientific and technical fields to characterize the motion and position of objects in space [13].

Where:

x and y are the components of the displacement in the horizontal and vertical directions, respectively.

Displacement magnitude summation. The magnitude of the displacement vector is defined as the length or size of the vector and is calculated by the square root of the sum of the squares of its direction elements. This measure is essential for a complete understanding of the vector, as it provides information about its size regardless of its direction. This concept is fundamental to vector analysis and is used in a variety of scientific and technical fields to characterize the motion and position of objects in space.

Calculation of capillarity in microchannels. Capillary force plays a crucial role in the operation of microfluidic devices as it is generated by the interaction between the fluid and the microchannel material. This force, derived from the nature of the fluid and the properties of the channel, gives rise to phenomena such as capillary penetration in microchannels of finite and rectangular shapes, which directly impacts the accuracy of capillary measurements [3]. Furthermore, capillary force can be employed to control and manipulate fluids at the micro-scale, which is essential in applications such as cancer detection and cell separation [15]. In summary, understanding the influence of capillary force in microchannels is critical for the development and implementation of microfluidic technologies in various scientific fields and technological applications. Fig. 5 illustrates a diagram of drop over an hydrophilic surfase.

Illustrative diagram representing the contact angle of a fluid drop on a solid surface.[16].

Figure 5: Illustrative diagram representing the contact angle of a fluid drop on a solid surface.[16].

Source: Rupp et al., 2014

Pc >0 Opposed to flow

Pc<0 Spontaneous wick

Where:

Pc: represents the capillary pressure [Pa]

ϒ: is the surface tension of the fluid (N/m)

w: channel width (m)

d: channel height (m)

θb: back contact angle

θt: upper contact angle

θl: left contact angle

θr: right contact angle

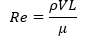
Reynolds number calculation. The Reynolds number (Re) is a dimensionless parameter used to relate inertial forces to viscous forces, which allows determining the flow regime in which a system is found, either laminar or turbulent. In microfluidic devices with rectangular cross section, the calculation of the Reynolds number is performed considering the average volumetric flow rate of the device [17].

The Reynolds number is fundamental to characterize the flow behavior in microchannels, being that for low values of Re (Re < 2000) laminar flow prevails, while for higher values, the flow can become turbulent [18]. This characterization is essential to understand and predict the behavior of fluids in microfluidic devices, which significantly influences the design and efficiency of such devices [19],[20].

Where:

ρ: represents the density of the fluid

V: linear velocity of the fluid (m/s)

L: characteristic length (m)

μ: dynamic viscosity of the fluid (m2/s)

3. Results and discussion

The design and printing of three prototypes including a curved microchannel were carried out, considering different curvature radii of 4, 6 and 8 mm. These prototypes were fabricated using a 3D printer by the stereolithographic process (SLA) in order to evaluate the behavior of the fluid and determine how these curvature radii affect its velocity. For each device, 5 tests were performed on each channel, resulting in a total of 15 tests.

3.1. Schematic diagram of the cross section of the devices

The main dimensions of the microchannels are a channel width of 620 μm (Fig. 6) and a depth of 500 μm (Fig. 6). In addition, both the reservoir and outlet have a slope of 200 μm, which prevents the fluid from leaking.

Width of the designed channel - Depth of the designed channel

Figure 6: Width of the designed channel - Depth of the designed channel

Source: The authors

3.2. Overall dimensions of the devices

The main dimensions of the curved microchannels designed are expressed in millimeters (mm) and are detailed in Table 1.

Table 1: Overall dimensions of curved micro channels with r4, r6 and r8.

Dimension Units r4 r6 r8
Channel width (mm) 0.620 0.620 0.620
Channel depth (mm) 0.500 0.500 0.500
Length (mm) 71 76 69
Tank radius (mm) 3.514 3.713 3.613

Source: The authors

3.3. Graphical analysis

The designed geometry of the microdevice with curved channels is divided into blocks graphically and the data is tabulated as a function of the channel length, considering the geometry of the device.

Fig. 7 shows the division into blocks of the microdevice of r4, r6 and r8, with a total of 6 blocks, 5 blocks and 4 blocks respectively, due to the curves present in the channels, which are identified by colors.

Division of blocks in micro device design with radius 4,6 and 8mm.

Figure 7: Division of blocks in micro device design with radius 4,6 and 8mm.

Source: The authors

3.4. Data Statistics

In the case of the histogram of the curved microdevice with a radius of 4 mm, it is observed that the highest number of velocities is concentrated in the range of 0.0 - 1.3 mm/s, with a mesokurtic curve indicating a wide range of velocities and a slight positive asymmetry. The velocity distribution shows that it stops at the crests (Fig. 8). In the histograms of the curved microdevices with radii of 6 mm and 8 mm, it can be seen that the highest number of velocities are concentrated in the middle sections respectively. The leptokurtic curve indicates that the velocity values are concentrated around their mean, with a positive skewness where the smaller velocity data are concentrated towards the right of the distribution (Fig. 8). For velocity analysis, separation into sections was performed considering changes in channel geometry and total microchannel length."

Velocity histograms (mm/s) radio 4, 6 and 8 mm.

Figure 8: Velocity histograms (mm/s) radio 4, 6 and 8 mm.

Source: The authors

Velocity and Length in Microdevices. Fig. 9 present the velocity and length scatter plots for the three devices, divided into sections according to the device geometry and velocity changes in the microchannels. These graphical representations allow visualizing the relationship between fluid velocity and channel length in different sections of the microdevices, which facilitates the analysis of the flow behavior along its path.

Graph of velocity as a function of length for a device with a radius of 4 mm.

Figure 9: Graph of velocity as a function of length for a device with a radius of 4 mm.

Source: The authors

Figs. 9, 10 and 11 show the characteristic behavior of the flow velocity in curved microchannels fabricated with 3D printing. A velocity peak in the curve followed by a decrease in the straight line is highlighted. This phenomenon is attributed to the centrifugal force generated when the fluid changes direction in the curve, which causes a displacement towards the inner wall of the channel. As a result, the contact between the fluid and the inner wall is less than with the outer wall, allowing faster fluid flow in the bend. In contrast, in the straight, the centrifugal force decreases, and the fluid again has contact with both channel walls, which increases friction and causes a decrease in flow velocity. This behavior is crucial in curved microchannel applications in microelectronic, biomedical and nanotechnology systems, where flow velocity is a critical factor that can influence system performance.

Graph of velocity as a function of length for a device with a radius of 6 mm.

Figure 10: Graph of velocity as a function of length for a device with a radius of 6 mm.

Source: The authors

Graph of velocity as a function of length for a device with a radius of 8 mm.

Figure 11: Graph of velocity as a function of length for a device with a radius of 8 mm.

Source: The authors

Calculation of the capillarity of the micro devices. The capillary force measured in the devices is -302.9633 Pa, which reflects the phenomenon of capillary flow, characterized by the spontaneous absorption of liquids in narrow spaces without the intervention of external forces. This process is influenced by cohesion and adhesion forces, which are fundamental to capillarity and the absorption of liquids in such spaces. Cohesion forces operate between the molecules of the liquid, while adhesion forces act between the molecules of the liquid and the walls of the container. These interactions determine the ability of a liquid to move through narrow spaces, such as microchannels, and are essential for understanding and controlling capillary and absorption phenomena in these environments. Accurate measurement of capillary force provides crucial information for the design and optimization of microfluidic devices, especially in applications that require precise liquid handling at the microscopic scale, such as in biomedicine, nanotechnology and other engineering fields.

Calculation of Reynolds Number. The fluid motion in the microchannels was characterized by determining the Reynolds number, which was found to be less than 2000 in the three devices analyzed. This result suggests a laminar flow regime, where viscous forces are predominant over inertial forces. The Reynolds number (Re) is a crucial dimensionless parameter that describes the relationship between inertia and viscous forces in a given flow. In the case of Re values below 2000, as observed in this investigation, a laminar flow characterized by a smooth and orderly distribution of the fluid in the microchannels is established. The predominance of laminar flow in these devices is of great importance for various microfluidic applications, especially those requiring controlled and uniform fluid transport, such as in medical diagnostic systems, chemical analysis and biomedical applications in general. This finding underscores the importance of understanding and characterizing fluid behavior in microchannels for the effective design and development of microfluidic devices in various application areas.

Block velocity. Figs. 12, 13 and 14, showing the velocity variation in the different sections (Fig. 7), established for the analysis of the designed geometry of the microdevice with curved channels. Microchannels with curvatures present distinctive hydrodynamic characteristics, and the examination of the velocities per section provides detailed information on the flow distribution along the channel. This evaluation is crucial for understanding flow behavior at various sections, which in turn facilitates informed decision making in the design and implementation of curved microchannels. This analytical approach allows the identification of specific flow patterns, such as changes in velocity and pressure, in different parts of the curved channel.

Box and whisker plot of the speed of the 4 mm radio prototype.

Figure 12: Box and whisker plot of the speed of the 4 mm radio prototype.

Source: The authors

Box and whisker plot of the speed of the 6 mm radio prototype.

Figure13: Box and whisker plot of the speed of the 6 mm radio prototype.

Source: The authors

. Box and whisker plot of the speed of the 8 mm radio prototype.

Figure14: . Box and whisker plot of the speed of the 8 mm radio prototype.

Source: The authors

By understanding how velocity varies along the channel, microchannel designs can be optimized to ensure uniform and controlled flow, which is essential for numerous applications in fields such as microfluidics, biomedical engineering and nanotechnology. The information obtained from this sectional velocity analysis provides a solid basis for decision making in the design and optimization of curved microchannels, thus contributing to the advancement and continuous improvement of microfluidic systems in a variety of applications.

Figs. 12, 13 and 14 show the variation of velocities in curved microchannels, influenced by the geometrical configuration of the channel, such as its curvature and cross section, which impact the velocity distribution along the channel. This variation can be affected by several factors, such as channel geometry, Reynolds number, fluid inlet conditions and capillarity. A specific trend is observed in the microdevices with curved channels, where at the beginning of the curvatures the velocity decreases, and as the trajectory progresses, it tends to increase again. The velocity data in the three devices show a positive asymmetry, indicating that they are concentrated towards the top with a more uniform distribution, especially near the center of the box. This distribution suggests that the data are symmetrical, with peaks of velocities in the curves and a reduction in the straight segments of the channel. These findings provide valuable information on the velocity distribution in curved microchannels, contributing to a better understanding of the flow behavior in these devices and to the optimization of their design for various applications in microfluidics and related fields.

4. Conclusions

A micro device with curved channels was designed and fabricated using 3D printing (SLA) to explore fluid movement via capillarity in circular devices. The aim of the study was to evaluate the behavior of the liquid through channels of varying geometries manufactured by additive manufacturing. Currently, there is extensive research in this field due to the versatility and novelty of the technology. Total fabrication process time for each device took approximately 74 minutes, including printing (50 minutes), cleaning (12 minutes), and curing (12 minutes).

Flow velocity tests conducted in the curved channels revealed average velocities of 0.00267 m/s, 0.00242 m/s, and 0.00438 m/s for devices with radii of 4 mm, 6 mm, and 8 mm, respectively. These results demonstrate that larger radii correspond to higher velocities.

To characterize fluid movement within the microchannels, the Reynolds number was calculated for radii of 4 mm, 6 mm, and 8 mm, yielding values of 1.4780, 1.3396, and 2.4246, respectively. These values indicate that all three devices exhibit laminar flow regimes, where viscous forces dominate over inertial forces, as the Reynolds numbers are less than 2000.

Depict the velocity behavior in curved microchannels, showing a distinctive peak followed by deceleration. This phenomenon is attributed to reduced friction along the inner wall during curvature, allowing for acceleration, whereas the straight sections experience greater wall contact and subsequent friction, leading to velocity reduction. Understanding this behavior is crucial for optimizing microchannel designs across various applications, from microelectronics to biomedicine and nanotechnology, where flow velocity significantly influences system performance and effectiveness.

Theoretical capillary force of the microdevices was evaluated to be -302.9633 Pa, signifying spontaneous liquid absorption in narrow spaces without external force assistance, influenced by cohesive and adhesive forces between liquid molecules and container walls.

Variation in fluid velocity along the curved microchannel is reflected in the average velocities obtained: 2.81952 mm/s for the 4 mm radius device, 3.21872 mm/s for the 6 mm device, and 4.15311 mm/s for the 8 mm device. These data align with the expected effect of increasing the curved section in an incompressible flow, adhering to the principle of conservation of mass, where an increase in cross-sectional area results in decreased velocity and vice versa.

References

  1. [1] Rodríguez, E., Tecnología microfluídica para el control ambiental. Fieras de la Ingeniería. [ONLINE]. Accessed: Dec. 04, 2023. [Online]. Available at: Available at: https://web.archive.org/web/20131018020809/http://www.fierasdelaingenieria.com/tecnologia-microfluidica-para-el-control-ambiental/ [URL] 🠔
  2. [2] Hurtado-De Mendoza, A., Estudio de la generación de emulsiones en micro fluidos mediante simulación numérica, Nov. 2017. 🠔
  3. [3] Sun, B., Jiang, J., Shi, N., and Xu, W., Application of microfluidics technology in chemical engineering for enhanced safety, Process Safety Progress, 35(4), pp. 365-373, 2016. DOI: https://doi.org/10.1002/PRS.11801. [URL] 🠔
  4. [4] Méndez, M. de O.J.L., Formación de microcápsulas para envío de fármacos a partir de emulsiones usando dispositivos microfluídicos, Tesis, Dr. Instituto de Física y Matemáticas, Universidad Michoacana de San Nicolás de Hidalgo, Morelia, Mexico, 2018, 134 P. 🠔
  5. [5] González-Esparza, D., Diseño, modelado y fabricación de un microsistema fluídico para la separación de células tumorales. Tesis MSc. Facultad de Ingeniería de la Construcción y el Hábitat, Universidad Veracruzana, Veracruz, Mexico, 2021, 53 P. 🠔
  6. [6] Innofocus Photonics Technology, Microfluidos - Tecnología fotónica de Innofocus. [Online]. [Accessed: December 03rd of 2023]. Available at: Available at: https://innofocus.com.au/es/microfluidic/ [URL] 🠔
  7. [7] Rubio, C. and Enfedaque, A., Una tecnología mejora la eficacia de los dispositivos de análisis de microfluidos, Tesis de grado. Universitat Autònoma de Barcelona - UAB, Barcelona, España. [Online]. [Accessed: December 03rd of 2023]. Available at: Available at: https://www.uab.cat/web/sala-de-prensa/detalle-noticia/una-tecnologia-innovadora-mejora-la-eficacia-de-los-dispositivos-de-analisis-de-microfluidos-1345667994339.html?noticiaid=1345702820392 [URL] 🠔
  8. [8] Choi, H.J., Lee, J.H., and Jeong, O.C., Pneumatically driven microfluidic platform for micro-particle concentration, Journal of Visualized Experiments, 2022(180), art. 63301, 2022. DOI: https://doi.org/10.3791/63301 [URL] 🠔
  9. [9] Pena-Oyarzún, C.E., Estudio de la influencia de la forma de sección de los microcanales en un disipador de calor, Tesis de Grado, Facultad de Ciencias Físicas y Matemáticas Departamento de Ingeniería Mecánica, Universidad de Chile, Santiago de Chile, Chile, 2021. 🠔
  10. [10] Garrido, A.L. and Pérez-Caballero, D.C., Fabricación con láseres ultrarrápidos de dispositivos microfluídicos, Tesis de Grado, Escuela Técnica Superior de Ingenieros Industriales, Universidad Politécnica de Madrid, Madrid, España, 2018, 76 P. 🠔
  11. [11] Barraza-Sandoval, M.B., Reducción de arrastre en superficies biomimeticas superhidrofóbicas vía impresión 3D, Tesis Dr., Facultad de Ciencias Físicas y Matemáticas, Universidad de Chile, Santiago de Chile, Chile, 2021, 106 P. 🠔
  12. [12] Academia Balderix, “▷ Desplazamiento (física). [online]. [Accessed: January 08th of 2024]. Available at: Available at: https://www.ingenierizando.com/cinematica/desplazamiento-fisica/ [URL] 🠔
  13. [13] Cuemath, Magnitude of a Vector - Formula, How to Find? Length of Vector. [Online]. [Accessed: January 08th of 2024]. Available at: Available at: https://www.cuemath.com/magnitude-of-a-vector-formula/ [URL] 🠔
  14. [14] Elizalde, E., Llenado capilar de microcanales y estructuras nanoporosas, Tesis Dr., Instituto de Física del Litoral, Facultad de Ingeniería Química, Universidad Nacional del Litoral, Santa Fe, Argentina, 2017, 166 P. 🠔
  15. [15] Sósol-Fernández, R.E., Marín-Lizárraga, V.M., Rosales-Cruzaley, B.H., y Lapizco-Encinas, B.H., Análisis de células en dispositivos microfluidicos, Revista Mexicana de Ingeniería Química, 11(2), pp. 227-248, 2012. [Online]. Available at: http://www.scielo.org.mx/scielo.php?script=sci_arttext&pid=S1665-27382012000200003&lng=es&nrm=iso [URL] 🠔
  16. [16] Rupp, F. et al., A review on the wettability of dental implant surfaces I: theoretical and experimental aspects, Acta Biomaterialia, 10(7), pp. 2894-2906, 2014. DOI: https://doi.org/10.1016/j.actbio.2014.02.040. [URL] 🠔
  17. [17] González-Suárez, A.M., Dispositivo microfluídico para la generación de una curva estándar de forma automática para un inmunoensayo, Tesis MSc., Centro de Investigación y de Estudios Avanzados del Instituto Politécnico Nacional, Unidad Monterrey, Monterrey, Mexico, 2015, 107 P. 🠔
  18. [18] Vilchis, P., Fabricación de un dispositivo microfluídico para el estudio de fluidos complejos, 2011. 🠔
  19. [19] s.a., Canales. Flujo en Superficie Libre, Departamento de Hidráulica e Hidrología Canales, Facultad de Ingeniería Civil, Universidad Nacional de Ingeniería, Lima, Perú, 2018. 🠔
  20. [20] Çengel, Y.A. and Cimbala, J.M., Fluid mechanics: fundamentals and applications, 2014, 300 P. 🠔
Esparza-Proaño, N., and Cabrera-Moreta, V.H., Determine velocity of fluid in curved micro channels fabricated with 3d printing (SLA). DYNA, 91(232), pp. 103-111, April - June, 2024
is a Mechanical Engineering student at the Universidad Politécnica Salesiana with a keen interest in microfluidics, actively participates in extracurricular activities. Dedicated to academic excellence and social responsibility, embodying the university values of integrity, empathy, and leadership. ORCID: 0009-0001-6273-3774
is principal professor at the Universidad Politécnica Salesiana brings over 8 years of educational expertise. Currently pursuing a PhD. in Mechanical, Fluidics, and Aeronautics at the Universidad Politécnica de Cataluña, Spain, focusing on mechanical design, innovation, entrepreneurship, and micro manufacturing expertise. ORCID: 0000-0001-9482-5705