DYNA
0012-7353
Universidad Nacional de Colombia
https://doi.org/10.15446/dyna.v84n201.58694

Recibido: 28 de junio de 2016; Revision Received: 20 de diciembre de 2016; Aceptado: 16 de febrero de 2017

Obtención de la fase de la impedancia eléctrica usando transformada Wavelet y transformada de Fourier de señales transitorias. Parte 1: Análisis teórico

Obtaining the electrical impedance phase using Wavelet transform and Fourier transform from transient signals. Part 1: Theoretical analysis

E. Gómez-Luna, aJ. Cuartas-Bermúdez, bE. Marles-Sáenz, c

Grupo GITICAP, Potencia y Tecnologias Incorporadas S.A, Cali, Colombia. eduardo.gomez@pti-sa.com.co Grupo GITICAP, Potencia y Tecnologias Incorporadas S.A Cali Colombia
Universidad del Valle, Cali, Colombia. Juan.cuartas.bermudez@correounivalle.edu.co Universidad del Valle Universidad del Valle Cali Colombia
Grupo GRLATA, Universidad del Valle, Cali, Colombia. Eduardo.marles@correounivalle.edu.co Universidad del Valle Universidad del Valle Cali Colombia

Resumen

Este artículo presenta cómo obtener la fase de la impedancia eléctrica a partir del análisis de señales transitorias, usando transformada de Fourier y Transformada Wavelet. Tradicionalmente, la transforma de Fourier ha sido utilizada para estos análisis, sin embargo, la transformada de Fourier está principalmente orientada al análisis de señales periódicas y no al análisis de señales transitorias. Por lo tanto, en este artículo se propone un nuevo método basado en la transformada Wavelet, el cual utiliza como wavelet madre, la Morlet modificada que es una adecuación de la Morlet compleja tradicional, con el fin de obtener una mejor representación de la fase en el dominio de la frecuencia. Tal mejoramiento se valida tomando como referencia los resultados obtenidos por el software "MATLAB" a partir de la impedancia de un circuito RLC en respuesta al impulso de la señal de voltaje, logrando mejorar las limitaciones de la transformada de Fourier para el análisis de este tipo de señales. El estudio realizado se ha dividido en dos partes, la primera parte incluye lo realizado de manera teórica y mediante simulación, la segunda parte consiste en presentar los resultados experimentales de un caso real validando el método desarrollado. Para ambos casos se utilizaron los mismos dos métodos matemáticos, donde se muestra la potencialidad de la transformada Wavelet para el análisis de transitorios en la obtención de la impedancia eléctrica ante la transformada de Fourier.

Palabras clave:

Transformada Wavelet, Transformada de Fourier, Señales en el dominio del tiempo, señales en el dominio de la frecuencia, transitorios, wavelet Morlet compleja.

Abstract

This paper presents how to get the phase of the electrical impedance from the analysis of transient signals, using Fourier Transform and Wavelet Transform. Traditionally, Fourier Transform has been used for these analysis, however, Fourier Transform is mainly oriented to the analysis of periodic signals and not to the analysis of transient signals. Therefore, this paper proposes a new method based in the Wavelet Transform, which uses as wavelet mother, the Morlet modified that is an adaptation of the traditional complex Morlet, to obtain a better representation of the phase in the frequency domain. Such improvement is valid taking as reference the results obtained by the software "MATLAB" from the impedance of an RLC circuit in response to the impulse of the voltage signal, managing to improve the limitations of the Fourier Transform for the analysis of this type of signals. The study has been divided into two parts, the first part includes what has been done theoretically and through simulation, the second part is to present the experimental results of a real case validating the method developed. For both cases the same two mathematical methods were used, where the potential of the Wavelet Transform for the analysis of transient shown in the obtaining of the electrical impedance front Fourier Transform.

Keywords:

Wavelet Transform, Discrete Fourier Transform, Time Domain signals, Complex Frequency Domain signals, non-periodical transients.

1. Introducción

El análisis de señales temporales para el cálculo de la impedancia eléctrica en sistemas eléctricos se ha obtenido llevando las señales del dominio del tiempo al dominio de la frecuencia, aplicando la Transformada Rápida de Fourier (FFT), sin embargo, quizás la FFT no sea la herramienta idónea para el análisis de éste tipo de señales, debido a que su estructura matemática está basada en el análisis de señales periódicas [1]-[3].

Una de las principales desventajas cuando se utilizan la Transformada de Fourier para el análisis de transitorios es el hecho de que se descompone una señal del dominio del tiempo de duración finita al dominio de la frecuencia en una suma de funciones exponenciales periódicas de duración infinita.

La transformada wavelet puede fácilmente superar este problema, ya que descompone una señal dada como una combinación de funciones no periódicas de duración finita que provienen de una función llamada wavelet madre [4],[5].

Por lo tanto, de acuerdo con las propiedades que presenta la transformada Wavelet puede ser una herramienta muy adecuada para el análisis de señales transitorias en especial para la obtención de la fase de la impedancia eléctrica, superando algunos de los inconvenientes presentados hasta el momento con los métodos clásicos de la transformada de Fourier para el procesamiento de señal, ofreciendo un rendimiento mejorado cuando se modela un sistema a partir de su respuesta transitoria, tal como se presenta en [6]-[10].

2. Transformada Wavelet y Fourier

A continuación, se hablará un poco de la teoría de cada método matemático utilizado para el análisis propuesto.

2.1. Transformada discreta de Fourier (DFT)

La función en el dominio de la frecuencia X(w) correspondiente a una señal discreta { xk } tal que , será definida por la suma infinita como se muestra en la Ec. (1) [11].

Donde X(w) representa una función periódica compleja en w. Con un periodo de muestreo T=1 y una frecuencia w=2nπ (Radianes por muestra) Al ser { xk } discreta.

X(w) resulta simétrica (ver ecuación (2)) en el intervalo - π ≤ w ≤ n. Por lo que para eficiencia computacional X(w) podría caracterizarse a partir únicamente del intervalo 0≤ w < π.

2.2. Transformada Wavelet continúa (CWT)

La CWT [12] fue desarrollada como una técnica alternativa a la STFT para superar el problema de resolución. El análisis wavelet se realiza de manera similar al análisis STFT, en el sentido que la señal es multiplicada por una función (wavelet) de manera similar a la función ventana en la STFT, y la transformada se calcula separadamente para distintos segmentos de la señal en el dominio del tiempo. Sin embargo, la ventaja que posee la CWT sobre la STFT radica en el hecho de que la ventana utilizada por la CWT es variable en función de la frecuencia. La CWT se define en la Ec. (3).

Donde indica el complejo conjugado de la wavelet madre, el parámetro " a " provee dilatación (o escalamiento) el cual varia de manera continua y el parámetro " τ " cumple la función de traslación.

La CWT da como resultado un conjunto de coeficientes que son función de la escala y el tiempo y que representan la similitud (correlación) de la señal con la wavelet escogida para el análisis. Una forma de observar el proceso realizado por la CWT es mediante los siguientes pasos:

  1. Escoger una wavelet madre (Acorde con el caso de aplicación).

  2. Dados dos valores iniciales de τ ya calcular el coeficiente C(τ, a) utilizando la Ec.(3), lo cual representa la correlación entre la wavelet y la sección de la señal bajo análisis.

  3. Desplazar la wavelet en el sentido positivo del eje temporal y repetir el paso 2, hasta que se cubra la totalidad de la señal.

  4. Escalar la wavelet y repetir los pasos 2 y 3.

De lo anterior cabe resaltar que tratándose de la CWT, los parámetros y varían de forma continua durante el proceso, pero al implementar el análisis de manera computacional los parámetros no varían de forma continua, sino que se escoge un paso lo suficientemente pequeño como para asumir dicha variación, con esto se logra una versión discretizada de la CWT.

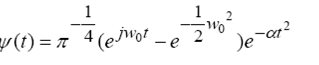
De esta manera se puede extraer la fase de la impedancia, usando transformada wavelet, para esto se usa la Morlet Compleja [13],[14] ya que para poder hallar la fase necesitamos tener la parte real e imaginaria sino la fase daría cero, esta Morlet se muestra en la Ec. (4).

Donde a es el parámetro que permite a la madre Morlet-Modificada [15] tiene más oscilaciones haciendo que el ancho de banda de la onda sea más estrecho.

Se puede definir un procedimiento para hallar la fase de la impedancia:

Aplicando la Transformada Wavelet en su forma discreta [15],[17],[18] a los datos de las señales de voltaje y corriente, respectivamente, como se muestra en la Ec. (5) y (6).

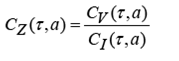
Con la información de los datos en la frecuencia se pueden obtener como el cociente entre los coeficientes de CV y CI como se muestra en la Ec. (7).

La impedancia en la escala definida por "a" se puede obtener de la integración de la Ec. (7) a lo largo de todo el tiempo de la ventana del transitorio. Debido a su naturaleza compleja, la integración se realiza con un enfoque vectorial. Entonces la fase se puede obtener por medio de la Ec. (8)

Donde los operadores "Re" y "Im" son la parte real y la parte imaginaria de los coeficientes complejos, respectivamente. Para solucionar los problemas que presenta la función tangente inversa de inestabilidad numérica se usó la función "angle" proporcionada por MATLAB como solución.

3. Simulación y comparación entre Fourier y Wavelet

Para realizar el análisis IFRA (Análisis de la respuesta en frecuencia ante un impulso) que utiliza señales transitorias como entrada, se simuló una respuesta transitoria de un circuito RLC en el programa de transitorios ATP [19], el circuito simulado se presenta en detalle en [20] al igual que el procedimiento realizado mediante Wavelet.

El método desarrollado en simulación consistió en aplicar una señal controlada de bajo voltaje tipo impulso, de tal forma que todas las componentes frecuenciales se inyectan en el mismo instante de tiempo. Se registraron señales de voltaje v(t) y corriente i(t) de forma simultánea, se aplicó la transformada de Fourier (FFT) y la transformada wavelet continua (CWT) para determinar la amplitud de cada componente frecuencial. El circuito simulado en ATP se muestra en la Fig. 1.

Los valores de los elementos de las celdas simuladas se presentan en la Tabla 1, estos valores hacen referencia a una curva real del modelo de celdas propuesto en [21], para representar la respuesta en frecuencia real de un transformador mediante la técnica del modelado de celdas.

Circuito para la simulación de inyección de un pulso.

Figura 1: Circuito para la simulación de inyección de un pulso.

Fuente: [21]

Tabla 1: Valores de los elementos de las celdas utilizadas en la simulación

Fuente: Adaptado de [21].

Circuito utilizado en Simulink MATLAB.

Figura 2: Circuito utilizado en Simulink MATLAB.

Fuente: Propia.

Ahora, para realizar el método SFRA (Análisis de la respuesta en frecuencia ante un barrido frecuencial) el cual utiliza una señal sinusoidal como entrada, se simuló en MATLAB usando la herramienta Simulink donde se puede obtener la impedancia de un circuito mediante la función "medición de la impedancia" (impedance measurement) con el fin de tener una señal referencia de la fase. Este procedimiento se realizó con el mismo circuito mostrado en la Fig. 1 y los mismos valores que presenta la Tabla 1, tal como se muestra en la Fig. 2.

Con esto se buscó un modo de validación para los resultados que se van a obtener con señales transitorias, ya que deben ser iguales porque son los mismos circuitos y la respuesta en frecuencia debe coincidir.

3.1. Análisis de sensibilidad al parámetro alfa (a)

Se realizó un análisis de sensibilidad al parámetro alfa (a) buscando que la Morlet compleja que muestra la Ec. (4) tenga más oscilaciones ya que así el ancho de banda es más estrecho y se puede obtener un análisis más fino, esto se hizo porque en los primeros resultados la curva (Fig. 3) no era lo suficientemente suave y exacta.

IFRA usando transformada de Wavelet con 
 
 
 a 
 
 
 = 0,5.

Figura 3: IFRA usando transformada de Wavelet con a = 0,5.

Fuente: Propia.

Tabla 2: Valoresde alfa para el análisis de sensibilidad.

Fuente: Propia.

Primer análisis de sensibilidad.

Figura 4: Primer análisis de sensibilidad.

Fuente: Propia.

Los valores seleccionados y analizados de alfa a se muestran en la Tabla 2.

Con el primer análisis realizado se pudo notar que la respuesta, aunque presenta una similitud a la referencia no es del todo adecuada, por lo que se realizó el segundo análisis (Fig. 5) buscando mejorar la respuesta.

Con este segundo análisis se pudo mejorar la respuesta de la fase, los tres valores se ajustan pero el más indicado ya que está totalmente sobrepuesto sobre la curva referencia (SFRA MATLAB) es alfa con 0,02 ( a =0,02). De aquí en adelante usaremos este valor para todas las respuestas obtenidas, modificando así la Morlet Compleja descrita en la Ec. (4).

Segundo análisis de sensibilidad.

Figura 5: Segundo análisis de sensibilidad.

Fuente: Propia.

Señal de voltaje en el tiempo, con una ventana de 3 ms (30.000 muestras) a 10 M muestras / s.

Figura 6: Señal de voltaje en el tiempo, con una ventana de 3 ms (30.000 muestras) a 10 M muestras / s.

Fuente: Propia.

Señal de corriente en el tiempo, con una ventana de 3 ms (30.000 muestras) a 10 M muestras / s.

Figura 7: Señal de corriente en el tiempo, con una ventana de 3 ms (30.000 muestras) a 10 M muestras / s.

Fuente: Propia.

3.2. Simulación y validación

Se realizó el siguiente procedimiento para obtener las curvas de fase con Wavelet y Fourier:

Se utilizó ATP para la simulación de las señales temporales aplicando un pulso de tensión (Fig. 6) y la respuesta de corriente que se obtiene a partir del sistema RLC que se muestra en la Fig. 7.

Se obtuvo la respuesta en frecuencia directamente en Matlab del sistema de RLC en términos de su impedancia (fase). Esta respuesta se tomó como referencia (Fig. 8).

Respuesta en frecuencia de la fase SFRA (Referencia).

Figura 8: Respuesta en frecuencia de la fase SFRA (Referencia).

Fuente: Propia.

(SFRA vs IFRA) Usando transformada de Fourier.

Figura 9: (SFRA vs IFRA) Usando transformada de Fourier.

Fuente: Propia.

(SFRA vs IFRA) Usando transformada de Wavelet.

Figura 10: (SFRA vs IFRA) Usando transformada de Wavelet.

Fuente: Propia.

Por último se tomó los transitorios de voltaje y corriente, para obtener la respuesta de frecuencia del sistema de RLC a través de la transformada de Fourier (Fig. 9) y transformada Wavelet (Fig. 10), para así comparar cada una con la referencia obtenida.

Los dos resultados fueron satisfactorios, tanto para la transformada Wavelet como la Transformada de Fourier, mostrando que el procedimiento utilizado para el análisis de las simulaciones es adecuado, dando paso al análisis respectivo de variaciones de ventana de análisis (número de datos) y frecuencia de muestreo para poder determinar la potencialidad de cada herramienta.

3.3. Variación de la ventana de análisis

Con el fin de demostrar las ventajas de cada herramienta se realizó el mismo procedimiento mostrado anteriormente (paso 1 y paso 3) considerando simplemente el mismo ejemplo pero con una ventana de tiempo de 1,5ms en la que el número de muestras fue de 15.000 (la frecuencia de muestreo es de nuevo simulada a 10M muestras / s).

Señal de voltaje en el tiempo, con una ventana de 1,5ms (15.000 muestras) a 10M muestras / s.

Figura 11: Señal de voltaje en el tiempo, con una ventana de 1,5ms (15.000 muestras) a 10M muestras / s.

Fuente: Propia.

Señal de corriente en el tiempo, con una ventana de 1,5ms (15.000 muestras) a 10M muestras / s.

Figura 12: Señal de corriente en el tiempo, con una ventana de 1,5ms (15.000 muestras) a 10M muestras / s.

Fuente: Propia.

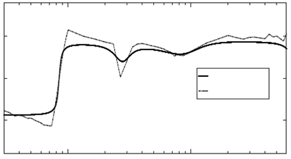
Con estas dos señales se puede obtener una curva (Fig. 13), donde se muestra la respuesta de la fase con cada herramienta matemática (Transformada Wavelet y Fourier), para así poder realizar una comparación de cuál método es más estable a la disminución del número de muestras.

El acortamiento de la ventana de tiempo se traduce en una pérdida de la información en las gamas alta y baja frecuencia. Fourier exhibe un impacto dramático en esos rangos, mientras que el método Wavelet ofrece un rendimiento mejorado, tal como se señala en la respuesta de la fase (Fig. 13). Adicionalmente, la Fig. 14 muestra un zoom de la Fig. 13.

Se puede apreciar como la respuesta con Fourier exhibe una forma oscilante, mientras que la respuesta con Wavelet ofrece una respuesta más precisa sin efectos de oscilación. Este efecto se puede notar incluso en el rango de frecuencia media, por encima de 40 kHz.

(Fourier vs Wavelet) con una ventana de 1,5ms (15.000 muestras) a 10M muestras / s.

Figura 13: (Fourier vs Wavelet) con una ventana de 1,5ms (15.000 muestras) a 10M muestras / s.

Fuente: Propia.

Zoom de la Figura 13. (Fourier vs Wavelet) con una ventana de 1,5ms (15.000 muestras) a 10M muestras / s., Por encima de 100 kHz.

Figura 14: Zoom de la Figura 13. (Fourier vs Wavelet) con una ventana de 1,5ms (15.000 muestras) a 10M muestras / s., Por encima de 100 kHz.

Fuente: Propia.

3.4. Variación de la frecuencia de muestreo

Por ultimo para seguir demostrando las ventajas de usar Wavelet o Fourier, seguimos realizando el procedimiento mostrado anteriormente y a seguir considerando el mismo ejemplo con una ventana de tiempo de 1,5ms (15.000 muestras), pero ahora se simuló con una frecuencia de muestreo de 2,5M muestras / s para así poder realizar una comparación de cuál método es más estable al cambio en la frecuencia de muestreo.

(Fourier vs Wavelet) con una ventana de 1,5ms (15.000 muestras) a 2,5 M muestras / s.

Figura 15: (Fourier vs Wavelet) con una ventana de 1,5ms (15.000 muestras) a 2,5 M muestras / s.

Fuente: Propia.

Zoom de la Figura 15. (Fourier vs Wavelet) con una ventana de 1,5ms (15.000 muestras) a 2,5 M muestras / s., Por encima de 100 kHz.

Figura 16: Zoom de la Figura 15. (Fourier vs Wavelet) con una ventana de 1,5ms (15.000 muestras) a 2,5 M muestras / s., Por encima de 100 kHz.

Fuente Propia.

Vemos como Wavelet sigue siendo mucho más estable a comparación de Fourier en baja frecuencia, como en el caso anterior, la Fig. 16 muestra un zoom realizado a la Fig. 15.

Se puede apreciar cómo la respuesta con Fourier sigue mostrando una forma oscilante, mientras que la respuesta con Wavelet ofrece una respuesta más precisa, resultado que ya se había visualizado en la variación de ventana de análisis.

Conclusiones

El método desarrollado propone una mejora en el procesamiento de señales en frecuencia para la obtención de la fase de la impedancia eléctrica. Permitiendo superar la herramienta utilizada tradicionalmente como la transformada de Fourier ante el análisis de señales transitorias.

Para lograr buenos resultados se sugiere una adecuda elección de la wavelet madre (Morlet Compleja) que se ajuste al caso de estudio a analizar, lo que permite un correcto análisis de la fase de la impedancia

Se confirma el potencial de la transformada wavelet para el procesamiento de señales transitorias en comparación con la transformada de Fourier tanto en casos simulados. Sin embargo, el tiempo de cálculo es más grande en comparación con la transformada de Fourier lo que se vuelve critico al momento de implementar el método en tiempo real, siendo necesario reducir el tiempo de cálculo para potencializar la herramienta desarrollada.

Este trabajo es un gran aporte para el procesamiento y modelado matemático de señales transitorias usando transformada Wavelet para la obtención de la fase de la impedancia eléctrica no existente hasta el momento.

Referencias

  1. [1] Robertson, D.C., Camps, O.I., Mayer, J.S. and Gish, W.B., Wavelets and electromagnetic power system transients. IEEE Transactions on Power Delivery, 11(2), pp. 1050-1058, 1996. 🠔
  2. [2] Gómez-Luna, E., Silva, D., Aponte, G., Pleite, J. and Hinestroza, D., Obtaining the electrical impedance using wavelet transform from the time response, IEEE Transactions on Power Delivery, 28(2), pp.1242-1244, 2013. 🠔
  3. [3] Duarte, C., Delmar, P., Goossen, K., Barner, K. and Gómez-Luna, E., Non-Intrusive load monitoring based on switching voltage transients and Wavelet transforms. International Workshop Future of Instrumentation (FIIW), USA, pp. 1-4, October, 2012. 🠔
  4. [4] Mallat, S., A Wavelet tour of signal processing, 3rd ed. New York: Elsevier, 2009. 🠔
  5. [5] Leigh, G.M., Fast FIR algorithms for the continuous Wavelet transform from constrained least squares IEEE Transactions on Signal Processing, 61(1), pp. 28-37, 2013. 🠔
  6. [6] Gómez-Luna, E., Aponte, G., Gonzalez-Garcia, C. and Pleite, J., Current status and future trends in the Frequency Response Analysis (FRA) with the transformer in service. IEEE Transactions on Power Delivery, 28(2), pp. 1024-1031, 2013. 🠔
  7. [7] Malewski, R. and Poulin, B., Impulse testing of power transformers using the transfer function method, IEEE Trans. on Power Delivery, 3(2), pp. 476-489, 1988. 🠔
  8. [8] Leibfried, T. and Feser, K., On-line monitoring of transformers by means of the transfer function method. Conference Record of the IEEE International Symposium on Electrical Insulation, Pittsburgh, PA USA, June 5-8, 1994. 🠔
  9. [9] Gómez-Luna, E., Silva, D. and Aponte, G., Selection of a mother wavelet for frequency analysis of transient electrical signals using WPD. Engineering Chilean Journal, Ingeniare, 21(2), pp. 262-270,2013. 🠔
  10. [10] Gómez-Luna, E., Aponte, G. and Pleite, J., Non-invasive monitoring of transformers using the frequency response from controlled transient signals, Ingeniería y Competitividad, 15, pp. 23-33, 2013. 🠔
  11. [11] Fessler, J., The discrete Fourier transform, pp. 1-31, 2004. 🠔
  12. [12] Yunhui S. and Qiuqi, R., Continuous wavelet transforms, Proc. 7th Int. Conf. Signal Process. 2004. Proceedings. ICSP '04. 2004., 1, pp.207-210, 2005. 🠔
  13. [13] Li, H., Complex Morlet wavelet amplitude and phase map based bearing fault diagnosis *, 50775219, pp. 6923-6926, 2010. 🠔
  14. [14] Antoniadis, I., Rodopoulos, K. and Yiakopoulos, C., Multiple instantaneous frequency estimation using complex shifted Morlet wavelets, The International Journal of Condition Monitoring, 3(2),pp. 42-46, 2013. DOI: 10.1784/204764213808146608 [DOI] 🠔
  15. [15] H. Li, Bearing fault diagnosis based on time scale spectrum of continuous wavelet transform, in: Proc. 8th Int. Conf. Fuzzy Syst. Knowl. Discov., pp. 1934-1937, 2011. 🠔
  16. [16] Nieto, N. y Orozco, D., El uso de la transformada wavelet discreta en la reconstrucción de señales senosoidales, 38, pp. 381-386, 2008. 🠔
  17. [17] Figueiredo, M.B., Almeida, A.D. and Ribeiro, B., Wavelet decomposition and singular spectrum analysis for electrical signal denoising. Engineering, pp. 3329-3334, 2011. 🠔
  18. [18] Butler, K.L. and Bagriyanik, M., Characterization of transients in transformers using discrete Wavelet transformer. IEEE Transactions on Power Systems, 18(2), pp. 648-656, 2003. 🠔
  19. [19] Kam, S., Nielsen, S. and Ledwich, G., A Circuit-Breaker restrike diagnostic algorithm using ATP and Wavelet transforms. Research Gate, 6 P., 2011. 🠔
  20. [20] Gomez-Luna, E., Aponte-Mayor, G., Pleite-Guerra, J., Silva-Salcedo, D.F. and Hinestroza -Gutierrez, D., Application of Wavelet transform to obtain the frequency response of a transformer from transient signals-part 1: Theoretical analysis, IEEE Trans. Power Deliv., 28(3), pp. 1709-1714, 2013. 🠔
  21. [21] Pleite, J., Olias, E., Barrado, A., Lazaro, A. and Vazquez, J., Transformer modeling for FRA techniques, IEEE/PES Transm. Distrib. Conf. Exhib., 1, pp. 317-321, 2002. 🠔
  22. [22] Cortés, J.A., Cano-Garzón, H.B. y Chaves, J.A., Del análisis de Fourier a las Wavelets - transformada continua wavelet (CWT), Sci. Tech., XIII(37), pp. 133-138, 2007. 🠔
  23. [23] Montoya, F.G., Manzano-Agugliaro, F., López, J.G. and Alguacil, P.S., Técnicas de Investigación en Calidad eléctrica: Ventajas e inconvenientes, DYNA, 79(173), pp. 66-74, 2012. 🠔
  24. [24] Gómez-Luna, E., Aponte G. y Pleite, J., Sistema de obtención de la respuesta en frecuencia de máquinas eléctricas, Madrid, España Patente ES-2534954 B1, February 09, 2016. 🠔
  25. [25] Gómez-Luna, E., Aponte G . y Pleite, J., Sistema de obtención de la respuesta en frecuencia de máquinas eléctricas, Bogotá D.C, Colombia, Superintendencia de Industria y Comercio, Resolución N° 84043, Ref. Expediente N° 14225745, Diciembre 2016. 🠔
How to cite: Gómez-Luna, E., Cuartas-Bermúdez, J. S., and Marles-Sáenz, E., Obtención de la fase de la impedancia eléctrica usando transformada wavelet y transformada de Fourier de señales transitorias. Parte 1: Análisis teórico. DYNA 84(201), pp. 138-144, 2017.