DYNA
0012-7353
Universidad Nacional de Colombia
https://doi.org/10.15446/dyna.v84n202.60627

Recibido: 20 de octubre de 2016; Revision Received: 23 de mayo de 2017; Aceptado: 7 de junio de 2017

Probabilistic analysis of the active earth pressure on retaining wall for c -φ soil backfill under seismic loading conditions

Análisis probabilístico del empuje activo en muros de retención con relleno cohesivo-friccionante bajo condiciones de carga sísmica

A. Brasil-Cavalcante, a J. Rodriguez-Rebolledo, a

Department of Civil & Environmental Engineering, University of Brasilia, Brazil. abrasil@unb.br, jrodriguezr72@unb.br Universidade de Brasília Department of Civil & Environmental Engineering University of Brasilia Brazil

Abstract

This paper describes a methodology based on the Rosenblueth point estimate method to analyze the active earth pressure developed on retaining walls for c-φ soil backfill under seismic loading conditions. The fundamentals of this methodology are to use two point estimates to examine a variable in the safety analysis: the mean value and the standard deviation. When the horizontal seismic acceleration coefficient increases, the overturning factor of safety decreases, whereas the probability of failure increases, particularly for coefficients greater than 0.2. In addition, the mean factor of safety increases when the vertical seismic acceleration coefficient increases, but the probability of failure remains practically identical for the considered critical factor of safety (1.15).

Keywords:

probabilistic analysis, point estimate method, retaining wall, seismic loading, factor of safety, probability of failure..

Resumen

En este artículo se describe una metodología basada en el método de estimación puntual de Rosenblueth para el análisis del empuje activo desarrollado en un muro de retención con relleno cohesivo-friccionante bajo condiciones de carga sísmica. El principio básico de esta metodología es usar dos estimaciones puntales, i.e., la desviación estándar y el valor medio, para examinar una variable en el análisis de seguridad. Es posible mostrar que aumentando el valor del coeficiente de aceleración sísmica horizontal, el factor de seguridad por volteo decrece y la probabilidad de falla aumenta, especialmente para coeficientes mayores que 0.2. Por otro lado, es observado que el valor medio del factor de seguridad crece cuando aumenta el coeficiente de aceleración sísmica vertical, sin embargo la probabilidad de falla se mantiene prácticamente igual para el valor del factor de seguridad considerado como crítico (1.15).

Palabras clave:

análisis probabilístico, método de estimación puntual, muro de retención, carga sísmica, factor de seguridad, probabilidad de falla..

1. Introduction

Retaining walls are structures that are usually constructed to form roads, stabilize trenches and soil slopes, and support unstable structures. From the last century until now, works have been performed on the reliability-based design of earth retaining walls, such as [1,3,4,8,18,22-27].

Their design must satisfy two major requirements: internal stability, which is ensured by sufficient resistance against bending moments and shear forces, and external stability, which indicates that except for small movements necessary to mobilize the earth pressures, the wall must be in equilibrium under external forces [15]. These structures are designed to withstand the lateral earth and water pressures, effects of surcharge loads, self-weight of the wall, and earthquake loads in particular cases. Four failures modes can be considered in the design of a gravity retaining wall: (1) overturning of the wall about its toe, (2) sliding along its base, (3) bearing capacity failure of the foundation soil, and (4) overall failure.

The reliability of a geotechnical design depends on the safety factor, methods of analysis, calculation models, definition of the factor of safety, reliability of the geological model, assessment of the appropriate geotechnical parameters and construction quality. Because of these characteristics, in addition to the common factor of safety analysis, a probabilistic analysis has been used in this paper to illustrate an application of the design of retaining walls.

This paper presents a Mathematica code [21], which was developed for the Rosenblueth point estimate approach [16]. The authors successfully verified the code by computing the overturning failure probability of a retaining wall under static and seismic loading conditions. Based on these results, a design analysis was evaluated.

2. Factor of safety under seismic conditions

The existing deterministic approach evaluates the factor of safety against overturning failure about the wall’s toe as follows [19,2] (Fig. 1):

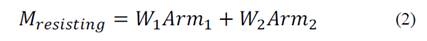
where Mresisting [ML2T-2] is the actual resisting moment, and Moverturning [ML2T-2] is the overturning moment. The actual resisting moment is given by:

with:

where W1 and W2 [MLT-2] are the component weights of the retaining wall with horizontal lever distances Arm1 and Arm2 [L], respectively, which are measured from the toe of the wall; γwall [ML-2T-2] is the unit weight of the retaining wall concrete; (a + b) [L] is the width of the base of the wall, and H [L] is the height of the wall.

Geometry of the analyzed retaining wall.

Figure 1: Geometry of the analyzed retaining wall.

Source: The authors.

Under seismic loading conditions, the overturning moments is (according to [18]):

with:

where Pae [MLT-2] is the seismic active earth thrust with a vertical lever distance H0e [L]; Kaec and Kae γ are the seismic active earth pressure coefficients:

with:

where ah is the horizontal component of the earthquake acceleration (LT-2), av is the vertical component of the earthquake acceleration (LT-2), and g is the acceleration due to gravity (LT-2).

Seismic forces that are applied to the mass of the slope are based on a horizontal seismic acceleration coefficient kh (Table 1). The vertical seismic acceleration coefficient kv is considered equal to zero.

The minimum factor of safety against overturning failure under seismic loading is 75% of the minimum factor of safety against overturning failure under static loading. The minimum factor of safety against overturning failure under seismic loading is 1.15 [17].

Table 1: Recommended horizontal seismic coefficients.

Source: The authors

3. Deterministic approach analysis

A parametric evaluation was conducted to evaluate the factor of safety against overturning failure about the wall’s toe under a seismic loading condition (Fig. 1) using the deterministic approach in Eqs. (1)-(17). Table 2 describes the parameters in this evaluation. The parameters and properties in this assessment are assumed to be estimated based on a limited number of data or expert opinion.

Table 2: Geometry parameters and material properties

Source: The authors

The first case was evaluated to describe the effect of the strength properties of the backfill in the overturning stability of the retaining wall under seismic loading conditions. Fig. 2 shows that the overturning factor of safety increases with the increase in internal friction angle of the backfill when the parameters H, a, b, γwall, γsoil, c, and kv remain constants. Fig. 2 also shows that for stability conditions ( FSseismic ≥1.15), the value of kh must be less than 0.3.

Effect of the strength properties of the backfill in the overturning stability of the retaining wall under seismic conditions.

Figure 2: Effect of the strength properties of the backfill in the overturning stability of the retaining wall under seismic conditions.

Source: The authors.

The second case was evaluated to describe the effect of the geometrical parameters of the wall for the overturning stability of the retaining wall under seismic conditions. Fig. 3 shows that the overturning factor of safety decreases with the increase in height of the wall when the parameters a, b, γwall, γsoil, c, φ and kv remain constants. This figure shows that the kh coefficient has more effect on the lower walls (H<6.5m) because the other walls are unstable even under static conditions.

Effect of the geometrical parameters of the wall in its overturning stability under seismic conditions.

Figure 3: Effect of the geometrical parameters of the wall in its overturning stability under seismic conditions.

Source: The authors.

The third case was evaluated to describe the effect of the unit weight of the concrete in the overtopping stability of the retaining wall under a seismic condition. Fig. 4 shows that the overturning factor of safety increases with the increase in unit weight of concrete in the retaining wall when the parameters H, a, b, γsoil, c, φ and kv remain constants. In this case, for stability conditions, the value of kh must be less than 0.24.

Effect of the unit weight of the concrete in the overturning stability of the retaining wall under seismic conditions.

Figure 4: Effect of the unit weight of the concrete in the overturning stability of the retaining wall under seismic conditions.

Source: The authors.

4. Rosenblueth point estimate method

The probability of failure can be defined as the probability that the factor of safety can be less than 1.5 considering the adverse values of the variables in its calculation. The reliability is the complement of the probability of failure. For example, if there is a 1% probability that the factor of safety against overturning failure is less than 1.5, the reliability is 99%.

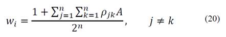
The Rosenblueth point estimate method [16,8] can be used to evaluate the structural reliability of the retaining wall against overturning failure. The essence of the Rosenblueth point estimated method is to compute the mean value (μ) and standard deviation (σ) of the factor of safety (FS). This methodology selects two point estimates as μ ± σ for a variable, where μ + σ and μ - σ are the positive and negative point estimates, respectively. The result is a total of 2n combinations in point estimates if there are n variables in the governing expression of the FS. Accordingly, each combination determines 2n FSs, from which the mean (μ FS ) and standard deviation (σ FS ) of the FS are governed by the following mathematical expressions:

where fi and wi are the FS and weight in the ith trial, respectively. The mathematical expression of wi is:

where ρ jk is the correlation (-1 to 1) between two variables. A is the determinant and equal to 1 or -1. For a given analysis, when the two variables use both positive or negative point estimates, A is equal to 1; otherwise, it is -1. Following the computations in μ FS and σ FS of the FS, the probability of failure can be computed.

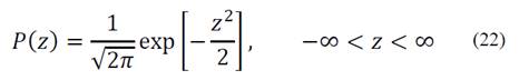
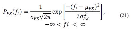
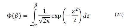
According to the Rosenblueth approach, the factor of safety follows a normal distribution. The normal distribution of FS with μ FS and σ FS is described by a probability density function (PDF):

Since the values of the parameters of the probability density function change for each possible combination of μ FS and σ FS , the area under the normal distribution curve must be calculated every time the probabilities are calculated. This area is related to the distributions of any mean and standard deviation of the standard normal distribution (μ FS =0 and σ FS =1), which is given by:

with

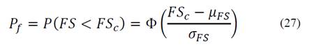
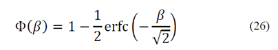
Consequently, the standard normal distribution can be integrated to calculate the area between two limits. The risk of overturning failure of a retaining wall is directly related to the probability of failure, which is obtained by integrating Eq. (24) from zmin =-∞ to zmax =β:

β is the reliability index and corresponds to the number of standard deviations between the most likely value of the factor of safety and the minimum factor of safety against overturning, i.e.:

where FSc is the minimum factor of safety against overturning.

The integral in Eq. (24) can be expressed in a simple closed formula:

where erfc(x) is the complementary error function.

As a result, when fi follows a normal distribution, the probability of failure ( Pf ) is estimated as:

Finally, the structural reliability of the retaining wall is:

5. Probabilistic analysis

The factors that contribute to the variability of geotechnical parameters are the anisotropy and heterogeneity of the soil, soil sampling methods, and test methods. The coefficient of variation of cohesion is subject to considerable variation. In this analysis, it is 0.1-0.4. The coefficient of variation of internal friction angle is 0.02-0.13. In contrast, the coefficient of variation of unit weight is practically considered a determined value [9,11] and is 0.03-0.07.

In addition to the variability of geotechnical parameters (c, φ and γ), the seismic loading condition considers the variability of the horizontal seismic acceleration coefficient. The coefficient of variation of horizontal seismic acceleration, which is subject to considerable variation, is 0.26-0.34 [13].

In this analysis, the deterministic parameters H, a, b, γwall, and kv are assumed to be constants. They are listed as follows: H=5.5 m, a=0.4 m, b=1.4 m, γwall=24 kN/m3 and kv =0. Table 3 shows the mean, standard deviation, and coefficient of variation of the other parameters.

Table 3: Ranges of the backfill property variability

Source: The authors

The governing expression of FS (Eq. 1) has four variables (c, φ, γsoil, kh ), which results in 16 point-estimate combinations. Table 4 provides these possibilities.

Table 4: Overturning factors of safety for point estimates

Source: The authors

The mean and standard deviation of the overturning factor of safety can be computed using Eqs. (18) and (19), respectively. Table 5 shows the calculated values considering the variables c, φ, γsoil and kh as independent (i.e., ρjk=0).

Table 5: Mean, standard deviation, coefficient of variation and z-value of the Factor of Safety

Source: The authors

The probability that the value of FS is less than 1.15 is 0.11 (11%). Thus, the structural reliability of this wall against overturning failure about the wall’s toe is 89%.

Thus, considering the horizontal seismic coefficients in Table 1, a seismic analysis for different earthquake intensities was conducted, as shown in Table 6.

Table 6: Results of the seismic analysis of different earthquake intensities

Source: The authors

Fig. 5 illustrates the probability of failure for different earthquake intensities. This analysis shows that when the horizontal seismic acceleration coefficient increases, the overturning factor of safety decreases, and the probability of failure increases. The probability of failure also dramatically increases from an acceleration coefficient of 0.2 (medium intensity, Pf =6%) to 0.3 (high intensity, Pf =28%) and 0.4 (very high intensity, Pf =62%). In the interpretation of these results, it is important to clarify that this example does not consider the probability of occurrence of a certain level of seismic intensity [4].

Probability of failure versus horizontal seismic acceleration coefficient.

Figure 5: Probability of failure versus horizontal seismic acceleration coefficient.

Source: The authors

Fig. 6 illustrates the normal distribution for μ FS and σ FS as described in Table 5 for different vertical seismic acceleration coefficients when the unit weight of the concrete wall is 24 kN/m3. The mean overturning factor of safety increases when the vertical seismic acceleration coefficient increases, and the critical factor of safety ( FSc =1.15) for the overturning analysis was reached for all values of vertical seismic acceleration coefficient. Nevertheless, for the cumulative density functions (Fig. 7), the computation of β values for each case shows that the obtained overturning probability of failure (Table 7) is practically identical for the three kv values (8-11%).

Normal distribution of μ
 FS
 and σ
 FS
 for different vertical seismic acceleration coefficients.

Figure 6: Normal distribution of μ FS and σ FS for different vertical seismic acceleration coefficients.

Source: The authors

Probability of failure for μ
 FS
 and σ
 FS
 for different vertical seismic acceleration coefficients.

Figure 7: Probability of failure for μ FS and σ FS for different vertical seismic acceleration coefficients.

Source: The authors

Table 7: Mean, standard deviation, coefficient of variation, probability of failure and structural reliability of the Factor of Safety

Source: The authors

There is some theoretical justification for the normal distribution of the factor of safety. The central limit theorem indicates that the sum of many distributions approaches to the normal distribution when the number approaches infinity. However, the use of the normal or any other theoretical distribution to form generalizations about the distributions of data is an assumption, which are made partly because they are considered reasonable approximations of reality and convenient for the calculations of probability and reliability. [14] provides a complete discussion of the use of the normal distribution.

6. Conclusions

In this work, a deterministic approach is proposed to evaluate the factor of safety against the overturning failure of a retaining wall for c-φ soil backfill under seismic loading conditions.

A Mathematica code was implemented to compute the overturning failure probability of the wall using the deterministic approach and Rosenblueth point estimate method.

The main conclusions of the deterministic approach analysis are as follows:

  1. As expected, the overturning factor of safety increases with the increase in internal friction angle of the backfill, and for stability conditions (FSseismic≥ .15), the horizontal seismic acceleration coefficient must be less than 0.3.

  2. The horizontal seismic acceleration coefficient has more effect on lower walls (H<6.5 m) because the other walls are unstable even under static conditions.

  3. The overturning factor of safety increases with the increase in unit weight of concrete in the retaining wall. In this case, for stability conditions, the horizontal seismic acceleration coefficient must be less than 0.24.

  4. The main conclusions of the probabilistic analysis are as follows:

  5. When the horizontal seismic acceleration coefficient increases, the overturning factor of safety decreases, and the probability of failure increases, particularly for coefficients greater than 0.2 (medium earthquake intensity).

  6. The probability of failure (not considering the probability of occurrence) dramatically increases from medium to high earthquake intensity (from 6 to 28%) and from high to very high intensity (from 28 to 62%).

  7. The mean factor of safety increases with the increase in vertical seismic acceleration coefficient. Nevertheless, for the considered value of the critical factor of safety (1.15), the probability of failure remains practically identical when the acceleration coefficient increases.

The paper illustrates a specific application, but the Mathematica code can be easily modified for other conditions such as when water pressures or surcharge loads are considered. The methodology in this work appears to be a good framework for designers to make decisions about the security and costs of a retaining wall project.

Acknowledgements

The authors acknowledge the support of the following institutions: the Brazilian National Council for Scientific and Technological Development (CNPq-Project 30449420127), the Coordination for the Improvement of Higher Level Personnel (CAPES-Project 1431/14-5), and the University of Brasilia for funding this research.

References

  1. [1] Basheer, I.A. and Najjar, Y.M., Reliability-based design of reinforced earth retaining walls. Transportation Research Record. 1526, pp. 64-78, 1996. DOI: 10.3141/1526-09 [DOI] 🠔
  2. [2] Bowles, J.E., Foundation analysis and design. Singapore: McGraw-Hill, 1997. 🠔
  3. [3] Chalermyanont, T. and Benson, C.H., Reliability-based design for internal stability of mechanically stabilized earth walls. ASCE Journal of Geotechnical and Geoenvironmental Engineering, 130(2), pp. 163-173, 2004. DOI: 10.1061/(ASCE)1090-0241(2004)130:2(163) [DOI] 🠔
  4. [4] Chávez-López, R. and Bojórquez-Mora, E., Probabilistic seismic hazard analysis using a new ground motion intensity measure, DYNA, 83(195), pp. 206-215, 2016. DOI: 10.15446/dyna.v83n195.50231 [DOI] 🠔
  5. [5] Comisión Federal de Electricidad. Manual de Diseño por Sismo, México, 1993. 🠔
  6. [6] Corps of Engineers. Slope Stability Manual EM-1110-2-1902. Washington: Department of the Army, Office of the Chief of Engineers, 1982. 🠔
  7. [7] Gobierno del Distrito Federal, Normas Técnicas Complementarias para Diseño por Sismo, Gaceta Oficial del Distrito Federal, 6th October, VII, N 103-BIS, Mexico City, 2004, pp. 55-77. 🠔
  8. [8] Hammah, R.E. and Yacoub, T.E., Probabilistic slope analysis with the finite element method. Proceedings of the 43rd US Rock Mechanics Symposium, (ARMA 09-149), Asheville, NC, 2008. 🠔
  9. [9] Harr, M.E., Reliability-based design in civil engineering. Henry M. Shaw Lecture, Dept. of Civil Engineering, North Carolina State University, Raleigh, N.C. 1984. 🠔
  10. [10] Hynes-Griffin, M.E. and Franklin, A.G., Rationalizing the seismic coefficient method. U.S. Army Corps of Engineers Waterways Experiment Station, Vicksburg, MS, Miscellaneous Paper GL-84-13, 1984. 🠔
  11. [11] Kulhawy, F.H., On the evaluation of soil properties. ASCE Geotech. Spec. 31, pp. 95-115. 1992. 🠔
  12. [12] Marcuson, W.F. and Franklin, A.G., Seismic design, analysis, and remedial measures to improve the stability of existing earth dams, Vicksburg: U. S. Army Engineer Waterways Experiment Station, 1983. 🠔
  13. [13] Melo, C. and Sharma, S., Seismic coefficients for pseudo-static slope analysis. Proceedings of the 13th World Conference on Earthquake Engineering, Vancouver, B.C. 2004. 🠔
  14. [14] Ozelim, L.C., Cavalcante, A.L., Assis, A.P. and Ribeiro, L.F., Analytical slope stability based on statistical characterization of soil primary properties, ASCE Int. J. Geomech., 15(2), 2014. DOI: 10.1061/(ASCE)GM.1943-5622.0000382 [DOI] 🠔
  15. [15] Peck, R.B., Hanson, W.E. and Thornburn, T.H., Foundation Engineering, John Wiley & Sons. 1974. 🠔
  16. [16] Rosenblueth, E., Point estimates for probability moments, Proceedings of the National Academy of Sciences, 72(10), pp. 3812-3814, 1975. 🠔
  17. [17] Seed, H.B., Considerations in the earthquake-resistant design of earth and rockfill dams. Géotechnique, 29(3), pp. 215-263, 1979. DOI: 10.1680/geot.1979.29.3.215 [DOI] 🠔
  18. [18] Shukla, S.K., Gupta, S.K. and Sivakugan, N., Active earth pressure on retaining wall for c-φ soil backfill under seismic loading condition, Journal of Geotechnical and Geoenvironmental Engineering, 135(5), pp. 690-696, 2009. DOI: 10.1061/(ASCE)GT.1943-5606.0000003 [DOI] 🠔
  19. [19] Terzaghi, K., Peck, R.B. and Mesri, G., Soil mechanics in engineering practice, John Wiley & Sons. 1996. 🠔
  20. [20] Terzaghi, K., Mechanisms of landslides, engineering geology (Berkeley), Geological Society of America. 1950. 🠔
  21. [21] Wolfram Research, Inc. Mathematica, Version 10.0, Champaign, IL. 2014. 🠔
  22. [22] Chaudhary, B., Hazarika, H. and Krishan, A.M., Effect of backfill reinforcement on retaining wall under dynamic loading. Geotechnical Hazards from Large Earthquakes and Heavy Rainfalls. Springer, Tokyo, 2017. DOI: 10.1007/978-4-431-56205-4_49 [DOI] 🠔
  23. [23] Jo, S.B., Ha, J.G., Lee, J.S. and Kim, D.S., Evaluation of the seismic earth pressure for inverted T-shape stiff retaining wall in cohesionless soils via dynamic centrifuge. Soil Dynamics and Earthquake Engineering, 92, pp. 345-357, 2017. DOI: 10.1016/j.soildyn.2016.10.009 [DOI] 🠔
  24. [24] Rao, P., Chen, Q., Zhou, Y., Nimbalkar, S. and Chiaro, G., Determination of active earth pressure on rigid retaining wall considering arching effect in cohesive backfill soil. International Journal of Geomechanics, 16(3), 2015. 🠔
  25. [25] Pain, A., Choudhury, D. and Bhattacharyya, S.K., Seismic stability of retaining wall-soil sliding interaction using modified pseudo-dynamic method. Geotechnique Letters, 5(1), pp. 56-61, 2015. DOI: 10.1680/geolett.14.00116 [DOI] 🠔
  26. [26] Xu, S.Y., Shamsabadi, A. and Taciroglu, E., Evaluation of active and passive seismic earth pressures considering internal friction and cohesion. Soil Dynamics and Earthquake Engineering , 70, pp. 30-47, 2015. DOI: 10.1016/j.soildyn.2014.11.004 [DOI] 🠔
  27. [27] Choudhury, D. and Nimbalkar, S.S., Pseudo-dynamic approach of seismic active earth pressure behind retaining wall. Geotechnical & Geological Engineering, 24(5), pp. 1103-1113, 2006. DOI: 10.1007/s10706-005-1134-x [DOI] 🠔
How to cite: Brasil-Cavalcante, A.L. and Rodriguez-Rebolledo, J.F., Probabilistic analysis of the active earth pressure on retaining wall for c-φ soil backfill under seismic loading conditions DYNA, 84(202), pp. 9-15, September, 2017.