DYNA
0012-7353
Universidad Nacional de Colombia
https://doi.org/10.15446/dyna.v84n202.60813

Recibido: 31 de octubre de 2016; Revision Received: 7 de junio de 2017; Aceptado: 27 de junio de 2017

Optimization of aggregate mixture to paver production using linear programming

Optimización de mezclas para la producción de pavimentos a través de modelos de programación lineal

R. Saboya, aE. Tozzo, aS. Cotrim, aE. Galdamez, aG. Leal, a

Department of Production Engineering, State University of Maringá, Maringá, Brazil ricardosaboya@hotmail.com, evertontozzo@gmail.com, slcotrim2@uem.br, evcgaldamez@uem.br, gclleal@uem.br Department of Production Engineering State University of Maringá Maringá Brazil

Abstract

This paper presents the optimization of aggregate mixture in the production of paver blocks through the formulation of a linear programming model. The proposed model aims at reducing manufacturing costs, respecting the compliance with the minimum quality requirements and mechanical/physical characteristics required by the technical standards. The results obtained with the model were used to produce a batch of products, which underwent a process of visual inspection of the quality and laboratory tests. The results showed the viability of using a linear programming to define the required quantities of raw materials to the manufacturing process of Concrete Paver Blocks, which generates economic benefits for the industry and allows the product quality control as well.

Keywords:

optimization, aggregate mixture, paver blocks, linear programming..

Resumen

En este trabajo se presenta la optimización de la mezcla de agregados en la producción de bloques de adoquines, mediante la formulación de un modelo de programación lineal. El objetivo es utilizar un modelo de optimización para reducción de los costos de fabricación, respetando el cumplimiento de los requisitos mínimos de calidad y las características mecánicas / físicas requeridas por las normas técnicas. Los resultados obtenidos con el modelo se utilizaron para producir un lote de productos, que fue sometido a un proceso de inspección visual de las pruebas de calidad y de laboratorio. Los resultados demuestran la viabilidad del uso de la programación lineal para definir las cantidades requeridas de materias primas para el proceso de fabricación de bloques de concreto para pavimentos de concreto, que genera beneficios económicos en la industria y permite el control de la calidad del producto.

Palabras clave:

Optimización, mezcla e agregados, bloques de adoquines, programación lineal..

1. Introduction

The concrete consumption has been considerably increasing in a global scale [1,2]. Concrete is used to produce various infrastructure-related products (roads, ports, power plants etc.), buildings (apartments, houses, commercial offices, shopping malls etc.), pavings (bike paths, parking lots, sidewalks, squares, parks, gardens etc.), among others. Several factors must be taken into account for determining and preparing the concrete mixture, considering that the material must meet different mechanical and structural needs, as well as technical engineering environmental and economic-financial characteristics.

Considering the production chain, the search for concrete demands the use of methods and techniques which increase the product quality; the efficient use of the raw material (sand, water, cement etc.); the productivity and, especially, the reduction of manufacturing costs.

Several of Portland cement concrete properties depend on the characteristics and amount added of its aggregate materials, corresponding to a total of 60-75% of the mixture final volume. Thus, the optimization of aggregate mixture is a very attractive option in order to improve the material mechanical properties, in addition to reduce the amount of cement used in the mixture; decrease the overall cost of construction material, and mitigate the environmental impact associated with the concrete production [3,4].

Considering the manufacturing process of Concrete Pavers Blocks, which is a product used for the execution of paving projects, the quality of the product is not an exception and it is quite dependent on the type and proportion of mixing materials for its manufacture. The paver blocks are concrete structures formed by the union of Portland cement, sand particles, aggregates and water. According to Fernandez [5], the concrete cohesiveness directly influences the physical and mechanical aspects of the paver blocks, and, therefore, the quality requirements; in addition to determine their manufacturing costs.

The quantitative techniques are among the main techniques used to optimize the aggregate mixture. During the actual manufacturing process, when all raw materials are quantitatively optimized and depend on the optimization purposes, some factors, such as the increase of durability and the reduction of the material costs, may be efficiently obtained [6].

The problem of the optimal raw material mixture for manufacturing the paver blocks should be considered, in essence, as a mix problem. Such a problem consists in determining the mix ratio of different input materials for obtaining a final product that meets a set of well-defined specifications or standards, so as to obtain a maximization of profit [7]. The mix problem is well known in the industrial process. Examples can mainly be found in food, oil and chemical industry [8].

The Linear Programming (LP) is one of the quantitative techniques used to solve the mix problem. This LP allows the resolution of numerous problems when the purpose is to maximize, minimize, or equalize a certain resource, and consists of a good choice when there is a need to define the best combination of materials, workforce, and equipment allocation, among others, in order to optimize a given system [9].

The purpose of this paper is to use a linear programming for determining the production strategies in the mixture of materials for the manufacturing process of Concrete Paver Blocks. Thus, it seeks a reduction of product manufacturing costs, respecting the minimum quality requirements and the mechanical/physical characteristics required by the technical standards for the parts used in paving, published by the Brazilian Association of Technical Standards (ABNT).

The research method adopted involved the following steps: definition of the mix problem; in loco data collection; formulation of linear programming model; linear programming model solution using the solver of Excel®; model validation; results implementation with the block pavers manufacturing; and, final evaluation with visual inspection, and mechanical/physical evaluation of products.

This study is structured into six sections, including this introduction. Section 2 shows the basic concepts of the mix optimization problem.; section 3 details the manufacturing requirements of Concrete Paver Blocks for paving; section 4 describes the mathematical modeling for the production planning; section 5 shows the mathematical results by detailing the deployment script and the laboratory tests carried out in the pilot production batch, and, finally, section 6 presents the contributions, difficulties and limitations of the present study.

2. The mix problem

Several products are obtained from a mixture of various components, for example, paints, food, chemicals, pharmaceuticals, concrete articles, etc. Considering the product manufacturing process, it is critical the determination of an optimal proportion when using each of the components to reduce manufacturing costs[10].

According to Arenales et al. [11] the mix problem ‘is to combine materials obtained in nature (or remains of others found previously) to generate either new materials or products with convenient features.’ This problem had its first applications in the mixture of gasoline, in which the oil ingredients were mixed for obtaining various fuel qualities [12], and it is considered the precursor of the first applications of the linear programming [13].

A mix problem can be approached from two perspectives: resources optimization focused on a sustainable development, and resource optimization for the best efficiency of the production process [14].

In general, the mix problem requires the determination of the optimal mixture or cheaper raw materials available to obey a set of requirements for the final product. As a parameter of the problems, there is the availability of materials, the cost thereof and the minimum quality requirements that must be met [8]. According Gandolpho et al. [15] the typical formulation of a mix problem may be given by:

Subject to:

Where x 𝑗 corresponds to the amount of each ingredient j, 𝑐 𝑗 is the unit cost of an ingredient j and 𝑎 𝑖𝑗 the fraction of component i in the ingredient j. 𝐿𝐼 𝑖 and 𝐿𝑆 𝑖 are the lower and upper limits of quality for each component i.

In practice, the mix problems are considered much more complex than the standard mix problem previously reported. Besides the quality requirements for the final product, other restrictions may be imposed on the problem due to the characteristics of the manufacturing environment, incompatibility of materials, inventory availability, among others. Several of these conditions can easily be added to the model by including new restrictions (linear or nonlinear). Thus, the complexity of the model depends a lot on the case to be analyzed [8].

3. Concrete paver blocks manufacturing process

The Economic growth in emerging countries such as Brazil, Russia, India, China and South Africa (BRICS) have been causing significant changes in the construction production chain. The concrete consumption is one of the key performance parameters of the construction industry. In Brazil it is estimated that in 2017 there will be a demand of 72.3 million m3 [16]. Thus, concrete is considered as one of the basic materials for constructing infrastructure and buildings, and it is placed as the second most consumed material after water [17].

One of the main applications of concrete is in the manufacture of Paver Blocks, used for paving parking lots or circulation of either local vehicles or people. It is a product that incorporates strength indexes, in addition to facilitate the implementation and maintenance of paving [18,19].

The manufacturing process of Concrete Paver Blocks is characterized by the concentration of Portland cement, sand particles (natural or artificial), aggregates and water, allowing the use of additives and pigments [20]. These elements should properly be mixed in order to ensure the product compressive strength ((fpk), durability and reduce the influence of stresses that generate cracks in the surface of the Concrete Paver Blocks [21]. In Brazil, the Technical Norm - NBR 9781 (Concrete parts for paving - Specification) mentions that the resistance estimated to the blocks compression for paving must be higher than 35 Mpa for the movement of commercial vehicles (light), and higher than 50 Mpa when used for special vehicles (heavy). It is pointed out that the product delivered to the customer in a lower time (curing age) than 28 days must have at least 80% of fpk at the time of installation.

Another factor that influences the strength of Concrete Paver Blocks is the concrete water absorption ratio, which should be less than or equal to 6% [19]. It is seen that when the water absorption is very high, the product has a low compressive strength. In the manufacturing process there is also a visual inspection of the products, which should have a homogeneous appearance, regular edges and right angles, free of burrs, defects, delamination and peeling [20].

4. The problem modeling

The optimization problem is suggested in order to minimize the Concrete Paver Blocks manufacturing costs used in the paving of areas with light traffic commercial vehicles (35 MPa). Therefore, the dosage (mixed amount) of the materials used in the production equipment will be determined, which is commonly referred to as multifunctional vibro-press. The consumption control of raw materials is intended to produce a more economical concrete and manufacture products that meet the indexes and visual inspection required by the manufacturing standards [20, 22].

The mixer that supplies the block machine has a 300 liter capacity and supports up to 480 kg of aggregates without cement, a parameter used to determine the manufacturing cost (kg / R $) of Concrete Paver Blocks.

Both to optimize the dosing time and fit the mixer equipment condition (Dosage Center with four compartments), four aggregates were selected to the manufacturing process: gravel, crushed stone, garnet stone and sand powder. Aggregating as well as having a cost lower than cement does, gives the concrete a greater stability and durability [23,24].

The standard trace to produce Concrete Paver Blocks generally uses the mean sand, coarse sand, gravel 5/16 and stone powder. The amount varies according to the climatic conditions of the work environment, such as humidity and temperature. It is important to note that the aggregate particle size is important for ensuring the cohesion of concrete and obtaining a satisfactory density [24].

The characterization of the aggregate in the manufacturing process of the concrete blocks depends on the type of rock that influences the mold life cycle, the maximum size, as well as the grain shape and grading curve. In the optimization process, the mixture is taken to a particle size analysis of the rock dust. It is a test conducted to characterize the aggregates considering the size and distribution of their particles, thereby reducing water consumption and optimizing the mixture [25].

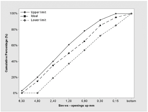
For the analysis the ideal curve and the concentration ranges are used (Lower and Upper Limit), proposed by Fernandez [5]; a reference designed to measure the particle size composition of stone dust (Fig. 1) for a series of sieves.

Ideal curve for the analysis of pavers manufacturing.

Figure 1: Ideal curve for the analysis of pavers manufacturing.

Source: Adapted from [8].

The constraints associated with the optimization of the industrial problem are:

  • meeting the limits of particle size analysis of rock dust as concentration ranges described by Fernandez [5];

  • using at least 10% sand in the mixture of materials;

  • summing the quantity (kg) of aggregate used (x j ), which must be equal to 1 (percentage);

The purpose of the optimization problem is to determine the lowest cost for manufacturing (cj) Concrete Paver Blocks, given the mathematical expression of Eq. (5) and subject to the restrictions described by equations (6), (7), (8) (9) and (10).

Subject to:

Table 1 lists the variables used in the formulation of the optimization model, as well as the related acronyms and cost per mass (g).

Table 1: Variables of the optimization problem

Source: The authors.

5. Results

For the analysis of the Concrete Paver Blocks, two manufacturing process models were built, that is, AA and BB. During the process of mixing the materials, both coarse sand and fine sand were replaced by gravel, a raw material of lower cost, AA and BB in the models, respectively. For each of the 8 test samples retained, the percentage (mass) in each of the sieves was calculated - Table 2, to the nearest 0.1%, according to the calculation method described in NBR 7217 [25]. It is noteworthy that the results do not appear on some of the screens, which represents 0% of retained accumulated material.

Table 2: Granulometry of the aggregates

Source: The authors.

The estimated cost of the mixtures for AA and BB models was U$ 3.19 (R$ 11.02) and U$ 3.31 (R$ 11.45), respectively. Such values represent a reduction of 6.5% and 2.5% of the trace costs of the current manufacturing processes, which is of U$ 3.4 (R$ 11.73). When considering that the average daily preparation of traits in the plant is 100 traces/day, it is estimated that the net financial gain in the AA model is equivalent to U$ 411.59/month (R$ 1,420.00), and $ 162,32/month (R$ 560.00) for the BB model.

For characterizing the best grading combination of aggregates in the manufacturing process of the Concrete Paver Blocks and ensuring the physical parameters and quality of the product it is necessary to calculate the mixture of sand, stone dust and gravel, so that an average is determined and it meets the proposal curve by Fernandez [5].

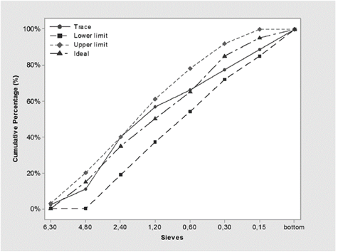
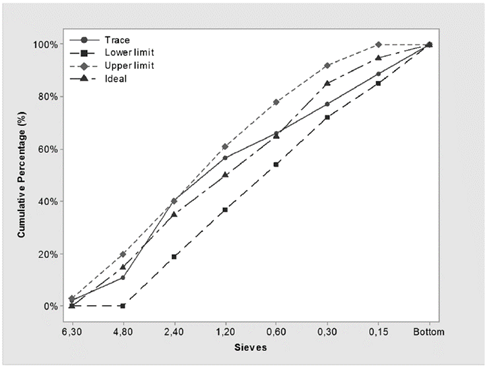
The grading curve of the AA model (Fig. 2) showed a high amount of thick materials, which implies a likely high strength, but with a poor quality finish. By analyzing the BB model (Fig. 3) a linear trend of the grading curve is seen, given the limits for the manufacturing process of the Concrete Paver Blocks. It is a hypothesis of behavior that will provide a product with greater resistance and good quality.

Granulometric curves of AA model traces.

Figure 2: Granulometric curves of AA model traces.

Source: The authors.

Granulometric curves of BB model traces.

Figure 3: Granulometric curves of BB model traces.

Source: The authors.

The mixtures of aggregates (quantities) determined for AA and BB Models were used to produce a batch of products. Fig. 3 shows the products made with the current trace, represented by N, AA trace -A and BB trace - B, which subsequently went through a process of visual quality inspection viewpoint of a homogeneous appearance, regular edges and straight angles, free of burrs, defects, delamination and peeling. In addition, the products were sent for laboratory tests that allowed determining the compressive strength index (fpk) of the Concrete Paver Blocks, carried out with the support of the Building Materials Laboratory, at the State University of Maringá (UEM).

The products manufactured with AA trace showed an acceptable physical quality. The product B quality is inferior to both types, A and N; this was due to the excess of moisture in the BB trace, because, as highlighted by Dowson [26], the excess of water can compromise the finishing block, affecting its texture and even the color. For calculating the product average strength, a compressive stress expressed in MPa (106 kgf / cm2) was adopted; equation 11 describes it.

Given by,

P is the pressure on the product;

F is the axial force (kgf) on the surface;

A is the total area (cm2) where the force is applied.

The product loading area is 6362 mm²; an area equivalent to the size of the auxiliary boards responsible for the force applied to the specimen. In order to evaluate the compression strength index, three tests were performed 8, 15 and 25 days after production. The results are shown in Fig. 5.

Test curve with 8, 15 and 25 days of curing time.

Figure 5: Test curve with 8, 15 and 25 days of curing time.

Source: The authors.

The first test specimen of 8 days showed that the resistance in both AA and BB trace was higher than the current trace, 33% and 25%, respectively. In the analysis of the 15 days after production, it was found that the resistance index performance was 10% and 2% lower compared to the current plant trace. The tests carried out in 25 days showed that the product resistance ratio of AA and BB traces were slightly higher than the product N-type behavior illustrated in Fig. 4. The results validate the hypothesis, that is, it is viable to replace the sand by gravel, a raw material which reduces the costs of the manufacturing process, and maintains the physical and mechanical characteristics of the Concrete Paver Blocks.

Concrete Paver Blocks for Visual Inspection and Laboratory Testing.

Figure 4: Concrete Paver Blocks for Visual Inspection and Laboratory Testing.

Source: The authors.

Another advantage seen in AA and BB Models is that with the initial resistance higher than N trace it is possible to deliver products with less curing time to the customer, a situation that increases satisfaction and meets the requirements for the minimum resistance index (28 MPa) required by the NBR 9781 [20] for the product installation.

6. Conclusion

Defining the necessary quantities of raw materials for the Concrete Paver Blocks manufacturing process directly generates economic benefits for the industry, and allows the quality control of products and mechanical/physical characteristics of the parts used in the paving of bicycle paths, parking lots, sidewalks, squares, parks, gardens, etc. By controlling the amount of mixed raw materials, the homogeneity of benefits is also generated in the paver blocks finishing and ensures optimal use of own resources, thereby reducing the variability of the production process.

The Linear Programming (Mix Problem) applied to the manufacturing process allows the integration of the mathematical model (computer analysis) in an industrial situation. Specifically, it was addressed the mix problem aggregate for the pavers to minimize the production costs involved.

The Linear Programming, as highlighted by Sousa et al. [27] is a method that can be used to guide industries in the efficient use of their resources.

Another advantage of this linear programming refers to the ease of implementation without the need of specific software using only optimization packages (supplements) available in electronic spreadsheets [28]. Spreadsheets provide simplicity, ease of use, and they are part of a business routine, as highlighted by Dávalos [29] and Fernandes [30]. This is a situation that enables smaller companies to use these mathematical models to support decision-making.

A limitation of this study is that tests related to water absorption and resistance to abrasion were not carried out in specimens.

For further research, it is proposed to select and add different raw materials in the manufacturing process of Concrete Paver Blocks, as well as to seek the optimum mix to ensure the quality of finishing and compressive strength index of the products. It is also recommended a sensibility analysis conducted by different scenarios to obtain ranges of cost improvement. The mixture analysis can also be conducted in the manufacturing process of other products such as, for instance, concrete blocks and tubes, also considering the possibility of reducing the manufacturing costs.

References

  1. [1] Shafigh, P., Mahmud, H.B., Jumaat, M.Z.B., Ahmmad, R. and Bahri. S., Structural lightweight aggregate concrete using two types of waste from the palm oil industry as aggregate. Journal of Cleaner Production, 80(1), pp. 187-196, 2014. DOI: 10.1016/j.jclepro.2014.05.051. [DOI] 🠔
  2. [2] Mefteh, H., Keabili, O., Oucief, H., Berredjem, L. and Arabi, N., Infuence of moisture conditioning of recycled aggregates on the properties of fresh and hardened concrete. Journal of Cleaner Production , 54(1), pp. 282-288, 2013. DOI: 10.1016/j.jclepro.2013.05.009. [DOI] 🠔
  3. [3] Moini, M., Flores-Vivian, I., Amirjanov, A. and Sobolev, K., The optimization of aggregate blends for sustainable low cement concrete. Construction and Building Materials, 93(15), pp. 627-634, 2015. DOI: 10.1016/j.conbuildmat.2015.06.019. [DOI] 🠔
  4. [4] Mohan, D., Muthukumar, M. and Rajendran, M., Optimization of mix proportions of mineral aggregates using box behnken design of experiments, Cement and Concrete Composites, 25(7), pp.751-758, 2003, DOI: 10.1016/S0958-9465(02)00116-6. [DOI] 🠔
  5. [5] Fernandez, I.D., Blocos & Pavers, Produção e Controle de Qualidade, 1ª Ed., Treino Assessoria e Treinamentos Empresariais Ltda, Ribeirão Preto, 2008. 🠔
  6. [6] Yeh, I., Computer-aided desigh for optimum concrete mixtures. Cement & Concrete Composites, 29(3), pp. 193-202, 2007. DOI: 10.1016/j.cemconcomp.2006.11.001. [DOI] 🠔
  7. [7] Taha, H.A., Pesquisa operacional: Uma visão geral. 8. ed. São Paulo: Pearson Prentice Hall, 2008. 🠔
  8. [8] Ashayeri, J. and Ejis, A.G.M., Blending modelling in a process manufacturing: A case study. European Journal of Operational Research, 72(3), pp. 460-468, 1994. DOI: 10.1016/0377-2217(94)90416-2. [DOI] 🠔
  9. [9] Scalabrin, I., Mores, C.J., Bodanese, R. E. and Oliveira, J.A., Programação linear: Estudo de caso com utilização do solver da microsoft excel. Revista Universo Contábil, 2(2), pp. 54-66, 2006. 🠔
  10. [10] Vieira, A.F.C. and Dal Bello, L.H.A., Experimentos com mistura para otimização de processos: Uma aplicação com respostas não normais. Pesquisa Operacional, 26(3), pp.605-623, 2006. DOI: 10.1590/S0101-74382006000300009. [DOI] 🠔
  11. [11] Arenales, M., Armentano, V., Morabito, R. and Yanasse, H., Pesquisa Operacional . Rio de Janeiro: Elsevier: ABEPRO, 2011. 🠔
  12. [12] Hillier, F.S. and Lieberman, G.J., Introdução à pesquisa operacional. [s.l.] AMGH, 2013. 🠔
  13. [13] Dantzig, G.B., Linear programming and extensions. Princeton University Press, New Jersey, 1963. 🠔
  14. [14] Valentim, J.C., Problema de mistura de matérias-primas minerais (Argilas). MSC. Thesis, Mestrado em Engenharia e Gestão Industrial, Instituto Técnico de Lisboa, Lisboa, 2012. 🠔
  15. [15] Gandolpho, A., Tanscheit, R., Vellasco, M. and Pizzolato, N., A programação linear Fuzzy em problemas de mistura. XXXVIII Simpósio Brasileiro de Pesquisa Operacional , Goiania-GO, 2006. 🠔
  16. [16] ABCP - Associação Brasileira de Cimento Portland. Imprensa - Banco de Pautas. Pesquisa mostra crescimento de sistemas construtivos de cimento em São Paulo. Site ABCP, São Paulo, 2013. 🠔
  17. [17] WBCSD. The cement sustainability initiative, recycling concrete. World Business Council for Sustainable Development.. [en línea] 42 P, 2009. [Acesso em: 10 / 05 / 2015]. Disponível em: Disponível em: http://www.wbcsdcement.org/pdf/CSI-RecyclingConcrete-FullReport.pdf . [URL] 🠔
  18. [18] Santos, O.C., Formulação de bloco intertravado cerâmico com adição de resíduos urbanos e industriais. PhD. Dissertation, programa de pós-graduação em Ciência e Engenharia da Universidade Federal do Rio Grande do Norte, Natal, Brasil, 2013. 🠔
  19. [19] Costa, A.V.; Gumieri, A. G. and Brandão, P.R.G., Piso intertravado produzido com rejeito de sinter feed. Revista IBRACON de Estruturas e Materiais, 7 2), pp. 244-259, 2014, DOI: 10.1590/S1983-41952014000200004. [DOI] 🠔
  20. [20] NBR 9781. Peças de concreto para pavimentação. Associação Brasileira de Normas Técnicas (ABNT), 1987, 2013. 🠔
  21. [21] Mehta, P.K. and Monteiro, P.J.M., Concreto: Microestrutura, propriedades e materiais. São Paulo: IBRACOM, 2008, 674 p. 🠔
  22. [22] NBR 9780. Peças de concreto para pavimentação - Determinação da resistência à compressão. Associação Brasileira de Normas Técnicas (ABNT), 1987. 🠔
  23. [23] Neville, A., Propriedades do concreto. 2. Ed. São Paulo: Pini, 1997. 🠔
  24. [24] Santos, C.R., Filho, J.R.A., Tubino, R.M.C. and Schneider, I.A.H., Use of coal waste as fine aggregates in concrete paving blocks. Geomaterials, 3, pp. 54-59, 2013. DOI: 10.4236/gm.2013.32007. [DOI] 🠔
  25. [25] NBR 7217. Agregados - Determinação da composição granulométrica. Associação Brasileira de Normas Técnicas (ABNT), 1987. 🠔
  26. [26] Dowson, A.J., A manufacturer's perspective of variation within the production process of concrete paving blocks, Third International Workshop on Concrete Block Paving, Cartagena de Indias, Colombia, pp. 10-1-10-10, 1998. 🠔
  27. [27] Sousa, R.A.T.M., Souza, M.D., Timofeiczyk Junior, R., Ribeiro, E.S. and Dorval, A., Utilização de programação linear na análise do transporte principal de madeira. Multitemas, 41, pp. 73-88, 2012. 🠔
  28. [28] Rojas, A., Resolvendo problemas de programação linear com o MS solver. Cadernos do IME - Série Informática, 13(1), pp. 69-76, 2002. 🠔
  29. [29] Dávalos, R.V., Uma abordagem do ensino de pesquisa operacional baseada no uso de recursos computacionais. Proceedings of the Encontro Nacional de Engenharia de Produção, Curitiba, 2002. 🠔
  30. [30] Fernandes, G. de O., Cálculo da similaridade entre planilhas eletrônicas. MSc. Thesis, programa de Pós-Graduação em Engenharia de Sistemas e Computação (COPPE), Universidade Federal do Rio de Janeiro, Rio de Janeiro, Brasil, 2014. 🠔
How to cite: Saboya, R., Tozzo, E., Lemos-Cotrim, S., Cardoza-Galdamez, E.V. and Lapasini-Leal, G.C., Optimization of aggregate mixture to paver production using linear programming. DYNA, 84(202), pp. 42-48, September, 2017.