DYNA
0012-7353
Universidad Nacional de Colombia
https://doi.org/10.15446/dyna.v84n201.57060

Recibido: 19 de abril de 2016; Revision Received: 29 de enero de 2016; Aceptado: 25 de marzo de 2017

Aplicación de reconocimiento de patrones para identificar la semejanza entre medicamentos teniendo en cuenta las reacciones adversas

Application of pattern recognition to identify the similarity between drugs taking into account adverse reactions

A. Arencibia-Morales, a J. Febles-Rodríguez, a Y. Frómeta-Moreno, a

Universidad de las Ciencias Informáticas, La Habana, Cuba. aarencibia@uci.cu, febles@uci.cu, yfrometa@uci.cu Universidad de las Ciencias Informáticas Universidad de las Ciencias Informáticas La Habana Cuba

Resumen

Los medicamentos son muy utilizados en el mundo actual, estos pueden causar alguna reacción adversa a medicamentos (RAM); al manifestarse en un paciente, el personal facultativo debe ser capaz de cambiar el medicamento por un sustituto con igual efectividad sobre la enfermedad. Esta tarea se realiza de forma manual, consultando el Formulario Nacional de Medicamentos, que no cuenta con la semejanza entre los medicamentos. Para poder identificarlas se utilizaron técnicas de Reconocimiento de Patrones, se agruparon los medicamentos según la RAM que causan, mediante el algoritmo de LC-Conceptual. Esta técnica permite conocer la semejanza que posee el medicamento causante de la RAM con el conjunto de medicamentos suplentes, atendiendo a la RAM que causan, facilitando la prescripción de los mismos.

Palabras clave :

reacción adversa a medicamentos, reconocimiento de patrones, semejanza.

Abstract

The drugs are widely used today, they can cause some adverse drug reaction (ADR); to manifest in a patient, medical personnel should be capable of change the drug for a substitute with equal effectiveness on the disease. This task is performed manually, consulting the National Drugs Formulary, which has no similarity between drugs. To identify these similarities, Pattern Recognition techniques were used, the drugs were grouped by RAM that they cause, by LC-Conceptual algorithm. This technique allows to know the similarity between the causative drug RAM and the set of alternate drugs, attending the RAM that they cause, facilitating the prescription of them.

Keywords :

adverse drug reaction, pattern recognition, similarity.

1. Introducción

Todos los seres humanos enferman en algún momento de su vida y los medicamentos constituyen la herramienta terapéutica más utilizada para su curación. La Organización Mundial de Salud (OMS), establece que las palabras fármaco y medicamento son sinónimos y los define como: cualquier sustancia, presente en un producto farmacéutico, que se utiliza para explorar o modificar aparatos fisiológicos o enfermedades, en beneficio del receptor [1].

Estudios en la Farmacovigilancia, revelan que el uso de los medicamentos y sus consecuencias, cuestan millones de dólares al año y figuran entre las diez causas principales de defunción en todo el mundo. Las RAM afectan a personas de todos los países. En algunos casos, los costos asociados a estas sobrepasan el precio de los medicamentos utilizados en los tratamientos de los pacientes. Al menos un 60% de RAM son evitables. [2]

Anticiparse a quién puede sufrir una RAM, cuándo y qué medicamento la causa; es una dificultad, porque no existe un grupo de pacientes con similares características que indiquen la ocurrencia de una RAM. Las investigaciones realizadas no han identificado un predecesor válido de estos eventos. Actualmente las características de los pacientes no son útiles predictores de las RAM, debido a que no existe un grupo homogéneo de pacientes que padezcan de reacciones adversas.

Cuba, es uno de los países que pone en práctica el Programa Internacional de Farmacovigilancia. El desarrollo del mismo, ha permitido detectar una elevada tasa de reacciones adversas a medicamentos (de siete mil a diez mil casos anuales), con más de seiscientas asociaciones de fármaco-reacción por millón de habitantes.

A través de los años, con el uso del Programa Internacional de Farmacovigilancia, se ha perfeccionado la detección y el análisis de los efectos adversos, aumentando el registro de efectos adversos moderados y graves, que generalmente requieren atención de urgencia y/o ingreso hospitalario.

La vigilancia de las RAM es vital, pues provocan un impacto negativo en la evolución clínica de los pacientes y el aumento de los costos por tratamiento de patologías. Los médicos de todo el mundo, con el fin de reducir el índice de ocurrencia de las RAM, han extendido su labor fuera de sus puestos de trabajo. Estos realizan campañas publicitarias, imparten consultas docentes e inclusive participan en programas de televisión. [3]

Los médicos cubanos han formado parte activa en el seguimiento de las RAM y han creado una estrategia para promover el uso racional de medicamentos, dirigida a la población y profesionales de la salud a nivel nacional. Los médicos han participado en actividades de educación, promoción y divulgación a partir programas en medios audiovisuales (radio y televisión), propagandas gráficas, audiencias y charlas educativas, además de actividades de promoción de salud, dirigidas a embarazadas, población pediátrica y a los adultos mayores, que tienen más riesgo de sufrir una RAM. Ejemplo de lo anterior expuesto son los programas televisivos:

  • Dosis exacta

  • Hablemos de salud

  • Vivir 120

Estos informan a la población sobre causas de enfermedades, la manera de prevenirlas, la utilización inadecuada de los fármacos, así como sus reacciones adversas y los riesgos que se corren por tomarlos sin acudir previamente al médico. La creación de este tipo de programas y espacios educativos, se facilita con el creciente desarrollo tecnológico que vive el mundo actual.

Este desarrollo ha propiciado la ocurrencia de cambios en la forma de actuar y de pensar en la sociedad, reflejándose en el auge cada vez mayor del uso y aplicación de las Tecnologías de la Información y las Comunicaciones (TIC) en los hospitales, policlínicos y centros especializados de la salud, por medio de los especialistas de las diferentes disciplinas de la medicina en Cuba. La inserción de las TIC en el campo de la salud, no es suficiente para evitar que la población cubana, como cualquier otra comunidad internacional, sufra casos de RAM.

Con este objetivo los profesionales cubanos en el campo de la informática, han desarrollado sistemas que apoyan al médico en la toma de decisiones en el momento de prescribir un medicamento a un paciente. Entre los sistemas desarrollados se encuentra:

  • Sistema de recogida de Reacciones Adversas a Medicamentos en Cuba: este sistema se encarga de registrar la información referente a las RAM ocurridas en Cuba.[4]

  • Sistema Basado en Casos, que permite la predicción de la ocurrencia de las Reacciones Adversas a Medicamentos en los pacientes, según su patología, desde la consulta médica. Este sistema es capaz de predecir y comunicar al médico la posible ocurrencia de una RAM, tomando como referencia la comparación entre los medicamentos prescritos en el momento de la consulta y basándose en casos similares previamente ocurridos. [5]

  • Sistema Basado en Reglas, el sistema presenta una lista de reglas de medicamentos y las posibles Reacciones Adversas a Medicamentos que pudiera causar la interacción entre los mismos.

  • Estos sistemas le permiten al médico:

  • Registrar en un sistema informático las RAM que detecta en consulta médica, de forma rápida y segura.

  • Comparar el caso que tiene en consulta con casos similares, detectando posibles RAM, teniendo en cuenta algunos valores importantes de los pacientes.

  • Conocer reglas de medicamentos que no pueden interactuar entre sí.

A pesar del esfuerzo de los informáticos cubanos, los médicos todavía presentan dificultades a la hora de prescribir un medicamento. Cuando un paciente llega a una consulta sufriendo una RAM, ocasionada por el consumo de un medicamento prescrito, el médico debe ser capaz de cambiar el medicamento que le ocasiona la RAM por un sustituto con igual o mejor efectividad sobre la enfermedad. Para que este proceso sea desarrollado con éxito, el personal facultativo debe conocer la semejanza que posee el medicamento causante de la reacción adversa con el conjunto de medicamentos suplentes atendiendo a las RAM que causan. En estos momentos, no existe a disposición del personal facultativo ninguna fuente en la cual puedan apoyarse para obtener los resultados de semejanza entre medicamentos según RAM.

Para dicha actividad se apoyan en un libro que se titula: Formulario Nacional de Medicamentos (FNM)[6], mayormente en su versión en formato duro. El FNM es un libro que cuenta con un total de 821 páginas y 28 grupos farmacológicos, cada uno con un conjunto extenso de medicamentos, pero:

  • Los médicos, no siempre cuentan con la última versión del FNM; además de no poderlo consultar en todo momento.

  • Muchas veces los médicos que están en las consultas no tienen la suficiente experiencia práctica para realizar este tipo de operación, con los mejores resultados.

  • El FNM es un libro extenso escrito en lenguaje natural que el médico debe interpretar para poder realizar un cambio de medicamento.

El FNM no contiene la relación de semejanzas existentes entre los medicamentos teniendo en cuenta sus reacciones adversas. La búsqueda de la información en el FNM resulta compleja, se encuentra dispersa y no es del todo concisa, haciendo el trabajo del médico engorroso, lento y no completamente confiable, teniendo en cuenta la gran cantidad de medicamentos existentes.

Por ello en ocasiones la decisión tomada no es la más acertada ocasionando que el nuevo medicamento suministrado:

  • Mantenga la RAM.

  • Provoque una nueva RAM (ocasionando complicaciones más graves y en algunos casos hasta la muerte).

2. Análisis de las técnicas a utilizar

Para el desarrollo de la investigación se realizó un análisis de qué técnica de Inteligencia Artificial se podría usar para darle solución al problema planteado, teniendo en cuenta que ya se habían usado dos técnicas previamente con buenos resultados y al no contarse con casos, ni tener reglas bien definidas, no se pudieron aplicar las técnicas ya implementadas anteriormente, por lo que fue necesario realizar un análisis de otras técnicas y definir cuál utilizar. Algunas de ellas fueron:

Minería de datos. Consiste en la extracción no trivial de información, que reside de manera implícita en los d atos. Dicha información, previamente desconocida, podrá resultar útil para algún proceso. La minería de datos prepara, sondea y explora los datos para sacar la información oculta en ellos.

  • Redes neuronales. Es uno de los instrumentos de uso frecuente para detectar categorías comunes en los datos. Estas deben ser entrenadas para que den solución a los problemas. Esta enseñanza se realiza repitiendo sistemáticamente entradas clásicas, con sus respectivas salidas o respuestas.

  • Reconocimiento de patrones. Es la ciencia de carácter multidisciplinario que se ocupa de los procesos sobre ingeniería, computación y matemáticas relacionados con objetos físicos y/o abstractos, con el propósito de extraer -mediante dispositivos computacionales y/o el hombre- la información que permita establecer propiedades y/o vínculos entre conjuntos de dichos objetos. [7]

  • Al realizar dicho análisis se concluye que de las técnicas antes descritas la que se va a utilizar para dar solución al problema es Reconocimiento de Patrones:

  • La técnica Minería de Datos, se basa fundamentalmente en descubrir información oculta, no trivial y previamente desconocida, no siendo así en este problema, donde se cuenta con la información y se necesita realizar un agrupamiento de la misma siguiendo un patrón en específico que son las RAM que causan los medicamentos.

  • Las redes neuronales, se descartaron por la demora en su desarrollo y entrenamiento, además que la información no se encuentra clasificada en grupos, solo se cuenta con los medicamentos y las reacciones, pero no se tiene la unión de ambos, y para que las redes funcionen, se debe contar con la información de entrada y de salida.

3. Propuesta de solución

Para determinar la semejanza entre medicamentos, se usó el enfoque lógico-combinatorio. Para una mejor comprensión se ha decidido dividir la propuesta de solución en pasos:

Paso 1: Agrupar medicamentos según la RAM que causan, para obtener los medicamentos del FNM particionados atendiendo a sus RAM.

Paso 2: Calcular el peso informacional asociado a cada rasgo (RAM).

Paso 3: Propuesta de función de semejanza a aplicar a los medicamentos.

Esta solución estará integrada a un Sistema de Recogida de información referente a las RAM en Cuba.[4]

3.1. Paso 1. Agrupación de medicamentos según la RAM

Sin un conocimiento a priori de cuántos grupos pudiesen formarse al aplicar cualquier técnica de agrupamiento, y sin conocer un valor previo del peso informacional de cada una de las reacciones adversas se recurre a utilizar un algoritmo de clustering, o agrupamiento de datos que sirva para pre-procesar la información referente a los medicamentos.

Para ello se propone el uso de un algoritmo de agrupamiento no supervisado [8]:

Algoritmo 1. Agrupamiento no supervisado

Entrada: Matriz inicial1.

Salida: Matriz de Entrenamiento2.

P1: Construir la Matriz de Semejanza3 utilizando una función de semejanza. Ecuación (1):

P2: Calculo del umbral de semejanza. Ecuación (2):

Donde m: número de objetos, i y j recorren las filas y columnas respectivamente.

P3: Agrupar siguiendo un criterio de agrupación.

El agrupamiento, como técnica dentro del Reconocimiento de Patrones, se encarga de organizar una colección de objetos en clases o grupos, de forma tal que los objetos pertenecientes a un mismo grupo sean lo suficientemente similares como para poder inferir que son del mismo tipo y los objetos pertenecientes a gruposdistintos sean lo suficientemente diferentes como para poder afirmar que son de tipos diferentes. [10]

Se decide utilizar, para agrupar a los medicamentos, el algoritmo LC-Conceptual, usando como criterio de agrupamiento el β0-compacto.El algoritmo LC-Conceptual es capaz de trabajar tanto con atributos cualitativos como cuantitativos, además de admitir la ausencia de información, no requiere especificar el número de agrupamientos a priori por lo que representa una ventaja en la investigación, pues se desea organizar los medicamentos en agrupaciones, considerando las semejanzas entre los mismos según sus RAM, sin presuponer una determinada cantidad de grupos.[11]

3.2. Paso 2. Calcular el peso informacional asociado a cada rasgo

Para el cálculo de los pesos informacional de cada rasgo, se hace uso de los testores típicos. Estos se utilizan para definir una medida de la importancia de los rasgos, según Zhuravliov: es un conjunto de columnas (rasgos) de la matriz de entrenamiento, para las cuales se cumple que no existen filas iguales en clases diferentes, pero además si se elimina aleatoriamente una de las columnas restantes, perderán esta propiedad. Varios algoritmos han sido desarrollos para calcular el conjunto de todos los testores típicos, entre los que se pueden encontrar CT_EXT, LEX,BR, Fast-BR, entre otros (ver Tabla 1).

Es necesario señalar que todavía cuando en la mayor parte de las pruebas se muestra como más veloz al BR, se decide utilizar en la investigación el Fast-BR, teniendo en cuenta que:

  • En los casos donde no existen columnas redundantes el tiempo de demora del BR respecto al Fast-BR media sobre 95,59%, sin embargo cuando existe redundancia el tiempo del Fast-BR con respecto al BR media el 64,58%. Como la composición de la matriz básica generada por el análisis de la Matriz de Entrenamiento es impredecible, se decide optar por el Fast-BR; a modo de que en una posible ocurrencia de redundancia, la ganancia en tiempo sea superior, al caso contrario con redundancia 0 en el cual la pérdida sería mínima, dado que la diferencia mostrada de un 5% representa la revisión de las posibles columnas redundantes.

Algoritmo 2. Cálculo del peso informacional de los rasgos

Entrada: Matriz de Entrenamiento.

Salida: Peso Informacional de los Rasgos.

P1: Formar la Matriz de Diferencia.

P2: Formar la Matriz de Básica.

P3: Seleccionar el conjunto de testores.

P4: Calcular el peso de los rasgos según la teoría de testores, Ecuaciones (3,4,5):

Tabla 1: Tiempo de ejecución del Fast-BR y otros algoritmos en bases de datos reales

Fuente: Resultados experimentales [9]

3.3. Paso3.Propuesta de función de semejanza a aplicar a los medicamentos

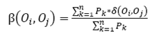
Determinados los grupos de los medicamentos según sus RAM, y calculados los pesos informacionales de cada uno de los rasgos presentes en los medicamentos, se propone como función de semejanza a ser utilizada en la propuesta de solución, Ecuación (6): [12]

Donde representa la función de similitud por rasgos y Pk representa el peso del rasgo k. Entre las principales ventajas que pudiera acarrear el uso de esta función se tiene que: bajo el criterio de un experto para agrupar los medicamentos según las reacciones adversas que estos ocasionan, el peso informacional de los rasgos le darían más importancia a las RAM más significativas para los médicos. Como en la propuesta actual la clasificación es realizada por un algoritmo no supervisado, esa función contribuye a la mejor diferenciación de los medicamentos según sus RAM.

3.3.1. Función de similitud por rasgos

La función de similitud por rasgo no puede ser realizada de forma estática, pues los valores correspondientes al dominio de los rasgos son variables, por ello se propone la Ecuación (7):

Donde el sistema colocará 1 en el caso de que ambos rasgos tengan igual valor, asignará valores entre 0 y 1 según los valores definidos por el usuario y colocará 0 en otro caso que no se encuentre definido en las reglas anteriores.

4. Validación de la solución propuesta

Para validar la investigación se hizo uso de técnicas de metodología de investigación científica, para verificar la validación de la muestra de datos seleccionada para realizar el agrupamiento. Además se muestran los resultados de una encuesta aplicada a los profesionales de la salud, sobre casos reales, para comparar los resultados de los médicos con los brindados por el sistema.

4.1. Selección de la muestra

Según Sampieri, en su libro Metodología de la Investigación [13], una muestra representa un subgrupo de la población que se investiga. Teniendo en cuenta que la población escogida son los medicamentos presentes en el FNM, se utiliza la fórmula propuesta por el autor del libro para el cálculo de una muestra no probabilística. Ecuación (8):

Donde:

N

es el tamaño de la población.

k

es una constante que depende del nivel de confianza.

e

es el error deseado.

p

es la proporción de individuos que poseen en la población la característica de estudio. Este dato es generalmente desconocido y se suele suponer que p=q=0.5 que es la opción más segura.

q

es la proporción de individuos que no poseen esa característica, es decir, es 1-p.

n

es el tamaño de la muestra

Teniendo como población los cerca de 700 medicamentos del FNM, con un margen de error del 4.5% y un nivel de confianza del 99%, se obtuvo que para el agrupamiento se deben utilizar 103 medicamentos.

Los medicamentos escogidos para el agrupamiento son el resultado de un análisis realizado a los datos recogidos por el Departamento de Farmacovigilancia del Ministerio de Salud Pública (MINSAP), donde se seleccionaron los 30 medicamentos con mayor número de reportes de apariciones de RAM. Posteriormente consultando a un especialista se realizó en conjunto de problemas tipos en los cuales aparecen relacionados 44 medicamentos, entre ellos algunos de los antes mencionados. Para completar el tamaño de la muestra se continuó añadiendo medicamentos según el orden de aparición en los reportes.

El algoritmo propuesto para la cantidad de medicamentos introducidos (ciento tres), fue capaz de generar 19 grupos, se analizó un total de 502 RAM asociadas a los medicamentos, generándose los testores típicos que permitieron calcular los diferentes pesos asociados a las RAM.

4.2. Validación de los resultados de la función de semejanza

Con ayuda de un profesional de la medicina, y haciendo uso de 44 de los 103 medicamentos introducidos en el sistema, lo que representa el 42% del total de medicamentos, se realizó una encuesta, orientada a los médicos, con cinco casos reales de ocurrencia de reacciones adversas.

Cada pregunta de la encuesta aplicada consistía en un problema real que los médicos pueden enfrentar en consulta; en la misma se describe a un paciente con una RAM causada por un medicamento y dada una lista de medicamentos deben seleccionar cuáles considera como posibles sustitutos. El objetivo de la misma esté en un punto de comparación real que sirva para evaluar la veracidad de la información brindada por el sistema.

Dicha encuesta se aplicó a una muestra de 80 profesionales vinculados con el Sistema Nacional de Salud (SNS), entre estos resaltan: 37 Médicos General Integral (MGI), 20 Pediatras y 23 médicos de otras especialidades (Medicina Interna, Anatomía Patológica, Cirugía, Gastroenterología, Ginecología, Máxilo Facial, Toxicología, Reumatología, Psicología, Imaginología, Urología y Otorrino-laringología).

Al aplicar la encuesta se obtuvo un total de 400 respuestas que respondieron los médicos ante situaciones reales, a partir de estas se pudo determinar el nivel de veracidad de la aplicación.

En todos los casos se pudo apreciar que la propuesta de solución implementada constituyó una herramienta de apoyo a los médicos. Para un correcto análisis de la encuesta y para la validación de los resultados, se deben tener en cuenta algunos criterios médicos importantes:

  • Factibilidad del medicamento: todavía cuando dos medicamentos son totalmente diferentes en cuanto sus RAM, es posible que los médicos no decidan darlo, pues no solamente el médico analiza a la semejanza según sus RAM. Existen medicamentos que tienen una velocidad de acción en el sistema inferior a otros, y aun cuando se sabe que es preciso evitar las RAM, en algunas circunstancias es necesario “curar” por sobre todas las decisiones secundarias. Relación riesgo beneficios.

  • Pacientes, no enfermedades: es común oír hablar a los médicos de los pacientes no de las enfermedades, de allí que los médicos prescriben según el paciente con el objetivo de impedir, o curar, una enfermedad. Es lógico pensar que los médicos prescriban según a lo que están acostumbrados a tratar, si es un médico que solo atiende adultos resulta que es probable que resulte un enfoque distinto al de un pediatra.

Tomando en cuenta estas y otras consideraciones se procede a realizar un análisis de cada uno de los problemas propuestos.

4.3. Análisis de los resultados de la pregunta 1

El primero de los problemas tipos propuestos pretende ver cuál resulta el mejor remplazo a la Penicilina Rapilenta, para tratar a un paciente de 5 años de edad. Como resultado se obtuvo que en ninguna circunstancia los médicos recetan ni Ampicilina, ni Oxacillina, además consideran como muy baja la selección de la Amoxicilina (2.05%), Ciprofloxacina (3.75%), Tetraciclina (7.50%) y Cotrimoxazol (11.25%). Teniendo en cuenta el análisis anterior se propone desechar del análisis en el sistema a los medicamentos antes mencionados, pues un estudio posterior del Formulario Nacional del Medicamento demostró que los mismos tienen entre sus contraindicaciones el uso en niños.

En un análisis de los resultados de la selección por especialidad, se comprobó como en el caso de los pediatras especialistas en la atención de niños (paciente de 5 años propuesto), no marcan resultados iguales a los MGI, otros y la media, los cuales concuerdan entre sí, Fig. 1

Selección de los medicamentos según especialidad

Figura 1: Selección de los medicamentos según especialidad

Fuente: Elaboración propia

Resultados de la selección de medicamentos contra la semejanza en el sistema

Figura 2: Resultados de la selección de medicamentos contra la semejanza en el sistema

Fuente: Elaboración propia

Selección de los medicamentos en la pregunta 3 según años de graduado

Figura 3: Selección de los medicamentos en la pregunta 3 según años de graduado

Fuente: Elaboración propia

Un posterior análisis incluyendo los resultados de semejanza brindados por el sistema muestra que a pesar de los resultados no estar totalmente en semejanza con el resultado de la media, presenta iguales resultados que los especialistas con más de 20 años de graduados y de igual forma coincide en la primera y segunda opción con los pediatras, Fig. 2.

4.4. Análisis de los resultados de la pregunta 3

El tercero de los problemas tipos propuestos pretende ver cuál resulta el mejor remplazo a la Difenhidramina, para tratar a un paciente de 3 años de edad. Como resultado se obtuvieron valores superiores todos al 20% de probabilidad de aparición, por tal motivo se considerarán a todos los medicamentos para el análisis.

Analizando los resultados agrupados, atendiendo a los criterios por especialidades y los años de graduado, se muestra una discordancia en la gran mayoría de los puntos, lo cual dificulta la selección de un criterio más que el de la media, Figs. 3 y 4.

Un análisis de los datos antes expuestos de conjunto con los del sistema, da muestra de que en relación a la media la semejanza en todos los casos dista en más menos uno en relación a la propuesta media de los médicos, Fig. 5.

En este caso todavía cuando los resultados aparentan estar alejados de la media, es necesario tener en cuenta otros criterios, como el tiempo de acción del medicamento y la edad del paciente. Con relación a los MGI, el sistema tiene un 60% de semejanza, por ser ellos la mayoría porcentual, y al existir tanta variedad de criterios y todos por debajo del 50%, se pueden considerar aceptables los resultados del sistema.

Selección de los medicamentos en la pregunta 3 por especialidad

Figura 4: Selección de los medicamentos en la pregunta 3 por especialidad

Fuente: Elaboración propia

Resultados de la selección de medicamentos contra la semejanza en el sistema, pregunta 3

Figura 5: Resultados de la selección de medicamentos contra la semejanza en el sistema, pregunta 3

Fuente: Elaboración propia

Selección de los medicamentos en la pregunta 4 por años de graduado

Figura 6: Selección de los medicamentos en la pregunta 4 por años de graduado

Fuente: Elaboración propia

4.5. Análisis de los resultados de la pregunta 4

El cuarto, de los problemas tipos propuestos, pretende ver cuál resulta el mejor remplazo al Captopril, para tratar a un paciente de 54 años de edad. En los resultados se muestra a la Reserpina y la Dihidralizina, como medicamentos poco seleccionados, dado que en el Formulario Nacional de Medicamentos recomiendan no ser empleado en personas mayores, Figs 6 y 7.

Comparando los datos de semejanza ofrecidos por el sistema se nota una cierta separación de la media propuesta por los médicos, pero en una revisión a priori del Formulario Nacional de Medicamentos el Labetalol tiene entre sus precauciones el uso en personas mayores, que tienden a estar propensos a la ocurrencia de RAM. Este dato no es tenido en cuenta por la función de semejanza, más por los médicos sí, Fig.8.

Selección de los medicamentos en la pregunta 4 por especialidad

Figura 7: Selección de los medicamentos en la pregunta 4 por especialidad

Fuente: Elaboración propia

Resultados de la selección de medicamentos contra la semejanza en el sistema, pregunta 4

Figura 8: Resultados de la selección de medicamentos contra la semejanza en el sistema, pregunta 4

Fuente: Elaboración propia

Teniendo esto en cuenta, puede decirse que la aplicación tiene puntos de coincidencia con el 25% de la muestra (Pediatras) al seleccionar al Atenolol, como el segundo más propenso a ser dado al paciente, de igual forma comparte relación con los MGI, los cuales proponen como segunda posible opción al Labetalol mientras este es el primero a dar según el sistema.

4.6. Resultados del análisis

  • Los médicos utilizan diferentes métodos para la prescripción; ya sea teniendo en cuenta la especialidad a la que se dedican, las características del paciente con que se encuentren en ese momento y los años de experiencia que tengan.

  • La funcionalidad tiene como propósito brindar una herramienta de ayuda a la prescripción, y de acuerdo con el FNM, el médico debe tener en cuenta que el sistema muestra los resultados ordenados, siempre empezando por los menos semejantes.

5. Conclusiones

  • Se identificó el Reconocimiento de Patrones, entre las técnicas de Inteligencia Artificial, como la más idónea para la solución del problema planteado.

  • Se definieron un conjunto de pasos para el desarrollo de la solución, que hicieron más fácil la obtención de los resultados obtenidos.

  • Debido a que la información en el FNM se encuentra dispersa y no del todo concisa, se complejiza la búsqueda, haciendo el trabajo del médico engorroso y con el uso de la solución obtenida se le facilita al médico la determinación de la semejanza entre medicamentos para apoyar así la prescripción.

Referencias

  1. [1] Holloway, K. y Green, T., Comités de farmacoterapia. Guía práctica. 2004. 🠔
  2. [2] OMS. Organizacion Mundial de la Salud. OMS. 2013. [Online]. [Cited: 01 08, 2013.] . Available at: Available at: http://www.who.int/mediacentre/ factsheets/fs293/es/index.html . [URL] 🠔
  3. [3] Odalys-García, A.,. Identificación de Problemas Relacionados con Medicamentos (PRM) en adultos mayores con polifarmacia, ingresados en el Hospital Calixto García durante mayo 2006 - 2007. Publicación de Gerontología y Geriatría, La Habana. 3, pp. 1-28, 2008. 🠔
  4. [4] Suarez-Lorenzo, G., Castellano-Perez, D. y Arencibia-Morales, A., Sistema para la recolección y control de las reacciones adversas a medicamentos ocurridas en cuba. La Habana, 2013. ISBN: 978-959-7213-02-4. 🠔
  5. [5] Arencibia-Morales, A., et al., Sistema experto para la predicción de reacciones adversas a medicamentos en Cuba. Lima, s.n., 2013. 🠔
  6. [6] Orta-Ismary, A. y Jiménez-López, G., Formulario nacional de medicamentos. La Habana: Ciencias Médicas, 2011. ISBN: 978-959-212-706-7. 🠔
  7. [7] Ruiz-Shulcloper, J., Enfoque lógico combinatorio al reconocimiento de patrones. 1999. ISBN 970-18-2384-1. 🠔
  8. [8] Ruiz-Shulcloper, J., Reconocimiento lógico combinatorio de patrones: Teoría y aplicaciones. La Habana: s.n., 2009. 🠔
  9. [9] Pérez-Suárez, A. y Medina-Pagola, J.E., Algoritmos para el agrupamiento conceptual de objetos. La Habana: s.n., 2014. 🠔
  10. [10] Gandón, A.G., Pons, S.V. y Ruiz-Shulcloper, J., Algoritmos de agrupamiento conceptuales: Un estado del arte.. s.l.: Serie Azul, 2012. 🠔
  11. [11] Lias-Rodríguez, A. and Sanchez-Díaz, G., An algorithm for computing typical testors based on elimination of gaps and reduction of columns. Int. J. Patt. Recogn. Artif. Intell. 27(8), 18 P., 2013, DOI 10.1142/S0218001413500225. [DOI] 🠔
  12. [12] Ruiz-Shulcloper, J., Arenas, A.G. y Trinidad, J.F.M., Enfoque lógico combinatorio al reconocimiento de patrones. Cuba-Mexico: s.n., 1999. ISBN 970-18-2384-1 🠔
  13. [13] Hernández-Sampieri, R., Fernández-Collado, C. y Baptista-Lucio, P., Metodología de la investigación [en línea]. 2006. ISBN 9701057538. Disponible en: http://www.univo.edu.sv:8081/tesis/020090/020090Cap1.pdf. [URL] 🠔
How to cite: Arencibia-Morales, A., Febles-Rodríguez, J. P., and Frómeta-Moreno, Y. J., Aplicación de reconocimiento de patrones para identificar la semejanza entre medicamentos teniendo en cuenta las reacciones adversas. DYNA 84(201), pp. 195-201, 2017.
Matriz con los datos de los medicamentos sin formar agrupaciones
Matriz con los medicamentos y su grupo asociado
Matriz con la relación de semejanza existente entre todos los medicamentos