DYNA
0012-7353
Universidad Nacional de Colombia
https://doi.org/10.15446/dyna.v84n202.58032

Recibido: 13 de junio de 2016; Revision Received: 6 de marzo de 2017; Aceptado: 29 de junio de 2017

A 2-tuple linguistic multi-period decision making approach for dynamic green supplier selection

Un modelo de toma de decisión multiperíodo basado en 2-tupla lingüística para la selección dinámica de proveedores verdes

G. Jiménez, a Y. Zulueta, b

Centro Geoinformática y Señales Digitales, Universidad de las Ciencias Informáticas, Habana, Cuba. gejimenez@uci.cu Universidad de las Ciencias Informáticas Centro Geoinformática y Señales Digitales Universidad de las Ciencias Informáticas Habana Cuba
Dirección de Formación Postgraduada, Universidad de las Ciencias Informáticas, Habana, Cuba. yeleny@uci.cu Universidad de las Ciencias Informáticas Dirección de Formación Postgraduada Universidad de las Ciencias Informáticas Habana Cuba

Abstract

Green supplier selection aims to choose the best supplier, among several alternatives, taking into account not only traditional criteria such as cost and quality of service or product, but also considering the ability to produce these products or services fulfilling environmental standards or regulations and with the least negative impact on the environment. In real green selection contexts, sometimes a single static evaluation of suppliers is not enough for a conclusive decision and it is necessary to analyze suppliers’ evolution throughout different moments. Obviously, some parameters are not constant over time, rather they are dynamic and change from one period to another. Consequently, decisions about suppliers take place in a dynamic environment, where the final decision is made after an exploratory process. Besides, the available information is vague or imprecise that does not involve probabilistic uncertainty. In such situations, the use of 2-tuple linguistic model provides a convenient way to represent linguistic assessments through linguistic variables and to model uncertainty. In this paper, the main focus is on finding the right supplier by using a multi-criteria multi-period decision making approach based on the 2-tuple linguistic computational model.

Keywords:

Multi-criteria decision making, multi-period decision making, 2-tuple linguistic model, green supplier selection..

Resumen

La selección de proveedores verdes tiene como objetivo la elección del mejor proveedor, entre varias alternativas, teniendo en cuenta no solo criterios tradicionales como el costo y la calidad del servicio o producto, sino considerando también la capacidad de producir estos productos o servicios cumpliendo estándares o regulaciones ambientales y con el menor impacto en el medio ambiente. En contextos reales de selección verde, en ocasiones no basta con una única evaluación estática de los proveedores y se necesita considerar la evolución de los proveedores en diferentes momentos y por supuesto algunos parámetros no son constantes en el tiempo, más bien son dinámicos y varían de un período a otro. En consecuencia, las decisiones acerca de los proveedores tienen lugar en un entorno dinámico, donde la decisión final se toma luego de un proceso de exploración. Además, la información disponible es vaga o imprecisa que no implica la incertidumbre probabilística. En tales situaciones, el uso del modelo lingüístico 2-tupla proporciona una forma adecuada para representar las evaluaciones lingüísticas por medio de variables lingüísticas y modelar la incertidumbre. En este trabajo, la atención principal se centra en encontrar el proveedor adecuado utilizando un enfoque de toma de decisiones multicriterio y multiperíodo, basado en el modelo computacional 2-tupla lingüística.

Palabras clave:

toma de decisión multicriterio, toma de decisión multiperíodo, modelo lingüístico 2-tuplas, selección de proveedores verdes..

1. Introduction

Since organizations and companies dedicated to projects development become increasingly dependent on suppliers, the effectiveness in decision making for suppliers selection also becomes an essential success factor. Effective processes for supplier evaluation and selection directly impact supply chain performance and consequently organizational productivity and profitability. Some authors have identified as factors determining the complexity of supplier selection, the following [1,2]:

  1. Combinations of different decision rules derived from the buying process internal and external constraints.

  2. Multiple criteria, both qualitative and quantitative, that may be conflictive.

  3. Involvement of many alternatives.

  4. The number of decision makers.

  5. The various types of uncertainty.

Ho et al. [3] found that quality, delivery, price/cost and manufacturing capability are the most popular conventional criteria for decision makers in evaluating and selecting the most appropriate supplier.

As many conflicting factors should be taken into account in the analysis, the supplier selection problem is usually modeled as a multi-criteria decision making (MCDM) problem in which it is necessary to select the best supplier(s) from a predefined set with respect to such conventional decision criteria [3-].

Recently, there has been an increasing public awareness, government regulation and market pressure on sustainability issues. Companies may not neglect the role of environmental issues if they want to achieve better profit and remain in the market with competitive advantages [7]. This means that balancing the environmental performance with the reduction of time to respond to market demand, the products’ cost, the quality improvement and the human resource management, have moved companies to search for better models to find their green suppliers [8,9]. Green supplier selection is generally intended to involve screening suppliers based on their environmental performance and doing business only with those that meet certain environmental regulations or standards. Integrating the green dimension in the resolution of supplier selection problems implies addressing the relationship between the suppliers evaluation and the natural environment, that is, the influence of the former on the latter.

To consider the environmental performance, different authors have proposed additional “green” attributes. Azzone and Bertele [10] include the external environmental benefit, the environmental benefit, the green image and the environmental adaptability. Similarly, Noci [11] proposed to consider the conformance to environmental specifications, the environmental benefit, the supplier’s green image and net life cycle cost. Sarkis and Talluri [12] proposed the environmental design, the life cycle analysis, the comprehensive quality environmental management, the green supply chain and ISO14000 requirements. Lee et al. [13] considered the green image, the pollution control, the environment management, the green product and green competencies. More recently, Govindar et al. found [14] the environmental management system as the most widely considered criterion for green supplier evaluation and selection. Another novel concept is “the greening”, introduced by Rao [15] including green marketing, green purchasing, green design, and green production.

The supplier selection is related both, to the definition and evaluation of the criteria, and to the variation of the criteria over time. In the real-world, some parameters such as prices, capacities, and demands are not constant over time, rather are dynamic and vary from period to period. Conventional and green criteria might vary over time, new ones might be considered, or existing ones could turn into irrelevant in different market conditions. Therefore, assessments about suppliers are provided in a changeable environment where the final decision is taken at the end of some exploratory process, i.e., dynamic green supplier selection. In such cases, this valuable exploration of the problem can be performed throughout a multi-period MCDM (MPMCDM) approach, also called dynamic MCDM. Its basic idea is that the input arguments (decision information) are usually collected from different periods and are all considered in the output (final decision) [16,17].

Additionally, sometimes due to the complexity and uncertainty of the green supplier evaluation process and the ambiguity of human thinking, experts face objective and subjective limitations to accurately measure the decision attributes. The available information about suppliers is often vague or imprecise, implying non-probabilistic uncertainties. Hence, the attribute values given by the experts cannot be assessed by means of numerical values because of time pressure, personal preferences, lack of knowledge or nature of attributes. In such situations, the use of the fuzzy linguistic approach provides a direct way to manage the uncertainty and model the linguistic assessments by means of linguistic variables. One of the suggested approaches for dealing with linguistic information is the 2-tuple linguistic representation model [2] which can improve the interpretability and usability of the decision making output while prevents loss of information in computations.

The 2-tuple linguistic model has received many attentions in theoretical and practical aspects and significant advances have been made in the research on time independent information aggregation [18-26], which are effective to aggregate the 2-tuple linguistic information collected in a single period. However, researches on 2-tuple linguistic MPMCDM are few [18]. How to aggregate the 2-tuple linguistic decision information collected at different periods and how to tackle the MPMCDM problems with 2-tuple linguistic information are still very interesting and meaningful research topics. Therefore, it is necessary to pay attention to these issues.

The aforementioned analyses lead to the following motivations of this work:

  • Taking advantage of the 2-tuple linguistic representation model to make the proposed method has the strengths of modeling the uncertainty in supplier selection process as well as increasing the understandability and intuitiveness of its results expressed in linguistic terms.

  • Improving and extend the 2-tuple linguistic model by introducing new 2-tuple linguistic dynamic aggregation operators.

  • Combining the advantages of both 2-tuple linguistic model and the MPMCDM, and proposing a more powerful green supplier selection approach able to deal with more complex and dynamic evaluation situations which require gathering the uncertain decision information about suppliers in multiple periods.

There are diverse studies on supplier selection [1,3,6] and green approaches [14] that summarize the different solving methods including data envelopment analysis, cluster analysis, case-based-reasoning systems, decision models for the final choice-phase, linear weighting models, total cost of ownership models, mathematical programming models, statistical models and artificial intelligence based models. Most of these approaches in the literature, employ qualitative or/and quantitative valuations collected in a single decision moment to determine the performance of the supplier. However, some practical applications would benefit from the adoption of an iterative process for considering the evolution of suppliers over time. The approach herein proposed addresses this gap by using as basis a MPMCDM model which enables a more realistic representation of the dynamism of supplier evaluation rather than a static picture of the behavior of suppliers at any given time.

Moreover, the use of 2-tuple linguistic representation allows multiple advantages: first, to model the uncertainty inherent in the selection process; second, to manage and integrate multiple linguistic opinions without any loss of information due to the aggregation operations are performed in a continuous domain; and third, to obtain without approximation processes, linguistic results with a higher level of interpretability than simple numbers.

The rest of the paper is structured as follows. Section 2 reviews in short the 2-tuple representation model. Section 3 develops some 2-tuple linguistic time dependent aggregation operators. Section 4 introduces the dynamic supplier selection model based on 2-tuple linguistic MPMCDM approach using these operators. In Section 5 a calculation example is pulled into to illustrate the feasibility of our dynamic supplier selection model from the empirical perspective and Section 6 concludes the paper.

2. Preliminaries on the 2-Tuple Representation Model

In this section, basic notions of the 2-tuple linguistic representation model are revised since it is the basis of our proposal to support decision processes in green supplier selection.

The 2-tuple linguistic model [27] aimed to improve the accuracy and facilitate the processes of computing with words by treating the linguistic domain as continuous but keeping the linguistic basis (syntax and semantics). It extended the use of indexes modifying the fuzzy linguistic approach by adding a new parameter, so-called symbolic translation.

Definition 1 [27] The symbolic translation is a numerical value assessed in [-0.5,0.5) that supports the “difference of information” between a counting of informationassessed in the interval of granularity [0,g] of the linguistic term set S, and the closest value in {0,…,g} which indicates the index of the closest linguistic term in S.

Fig. 1 shows how the symbolic translation value α represents the information difference between the aggregation result β and the index of the closest linguistic term si. This representation model defines the functions ∆ and ∆ −1 to facilitate the CWW processes [27].

The symbolic translation to CWW processes.

Figure 1: The symbolic translation to CWW processes.

Source: Adapted from [27].

Definition 2 [27] Let S={s0,…,sg} be a set of linguistic terms and β∈ 0..g a value supporting the result of a symbolic aggregation operation. A 2-tuple linguistic value that expresses the equivalent information to β is obtained by the function s i : 0,g ⟶ S as follows.

Being round the round operation, i the index of the closest label s i , to and the symbolic translation. We note that ∆ is a bijective function and ∆ −1 : 𝑆 ⟶ 0,𝑔 is defined by ∆ −1 𝑠 𝑖 ,𝛼 =𝑖+𝛼.

When dealing with linguistic information represented by 2-tuples, 2-tuple aggregation operators are logically required to accomplish computations and solve the MPMCDM problem. Functions ∆ and ∆ −1 in the fuzzy linguistic representation model with 2-tuples transform numerical values into a 2-tuples and viceversa without loss of information, therefore, conventional numerical aggregation operator can be easily extended for dealing with linguistic 2-tuples [27]. Based on this idea, several 2- tuple time independent aggregation operators have been developed [18-26]. Basic classical operators are the one revised here:

Definition 3 [27] Let X= ( s 1 , α 1 ),…,( s 𝑚 , α m ) be a set of 2-tuple linguistic values, and W=( 𝑤 1 ,…, w m ) the weighting vector such that 𝑖=1 𝑚 𝑤 𝑖 =1 the weighted averaging aggregation operator associated with W is the function 2𝑇𝑊𝑀: 𝑆 𝑚 ⟶ 𝑆 defined as:

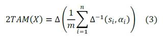
Especially, if 𝑊= 1 𝑚 , 1 𝑚 ,…, 1 𝑚 , the 2TWA operator reduces to the 2-tuple arithmetic mean (2TAM) operator:

Since multiple decision problems take place in an environment that changes over time, it is important to consider the time dimension to model and solve the problems. Liu et al. [28] extended the 2-tuple weighted average operator to deal with time dependent or dynamic information.

Definition 4 [28] Let 𝑋= ( 𝑠 1 , 𝛼 1 ) 𝑡 1 ,…, ( 𝑠 𝑞 , 𝛼 𝑞 ) 𝑡 𝑞 be a collection of q 2-tuple arguments collected from q different periods 𝑇= 𝑡 𝜆 𝜆∈ 1,…,𝑞 , , whose weights are given by the weighting vector WT, then the function 2𝑇𝐷𝑊𝐴: 𝑆 𝑞 ⟶ 𝑆 defined as:

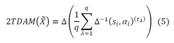
is called a 2-tuple Dynamic Weighted Averaging aggregation operator, 2TDWA. Especially, if 𝑊 𝑇 = 1 𝑞 , 1 𝑞 ,…, 1 𝑞 , the TDWA operator reduces to the TDA operator:

3. New 2-tuple time dependent aggregation operators

In order to deal with more complex and dynamic aggregation environments, in what follows, based on the Liu et al. [28] idea, new 2-tuple time dependent aggregation operators will be defined.

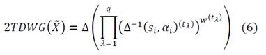
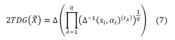
Definition 5 Let 𝑋= ( 𝑠 1 , 𝛼 1 ) 𝑡 1 ,…, ( 𝑠 𝑞 , 𝛼 𝑞 ) 𝑡 𝑞 be a collection of q 2-tuple arguments collected from q different periods, 𝑇= 𝑡 𝜆 𝜆∈ 1,…,𝑞 , whose weights are given by the weighting vector WT, then the function 2𝑇𝐷𝑊𝐺: 𝑆 𝑞 ⟶ 𝑆 defined as:

is called a 2-tuple Dynamic Weighted Geometric aggregation operator, 2𝑇??𝑊𝐺.

Especially, if 𝑊 𝑇 = 1 𝑞 , 1 𝑞 ,…, 1 𝑞 , the 2𝑇𝐷𝑊𝐺 operator reduces to the TDA operator:

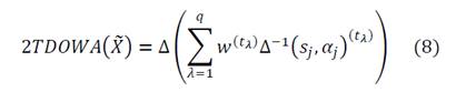
Definition 6 Let 𝑋= ( 𝑠 1 , 𝛼 1 ) 𝑡 1 ,…, ( 𝑠 𝑞 , 𝛼 𝑞 ) 𝑡 𝑞 be a collection of q 2-tuple arguments collected from q different periods, 𝑇= 𝑡 𝜆 𝜆∈ 1,…,𝑞 , whose weights are given by the weighting vector WT, then the function 2𝑇𝐷𝑂𝑊𝐴: 𝑆 𝑞 ⟶ 𝑆 defined as:

is called a 2-tuple Dynamic Ordered Weighted Averaging aggregation operator, 2TDOWA, where ( 𝑠 𝑗 , 𝛼 𝑗 ) is the j-th largest of the ( 𝑠 𝑖 , 𝛼 𝑖 ) ( 𝑡 𝜆 ) values.

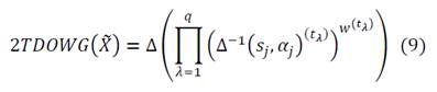
Definition 7 Let X= ( s 1 , α 1 ) t 1 ,…, ( s q , α q ) t q be a collection of q 2-tuple arguments collected from q different periods, T= t λ λ∈ 1,…,q , whose weights are given by the weighting vector WT, then the function 2TDOWG: S q ⟶ S defined as:

is called a 2-tuple Dynamic Ordered Weighted Geometric aggregation operator, 2TDOWG, where ( 𝑠 𝑗 , 𝛼 𝑗 ) is the j-th largest of the ( 𝑠 𝑖 , 𝛼 𝑖 ) ( 𝑡 𝜆 ) values.

As a matter of fact, one key aspect in handling the MPMCDM problem with time dependent aggregation operators is to determine the period weighting vector. It can be given by decision maker(s) directly or it can also be computed by other methods.

4. Dynamic supplier selection based on 2-tuple linguistic MPMCDM approach

In this section we consider the 2-tuple linguistic multi-period approach for solving dynamic supplier selection problems, in which all the attribute values, provided by multiple experts at different periods, take the form of linguistic variables.

A dynamic supplier selection problem with linguistic assessments can be described as follows: Let 𝑇 = 𝑡 λ 𝜆 ∈ 1, …, 𝑞 , a discrete set of q periods. At every period 𝐴 ( 𝑡 𝜆 ) ={ 𝑎 ( 𝑡 𝜆 ) |𝑖 ∈ (1, ..., 𝑚)}, be a set of suppliers and 𝐸 ( 𝑡 𝜆 ) = { 𝑒 ( 𝑡 𝜆 ) │𝑘 ∈ (1, …, 𝑝) } be the set of experts assessing the suppliers according to the set of criteria 𝐶 ( 𝑡 𝜆 ) = { 𝑐 ( 𝑡 𝜆 ) |𝑗 ∈ (1, ..., 𝑛)} whose weights are given by the weighting vector 𝑊 ( 𝑡 𝜆 ) = ( 𝑤 ( 𝑡 𝜆 ) |𝑗 ∈ (1, ..., 𝑛)). The preference provided by expert 𝑒 𝑘 ∈ 𝐸 ( 𝑡 𝜆 ) about supplier 𝑎 𝑘 ∈ 𝐴 ( 𝑡 𝜆 ) according to criterion 𝑐 𝑘 ∈ 𝐶 ( 𝑡 𝜆 ) is represented by a linguistic term 𝑥 𝑖𝑗𝑘 ( 𝑡 𝜆 ) .

To get the best supplier(s), we now develop an approach based on applying 2-tuple linguistic dynamic aggregation operators to linguistic MPMCDM. The main decision flowchart is depicted in Fig. 2. In summary, the proposed approach is composed by five steps.

The flowchart for the linguistic MPMCDM approach to dynamic supplier selection.

Figure 2: The flowchart for the linguistic MPMCDM approach to dynamic supplier selection.

Source: The authors.

We want to remark that Steps 1 to 3 aim to decompose the dynamic supplier selection problem into a set of conventional simple problems, corresponding to the q periods considered in the holistic problem. In this iterative way, in Step 1, 2-tuple linguistic matrices are constructed from the simple linguistic judgments provided by experts; in Step 2, these 2-tuple linguistic matrices are aggregated in order to obtain a collective value for each criterion; and in Step 3 the resulting matrices are aggregated to obtain the collective value for each supplier in one single period. If the exploratory procedure is extended to a new period, Steps 1 to 3 are executed again. At the end of this repetitive analysis, Step 4 is the final aggregation phase that computes a dynamic collective assessment for each supplier. To do this, time-dependent aggregation operators should be used. Finally, in Step 5 the dynamic collective assessments are ranked to choose the best supplier among the alternative ones.

Step 1: Constructing the linguistic decision matrices 𝑋 ( 𝑡 𝜆 ) 𝑚×𝑛 and transforming them into linguistic 2-tuple decision matrices.

The conversion of a linguistic term sx into a linguistic 2-tuple (sx,0) consists of adding a value 0 as symbolic translation due to α=0 represents no difference from the original value β to the transformed index x.

Step 2: Utilizing a classical 2-tuple aggregation operator and the weighting vector Wc for computing a collective value for each criterion for each period.

Step 3: Utilizing a classical 2-tuple aggregation operator for computing non-dynamic evaluation for each supplier for each period.

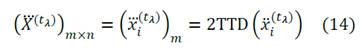
Step 4: Utilizing one of the 2-tuple Time Dependent (2TTD) aggregation operators introduced in Section 3 for computing dynamic evaluation for each supplier, if no other period will be considered in the multi-period exploratory process.

The aggregation operators applied in Steps 2 to 5 are not inter-dependent or correlated and the selection is determined by the characteristics of the supplier selection problem and the needs of decision makers.

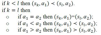
Step 5: Ranking suppliers in accordance with 𝑥 𝑖 ( 𝑡 𝜆 ) values and selecting the most desirable one(s).

Let us suppose two 2-tuple linguistic values, ( 𝑠 𝑘 , 𝛼 1 ) and ( 𝑠 𝑙 , 𝛼 2 ), the comparison is as follows:

5. Illustrative Example

To better understand how the linguistic MPMCDM approach can be applied to the dynamic supplier selection problem, we now work through a small illustrative example. The main objective here is the selection of best supplier in a dynamic environment, for an organization dedicated to projects development. For simplicity, we consider a fixed set of four suppliers𝐴 ={ 𝑎 1 , 𝑎 2 , 𝑎 3 , 𝑎 4 }. The attributes which are considered here in selection of the four possible suppliers are:

Green capability (c1): The ability to prepare, produce and deliver green products based on environmental standards.

Price (c2): The total cost of products offered as the price.

Environmental management system (c3): Applying any environmental management systems.

Green design (c4): A systematic method to reduce the environmental impact of products and processes.

Three experts provide assessment information on C in order to prioritize suppliers with respect to their green performance. In the following we utilize the method developed and give some calculation results to select the appropriate supplier.

Step 1: Experts use the linguistic term set: S={s0: Extremely Low (EL), s1: Very Low (VL), s2: Low (L), s3: Medium (M ), s4: High (H), s5: Very High (VH), s6: Extremely High (EH)}, to provide evaluation information for suppliers in three moments according to the four attributes and construct, respectively, the linguistic decision matrices 𝑋 𝑡 𝜆 = 𝑋 𝑡 𝜆 4×4 as listed in Table 1. Fig. 3 illustrates the structure and membership functions of each term in the linguistic set.

Table 1: Linguistic decision preferences for the five periods.

Source: The authors.

The structure of a linguistic set with seven terms.

Figure 3: The structure of a linguistic set with seven terms.

Source: The authors.

Step 2: For computing, collective criteria values for suppliers the 2TAM aggregation operator from Definition 3 is used. Results are listed in Table 2 and illustrated in Fig. 4.

Table 2: Collective criteria values for the five periods.

Source: The authors.

Plot of non-dynamic evaluation of suppliers.

Figure 4: Plot of non-dynamic evaluation of suppliers.

Source: The authors.

Step 3: For computing, non-dynamic evaluation for each supplier the 2TAM is used as in the previous step. Results are listed in Table 3 and illustrated in Fig. 4.

Table 3: Non-dynamic evaluation of suppliers for each period.

Source: The authors.

Step 4: The dynamic evaluation for each supplier, is computed for these examples using several dynamic aggregation operators introduced in Section 3. For 2TDWA and 2TDWG the weighting vector for periods is WT= (0.1, 0.3, 0.6) while in contrast for 2TDOWA and 2TDOWG the weighting vector for periods is WT= (0.6, 0.3, 0.1). Dynamic evaluations of suppliers are illustrated in Table 4.

Table 4: Dynamic evaluation of suppliers using different aggregation operators.

Source: The authors.

Step 5: The order of suppliers is obtained by applying the comparison rules for 2- tuples as shown in Table 5. The different aggregation operators produce different ranking and consequently different best suppliers.

Table 5: Ranking obtained by applying the comparison rules for 2-tuples.

Source: The authors.

6. Conclusions

Environmental laws and green production have become significant issues and in competitive markets, companies are required to implement green management practices. In order to process uncertain and dynamic information as precise as possible, and motivated by the idea of 2-tuple linguistic variables, we defined a new linguistic MPMCDM approach for dynamic green supplier selection.

The main advantage of this model is that it can assess uncertain situations with linguistic information provided in different gathering assessment moments due to the final decision requires an exploratory multi-period process in which some parameters vary from one period to another. In this way, it gives a more complete view of the dynamic green supplier selection problem to the decision maker because it considers several 2-tuple linguistic time-dependent aggregation operators. Therefore, the decision maker will use the particular case that is in accordance with his/her interests. The proposed MPMCDM approach allows experts to use linguistic assessment based on their expertise and research background. In this way, they can express their judgments more realistically and accurately and the final results are more reasonable, reliable and closer to the common model of communication of people.

For future research we believe that the evaluation framework can be improved by including not only linguistic terms but also other information domains such as numbers, interval-values and linguistic expressions. A heterogeneous evaluation framework allows modeling the hesitancy and uncertainty in qualitative and quantitative contexts, in a more suitable and flexible manner.

In addition, it would be very interesting to extend our analysis to the case of more sophisticated green supplier situations. This may help to identify other complex decision issues such as the interaction between green criteria and the relative importance of each period in the final result.

In general, the proposed method can solve 2-tuple linguistic MPMCDM problems. Thus, it can be used to supplier selection and other similar evaluation problems.

References

  1. [1] de Boer, L., van der Wegen, L. and Telgen, J., Outranking methods in support of supplier selection. European Journal of Purchasing & Supply Management, 4(23), pp. 109-118, 1998. DOI: 10.1016/S0969-7012(97)00034-8 [DOI] 🠔
  2. [2] Muralidharan, C., Anantharaman, N. and Deshmukh, S., Vendor rating in purchasing scenario: a confidence interval approach. International Journal of Operations & Production Management, 21(10), pp. 1305-1326, 2001. DOI: 10.1108/01443570110404736 [DOI] 🠔
  3. [3] Ho, W., Xu, X.W. and Prasanta, D., Multi-criteria decision making approaches for supplier evaluation and selection: a literature review. European Journal of Operational Research, 202(1), pp. 16-24, 2010. DOI: 10.1016/j.ejor.2009.05.009 [DOI] 🠔
  4. [4] Dickson, G.W., An analysis of vendor selection systems and decisions. Journal of Purchasing, 2(1), pp. 5-17, 1996. 🠔
  5. [5] Ghodsypour, S.H. and O Brien, C., A decision support system for supplier selection using an integrated analytic hierarchy process and linear programming. International Journal of Production Economics, 56-7(20), pp. 199-212, 1998. DOI: 10.1016/S0925-5273(97)00009-1 [DOI] 🠔
  6. [6] Weber, C., Current, J. and Benton, W., Vendor selection criteria and methods. European Journal of Operational Research , 50(1), pp. 2-18, 1991. DOI: 10.1016/0377-2217(91)90033-R [DOI] 🠔
  7. [7] Kannan, D., Khodaverdi, R., Olfat, L., Jafarian, A. and Diabat, A., Integrated fuzzy multi criteria decision making method and multi-objective programming approach for supplier selection and order allocation in a green supply chain. Journal of Cleaner Production, 47, pp. 355-367, 2013. DOI: 10.1016/j.jclepro.2013.02.010 [DOI] 🠔
  8. [8] Büyüküzkan, G. and Çifçi, G., A novel hybrid mcdm approach based on fuzzy dematel, fuzzy anp and fuzzy topsis to evaluate green suppliers. Expert Systems with Applications, 39(3), pp. 3000-3011, 2012. DOI: 10.1016/j.eswa.2011.08.162 [DOI] 🠔
  9. [9] Yazdani, M., An integrated MCDM approach to green supplier selection. International Journal of Industrial Engineering Computations, 5(3), pp. 443-458, 2014. DOI: 10.5267/j.ijiec.2014.3.003 [DOI] 🠔
  10. [10] Azzone, G. and Bertelè, U., Exploiting green strategies for competitive advantage. Long Range Planning, 27(6), pp. 69-81, 1994. DOI: 10.1016/0024-6301(94)90165-1 [DOI] 🠔
  11. [11] Noci, G., Designing “green” vendor rating systems for the assessment of a supplier's environmental performance. European Journal of Purchasing & Supply Management , 3(2), pp. 103-114, 1997. DOI: 10.1016/S0969-7012(96)00021-4 [DOI] 🠔
  12. [12] Sarkis, J. and Talluri, S., A model for strategic supplier selection. J. Supply Chain Managament, 38(4), pp. 18-28, 2002. DOI: 10.1111/j.1745-493X.2002.tb00117.x [DOI] 🠔
  13. [13] Lee, A., Kang, H., Hsu, C. and Hung, H., A green supplier selection model for high-tech industry. Expert Syst. Appl. 36(4), pp. 7917-7927, 2009. DOI: 10.1016/j.eswa.2008.11.052 [DOI] 🠔
  14. [14] Kannan, G., Sivakumar, R., Joseph, S. and Murugesan, P., Multi criteria decision making approaches for green supplier evaluation and selection: A literature review. Journal of Cleaner Production , 98, pp 66-83, 2015. DOI: 10.1016/j.jclepro.2013.06.046 [DOI] 🠔
  15. [15] Rao, P., Greening the supply chain: A new initiative in South East Asia, International Journal of Operations and Production management, 22(6), pp. 632-655, 2002. DOI: 10.1108/01443570210427668 [DOI] 🠔
  16. [16] Zulueta, Y., Martínez, J., Rodríguez, D., Bello, R. and Martínez, L. , A discrete time variable index for supporting dynamic multicriteria decision making. International Journal of Uncertainty, Fuzziness and Knowledge-Based Systems, 22(1), pp. 1-22, 2014. DOI: 10.1142/S0218488514500019 [DOI] 🠔
  17. [17] Jiménez, G.E. and Zulueta, Y., A dynamic decision making method with discrimination of alternatives using associative aggregation operators. IEEE Latin America Transactions, 14(10), pp. 4310-4317, 2016. DOI: 10.1109/TLA.2016.7786310 [DOI] 🠔
  18. [18] Liu, H., Cai, J. and Martínez, L., The importance weighted continuous generalized ordered weighted averaging operator and its application to group decision making. Knowledge-based Systems, 48(1), pp. 24-36, 2013. DOI: 10.1016/j.knosys.2013.04.002 [DOI] 🠔
  19. [19] Merigó, J.M., Casanovas, M. and Martínez, L., Linguistic aggregation operators for linguistic decision making based on the Dempster-Shafer theory of evidence. International Journal of Uncertainty, Fuzziness and Knowledge-Based Systems , 18(3), pp. 287-304, 2010. DOI: 10.1142/S0218488510006544 [DOI] 🠔
  20. [20] Peláez, J.I. and Doña, J.M., A linguistic aggregation of majority additive operator. International Journal of Intelligent Systems, 18(7), pp. 809-820, 2003. DOI: 10.1002/int.10117 [DOI] 🠔
  21. [21] Wan S., Some hybrid geometric aggregation operators with 2-tuple linguistic information and their applications to multi-attribute group decision making. International Journal of Computational Intelligence Systems, 6(4), pp.750-763, 2013. DOI: 10.1080/18756891.2013.804144 [DOI] 🠔
  22. [22] Wei, G.W., Grey relational analysis model for dynamic hybrid multiple attribute decision making. Knowledge-Based Systems, 24(5), pp. 672-679, 2011. DOI: 10.1016/j.knosys.2011.02.007 [DOI] 🠔
  23. [23] Wei, G.W. and Zhao, X.F., Some dependent aggregation operators with 2-tuple linguistic information and their application to multiple attribute group decision making. Expert Systems with Applications , 39(5), pp. 5881-5886, 2012. DOI: 10.1016/j.eswa.2011.11.120 [DOI] 🠔
  24. [24] Yang, W., Induced Choquet integrals of 2-tuple linguistic information. International Journal of Uncertainty, Fuzziness and Knowledge-Based Systems , 21(2), pp. 175-200, 2013. DOI: 10.1142/S0218488513500104 [DOI] 🠔
  25. [25] Zhang, S., A model for evaluating computer network security systems with 2-tuple linguistic information. Computers & Mathematics with App, 62 (4), pp. 1916-1922, 2011. DOI: 10.1016/j.camwa.2011.06.035 [DOI] 🠔
  26. [26] Xu, Z.S., Correlated linguistic information aggregation. International Journal of Uncertainty, Fuzziness and Knowledge-Based Systems , 17(05), pp. 633-647, 2009. DOI: 10.1142/S0218488509006182 [DOI] 🠔
  27. [27] Herrera, F. and Martínez, L., A 2-tuple fuzzy linguistic representation model for computing with words. IEEE Transactions on Fuzzy Systems, 8(6), pp. 746-752, 2000. DOI: 10.1109/91.890332 [DOI] 🠔
  28. [28] Liu, X., and Yang, W., A new multi-period linguistic aggregation operator and its application to financial product selection, in: 2012 International Conference on Graphic and Image Processing, International Society for Optics and Photonics, pp. 87687T1-87687T8, 2012. DOI: 10.1117/12.2010524 [DOI] 🠔
How to cite: Jiménez, G.E. and Zulueta, Y., A 2-tuple linguistic multi-period decision making approach for dynamic green supplier selection. DYNA, 84(202), pp. 199-206, September, 2017.