DYNA
0012-7353
2346-2183
Universidad Nacional de Colombia
https://doi.org/10.15446/dyna.v91n233.113840

Recibido: 7 de abril de 2024; Revision Received: 26 de junio de 2024; Aceptado: 22 de julio de 2024

Optimization of the refined used lubricating oil/diesel mixture to incorporate it into drilling fluids

Optimización de la mezcla aceite lubricante usado refinado/diésel para incorporarlo en fluidos de perforación

J. Alvarez-Rivera, a G. Castañón-Nájera, a

Academic Division of Biological Sciences, Juarez Autonomous University of Tabasco, Mexico. abisenas@gmail.com, guillermo_corazon_valiente@hotmail.com Autonomous University of Tabasco Academic Division of Biological Sciences Juarez Autonomous University of Tabasco Mexico

Abstract

The use of refined used lubricating oils (RULO) is an opportunity for use for the industrial sector, improving the environment. The objective of the research was to evaluate different RULO/diesel mixtures from the AT80 and AT40C1 treatments. The experiment consisted of applying different proportions of RULO, forming five different mixtures between ALUR/diesel. The mixes were 85/15, 70/30, 55/45, 40/60 and 30/70. The results showed that the best mixtures were M4 and M5 of the AT80 treatment, with average density of 0.80 g/cm3, viscosity of 5.83 cP, electrical stability of 1694.33 V, flash point of 95°C and 96.67% oil. With these results, a new alternative and use is created, reducing diesel and economic costs for the oil industry that prepares oil-based drilling fluids.

Keywords:

drilling fluids, refining, rheology, reuse, used oil.

Resumen

El aprovechamiento de los aceites lubricantes usados refinados (ALUR), son una oportunidad de uso para el sector industrial, mejorando el medio ambiente. El objetivo de la investigación fue evaluar diferentes mezclas de ALUR/diesel a partir de los tratamientos AT80 y AT40C1. El experimento consistió en aplicar diferentes proporciones de ALUR, formando cinco mezclas diferentes entre el ALUR/diésel. Las mezclas fueron 85/15, 70/30, 55/45, 40/60 y 30/70. Los resultados mostraron que las mejores mezclas fueron M4 y M5 del tratamiento AT80, con promedios de densidad de 0.80 g/cm3, viscosidad de 5.83 cP, estabilidad eléctrica de 1694.33 V, punto de inflamación de 95°C y 96.67% de aceite. Con estos resultados se crea una nueva alternativa y aprovechamiento, disminuyendo el diésel y los costos económicos a la industria petrolera que prepara fluidos de perforación base aceite.

Palabras clave:

refinación, aceite usado, reología, fluidos de perforación, reutilización.

1. Introduction

The refining techniques for used lubricating oils (ULO) developed in the world are a good strategy for using them and reducing the environmental impact they represent. As the essential oil market has grown considerably, the waste stream has also increased significantly [1]. According to [2], the management of used lubricating oil is important for the sustainability of resources, including crude oil, and better economic, social and environmental benefits. Used lubricating oils contain Chromium (Cr), Cadmium (Cd), Arsenic (As) and Lead (Pb) and other harmful chemical compounds, such as polynuclear aromatic hydrocarbons, benzene and chlorine [3]. According to [4], globally, since 2015, lubricating oil consumption averaged 35 million tons per year.

For economic reasons, recycling used lubricating oil is more convenient, which is why there are several reuse methods (filtration, distillation, Extraction, Cracking, co-cooking, pyrolysis, etc.) for the treatment of used lubricating oils; that according [5], can be presented as pyrolytic distillation, extraction and distillation with liquid propane, solvent extraction and filtration with different types of clays [6].

According to [7], many researchers have successfully worked on generating energy from several alternative sources, such as converting some renewable agricultural substances into fuel. According to [8], the need to find a renewable lubricant that is safe, environmentally friendly, economical and that meets the lubrication standards of the drilling industry becomes imperative. The use of the appropriate drilling fluid is a crucial part of any successful drilling operation [9]. These drilling fluids are water-based muds, oil-based muds and/or synthetic-based muds [10].

In recent years, the development of oil-based drilling fluids has increasingly attracted attention, particularly for situations where water-based drilling fluids are ineffective [11]. Oil-based muds are used for many reasons, some of which are the ability to withstand higher heat without decomposing and environmental cost considerations [10]. The objectives of the drilling are to achieve safely, in the shortest time and at the lowest cost, with the restrictions of additional evaluation and sampling required dictated by the particular application [12].

Currently, the attention of researchers has been directed towards oils generated from vegetable crops, taking great importance. However, according to [13], the available biolubricants, the vegetable oil polyols prove to be the most suitable lubricants for many drilling conditions, although their application is still very limited. The temperature, pressure, depth and formation evaluation procedure to be used, the environmental and ecological impact, costs, are some of the main factors to consider in the preparation of drilling fluids [14]. For this, different oils have been used, such as those extracted from rubber plants [15], from the seeds of the white star apple (Chrysophyllum albidum) [8]. The disadvantage of these types of oils is directed towards the volume needed by the oil sector industries, which is not possible to obtain; On the other hand, there is a very high volume in the generation of used lubricating oils [16], which, when refined, could extend their life cycle in the environment, or use them for the preparation of oil-based drilling fluids [17].

The present study was carried out from refining through two treatments, AT80 and AT40C1 to optimize the mixture RULO/diesel. As well as the opportunity to use them as an alternative in the formulation of oil-based drilling fluids. The above, with the aim of improving its rheological characteristics, and comparing them with the diesel reference values, in order to evaluate its efficiency in the parameters: density, viscosity, electrical stability and flashpoint, and use them in the formulation of drilling fluids base oil.

2. Materials and methods

The refined used lubricating oils (RULO) used in this study were collected in different automotive service workshops, until a batch of 200 L was collected in each of them. After collection, the oil was deposited in a metal container (drum) with a capacity of the collected volume (200 L).

The experiment was established in a completely randomized design with a factorial arrangement, the factors studied were: the RULO (AT80 and AT40C1) and the proportion of diesel at five levels, and three repetitions. The witness did not receive any of the treatments tested. Once the assumptions of normality of the resulting data, parametric tests were performed for the data that met this and non-parametric tests for those that did not (ANOVA or Kruskal-Wallis tests respectively). As post-hoc tests, multiple rank contrasts were applied by Fisher's method (LSD) for normal data and Bonferroni's multiple rank contrast test for those that did not comply with normality.

The parameters to be evaluated were established based on the oil quality requirements for use in the formulation of oil-based drilling cuttings, which are: oil, water and solids content per retort, density, viscosity, electrical stability, point of inflammation. The proportions of refined used lubricating oil (RULO) were: 85, 70, 55, 40 and 30%. The proportions of diesel are: 15, 30, 45, 60, 70%. The evaluated mixtures are shown in Table 1.

Table 1: Mixture proportions between refined oil and diesel in each treatment.

Proportion
Treatments Rulo (%) Diesel (%)
Untreated oil
Refined oil 100 0
M1_AT80 85 15
M2_AT80 70 30
M3_AT80 55 45
M4_AT80 40 60
M5_AT80 30 70
Refined oil 100 0
M1_AT40C1 85 15
M2_AT40C1 70 30
M3_AT40C1 55 45
M4_AT40C1 40 60
M5_AT40C1 30 70

Source: Prepared by the author

2.1. Sample analysis

Table 2 shows the analyzes and methods that were carried out for each of the RULO refining treatments evaluated in the present study.

Table 2: Parameters analyzed in the simples of each proposed refining treatment.

Parameter Units References
% Oil retort mass % API RP 13B2
% Water retort mass % API RP 13B2
% Retort solids mass % API RP 13B2
Density gm c-g3 ASTM-D743
Viscosity cP
Electrical stability Volts
Flashpoint O C ASTM D93-2000

Source: Prepared by the author

2.2. Analysis of moisture, solids and oil content by the API RP 13B2 method

To carry out the analysis, an Ofi Testing Equipment Inc. (OFITE®) complete kit brand evaporation chamber (retort) was used, filled with number 0 steel wool to trap the solids extracted by boiling 10 mL of the sample.

The drainage tube was introduced into the hole at the lower end of the condenser and the 10 mL test tube was placed under it and an approximate time of 15 minutes was left until the distillation finished at 560 °C.

2.3. Density analysis

The ASTM-D854 method was suitable for measuring the density of oil samples. The analysis consisted of weighing an empty 10 mL test tube, later it was filled with the oil sample up to 10 mL and its mass was quantified. By difference in weight, the mass of the oil was obtained and with the known volume the density of the sample was calculated. The analysis was carried out at a temperature of 28 °C.

2.4. Viscosity analysis at 300 RPM

A Model 800 viscometer (Ofi Testing Equipment, Inc) was used. The team determines the flow characteristics of oils in terms of speed and tension.

All oil samples were analyzed at 300 revolutions per minute (RPM) at a temperature of 28°C. The oil samples were deposited in the stainless-steel cup in which the rotor was introduced. The flow and stress reading exerted by the ULO samples was taken using the magnified dial.

2.5. Electrical stability analysis

The analysis was carried out with an Ofi Testing Equipment, Inc. brand equipment, model ESM-30B with serial No. 2801. The electrical stability meter automatically applies increasing voltage (0 to 2000 volts) through a separation of the probe electrodes. This equipment shows the voltage of the current flowing in the oil sample. The equipment reading represents the stability of the oil, the higher it is, the greater the stability of the sample and it is represented in volts.

2.6. Flash Point Analysis

The determination of this parameter was carried out with a Koehler brand open cup equipment. The analysis consisted of filling the cup with the homogenized sample, the cover was placed on the cup, and then the test flame was lit, the cover was placed along with the cup in the equipment, then the equipment was turned on and it was conducted the measurement of the flash point, and finally the temperature.

3. Results

Fig. 1 presents the density results of the AT80 and AT40C1 treatments in the 5 mixtures of RULO/Diesel and the control sample (untreated oil).

Comparison of density results of refined ULO/Diesel mixtures. Different letters indicate statistically significant differences (Kruskal-Wallis + Bonferroni p< 0.05).

Figure 1: Comparison of density results of refined ULO/Diesel mixtures. Different letters indicate statistically significant differences (Kruskal-Wallis + Bonferroni p< 0.05).

Source: Prepared by the author

The density of the AT80 treatments (refined oil, applying only temperature) was 0.84 g/cm3 and AT40C1 (oil refined with sulfuric acid and nonylphenol) was 0.87 g/cm3, being below the control which was 0.89 g/cm3. Although the two treatments showed a better density compared to the control, AT80 is still the best treatment.

From mixture M1 to M4 in the AT80 treatment, the density values decreased, starting from 0.84 g/cm3, up to 0.80 g/cm3, being slightly above the density of diesel which is 0.78 g/cm3.

The density values in the AT40C1 treatment were from highest to lowest in the mixtures, starting with 0.85 g/cm3 in the M1 mixture until reaching a density of 0.81 g/cm3 in the M4 mixture. It is observed that the M5 mixtures of the AT80 and AT40C1 treatments showed similar behavior. However, they were not considered in the central tendency lines, because by adding more diesel to the RULO, the values will be the same as what it presents.

The mixtures M4 and M5 of the AT80 and AT40C1 treatments presented a lower average density with 0.80 g/cm3, but this did not have statistically significant differences (P>0.95) with the density of the diesel.

3.1. Viscosity of the RULO/Diesel mixture

The viscosity results of the RULO/Diesel mixtures in the 2 treatments are shown in Fig. 2.

Comparison of viscosity results for refined ULO/Diesel mixtures. Different letters indicate statistically significant differences (Kruskal-Wallis + Bonferroni p<0.05).

Figure 2: Comparison of viscosity results for refined ULO/Diesel mixtures. Different letters indicate statistically significant differences (Kruskal-Wallis + Bonferroni p<0.05).

Source: Prepared by the author

The refined oil from the AT80 treatment presented a viscosity value of 116 cP, which is slightly below the untreated oil that showed a viscosity of 117.67 cP and exceeded the viscosity of diesel which was 2.83 cP.

The viscosity of the refined oil from the AT40C1 treatment was 104.3 cP, a value somewhat higher than that obtained in the untreated oil which was 102.67 cP but higher than the value of the diesel which was 2.83 cP.

The viscosities of the mixtures of the AT80 and AT40C1 treatments were in the order of 50.33 cP and decreased to 5.83 cP. The two treatments presented similar viscosities in the mixtures made, being below the RULO. A direct effect is observed on the viscosity, as the proportion of diesel over the RULO increases, it decreases to 5.83 cP in the M5 mixture of the AT80 treatment, being slightly above the value of diesel, which is 2.83 cP. This same behavior was shown in the M5 mixture of the AT40C1 treatment, having a viscosity of 6.17 cP.

The M5 mixture of the AT80 and AT40C1 treatments presented slightly higher average viscosity with 5.83 cP, but this did not have statistically significant differences (P>0.95) with the viscosity of diesel.

3.2. Electrical stability of the RULO/Diesel mixture

In Fig. 3, it can be observed that the electrical stability in the untreated oil was 1147 V, being low compared to the data presented in the RULO of the AT80 treatment, which was 1697.67 V and that of the diesel which was of 1822.33 V.

Comparison of the electrical stability results of the RULO/Diesel mixtures. Different letters indicate statistically significant differences (Kruskal-Wallis + Bonferroni p<0.05).

Figure 3: Comparison of the electrical stability results of the RULO/Diesel mixtures. Different letters indicate statistically significant differences (Kruskal-Wallis + Bonferroni p<0.05).

Source: Prepared by the author

The electrical stability of the refined oil in the AT40C1 treatment was 291.33 V, well below the untreated oil which was 1076.67 V and the diesel which was 1822.33 V.

This same behavior was observed in the AT40C1 treatment mixtures, starting with a value of 153.33 °C in the M1 mixture and ending at 88.33 °C which is equal to the result of diesel which was 88.33 °C.

The mixtures of the AT80 and AT40C1 treatments presented similar average flashpoints, starting in a range of 153.33 to 88.33 °C with statistically significant differences (P>0.95) with the flashpoint of diesel.

The M1 mixture of the AT80 treatment has an electrical stability of 1536 V, being slightly above the value of the M2 mixture, which was 1521.67 V. The M3 mixture increased considerably, reaching 1874 V, being above the value obtained from the diesel, which was 1822.33 V. The M4 and M5 mixtures had a decreasing trend with a value of 1748.33 and 1694.33 V, being below the value of diesel.

In the AT40C1 treatment, from mixture M1 to M5 there was a trend of decrease in electrical stability, in a range from 233 V to 150.67. These values were below the diesel value, which was 1822.33 V.

In terms of mixes, the best value is presented by M3; and with respect to the best treatment, the best results were obtained by AT80. The M3 mixture of the AT80 treatment presented a higher average electrical stability with 1874 V, having a statistically significant difference (P>0.95) with the value of diesel.

The mixtures of the AT40C1 treatment presented similar averages of electrical stability in the order of 233 to 150.67 V, with statistically significant differences (P>0.95) with the electrical stability of diesel.

3.3. Flash point of the RULO/Diesel mixture

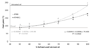
Fig. 4 shows the flashpoint results of the RULO and diesel mixtures made in the treatments and of the untreated oil.

Comparison of flashpoint results for refined ULO/Diesel mixtures. Different letters indicate statistically significant differences (Kruskal-Wallis + Bonferroni p<0.05).

Figure 4: Comparison of flashpoint results for refined ULO/Diesel mixtures. Different letters indicate statistically significant differences (Kruskal-Wallis + Bonferroni p<0.05).

Source: Prepared by the author

The flashpoint (point at which the material ignites) in the untreated oil of the AT80 treatment has an average of 231.37 °C. This result is above the value presented by the untreated oil of the AT40C1 treatment, which was 226.67 °C.

The refined oil from the AT80 treatment obtained a flashpoint of 236.67 °C, higher than that presented by the RULO from the AT40C1 treatment, which was 178.33 °C. The flashpoint results went from high to low, as the proportion of diesel increased in the mixtures of the AT80 and AT40C1 treatments.

In the AT80 treatment mixtures, it started at 163.33 °C in the M1 mixture, and ended at 95 °C in the M5 mixture, being slightly above the diesel value which was 88.33 °C.

3.4. Percentage of solids, oil and humidity of the RULO/Diesel mixture

Fig. 5 shows the results found of the percentages (%) of solids, humidity and oil of the RULO and diesel mixtures of the AT80 and AT40C1 treatments, in addition, the value of untreated oil and refined oil is included as a reference.

Behavior of the percentage (%) of solids, oil and in the different treatments evaluated.

Figure 5: Behavior of the percentage (%) of solids, oil and in the different treatments evaluated.

Source: Prepared by the author

The RULO from the AT80 treatment had a solids content of 6.50%, with 2.33% humidity, and 91.17% oil. The RULO from the AT40C1 treatment had a solids content of 5.67%, with 5.33% humidity, and 89 % of oil. Based on the results obtained, the best treatment was AT80. But the results found were far below those obtained in the untreated oil from the AT80 and AT40C1 treatments, which were 12% humidity, 75% oil and 13% solids.

The mixtures of the AT80 treatment presented zero humidity, increasing the percentage of oils in the range of 91.33% to 96.67%. The solids were in the order of 3.33% to 8.67%, with mixture M3 being the one with the highest percentage of solids.

In the AT40C1 treatment, the mixtures presented humidity percentages ranging from 0 to 2%. The oil results were from 88.33% to 97.67%, while the solids results were from 2.33 to 10.67%, with mixture M1 being the one that presented the highest oil percentage value.

The percentages of moisture, oil and solids found in the mixtures of the AT80 and AT40C1 treatments were higher than those found in the diesel.

4. Discussion

The density results of mixtures M4 and M5 of the AT80 and AT40C1 treatment are the lowest. However, the mixtures M4 and M5 of the AT80 treatment were the best, having density averages below those obtained in the mixtures M4 and M5 of the AT40C1 treatment and slightly above the density presented by the diesel, which was 0.78 g/ cm3, a value lower than that obtained by [18] which was 0.83 g/cm3 in a diesel.

In their study [8], they reported densities in vegetable biodiesel that range between 0.85 g/cm3 to 0.91 g/cm3, values that were higher than those obtained in the mixture M4 and M5 of the AT80 treatment, which were 0.84 g/cm3, up to 0.80 g/cm3. In another investigation [1] reported density of diesel mixtures with vegetable oils in the order of 0.85 to 0.86 g/cm3 values that were higher than those found in the mixtures of the AT80 and AT40C1 treatments, results that were also below the found by [19] in a mixture of lubricating oil with an additive composed of zinc that was 0.88 g/cm3.

With respect to viscosity, the mixtures of each of the AT80 and AT40C1 treatments showed a decrease as the proportion of diesel in the mixtures with RULO increased, starting with values of 50.33 cP to 5.83 cP, slightly above the viscosity of the diesel which was 2.83 cP. These results were below those reported by [12] with 65 cP in oil-based drilling fluids. In their research [7], they found viscosity values in mixtures of diesel and sesame oil from 3.28 cP to 4.34 cP, and while [20], they obtained values of 1.93 cP in mixtures of diesel with biodiesel and ethanol, values lower than those found in the mixtures of the AT80 and AT40C1 treatments of the present investigation. The flash point in the AT80 and AT40C1 treatment mixtures showed a decrease in the M1 mixture from 163.33 °C to 88.33 °C in the M5 mixture, as the proportion of diesel increased. These results were above those obtained by [21] who obtained a flash point at 57 °C in a mixture made with lubricating oil and diesel; while [19] found it at 210 °C in a mixture of lubricating oil and a zinc additive, above those found in this study. In the research carried out by [12], the aforementioned authors mention that the flash point of a base oil for drilling fluids is 66 °C, and of a biodiesel at 160 °C [22], being below those found in this research.

In the electrical stability results, a considerable increase is observed from the M3 mixture with a maximum value of 1874 V, being above the diesel, which was 1822.33 V, decreasing slightly from the M4 and M5 mixtures with a value of 1748.33 V and 1694.33 V. These values represent greater electrical stability than those found by [10] with values of 480 V, the same as [23], which was 610 V in drilling muds, lower values than those obtained in this studio. In their research [11], they mention that by increasing the additives in the drilling fluids, electrical stability was obtained in a range of 731 V to 1054 V, while [12] mention that in a basic oil for drilling fluids, the electrical stability must be above 400 V, results that are still below those found in this work.

The percentage of solids, humidity and oil were lower in the RULO of the AT80 and AT40C1 treatments. The M4, M5 mixtures of the AT80 and AT40C1 treatments showed considerable benefits, obtaining the best results in the order of 96.63% to 97.33% of recovered oil.

5. Conclusions

The AT80 and AT40C1 treatments applied to used lubricating oils improved their quality, the best values were obtained for the AT80 treatment. Although these results could be supported with future studies on these same tests.

The proportion of diesel in the different RULO mixtures had a direct effect on its properties, influencing the results.

The M4 mixture of the AT80 treatment in a proportion of 40% RULO and 60% diesel, turned out to be the best in this study, obtaining values similar to those presented by diesel. Results that are very encouraging to be able to venture into the preparation of oil-based drilling fluids.

From a technical, economic and environmental point of view, this creates a new alternative, reducing the environmental impact that these wastes represent. This new use would lengthen the life cycle of this waste, using less diesel and reducing the economic cost to oil companies that are dedicated to the preparation of oil-based drilling fluids.

Referencias

  1. [1] Nabi, M.N., Rasul, M.G., Rahman, S.M.A., Ristovski, Z.D., Brown, R.J., and Dowell, A., Study of performance, combustion and emission characteristics of a common rail diesel engine with tea tree oil-diglyme blends. Energy. 180, pp. 216-228, 2019. DOI: https://doi.org/10.1016/j.energy.2019.05.070 [URL] 🠔
  2. [2] Dudak, L., Milisavljevic S., Jocanovic M., Kiss F., Ševic D., Karanovic V., and Orošnjak M., Life cycle assessment of different waste lubrication oil management options in Serbia. Applied sciences. 11, art. 6652, 2021. DOI: https://doi.org/10.3390/app11146652 [URL] 🠔
  3. [3] Sánchez-Alvarracín, C., Criollo-Bravo, J., Albuja-Arias, D., García-Ávila, F., and Pelaez-Samaniego, M.R., Characterization of used lubricant oil in a Latin-American medium-size city and analysis of options for its regeneration. Recycling. 6(10), pp 2-22, 2021. 🠔
  4. [4] Tsambe, M.Z.A., de Almeida, C.F.; Ugaya, C.M.L., de Abreu-Cybis, L.F., Application of life cycle sustainability assessment to used lubricant oil management in South Brazilian region. Sustainability. 13. (13583), pp 2-16, 2021. DOI: https://doi.org/10.3390/su132413583 [URL] 🠔
  5. [5] Naife, T.M., Rashid, S.A., and Abdul, J.M.F., Treatment of used lubricant oil by solvent extraction. Iraqi Journal of Chemical and Petroleum Engineering. 23(1), pp 43-50, 2022. DOI: https://doi.org/10.31699/IJCPE.2022.1.6 [URL] 🠔
  6. [6] Tan, H.L., Azmi, N.N. Veny, H., Lim, Y.P., and Passarella, R., A comparative study on treatment for recycling of waste lubricating oil. Malaysian Journal of Chemical Engineering & Technology. 5(1), pp 43-53, 2022. DOI: https://doi.org/10.24191/mjcet.v5i1.15726 [URL] 🠔
  7. [7] Emima, Y., Rajesh, M., and Kuchipudi, S.R., Experimental investigation on performance and exhaust emission characteristics of diesel engine using sesame blends with diesel and additive. International Journal of Recent Technology and Engineering. 8(1S3), Pp 6-11, 2019. 🠔
  8. [8] Igbafe, S., Azuokwu, A.A., and A.I. Igbafe, A.I., Production and characterization of chrysophyllum albidum seed oil derived bio-lubricant for the formulation of oil-based drilling mud. Journal of Biotechnology and Biochemistry. 6(2), pp 27-32, 2020. DOI: https://doi.org/10.9790/264X-0602012732 [URL] 🠔
  9. [9] Murtaza, M., Alarifi, S.A., Kamal, M.S., Onaizi, S.A., Al-Ajmi, M., and Mahmoud, M., Experimental investigation of the rheological behavior of an oil-based drilling fluid with rheology modifier and oil wetter additives. Molecules. 26(4877), pp 2-16, 2021. DOI: https://doi.org/10.3390/molecules26164877 [URL] 🠔
  10. [10] Oghenejoboh, K.M., Ohimor E.O., and Olayebi, O., Application of re-refined used lubricating oil as base oil for the formulation of oil based drilling mud - A comparative study. Journal of Petroleum Technology and Alternative Fuels. 4(4), pp. 78-84, 2013. 🠔
  11. [11] Wu-Juan, S., Guo-Qing, T., Hang-Juan H., Guo-Min, L., Cong-Yu, K., Jun-Feng, H., and Xun-Li, Z ., Synthesis and caracterization of a multifunctional oil-based drilling fluid additive. Environmental Earth Sciences. 77(793), pp 2-8, 2018. DOI: https://doi.org/10.1007/s12665-018-7982-5. [URL] 🠔
  12. [12] Ahmed, W.A., and Kalkan, E., Drilling fluids. Types, formation choice and environmental impact. International Journal of Latest Technology in Engineering, Management & Applied Science. VIII(XII), pp 66-71, 2019. 🠔
  13. [13] Kania, D., Yunus, R., Omar, R., Rashid, S.A., and Jan, B.M., A review of biolubricants in drilling fluids: recent research, performance, and applications. Journal of Petroleum Science and Engineering 135(2015), 177-184, 2015. DOI: https://doi.org/10.1016/j.petrol.2015.09.021 [URL] 🠔
  14. [14] Arbad, N., and Teodoriu, C., A review of recent research on contamination of oil well cement with oil-based drilling fluid and the need of new and accurate correlations. Chemestry Engineering. 4(28), pp 2-20, 2020. DOI: https://doi.org/10.3390/chemengineering4020028 [URL] 🠔
  15. [15] Destiny, A.J., and Amanze, F.C., Performance of rubber seed oil as an alternative to diesel in oil- based drilling mud formulation. International Journal of Advances in Applied Sciences. 10(1), pp. 47-592021. DOI: https://doi.org/10.11591/ijaas.v10.i1 [URL] 🠔
  16. [16] Alvarez-Rivera, J.A., Castañón-Nájera, G., Urrieta-Saltijeral, J.M., Laínes-Canepa, J.R., Hernández-Barajas, J.R., Pampillón-González, L., and Morales-Bautista, C.M., Handling of used lubricating oil in Tabasco, Mexico. DYNA, 89(223), pp. 121-126, 2022. DOI: https://doi.org/10.15446/dyna.v89n221.101484 [URL] 🠔
  17. [17] Alvarez-Rivera, J.A., Castañón-Nájera, G., Urrieta-Saltijeral, J.M., Laínes-Canepa, J.R., Hernández-Barajas, J.R., Pampillón-González, L., and Morales-Bautista, C.M., Refining used lubricant oils with different concentration levels of sulfuric acid and nonylphenol. Tribology in Industry 45(1), pp 168-177. 2023. DOI: https://doi.org/10.24874/ti.1411.11.22.03 [URL] 🠔
  18. [18] Tuccar, G., Tosun, E., and Uludamar, E., Investigations of effects of density and viscosity of diesel and biodiesel fuels on NOx and other Emission Formations. Academic Platform Journal of Engineering and Science. 6(2), pp 81-85, 2018. 🠔
  19. [19] Pardo-García, C., Orjuela-Abril, S., and Pabón-León, J., Investigation of emission characteristics and lubrication oil properties in a dual diesel-hydrogen internal combustion engine. Lubricants. 10(59), pp. 2-15, 2022. DOI: https://doi.org/10.3390/lubricants10040059 [URL] 🠔
  20. [20] Kurre, S.K., Pandey, S., Khatri, N., Bhurat, S.S., Kumawat, S.K., Saxena, S., and Kumar, S., Study of lubricating oil degradation of CI engine fueled with diesel-ethanol blend. Tribology in Industry . 43(2), pp 222-223, 2021. DOI: https://doi.org/10.24874/ti.913.06.20.11 [URL] 🠔
  21. [21] Naima, K., and Liazid, A., Waste oils as alternative fuel for diesel engine: a review. Journal of Petroleum Technology and Alternative Fuels . 4(3), pp. 30-43, 2013. DOI: https://doi.org/10.5897/JPTAF12.026 [URL] 🠔
  22. [22] Soomro, S.A., and Brohi, K.M., Effect of Synthesized biodiesel on the rheological properties of oil based drilling mud. Engineering Science and Technology International Research Journal, 4(1), pp. 28-33, 2020. 🠔
  23. [23] Błaz, S., Zima, G., Jasin ́ski, B., and Kremieniewski, M., Invert drilling fluids with high internal phase content. Energies. 14(4532), pp 2-14, 2021. DOI: https://doi.org/10.3390/en14154532. [URL] 🠔
: Alvarez-Rivera, J.A., and Castañón-Nájera, G., Optimization of the refined used lubricating Oil/Diesel, mixture to incorporate it into drilling fluids. DYNA, 91(233), pp. 52-57, July - September, 2024.
, is BSc. In Ecology in 1998, MSc.in Environmental Sciences, in 2008. He stayed at the Faculty of Geochemistry of the Universidad Central de Venezuela, Caracas-Venezuela. Currently, he is a Professor in the Academic Division of Biological Sciences at the Universidad Juarez Autonoma de Tabasco-Mexico. M Sc. Abisenas has conducted research focused on soil contamination, the remediation of soil contaminated by hydrocarbons, the refining of used lubricating oils, and the management of hazardous waste from the automotive and industrial sectors. He has participated in international conferences that have been held in Havana, Cuba. In 2023 he obtained his Doctor of Science Degree in Ecology and Management of Tropical Systems. ORCID: 0000-0002-0786 2610
, was born in Francisco I. Madero, Coahuila, Mexico. Is a BSc. in Plant Science in 1977, MSc. in Plant Breeding in 1981 and the PhD. in Genetics in 1991, the first two at the Universidad Autonoma Agraria Antonio Narro, Saltillo, Coahuila, Mexico. From 1978 to 1979 he worked at the Mexican Company Ciba-Geigy in the Production of Corn and Sorghum Seeds, from 1982 to1999 he worked at INIFAP, in 2000 at ITConkal, and in 2001 in the Academic Division of Biological Sciences, he is a Full Professor of Biology and Genomics in the Universidad Juarez Autonoma de Tabasco Villahermosa, Tabasco, Mexico. ORCID: 0000-0001-8901-0421