DYNA
0012-7353
Universidad Nacional de Colombia
https://doi.org/10.15446/dyna.v84n200.60620

Recibido: 19 de octubre de 2016; Revision Received: 5 de diciembre de 2016; Aceptado: 19 de diciembre de 2016

Method for estimating manufacturing competitiveness: The case of the apparel maquiladora industry in Central America

Método para la estimación de la competitividad: El caso de la industria maquiladora de ropa en Centroamérica

J. Ocampo, a J. Hernández-Matías, b A. Vizán, b

Facultad de Ingeniería y Arquitectura, Universidad Tecnológica Centroamericana, San Pedro Sula, Honduras. jared.ocampo@unitec.edu Universidad Tecnológica Centroamericana San Pedro Sula Honduras
Departamento de Ingeniería Mecánica, Universidad Politécnica de Madrid, Madrid, España. jc.hernandez@upm.es, antonio.vizan@upm.es Universidad Politécnica de Madrid Universidad Politécnica de Madrid Madrid Spain

Abstract

This paper proposes an integrated method for estimating the manufacturing competitiveness of companies using their comparative performance in their manufacturing objectives. The developed method uses an extensive analysis of the literature along with expert analysis through the Delphi method to identify the factors influencing competitiveness in the industry under study. Different statistical coefficients such as Cronbach’s alpha, Kendall’s W, Fleiss’ kappa and Intraclass Correlation are used to assure reliability in the instruments and the experts’ opinion. Exploratory factor analysis (EFA) and a subsequent confirmatory factor analysis (CFA) are used as the means to obtain the measurement model with which to calculate an indicator of manufacturing competitiveness. An empirical case study using the proposed method is performed in a sample of apparel maquiladora plants.

Keywords :

manufacturing competitiveness, manufacturing capabilities, competitive priorities, apparel industry.

Resumen

En este trabajo se propone un método integrado para la estimación de la competitividad de fabricación de las empresas utilizando su rendimiento comparativo en sus objetivos de fabricación. El método desarrollado utiliza un extenso análisis de la literatura, junto con un análisis de expertos a través del método Delphi para identificar los factores que influyen en la competitividad de la industria bajo estudio. Diferentes coeficientes estadísticos tales como el alfa de Cronbach, W de Kendall, kappa de Fleiss y la correlación intraclase se utilizan para asegurar la fiabilidad de los instrumentos y de la opinión de los expertos. El análisis exploratorio de factores (EFA por sus siglas en inglés) y un posterior análisis factorial confirmatorio (CFA por sus siglas en inglés) se utilizan como el medio para obtener el modelo de medición con el que se calcula un indicador de la competitividad de fabricación. Un caso de estudio empírico utilizando el método propuesto se lleva a cabo en una muestra de plantas maquiladora de ropa.

Palabras clave :

competitividad de fabricación, capacidades de fabricación, industria de ropa.

1. Introduction

The globalization of the economy has opened up markets so that companies are free to offer goods and services or purchase from any supplier worldwide. In an effort to improve their competitiveness, many companies have sought to obtain their supplies from places in the world that offer the best mix possible of value and cost, manufacturing their products in countries with cheap labor and selling them in markets where they can get the highest selling price possible [1]. This need has led to the creation of the export-oriented assembly industry in which a multinational corporation establishes industrial factories in developing countries to manufacture products and offer services at affordable prices, which are then sold in developed nations [2,3].

This globalization along with the slowdown in world economy has presented serious problems to the majority of the companies, which are forced to rethink their strategies, processes and procedures to be more competitive and to stay in business [4,5]. Cozzarin [6] and Awwad et al. are of the opinion that one of the fundamental elements to develop a productive system that is able to achieve a lasting competitive advantage is the definition of a set of competitive priorities that the company can follow. Therefore, any company that wants to develop strategies that place them in a better position in relation to their competitors needs to know what competitive priorities or factors and their corresponding components the market is demanding.

An important and current problem faced by manufacturing plants is that there is no clear way to measure manufacturing competitiveness that administrators can use to help them direct their improvement efforts. Therefore, the purpose of this study is to propose an integrated method for estimating the manufacturing competitiveness in developing countries through a comprehensive analytical model based on expert analysis, empirical data collection and factor analysis in the specific sector under study. The apparel industry has been selected as a case study due to the importance of this industry to the gross domestic product (GDP) and labor market of developing countries [4]. Additionally, this study is considered important because of the existing need of conducting industry-specific studies that do not suffer from the generalization across industries and countries, which results in high levels of abstraction that deters managers from considering the results applicable and relevant [7,8].

2. Theoretical background

2.1. Estimating competitiveness at the company level

Although there is not a definition of competitiveness that is universally accepted, company or firm competitiveness can be defined as the ability of a company to perform better than similar companies in terms of sales, profitability, quality, efficiency, among others [10]. To achieve this level of performance the company needs to attain a higher degree of specialization or excellence in certain areas in comparison with those it competes against [11]. Some authors relate competitiveness to the ability to maintain good performance in different aspects [12], to decrease labor cost and increase the GDP [13], or to generate and maintain competitive advantage [14]. Porter’s model [15] suggests that competitiveness is obtained by creating superior value, which must correlate directly to a superior financial performance or a profitability higher than the industry average [16].

Even though many authors advocate the use of only financial performance indicators to measure competitiveness [10,16], the factors that lead a company to being competitive usually are non-financial [17]. In fact, according to Flanagan et al. [18] one of the dominant theories regarding firm competitiveness is the resource-based view (RBV) and core competence approach which assumes that each company is a collection of tangible and intangible assets or resources that are specific to that company and cannot be easily imitated by rivals [19]. Resources by themselves do not yield competitive advantage, but when a set of them are formed into a capability they can perform tasks or activities that can create value and achieve competitive advantage over a company’s rivals [20]. According to this theory, the resources and capabilities that are valuable, rare, inimitable and non-substitutable (VRIN) over time get combined in a harmonized way until becoming core competencies of the firm.

Another theory known as Dynamic Capabilities View (DCV) proposes that most companies nowadays are more focused on competitive survival than on achieving competitive advantage [9]. Under this paradigm a new type of assets called dynamic capabilities are responsible for helping a company to adapt adequately to the constant changes of today’s economy, allowing it to remain competitive and survive [21]. Yung-Ching and Tsui-Hsu [22] define dynamic capabilities as “a set of specific and identifiable processes, or a pool of [controllable] resources that firms can integrate, reconfigure, renew and transfer”. Samples of these capabilities are organizational routines, distinctive higher order managerial processes, organizational knowledge, and technological assets [23]. These dynamic capabilities do not necessarily lead to sustainable competitive advantage, but can give temporary advantage or competitive parity [7], which assists in the organization’s survival in certain contexts.

From these two theories it can be seen that a good way to measure a company’s manufacturing competitiveness is by measuring its manufacturing capabilities, which is its ability to achieve high performance in its manufacturing goals. These goals, known in literature as competitive priorities [24], are strategic choices regarding which capabilities are important to achieve certain expected outcomes. Then, the competitive priorities are the “goals” of a company and the competitive capabilities are the “actual” realization of those priorities in real strengths.

Since the competitive capabilities of a company are generally regarded as a direct manifestation of that firm’s competitive priorities [25], some authors have studied the influence of those competitive priorities on company’s competitiveness or business performance. Some of them have found a positive relationship between high levels of competitive capabilities and achieving high-level performance [26]. Therefore, measuring competitive capabilities performance seems an adequate way to describe the manufacturing competitiveness of a company.

2.2. Manufacturing strategy and competitive priorities

Much research has been done on the existing relationship between manufacturing strategy and company performance [25-27]. Hallgren [28] explains that the two most important properties of the manufacturing function are the capacity of the system and the existence of specific manufacturing objectives or goals. Leong et al. [29] calls these two properties: competitive priorities and decision categories, respectively. According to Größler and Grübner [30], the manufacturing capacity is the strength or ability of a business unit to achieve a certain expected performance that is measured using operational performance indicators. Therefore, the manufacturing capacity of a plant is the connection between the manufacturing strategy content and the manufacturing system performance.

The manufacturing capacity of a company by itself does not improve its performance, the decisions and actions taken are the ones that make the change. The operation management literature has categorized these types of decisions into structural and infrastructural [31]. Structural decisions are characterized by their long-term impact due to the high investment required which usually significantly affects the capabilities of the manufacturing system. Meanwhile, infrastructural decisions focus on helping management processes from different areas of the company to provide better support to the manufacturing function. These decisions determine what resources, processes and routines should be used to achieve the manufacturing objectives. The pattern of decisions and actions taken by a company determines the operating characteristics and capabilities of the manufacturing system [32].

The other component of the manufacturing strategy is the manufacturing objectives or priorities. From the literature review, four competitive priorities emerge as fundamental: cost or efficiency, flexibility, quality and delivery time [24]. However, other authors have added to these priorities: innovation [29,32], customer service [33], environmental protection [24], and experience or know-how [34].

The competitive priorities are multidimensional by nature, meaning that there is a group of components or dimensions that explain each priority and help measure them. According to the evidence found in the literature review, these components vary depending on the industry or market under study. Using the work from [1,24,28] a comparative analysis was done [35] and from this analysis, seven priorities were found to be the most important in the literature.

Skinner [36] introduced the notion that it is impossible to excel in all of these priorities simultaneously, making it necessary to establish a balance or trade-off between them. Since that time, different authors have presented empirical evidence that seeks to support the trade-off model [37,38]. In fact, several studies have tried to order these priorities according to their importance to the company or to the market. The main idea is that once the hierarchical order is established, it is possible to know which tasks the manufacturing unit must do well in [39], or where to focus more resources to meet market requirement and be competitive [40]. To identify this trade-off different authors have suggested using an empirical analysis of the perception of company directors, vice presidents or managers [7,41,42] or expert opinion [1] regarding the level of importance of each priority and their components. The responses are weighted using different equations or algorithms to find the relative importance of each component and priority.

3. Research design and proposed method

This study initially follows an inductive and qualitative exploratory design that uses a literature review and interviews with experts to determine how to measure the manufacturing competitiveness of firms. After this initial stage, the subsequent collection of empirical data and the use of statistical analysis transform the approach followed into a deductive, explanatory and quantitative study that ends with the testing and validation of the developed architecture through a case study. Therefore, this work has been done following mixed research methods that can be categorized as applied research.

The method proposed is described in Fig. 1 and is comprised of five steps mixing qualitative and quantitative methods:

Method for determining manufacturing competitiveness.

Figure 1: Method for determining manufacturing competitiveness.

Source: The authors.

3.1. Identifying variables to study

The first step requires a comprehensive literature review to understand the theory behind competitiveness and manufacturing strategy for the industry under study and to identify applicable variables to study. Interviews with managers of companies of that industry need to be conducted to clarify the concepts and ideas obtained. The intention of this step is to obtain a list of competitive priorities and components (variables) that can be used to explain manufacturing competitiveness in the industry under study. An initial survey to be used with a group of experts of this industry needs to be prepared using the variables obtained from the literature review.

3.2. Select domain experts for performing analysis

This second step intends to identify domain experts to use in the selection of competitive priorities and its components to measure manufacturing competitiveness. These experts are selected from among plant, production, engineering and quality managers with at least five years of experience and who work in the most important companies in this industry. Expert judgment reliability is determined using Kendall’s coefficient of concordance (W) and the selected group is used as the group of experts for the next steps of the study. The formula used to calculate W can be found in [43].

3.3. Reduce the number of variables (expert analysis)

Step 3 is concerned with conducting an analysis through the Delphi method to reduce the number of competitive priorities and components found in step 1 to only those which are important and relevant. Delphi method is a technique widely used and accepted that helps achieve unity of opinions among experts regarding a specific issue [44,45]. The method can be used to seek consensus, agreement or association between the opinions of the experts using different indices [51]. This technique requires: (1) anonymity of the experts to avoid biased opinions and reduce the effects of dominant individuals, (2) several rounds of controlled feedback with summaries of the previous iteration to reduce the effect of teamwork noise and to create consensus, and (3) use of statistical analysis to draw final conclusions, to reduce peer pressure and to ensure an objective and impartial analysis [46,47].

A survey containing the variables identified in the literature review is presented to the experts so they can select those that according to them are important for describing manufacturing competitiveness in the apparel industry. Two additional surveys that follow an iterative process of controlled feedback through dichotomous and ordinal questions are used with the purpose of creating consensus among the experts. For the questions with dichotomous answers, the statistical tool used to determine the degree of agreement among the experts is the Fleiss’ kappa coefficient (k). The formula used to calculate k can be found in [43].

For the questions with ordinal answers, the agreement is measured using intraclass correlation coefficient (ICC). To calculate the ICC it is necessary to do a two factor without replication data analysis (ANOVA) where the rows correspond to the subjects (n) and the columns (k) to the experts using the equation found in [43]. The final product of these two steps is a list of the industries under study’s most important competitive priorities and corresponding components with an initial hierarchy proposed.

3.4. Validate constructs and establish hierarchy and weights

Step 4 consists of gathering empirical data using a survey created from the inputs from step 3 in order to obtain information regarding the importance that the industry under study gives to each component and factor, and in the process to validate the proposed manufacturing competitiveness model. The data needs to be gathered from a sample of managers and engineers (practitioners) of that industry. The data is then analyzed using Cronbach´s alpha to test the internal consistency and reliability of the instrument and exploratory factor analysis (EFA) through principal component analysis (PCA) to confirm the validity of the constructs previously established or to form new constructs based on these analyses’ findings.

Both analyses will probably provoke that components that did not meet the cut-off criteria are discarded in order to improve the reliability of the model. The final measurement model achieved is tested using confirmatory factor analysis (CFA) through the maximum likelihood method (ML). The total explained variance of each competitive priority (factor) along with the factor loadings of each component (variable) are used to find the relative weight of each variable.

3.5. Formulate a reference model and index

In step 5, the elements obtained in the previous steps are used to generate a manufacturing competitiveness’ reference model of the industry under study. This model is then used to propose a manufacturing competitiveness index that allows a company to benchmark their current perceptual capabilities in contrast to the strategic focus of all the industry. This reference model uses factors and components conforming to the competitive priorities of the whole sector and using the variance each factor can explain and the loadings of each component, establishes weights that can consider the strength that a company has in its corresponding competitive capabilities relative to their main competitors. This reference model is obtained from step 4.

A manufacturing competitiveness index (MCI) can be calculated using the weighetd mean of the scores regarding a plant’s comparative performance in those capabilities considered important by the whole industry [41]. The index calculation requires that the scores obtained are adjusted by the importance that each factor has according to the competitive priorities of the sector. This adjustment is done using the factor loadings of each component (F i ) and the weighting element obtained from the variability explained by each factor (ω i ). The adjusted factors F i are calculated by multiplying the average comparative performance (P) reported by the plant whose MCI is being calculated, with the factor loadings (L) of each component j that conforms each factor k, divided by the sum of all the loadings of that specific factor. The equation that describes this value is as follows:

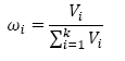
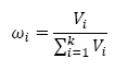
The weights ω i can be calculated by dividing the percentage of variance of each factor by the sum of all the percentage of variance explained by all the factors. The equation to obtain this value is as follows:

Which means that the manufacturing competitiveness index can be calculated with the equation:

The equation (13) will yield a value that can range between 1 and 5, so in order to make the index more useful this can be standardized between 0 and 100. This can be done using the following equation:

Where MCI is the manufacturing competitiveness index achieved, the min MCI is the minimum index value possible or achieved by other companies, and max MCI the maximum index possible or achieved if this was a comparative study against other companies of the same sector. The usefulness of this index lies in its ability to measure manufacturing competitiveness based on factors other than the traditional financial and economic metrics.

4. Case study: Apparel maquiladoras in Honduras

4.1. Sample and data collection

In order to test the proposed integrated method, 12 semi-structured interviews were conducted with plant, production and engineering managers of apparel manufacturing plants to obtain qualitative and quantitative data through an expert study using the Delphi method. Additionally, an empirical study was developed using a sample of apparel manufacturing plants located in Honduras. Researchers have recognized that empirical surveys in this type of industries suffer from very low-response rates [48,49] and this was also the case in this study. According to the Honduras Manufacturers Association, there is a population of 122 apparel manufacturing companies with more than 80% of the different plants of these companies located in the northern part of the country. The survey was sent to plant, production and engineering managers from 228 plants achieving a response rate of 43% (98 respondents) with 57 usable surveys (all the questions answered appropriately). 70% of the surveys came from multinational factories. The descriptive statistics of the survey respondent can be seen in Table 1. The survey was distributed online using www.qualtrics.com.

Table 1: Descriptive statistics of survey respondents.

Source: The authors.

A survey with two different five-point Likert scales for each item was used. One scale asked respondents for the level of importance they assigned to each item ranging from (1) low importance to (5) very high importance, to determine the competitive priorities of the sector. The other scale assessed comparative performance of their manufacturing plant in each of the items ranging from (1) significantly lower than competitors to (5) significantly better than competitors, to determine the competitive capabilities exhibited by each company. Reliability, parametric, and factor analyses were used for the Likert-scale values, following the practice of other researchers publishing in journals devoted to operation management topics [31,50].

Then, Cronbach’s alpha was used to assess the reliability and internal consistency of the survey. The usual cut-off point required to accept the reliability of instruments for exploratory work is 0.6 [51]. The Cronbach’s alpha achieved for the complete survey was 0.88 and the individual values for each construct used in the survey were all superior to the 0.6 threshold value.

4.2. Identify variables to study (Step 1)

The first step of the proposed method was the identification of variables to study. From the literature review and expert interviews seven priorities were found that could contribute to textile assembly plants’ manufacturing competitiveness: cost, quality, flexibility, delivery time, customer service, environment protection, and innovation. Different authors used different components to explain each priority and 177 components were found which later were condensed to 84 unique components. The reduction of all these variables to only those that are applicable and important to the textile assembly industry was done with a group of domain experts through an iterative Delphi Method. The steps followed for this initial reduction are explained in more detail in previous studies [35,52].

4.3. Select the experts for the analysis (Step 2)

The first survey’s purpose was to identify which group of experts we should use in the Delphi study based on the level of agreement among them (unity of criterion). Since Kendall´s coefficient of concordance (W) can be used to measure the agreement among raters that rank subjects in order of importance, it was used to identify if a selected group of experts had the same degree of expertise [53]. The method selected consisted of asking a group of pre-selected professionals to rank in order of importance to the textile assembly industry, the seven competitive priorities obtained in step 1. Then, using an iterative process, the group of experts that yielded the highest agreement was retained as the experts for the rest of the study. The pre-selected experts were plant, production and engineering managers with at least five years of experience working in the best apparel manufacturing plants in the country. From the iterative method a group of 10 experts was obtained with a W = 0.81 (p-value = 0).

4.4. Reduce the number of variables (Step 2)

This step’s purpose was to reduce the number of variables to only those important to the manufacturing competitiveness of the apparel manufacturing industry. The initial instrument used in the Delphi study was a survey that presented the 84 variables obtained in step 1 from which the experts selected those components that were important (dichotomous answer). The components on which there was consensus regarding their irrelevance were dropped from the list (24 variables) and the rest passed to the second round.

In the second round, experts were presented with the components they had initially selected as important contrasted with those only their expert peers identified as important. In this new survey, they were asked to reconsider their negative answer in light of the answer of their anonymous peers. This was an iterative process continued until obtaining substantial agreement between the experts. The statistical tool used to determine the degree of agreement among the experts in these rounds was the Fleiss’ kappa coefficient (k). For this study, it was considered that a k -value above 0.6 showed an acceptable agreement between the experts [54]. After the first two rounds a k = 0.63 (p-value = 0) was obtained and the iterations were stopped. From this analysis, seven competitive priorities were identified with 25 disaggregated components (Table 2).

A third survey was used to validate the agreement reached by the experts in the previous rounds. Experts were asked to assess the degree of importance of each remaining component using a five point Likert scale. The average response answer for each component can be seen in Table 2. Since the questions were assumed interval, intraclass correlation coefficient (ICC) was used to measure agreement. An ICC = 0.67 was obtained, rendering a moderate agreement among the experts [55]. Further discussion with the experts yielded to drop those components associated with innovation, because it was assumed that since innovation was an integral part of the ongoing continuous improvement of this industry this was already implicit in all the other competitive priorities being evaluated.

4.5. Validate constructs and establish hierarchy (Step 2)

To validate the proposed constructs an exploratory factor analysis (EFA) based on principal component analysis (PCA) with a varimax rotation was performed using the data obtained from the survey questions regarding the level of importance of the competitive priorities. The sampling adequacy was confirmed with the Kaiser-Meyer-Olkin (KMO) test and the Bartlett’s test of sphericity. The KMO obtained of 0.69 was considered acceptable since it was above the 0.6 cutoff point [56]. A significant Bartlett’s test (p = 0) assessed that the correlation matrix was appropriate for factoring [57].

The results of the factor analysis yielded 5 factors, four of them (cost, environmental protection, delivery time and flexibility) with all their components with high loadings, and one factor (quality) with only one component loading well and the other two heavily cross-loaded with other factors. Since quality is such an important theoretical factor, a model that included the five factors was tested using confirmatory factor analysis (CFA) with maximum likelihood (ML) as its estimation method. However, the model did not have good convergent or discriminant validity, nor a good model fit.

Table 2: Competitive priorities and components from expert analysis.

* items dropped

Source: The authors.

Table 3: Validity, reliability and model fit from CFA.

Source: The authors.

A new model where the factor quality was dropped was tested using CFA. As can be seen in Table 3, the maximum shared variance (MSV) and the average shared variance (ASV) of each construct for this measurement model were below the average variance extracted (AVE), assessing in this way the discriminant validity of the model. Additionally, since the AVEs of each construct were superior to 0.5 and their composite reliability (CR) were above 0.7, the convergent validity was also established. Finally, the goodness of fit of the model was determined with the following values: (below 3), comparative fit index (CFI) = 0.915 (above 0.9), root mean square error of approximation (RMSEA) = 0.092 (at most 0.1) and standardized root mean square residual (SRMR) = 0.0806 (below 0.09); thus having an acceptable fit despite the low sample size [58,59].

As can be seen in Table 4, the proposed manufacturing competitiveness model for the apparel manufacturing industry obtained from EFA and confirmed with CFA is composed of four factors with 13 disaggregated components that explain 72% of all the variance. The variance is almost equally distributed among all factors, with some small differences. The components confirming the factor cost explain 19.2% of the total variance, while environment protection follows it with 18.2%, delivery time explains a 17.3% and flexibility a 17% of the total variance. It also confirms that surprisingly quality is not one of the competitive priorities of the textile assembly industry in Honduras.

Using the factor structure, components, factor loadings and explained variance described in Table 4, a reference model of the manufacturing competitiveness of the apparel manufacturing industry in Honduras can be proposed, which is shown in Fig. 2.

Apparel maquiladoras manufacturing competitiveness model.

Figure 2: Apparel maquiladoras manufacturing competitiveness model.

Source: The authors.

Table 4: Rotated component matrix from final factor analysis.

Source: The authors.

Table 5: Manufacturing competitiveness index of the case study company.

Source: The authors.

Using the comparative performance data obtained from a leading apparel manufacturing company with several plants in Honduras, a manufacturing competitive index was calculated. Using the reference model (Fig. 2), the obtained average response for each competitive capability was used in conjunction with the equations developed to calculate the MCI. As can be seen in Table 5, the average performance value obtained for each component was multiplied by their corresponding factor loading to obtain a weighted component. The adjusted factor was obtained from adding all the weighted components and dividing them by the sum of all the factor loadings of the same factor. The MCI was finally obtained from adding the results of multiplying each adjusted factor by their corresponding weight.

This company’s standardized MCI was obtained using eq. (4) and considering the maximum and minimum MCI values possible, 1.00 and 5.00 respectively:

This means that this company is at a 73% of the maximum manufacturing competitiveness possible according to those competitive priorities considered of greatest importance by the textile assembly industry in Honduras.

5. Analysis and discussion of the results of the case study

One of the most significant findings of the application of this method to the apparel manufacturing industry in Honduras is that quality does not appear to be one of their competitive priorities. Trying to understand why for the interviewed experts and practitioners’ quality does not appear to be as important, the concept of “order qualifiers” and “order winners” comes to mind. Order qualifiers are those attributes required for a customer to consider a company as a possible supplier; and order winners are those attributes that cause customers to prefer products from a firm over their competitor [60].

It could be argued that since clients already expect products of high quality, apparel manufacturing managers consider it an integral part of their operations and have assimilated it as a core competence and an order qualifier. In fact, many of the experts interviewed expressed their confidence in the level of expertise of their manufacturing operation to obtain high quality products consistently. Of such importance is this attribute that one of the experts shared that when they accept an assembly job they carry out tests to ensure they can achieve the required quality specifications before starting production.

Another possible explanation of the seemingly paradoxical decision of leaving out quality as an important factor for manufacturing competitiveness is that those surveyed expressed their opinions regarding the importance of quality in components inside other factors. For instance, “increase compliance to product specification” which ended up being a component of the factor cost, is in reality a quality component, and “increase production efficiency” which is also inside the cost factor can be considered a quality-related component as well. The reasoning that producing high quality products decreases cost, improves productivity, and decreases prices is the basis for the Deming chain reaction theory, demonstrating that the importance of this factor is somehow implicit in other factors.

It is logical to think that since an apparel manufacturing plant needs to deliver the contracted amount of garments at the specified quality, their main concerns are how to achieve it in the time agreed upon and without needing to reprocess too many pieces in order to achieve the right quality without compromising their cost (earnings). Since clients purchase a given number of dozens of pieces to be delivered in a specific time frame and for a specific price per dozen, keeping a low production time and cost is paramount. Then, one reason why cost and delivery time are highly ranked in the manufacturing competitiveness model could be that they are part of their “order winners”. In fact, an interviewed production manager shared that two of the most important criteria for losing production orders or closing plant operations are problems in delivery time and challenges in production cost.

Another interesting fact is that environmental protection appears as a competitive priority for the apparel manufacturing industry. One reason why this could be happening is the emphasis that corporate clients place on the adoption of Lean practices, and its waste elimination philosophy. Another possibility is that since many consumers are making purchasing decisions based on their desire to protect the environment, textile assembly companies could be seeking to project an image of being socially responsible.

Finally, regarding the last place of flexibility in the competitiveness model, it appears that in contrast to other types of assembly industries such as electronics, which are more dynamic and innovation intensive, textile industry has identified their core products and has a more focused production. This does not mean they cannot handle change, but it seems their flexibility requirements only demand incremental adjustments in their machine utilization and capacity, layouts, and labor force training. In fact, according to a plant manager, some companies even have specific flexible plants, which have equipment and trained personnel to handle dramatic changes in style with the purpose of not disturbing normal focused plants from achieving the target cost and delivery time on high volume productions.

6. Conclusions and suggestions for further research

One of the greatest challenges of today’s industries is finding ways to increase their competitiveness in order to stay in business. Plant managers need to take operational decisions that help them improve their performance and competitiveness. Being aware of where to focus their efforts will allow them to align their manufacturing strategy to respond appropriately to market needs. This study presents a method that allows plant managers to estimate the manufacturing competitiveness of their plants and have an idea of where they stand in terms of their corporate emphasis and where they should focus their improvement efforts.

This paper presents a five-step method that uses expert analysis through Delphi’s method to find the elements to estimate manufacturing competitiveness. The method uses different reliability statistical analysis tests to validate the agreement between the experts and the constructs found through empirical data collection using surveys with Likert scales. Finally, factor analysis is used to confirm the constructs found and to find the weights and prioritization of each factor and component. Using all these elements a reference model of the manufacturing competitiveness of the industry under study can be produced, which then can be used to obtain a manufacturing competitiveness index.

The developed method was tested in a case study in the Honduran apparel manufacturing industry. The reference model produced showed that for this industry, manufacturing competitiveness can be estimated using 15 components grouped into four factors: cost, environment protection, delivery time and flexibility. These findings suggest that as it was initially hypothesized, manufacturing competitiveness is a multivariate and multidimensional construct.

The main contributions of this paper are an integrated method that used a mixed approach for estimating manufacturing competitiveness, and a reference model for manufacturing competitiveness in the Honduran textile assembly industry. The method can be used as a framework for studying the competing priorities of specific sectors of developing countries. Future work in this area may include validating the index reliability by comparing it with financial and economical metrics, the testing of other weighting and prioritization techniques such as analytical hierarchy process (AHP) and Fuzzy logic. It is expected that this research will continue with the application of the model found to a sample of companies in the apparel maquiladora industry to see the existing correlation between the use of advanced manufacturing tools and manufacturing competitiveness.

References

  1. [1] Sarache, W.A., Castrillón, O.D. and Giraldo, J.A. Prioridades competitivas para la industria de la confección: Estudio de caso. Cuadernos de Administración, 24(43), pp. 89-110, 2012. 🠔
  2. [2] Ferdows, K., Made in the world: The global spread of production. Production and Operation Management, 6(2), pp. 102-109, 1997. DOI: 10.1111/J.1937-5956.1997.TB00418.X [DOI] 🠔
  3. [3] Seguino, S. and Grown, C., Gender equity and globalization: Microeconomic policy for developing countries. Journal of International Development, 18(8), pp. 1081-1104, 2006. DOI: 10.1002/JID.1295 [DOI] 🠔
  4. [4] Mendoza, J.E., The effect of the chinese economy on mexican maquiladora employement. The International Trade Journal, 24(1), pp. 52-83, 2010. DOI: 10.1080/08853900903442921 [DOI] 🠔
  5. [5] Hadjimarcou, J., Brouthers, L.E., McNicol, J.P. and Michie, D.E., Maquiladoras in the 21st century: Six strategies for success. Business. Horizons, 56(2), pp. 207-217, 2013. DOI: 10.1016/J.BUSHOR.2012.11.005 [DOI] 🠔
  6. [6] Cozzarin, B.P., Are world-first innovations conditional on economic performance? Technovation, 26(9), pp. 1017-1028, 2006. DOI: 10.1016/j.technovation.2005.10.007 [DOI] 🠔
  7. [7] Awwad, A.S., Al Khattab, A.A. and Anchor, J.R., Competitive priorities and competitive advantage in jordanian manufacturing. Journal of Service Science and Management, 6(1), pp. 69-79, 2013. DOI: 10.4236/jssm.2013.61008 [DOI] 🠔
  8. [8] Bozdogan, K., Towards an integration of the lean enterprise system, total quality management, six sigma and related enterprise process improvement methods. [Online]. [Retrieved 8 December 2014]. Available at: Available at: https://esd.mit.edu/WPS/2010/esd-wp-2010-05.pdf . [URL] 🠔
  9. [9] Ludwig, G. and Pemberton, J., A managerial perspective of dynamic capabilities in emerging markets: The case of the Russian Steel industry. Journal for East European Management Studies, 16(3), pp. 215-236, 2011. 🠔
  10. [10] Lall, S., Competitiveness, technology and skills. Cheltenham, UK: Edward Elgar Publishing, 2001. DOI: 10.1111/1468-0297.t01-5-00083 [DOI] 🠔
  11. [11] De Carolis, D.M., Competencies and imitability in the pharmaceutical industry: An analysis of their relationship with firm performance. Journal of Management, 29(1), pp. 27-50, 2003. DOI: 10.1177/014920630302900103 [DOI] 🠔
  12. [12] Garengo, P., Biazzo, S. and Bititci, U.S., Performance measurement systems in SMEs: A review for a research agenda. International Journal of Management Reviews, 7(1), pp. 25-47, 2005. DOI: 10.1111/j.1468-2370.2005.00105.x [DOI] 🠔
  13. [13] Rao, P.S. and Lampriere, T.L., A comparison of the total factor productivity and total cost performance U.S. and Canada industries. Working Paper, Economic Council of Canada, 1992. 🠔
  14. [14] Lagacé, D. and Bourgault, M., Linking manufacturing improvement programs to the competitive priorities of Canadian SMEs. Technovation, 23(8), pp. 705-715, 2003. DOI: 10.1016/S0166-4972(02)00026-3 [DOI] 🠔
  15. [15] Porter, M.E., The competitive advantage of nations. New York: Free Press, 1998. DOI: 10.1002/cir.3880010112 [DOI] 🠔
  16. [16] Magretta, J., Understanding Michale Porter: The essential guide to competition and strategy. Boston, Massachussets: Harvard Business Review Press, 2012. 🠔
  17. [17] Man, T., Lau, T. and Chan, K., The competitiveness of small and medium enterprises: A conceptualization with focus on entrepreneurial competencies. Journal of Business Venturing, 17(2), pp. 123-142, 2002. 🠔
  18. [18] Flanagan, R., Lu, W., Shen, L. and Jewell, C., Competitiveness in construction: a critical review of research. Construction Management and Economics, 25(9), pp. 989-1000, 2007. DOI: 10.1080/01446190701258039 [DOI] 🠔
  19. [19] Barney, J., Firm resources and sustained competitive advantage. Journal of Management, 17(1), pp. 99-120, 1991. DOI: 10.1177/014920639101700108 [DOI] 🠔
  20. [20] Hanson, D., Hitt, M.A., Ireland, R.D. and Hoskisson, R.E., Strategic management: Competitiveness and globalisation. South Melbourne: Cengage Learning Australia, 2012. 🠔
  21. [21] Teece, D.J., Pisano, G. and Shuen, A., Dynamic capabilities and strategic management. Strategic Management Journal, 18(7), pp. 509-533, 1997. DOI: 10.1002/(SICI)1097-0266(199708)18:7<509::AIDSMJ882>3.0.CO;2-Z [DOI] 🠔
  22. [22] Yung-Ching, H. and Tsui-Hsu, T., The impact of dynamic capabilities with market orientation and resource-based approaches of NPD project performance. Journal of American Academy of Business, 8(1), pp. 215-229, 2006. 🠔
  23. [23] Zollo, M. and Winter, S., Deliberate learning and the evolution of dynamic capabilities. Organization Science, 13(1), pp. 339-351, 2002. DOI: 10.1287/ORSC.13.3.339.2780 [DOI] 🠔
  24. [24] Avella, L., Fernández, E. and Vásquez, C.J., Analysis of manufacturing strategy as an explanatory factor of competitiveness in the large Spanish industrial firm. International Journal of Production Economics, 72(1), pp. 139-157, 2001. DOI: 10.1016/S0925-5273(00)00099-2 [DOI] 🠔
  25. [25] Ward, P.T., McCreery, J.K., Ritzman, L.P. and Sharma, D., Competitive priorities in operations management, Decision Science, 29(4), pp. 1035-1046, 1998. DOI: 10.1111/j.1540-5915.1998.tb00886.x [DOI] 🠔
  26. [26] Tracey, M., Vonderembse, M. and Lim, J., Manufacturing technology and strategy formulation: Keys to enhancing competitiveness and improving performance. Journal of Operation Management, 17(4), pp. 411-428, 1999. DOI: 10.1016/S0272-6963(98)00045-X [DOI] 🠔
  27. [27] Yang, C.-L., Lin, S.-P., Chan, Y.-h. and Sheu, C., Mediated effect of environmental management on manufacturing competitiveness: An empirical study. International Journal of Production Economics, 123(1), pp. 210-220, 2010. DOI: 10.1016/j.ijpe.2009.08.017 [DOI] 🠔
  28. [28] Hallgren, M., Manufacturing strategy, capabilities and performance. Linköping: Linköping Studies in Science and Technology, 2007. 🠔
  29. [29] Leong, G.K., Snyder, D.L. and Ward, P.T., Research in the process and content of manufacturing strategy. Omega International Journal of Management Science, 18(2), pp. 109-122, 1990. DOI: 10.1016/0305-0483(90)90058-H 🠔
  30. [30] Größler, A. and Grübner, A., An empirical model of the relationship between manufacturing capabilities. International Journal of Operations & Production Management, 26(5), pp. 458-485, 2006. DOI: 10.1108/01443570610659865 [DOI] 🠔
  31. [31] Hallgren, M. and Olhager, J., Quantification in manufacturingstrategy: A methodology and illustration. International Journal of Production Economics, 104(1), pp. 113-124, 2006. DOI: 10.1016/j.ijpe.2005.09.004 [DOI] 🠔
  32. [32] Tan, K.C., Kannan, V.R. and Narasimhan, R., The impact of operations capability on firm performance. International Journal of Production Research, 45(21), pp. 5135-5156, 2007. 🠔
  33. [33] Da Silveira, G. and Slack, N., Exploring the trade-off concept. International Journal of Operations & Production Management, 21(7), pp. 949-964, 2001. DOI: 10.1108/01443570110393432 [DOI] 🠔
  34. [34] Phusavat, K. and Kanchana, R., Competitive priorities of manufacturing firms in Thailand. Industrial Management & Data Systems, 107(7,) pp. 979-996, 2007. DOI: 10.1108/02635570710816702 [DOI] 🠔
  35. [35] Ocampo, J.R., Diseño de un instrumento para identificar las prioridades competitivas del sector maquilador en San Pedro Sula. Innovare, 4(2), pp. 38-55, 2016. DOI: 10.5377/innovare.v4i2.2746 [DOI] 🠔
  36. [36] Skinner, W., Manufacturing - missing link in corporate strategy. Harvard Business Review, 5(1), pp. 136-145, 1969. 🠔
  37. [37] Fine, C.M. and Hax, A.C., Manufacturing strategy: A methodology and an illustration. Interfaces, 15(6), pp. 28-46, 1985. DOI: 10.1287/inte.15.6.28 [DOI] 🠔
  38. [38] Rosenzweig, E.D. and Easton, G.S., Tradeoffs in manufacturing? A meta-analysis and critique of the literature, Production and Operations Management, 19(2), pp. 127-141, 2010. DOI: 10.1111/j.1937-5956.2009.01072.x [DOI] 🠔
  39. [39] Martinez, V. and Bititci, U.S., Aligning value propositions in supply chains. International Journal of Value Chain Management, 1(1), pp. 6-18, 2006. DOI: 10.1504/IJVCM.2006.009020 [DOI] 🠔
  40. [40] Boyer, K.K. and Lewis, M.W., Competitive priorities: Investigating the need for trade-offs in operations strategy. Production and Operations Management, 11(1), pp 9-20, 2002. DOI: 10.1111/j.1937-5956.2002.tb00181.x [DOI] 🠔
  41. [41] Díaz-Garrido, E., Martín-Peña, M.L. and Sánchez-López, J.M., Competitive priorities in operations: Development of an indicator of strategic position. CIRP Journal of Manufacturing Science and Technology, 4(1), pp. 118-125, 2011. DOI: 10.1016/j.cirpj.2011.02.004 [DOI] 🠔
  42. [42] Rostek, K., The reference model of competitiveness factor for SME medical sector. Economic Modelling, 29(1), pp. 2039-2048, 2012. DOI: 10.1016/j.econmod.2012.03.002 [DOI] 🠔
  43. [43] Zaiontz, C., Real statistics using excel. [Online]. [Retrieved 7 December 2014]. Available at: Available at: http://www.realstatistics.com/reliability/ [URL] 🠔
  44. [44] Scott, G., Critical technology management issues of new productdevelopment in high-tech companies. Journal of Product Innovation Management, 7(1), pp. 57-77, 2000. DOI: 10.1111/1540-5885.1710057 [DOI] 🠔
  45. [45] Hung, H.-L., Altschuld, J.W. and Lee, Y.-F., Methodological and conceptual issues confronting a cross-country Delphi study of educational program evaluation. Evaluation and Program Planning, 31(2), pp. 191-198, 2008. DOI: 10.1016/j.evalprogplan.2008.02.005 [DOI] 🠔
  46. [46] Hsu, C.-C. and Sandford, B.A., The Delphi technique: Making sense of consensus. Practical Assessment, Research & Evaluation, 12(10), pp. 1-8, 2007. 🠔
  47. [47] Skulmoski, G.J., Hartman, F.T. and Krahn, J., The Delphi method for graduate research. Journal of Information Technology Education, 6(1), pp. 1-21, 2007. 🠔
  48. [48] Dowlatshahi, S., The role of purchasing and TQM in the maquiladora industry. Production and Inventory Management Journal, 39(4), pp. 42-49, 1998. 🠔
  49. [49] Jun, M., Cai, S. and Shin, H., TQM practice in maquiladora: Antecedents of employee satisfaction and loyalty. Journal of Operation Management, 24(6), pp. 791-812, 2006. DOI: 10.1016/j.jom.2005.09.006 [DOI] 🠔
  50. [50] Cho, J. and Lee, J., Development of a new technology product evaluation model for assessing commercialization opportunities using Delphi method and fuzzy AHP approach. Expert Systems with Applications, 40(13), pp. 5314-5330, 2013. DOI: 10.1016/j.eswa.2013.03.038 [DOI] 🠔
  51. [51] Nunnally, J. and Bernstein, I., Psychometric theory, 3rd ed. New York: McGraw-Hill, 1994. 🠔
  52. [52] Ocampo, J.R., Hernández, J.C., Vizan, A. y Tejada, D., Metodología para establecer los elementos de un modelo de referencia de competitividad de manufactura en plantas maquiladoras. Proceedings of the 13th LACCEI Conference. Santo Domingo: EBSCO Publishing, 2015. DOI: 10.18687/LACCEI2015.1.1.159 [DOI] 🠔
  53. [53] Siegel, S. y Castellan, N.J., Estadística no paramétrica aplicada a las ciencias de la conducta, 4ta Ed. Mexico D.F., Trillas, 2009. 🠔
  54. [54] Fleiss, J.L., Statistical methods for rates and proportions. New York: Wiley & Sons Inc., 1981. DOI: 10.1002/0471445428 [DOI] 🠔
  55. [55] Shrout, P.E., Intraclass correlations: Uses in assessing rater reliability. Psychology Bulletin, 86(2), pp. 420-428, 1979. DOI: 10.1037/0033-2909.86.2.420 [DOI] 🠔
  56. [56] Sharma, S., Applied multivariate techniques. New York: Wiley, 1996. 🠔
  57. [57] Pinjala, S., Pintelon, L. and Vereecke, A., An empirical investigation on the relationship between business and maintenance strategies. International Journal of Production Economics, 104(1), pp. 214-229, 2006. DOI: 10.1016/j.ijpe.2004.12.024 [DOI] 🠔
  58. [58] Malhotra, N.K. and Dash, S., Marketing research: An applied orientation. New Delhi: Pearson Pub, 2011. 🠔
  59. [59] Hair, J., Black, W., Babin, B. and Anderson, R., Multivariate data analysis, 7th ed. Upper Saddle River, NJ: Prentice-Hall, Inc, 2010. 🠔
  60. [60] Hill, T., Manufacturing strategy: Text and cases, 3rd ed. Homewook, IL: McGraw-Hill Higher Education, 2000. 🠔
How to cite: Ocampo, J. R., Hernández-Matías, J. C. & Vizán, A. Method for estimating manufacturing competitiveness: The case of the apparel maquiladora industry in Central America DYNA 84 (200) 97-106, 2017.