DYNA
0012-7353
Universidad Nacional de Colombia
https://doi.org/10.15446/dyna.v84n203.61723

Recibido: 22 de diciembre de 2016; Revision Received: 26 de septiembre de 2017; Aceptado: 20 de octubre de 2017

Sugarcane bagasse and its potential use for the textile effluent treatment

Bagazo de caña de azúcar y su potencial aprovechamiento para el tratamiento de efluentes textiles

J. Cueva-Orjuela, a A. Hormaza-Anaguano, b A. Merino-Restrepo, b

Facultad de Minas, Universidad Nacional de Colombia, Medellín, Colombia. jccuevaor@unal.edu.co Universidad Nacional de Colombia Facultad de Minas Universidad Nacional de Colombia Medellín Colombia
Facultad de Ciencias, Universidad Nacional de Colombia, Medellín, Colombia ahormaza@unal.edu.co, ramerinor@unal.edu.co Universidad Nacional de Colombia Facultad de Ciencias Universidad Nacional de Colombia Medellín Colombia

Abstract

In Colombia, sugarcane represents the second product with a large area of cultivation. It is estimated that from sugar mills about 6 million tons of sugarcane bagasse, SCB, are produced, of which 5 million are inefficiently used for burning boilers. SCB is mainly composed of cellulose, hemicellulose and lignin, allowing its use as a potential adsorbent. Particularly, the aim of this work was to evaluate the viability of using SCB for the adsorption of basic red 46, BR46, in aqueous solution. The effect of factors such as point of zero charge, solution pH, particle size, adsorbent dosage, initial dye concentration, contact time and ionic strength was evaluated using a statistical design of experiments. A removal of 86.4 % was obtained and the further optimization of the process through a response surface design, allowed to achieve a maximum adsorption of 95.0 %. These results suggest SCB is a promising alternative of a non-conventional adsorbent that could be applied for treating dyed effluents.

Keywords:

Agricultural wastes, basic dyes, adsorption, statistical design of experiments, bromatological analysis..

Resumen

En Colombia, la caña de azúcar representa el segundo cultivo con mayor extensión. Se estima que a partir de los ingenios azucareros se producen aproximadamente 6 millones de toneladas de bagazo de caña de azúcar, BCA, de los cuales 5 millones son utilizados ineficientemente para la quema de calderas. El BCA está compuesto principalmente por celulosa, hemicelulosa y lignina, posibilitando su uso como un potencial adsorbente. En particular, en esta investigación se evaluó la viabilidad del BCA para la remoción del rojo básico 46, RB46, en solución acuosa. El efecto de factores tales como el punto de carga cero, pH de la solución, tamaño de partícula, dosificación del adsorbente, concentración inicial del colorante, tiempo de contacto y fuerza iónica fueron evaluados a través de un diseño estadístico. Se obtuvo una remoción del 86.4% y la posterior optimización del proceso, a través un diseño de superficie de respuesta, permitió alcanzar una adsorción máxima del 95.0%. Estos resultados sugieren que el BCA representa una alternativa promisoria de un adsorbente no convencional que puede ser aprovechado para el tratamiento de efluentes coloreados.

Palabras clave:

Residuos agrícolas, colorantes básicos, adsorción, diseño estadístico de experimentos, análisis bromatológico..

1. Introduction

Sugarcane, Saccaharum officinarum, is a tropical perennial grass with thick and fibrous stems; it grows mainly in tropical regions and is characterized by its high content of sucrose, which is processed to obtain sugar [1]. This crop is one of the most important products in the world with approximately 420 million tons of sugarcane harvested per year [2] and it is widespread in the American continent because of climatic conditions that improve its production [1]. In Colombia, this product ranks second in extension, after coffee, with 249,384 hectares, contributing significantly to the agricultural gross domestic product (GDP). About 61.0% of that harvested area goes to the production of raw cane sugar; 32.0 % to the production of sugar and the remaining 7.0 % to sugar-cane liquors, honey and forage [3].

The sugarcane processing in the above mentioned activities generates tons of SCB, which is mainly composed of cellulose, hemicellulose and lignin. It is estimated that about 54 million dry tons of bagasse are annually produced worldwide [4]. According to the Association of Sugarcane Growers of Colombia, Asocaña, the annual production of SCB amounts to 6 million tons in sugar mills; approximately 5 million of them are used as fuel in the boilers thereof [5], but the energy efficiency of this process is lower than the one of other fuels for boilers, closed to 30.0 % [6]. SCB has also been used for xylitol production, however this process generates some toxic compounds, making it more expensive due to further purification methods for this sugar alcohol obtention [7]. These disadvantages suggest the search for an alternative use of this agricultural waste, for instance, as an adsorbent for industrial effluent treatment.

In this regard, polluted effluents from textile industry have become a serious environmental problem due to the presence of highly toxic organic substances such as synthetic dyes. The total annual dye production in the world is around 7 × 105 metric tons, from which 5-10 % are released in the effluents [8,9]. Synthetic dyes are characterized by their low biodegradability as a consequence of their recalcitrant nature, standing for a real threat to the aquatic environment.

Their accumulation in ecosystems leads to several effects such as acute and chronic toxicity for aquatic biota [10]. In addition, there have been reported serious damages to human health due to their mutagenic and carcinogenic characteristics [11].

Among the technologies for treating dye-contaminated water, adsorption has been classified as an inexpensive, efficient, novel and easy methodology to be implemented for removing pollutants [12,13]. Activated carbon is one of the most used adsorbents given its large specific surface area, appropriate pore size distribution, and high surface reactivity. However, this support is relatively costly and its regeneration is a difficult process [14]. The above has led in recent years to explore new low cost and efficient materials with the ability to adsorb dyes, finding that different industrial and agricultural wastes show a high potential to remove this kind of pollutants [13,15]. Particularly, we have explored several agricultural by-products such as rice husk, corn cob, banana peel and flower wastes for the adsorption of different dyes [16-18].

BR46 is a synthetic dye with extensive use in the textile industry, characterized by the presence of the azo group, which is often associated with a cancer-causing activity. Several reports indicate carcinogenic effects are increased by aromatic amines, which are generated after the fragmentation of the azo group [19,20]. Therefore, the removal of BR46 from wastewater represents a relevant research topic. Apparently, there have been no reports to date of BR46 adsorption onto SCB, although this agricultural waste has been extensively used as adsorbent in the removal of these pollutants, including different chemical nature such as acidic, basic, anionic and cationic dyes, highlighting its adsorptive capacity [21-24]. However, most of these studies assessed the chemically modified SCB in order to improve the adsorption efficiency but increasing the process costs [25,26]. In addition to the previously mentioned, only Ong et al., optimized the removal of three cationic dyes onto this agricultural residue through a statistical design [27], the other researches were conducted under a univariate method, therefore there is a lack of information about the interaction between the main factors and their effect in the adsorption process.

The aim of this work was to establish the feasibility of using SCB as an alternative, potential and low-cost adsorbent for the removal of BR46. A full 24 factorial and a central composite designs of experiments were performed in order to optimize the process and obtain the correlation between the factors that affect the adsorption efficiency. The selected parameters were point of zero charge (PZC), solution pH, particle size, adsorbent dosage, initial dye concentration, contact time and effect of ionic strength.

2. Materials and methods

2.1. Adsorbent pre-treatment

The agricultural by-product SCB was acquired in a local market of the city of Medellin. The pre-treatment included washing with deionized water and 2.0 % (v/v) hydrogen peroxide to remove organic materials, then drying in an oven at 100 °C for 48 h. After that, the SCB was milled and sieved to obtain a particle size between 0.3-1.0 mm. The adsorbent with these characteristics was stored in airtight containers for subsequent assays.

2.2. SCB Bromatological analysis and its PZC determination

SCB compositional analysis was performed in the Laboratory of Chemical and Bromatological Analysis at the Universidad Nacional de Colombia - Sede Medellín. In particular, the percentages of neutral detergent fiber (NDF), acid detergent fiber (ADF), and lignin were determined according to the Van Soest method [28]. Native starch, nitrogen and ash were measured by the polarimetry, Kjeldahl and direct incineration methods, respectively.

Bagasse PZC was determined using the methodology described by Farahani and co-workers [29]. For this, the initial pH of 50.0 mL distilled water solutions were adjusted by adding drops of 0.1 M HCl and 0.1 M NaOH. Then, 0.5 g of SCB were added to each Erlenmeyer flask, containing the solution in the pH range between 2.0 to 11.0. After that, each flask was shaken thoroughly for 48 h at room temperature and the final pH of the solution was measured. PZC of this by-product corresponds to the intersection with diagonal of the curve that represents the final pH in function of the initial pH.

2.3. Preparation of the dye solution

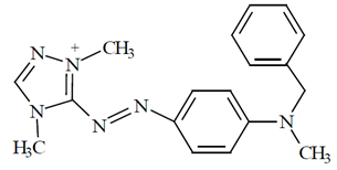
BR46 is a cationic dye that belongs to the azo compounds group, with a molecular weight of 357.5 gmol-1, a maximum adsorption wavelength of 532 nm and a Colour Index (CI) 110825. This dye was purchased in the local company Colorquimica S.A. and its structure is shown in Fig. 1. The respective calibration curve was performed with different concentrations in the range of 1.0 to 40.0 mgL-1, using a spectrophotometer UV-Vis Lambda 35, double-beam Perkin Elmer.

Chemical structure of BR46.

Figure 1: Chemical structure of BR46.

Source: The authors.

2.4. Adsorption of BR46 dye

Some preliminary assays were carried out to establish the influence of the variables pH and particle size in the BR46 removal onto SCB. For solution pH, it was evaluated the range of 2.0 to 11.0, a greater removal between 5.0-7.0 was found. Regarding particle size, the intervals 0.3-0.5 mm, 0.5-0.7 mm and 0.7-1.0 mm were selected, obtaining better adsorption between 0.3-0.7 mm; for this reason, this variable remained constant in the following assays.

These initial tests were performed using a stock solution of 40.0 mg of dye per liter of deionized and distilled water. Subsequently, 40.0 mL volumes were taken, their respective pH values were fixed and then they were mixed with SCB at 200 rpm for 6 h under batch system at room temperature. After that, the percentage of BR46 removal was quantified using Eq. (1). All tests were performed in triplicate for statistical support with a SCB dosage of 3.0 g L-1. In particle size assay, a pH value of 6.0 was selected.

Where C0 and Cf are the initial and final concentration of the dye, respectively.

2.5. Statistical design of experiments

2.5.1. 2<sup>4</sup> Full factorial design

The selected factors in the design of experiments were adsorbent dosage (D), initial dye concentration (C), contact time (T) and solution pH. A randomized 24 full factorial design with three replicates was conducted to

reduce the number of required experiments for both optimizing the process and determining the most influential factors of the adsorption and their interactions. The factors with their upper and lower limits are shown in Table 1. The experimental design was performed and analyzed with the software Statgraphics Centurion XV.II free version.

Table 1: Values of the levels in the 24 full factorial design.

Source: The authors.

2.5.2. Central composite design (CCD)

The factorial design showed that the most significant factors in the BR46 adsorption were C and D, achieving a removal level of 86.4 %. With the purpose of improving the efficiency of the process, a randomized response surface design with a central point and three replicates was carried out. The factor levels are depicted in Table 2.

Table 2: Values of the levels in the response surface design.

Source: The authors.

2.6. Effect of the ionic strength

The effect of the ionic strength was measured under the best conditions for BR46 adsorption onto SCB obtained through the statistical designs. This effect was analyzed with solutions of sodium and calcium chloride in the range of 0.0 to 0.2 molL-1 at room temperature.

3. Results and discussion

3.1. SCB compositional analysis

The bromatological analysis showed 90.2 % NDF, 65.9 % ADF, and 6.8 % lignin, therefore, 59.1 % cellulose and 24.3 % hemicellulose. It is worth mentioning that other authors have obtained 40-50 % cellulose and 20-30 % hemicellulose for this agricultural waste. Concerning the lignin percentage, the obtained value was lower compared to the reported in related studies, around 18-25 % [4,30]. This difference can be explained mainly as a consequence of the geographical location, its respective soil composition and the sugarcane variety.

Due to the low ash content in bagasse, equal to 0.83 %, this waste provides advantages in terms of microbial bioconversion process compared to other agricultural by- products, such as banana peel or rice husk with ash content of 10.0 % and 17.5 %, respectively [31,32]. Regarding native starch and nitrogen content, no values were detected with the used techniques.

3.2. Bagasse PZC evaluation

The PZC is defined as the pH value in which the total external and internal net charge of the functional groups of the adsorbent material surface is neutral and does not contribute to the solution pH; thus, the number of positive and negative sites is equal [33]. PZC is an important property when studying the ability of a specific adsorbent to retain certain pollutants, in this case, a dye with an ionic charge [34]. Fig. 2 displays the final pH depending on the initial pH, where the PZC corresponds to the point where the curve intersects the diagonal, leading to a value of 4.85.

Bagasse PZC.

Figure 2: Bagasse PZC.

Source: The authors.

In this sense, if the solution is below a pH of 4.85, SCB surface becomes positively charged, but if it is above this value, its surface charge will be negative. The second situation would favor the removal of positively charged dyes such as BR46, since a higher ion affinity is achieved between the dye and the SCB surface. In this respect, it is worth mentioning that the obtained value is close to the previous described range, from 5.0 to 6.0, for SCB [33,35], this difference could be associated with the previously described compositional variations of the material surface, in terms of the proportions of its constituent polymers.

3.3. Screening assays of BR46 removal

Preliminary assays showed that pH has a greater effect than particle size in the BR46 adsorption process. The evaluated pH range was 2.0-11.0. The removal of this dye remained around 90.0 % between 5.0 and 7.0. Therefore, this interval was selected for a further analysis in a full factorial design. In addition, it should be noted that this pH range is higher than the PZC of SCB, leading to a negatively charged surface and improving the dye removal.

The selected particle sizes were: 0.3-0.5 and 0.5-0.7 mm and given that a similar removal percentage was obtained with them, a particle size of 0.3-0.7 mm was selected for the factorial design. Particle sizes smaller were not evaluated because when carrying out the process in continuous system, this parameter could hinder the dynamic motion of the fluid, generating a large resistance and an increase in the obstruction [36].

3.4. 2<sup>4</sup> full factorial design analysis

In Fig. 3, the Pareto chart points out that the most important factor in the BR46 removal is the SCB dosage with a positive effect. This fact is explained because of a greater amount of SCB, a greater surface area to adsorb the dye will be available, increasing proportionally the removal. After dosage, the second most important factor is the BR46 initial concentration, but in contrast to the dosage, its effect is negative. Thus, an increase in this factor leads to a reduction in the BR46 adsorption, because the surface would be saturated with dye and there will be no area available for the removal process. On the other hand, contact time and pH were statistically significant in the removal process with a positive effect, however their standardized effects are minor compared to the previously described factors, therefore, they can remain constant in a further optimization process.

Standardized Pareto chart for the 24 full factorial design at p = 0.05.

Figure 3: Standardized Pareto chart for the 24 full factorial design at p = 0.05.

Source: The authors.

In Fig. 4, the estimated response surface at a fixed pH value of 6.0 and a contact of 2.5 h is showed. Dark gray to black areas delimit removal percentages greater than 80.0 %, which corresponds to initial dye concentrations below 15 mgL-1.

Estimated response surface plot at pH = 6.0 and 2.5 h for BR46 adsorption onto SCB.

Figure 4: Estimated response surface plot at pH = 6.0 and 2.5 h for BR46 adsorption onto SCB.

Source: The authors.

In the 24 full factorial design a mathematical model was obtained, which is described in Eq. (2):

This equation allows reaching a maximum BR46 removal of 86.4 % under an initial concentration of 10.0 mgL-1, a dosage of 3.3 gL-1, a contact time of 4.0 h and pH = 6.0. The adjusted correlation coefficient was 98.7 %, value that represents a satisfactory fit of the proposed model.

Even though the obtained results offer a fairly good removal of this pollutant, a CCD was carried out in order to optimize the adsorption process of BR46 from aqueous solution onto SCB.

3.5. Central Composite Design (CCD)

Particularly, the dosage interval was wider ranging from 0.25 to 7.25 gL-1 while the interval of BR46 initial concentration was maintained between 10-40 mgL-1. Contact time and pH factors were fixed at 2.0 h and 6.0 units, respectively. Despite the contact time was a significant factor, its low standardized effect makes possible to diminish it for reducing the process length (Fig. 3). For this fact, the contact time was fixed at the minor value selected in the initial factorial design. It is worth mentioning that dosage factor was expressed in mass units since the volume for all assays was kept at 40.0 mL.

Fig. 5 shows that the factors of quantity, A, and its interaction with itself, AA, are those that most affect the percentage of BR46 removal. However, the former effect was positive pointing out that the removal exhibits a growing tendency with the increasing of the available surface area, whereas the latter was negative due to the presence of a concave curvature, which allows determining a maximum removal point for this factor in the experimental space.

Standardized Pareto chart for the CCD at p = 0.05.

Figure 5: Standardized Pareto chart for the CCD at p = 0.05.

Source: The authors.

The initial dye concentration, B, has a negative effect on the BR46 removal process. Nevertheless, it is smaller than the exhibited by the previous factors. The above is explained because of, unlike the A factor, the B factor interval was not modified due to the negative effect found in the 24 full factorial design.

Fig. 6 shows that the surface is concave with a maximum removal percentage of 95.0 % for this azo dye under the following conditions: 40 mg L-1 initial concentration and 6.7 g L-1 dosage. The adsorption efficiency increased significantly, suggesting that an expansion in the dosage interval was suitable for this central composite response surface model.

Estimated response surface plot at pH = 6.0 and 2 h for BR46 removal onto SCB.

Figure 6: Estimated response surface plot at pH = 6.0 and 2 h for BR46 removal onto SCB.

Source: The authors.

Eq. (3) describes a mathematical model, with an adjusted correlation coefficient of 98.8%, for the central composite surface design.

Thus, under the best previously mentioned conditions, in this research it was possible to remove a maximum quantity of 5.7 mg of BR46 per gram of SCB. In this regard, it is important to mention that a similar amount of this dye, 5.8 mg of BR46, was removed with the agricultural waste rice husk, using an adsorbent dosage of 2.75 gL-1 in a contact time of 6.5 h [37], suggesting that the SCB offers a similar adsorptive capacity with a more than three times faster kinetic rate than the exhibited by this agricultural by-product of recognized adsorptive properties.

3.6. Effect of ionic strength

Dye-contaminated effluents from the textile industry usually contain several types of salts. Their presence leads to a high ionic strength that can affect the performance of the adsorption process [38-40]. Fig. 7 shows that by increasing NaCl concentration, the BR46 removal percentage was reduced. This behavior can be attributed to the competition between BR46 cations and the positive ions of the monovalent salt (Na+) for the adsorption active sites. However, it was observed a slight increase of adsorption capacity of this dye at 0.1 M NaCl, which could be interpreted according to the reported by Alberghina et al., who found that the addition of salts to the dye solution promote intermolecular forces, like Van der Waals, ion- dipole and dipole-dipole, that mediate the dimerization process of this compounds [41].

Effect of salt concentration in the removal of BR46 (pH: 6.0, BR46 initial concentration: 40 mgL-1, SCB dosage: 6.7 gL-1, particle size: 0.3-0.7 mm and contact time: 2.0 h).

Figure 7: Effect of salt concentration in the removal of BR46 (pH: 6.0, BR46 initial concentration: 40 mgL-1, SCB dosage: 6.7 gL-1, particle size: 0.3-0.7 mm and contact time: 2.0 h).

Source: The authors.

After this point, an increase of 1.37 % for the BR46 removal is registered. A high salt concentration leads to a reduction in electrostatic interactions, this phenomena could be associated to the screening effect caused by the high amount of dissolved ions that favors the interactions between the adsorbent surface and the dye molecule [40].

Finally, it is worth noting that a general reduction of dye adsorption using NaCl and CaCl2 was observed by Han and co-workers, who evaluated the ionic strength in the removal of the cationic dye methylene blue onto natural zeolite [39]. Besides, the effect of NaCl addition in the adsorption process of BR46 onto pine tree leaves was evaluated, finding a decrease of the removal percentage [42].

4. Conclusion

The results of the bromatological analysis of SCB are similar to those reported by other authors, with values of 59.1 % cellulose and 24.3 % hemicellulose. In the case of lignin, a percentage of 6.8 % was obtained, that is, three times less than the reported in the literature, probably due to the geographical location where this product is grown and its respective soil composition. On the other hand, its low ash content, less than 1.0 %, suggests its possible application as substrate in cultures of microorganisms. The 24 full factorial design permitted to establish that dosage and initial dye concentration were the most significant factors in the BR46 adsorption onto SCB. The subsequent optimization of the process through a central composite design, allowed reaching a maximum dye removal of 95.0 % under 40 mgL-1 initial concentration, 6.7 gL-1 dosage, 6.0 pH value and 2.0 h contact time. The results suggest that the agro industrial by-product SCB represents a non-conventional adsorbent for an efficient BR46 removal from aqueous solution. This aspect points out a novel approach of SCB in the decontamination processes of dye effluents focused on an environmental improvement.

Acknowledgements

The authors express acknowledgments to the Universidad Nacional de Colombia - Sede Medellín, Faculty of Science, for the infrastructure of the Laboratory of Experimental Chemistry and to COLCIENCIAS for the financial support through the Project code 111871250685.

References

  1. [1] Ramírez, M.Á., Cultivos para la producción sostenible de biocombustibles: Una alternativa para la generación de empleos e ingresos. Servicio Holandés de Cooperación Al Desarrollo SNV, I pp. 16, 2008. 🠔
  2. [2] Jena, S.D. and Poggi, M., Harvest planning in the Brazilian sugar cane industry via mixed integer programming. European Journal of Operational Research, 230(2), pp. 374-384, 2013. DOI: 10.1016/j.ejor.2013.04.011. [DOI] 🠔
  3. [3] Osorio-Cadavid, G., Buenas prácticas agrícolas -BPA- y buenas prácticas de manufactura -BPM- en la producción de caña y panela. Medellín, ISBN 9789253059102, 2007. DOI: 10.1017/CBO9781107415324.004. [DOI] 🠔
  4. [4] Moubarik, A. and Grimi, N., Valorization of olive stone and sugar cane bagasse by-products as biosorbents for the removal of cadmium from aqueous solution. Food Research International, 73 pp. 169-175, 2015. DOI: 10.1016/j.foodres.2014.07.050. [DOI] 🠔
  5. [5] Higuera, J.M., Sector azucarero generará 264 MW/hora de energía. Portafolio, 2011. 🠔
  6. [6] Aguilar, D., Producción de etanol a partir de bagazo de caña panelera mediante un sistema híbrido de fermentación y pervaporación. Tesis, Universidad Nacional de Colombia, 2011. 🠔
  7. [7] Solenzal, A., Ortiz, Y., Viñals, M., Maganelly, E. and Acosta, E., Purificación de hidrolizado de bagazo de caña de azúcar con carbón activado y resinas de intercambio iónico. Ciencia y Tecnología Alimentaria, 5(2), pp. 124-128, 2006. DOI: 10.1080/11358120609487682. [DOI] 🠔
  8. [8] Zolinger. H., Colour chemistry-Synthesis, Properties of organic dyes and pigments. VCH Publishers, New York, 1987. 🠔
  9. [9] Toh, Y.C., Yen, J.J.L., Obbard, J.P. and Ting, Y.P., Decolourisation of azo dyes by white-rot fungi (WRF) isolated in Singapore. Enzyme and Microbial Technology, 33(5), pp. 569-575, 2003. DOI: 10.1016/S0141-0229(03)00177-7. [DOI] 🠔
  10. [10] Walsh, G.E., Bahner, L.H. and Horning, W.B., Toxicity of textile mill effluents to freshwater and estuarine algae, crustaceans and fishes. Environmental Pollution. Series A, Ecological and Biological, 21(3), pp. 169-179, 1980. DOI: 10.1016/0143-1471(80)90161-0. [DOI] 🠔
  11. [11] Alves-de Lima, R.O., Bazo, A.P., Salvadori, D.M.F., Rech, C.M., Palma-Oliveira, D. de, and Aragão-Umbuzeiro, G. de., Mutagenic and carcinogenic potential of a textile azo dye processing plant effluent that impacts a drinking water source. Mutation Research Genetic Toxicology and Environmental Mutagenesis, 626(1-2), pp. 53-60, 2007. DOI: 10.1016/j.mrgentox.2006.08.002. [DOI] 🠔
  12. [12] Volesky, B., Sorption and biosorption. BV Sorbex, ISBN 9780973298307, 2003. DOI: 0973298308. 🠔
  13. [13] Bhatnagar, A. and Sillanpää, M., Utilization of agro-industrial and municipal waste materials as potential adsorbents for water treatment-A review. Chemical Engineering Journal, 157 (2-3), pp. 277-296, 2010. DOI: 10.1016/j.cej.2010.01.007. [DOI] 🠔
  14. [14] Bhatnagar, A. and Minocha, A.K., Assessment of the biosorption characteristics of lychee (Litchi chinensis) peel waste for the removal of Acid Blue 25 dye from water. Environmental Technology, 31(1), pp. 97-105, 2010. DOI: 10.1080/09593330903370000. [DOI] 🠔
  15. [15] Crini, G., Non-conventional low-cost adsorbents for dye removal: A review. Bioresource Technology, 97(9), pp. 1061-1085, 2006. DOI: 10.1016/j.biortech.2005.05.001. [DOI] 🠔
  16. [16] Rojas, J. y Hormaza, A., Evaluación de la biodegradación del colorante azul brillante utilizando hongos de la podredumbre blanca y sus consorcios. Revista U.D.C.A Actualidad & Divulgación Científica, 19(1), pp. 179-187, 2016. 🠔
  17. [17] Jaramillo, A., Jiménez, S., Merino, A. y Hormaza, A., Obtención de un inóculo fúngico para la degradación de un colorante azo por fermentación en estado sólido. Revista U.D.C.A Actualidad & Divulgación Científica , 17(2), pp. 577-586, 2014. 🠔
  18. [18] Villada, Y., Hormaza, A. and Casis, N., Uso de la cascarilla de arroz para la remoción de azul de metileno en columnas de lecho empacado. Tecno Lógicas, 17(33), pp. 43-54, 2014. 🠔
  19. [19] Brown, M.A. and Vito, S.C., De Predicting azo dye toxicity. Critical Reviews in Environmental Science and Technology, 23(3), pp. 249-324, 1993. DOI: 10.1080/10643389309388453. [DOI] 🠔
  20. [20] Nigam, P., Banat, I.M., Singh, D. and Marchant, R., Microbial process for the decolorization of textile effluent containing azo, diazo and reactive dyes. Process Biochemistry, 31(5), pp. 435-442, 1996. DOI: 10.1016/0032-9592(95)00085-2. [DOI] 🠔
  21. [21] Khoo, E.C., Ong, S.T. and Ha, S.T., Removal of basic dyes from aqueous environment in single and binary systems by sugarcane bagasse in a fixed-bed column. Desalination and Water Treatment, 37(1-3), pp. 215-222, 2012. DOI: 10.5004/dwt.2012.2219. [DOI] 🠔
  22. [22] Zhang, Z., O’Hara, I.M., Kent, G.A. and Doherty, W.O.S., Comparative study on adsorption of two cationic dyes by milled sugarcane bagasse. Industrial Crops and Products, 42(1), pp. 41-49, 2013. DOI: 10.1016/j.indcrop.2012.05.008. [DOI] 🠔
  23. [23] Zhang, Z., Moghaddam, L., O’Hara, I.M. and Doherty, W.O.S., Congo Red adsorption by ball-milled sugarcane bagasse. Chemical Engineering Journal , 178 pp. 122-128, 2011. DOI: 10.1016/j.cej.2011.10.024. [DOI] 🠔
  24. [24] Kanawade, S.M., Low cost Sugarcane Bagasse Ash as an Adsorbent for dye removal from dye effluent. International Journal of Chemical Engineering and Applications, 1(4), pp. 309-318, 2010. DOI: 10.7763/IJCEA.2011.V2.103. [DOI] 🠔
  25. [25] Yu, J.X., Zhu, J., Feng, L.Y. and Chi, R.A., Simultaneous removal of cationic and anionic dyes by the mixed sorbent of magnetic and non-magnetic modified sugarcane bagasse. Journal of Colloid and Interface Science, 451 pp. 153-160, 2015. DOI: 10.1016/j.jcis.2015.04.009. [DOI] 🠔
  26. [26] Ferreira, B.C.S., Teodoro, F.S., Mageste, A.B., Gil, L.F., Freitas, R.P. de, and Gurgel, L.V.A., Application of a new carboxylate- functionalized sugarcane bagasse for adsorptive removal of crystal violet from aqueous solution: Kinetic, equilibrium and thermodynamic studies. Industrial Crops and Products , 65(1), pp. 521-534, 2015. DOI: 10.1016/j.indcrop.2014.10.020. [DOI] 🠔
  27. [27] Ong, S.-T., Khoo, E.-C., Keng, P.-S., Hii, S.-L., Lee, S.-L., Hung, Y.-T. and Ha, S.-T., Plackett-Burman design and response surface methodological approach to optimize basic dyes removal using sugarcane bagasse. Desalination and Water Treatment , 25(1-3), pp. 310-318, 2011. DOI: 10.5004/dwt.2011.1974. [DOI] 🠔
  28. [28] Van Soest, P.J., and Wine, R.H., Use of detergents in the analysis of fibrous feeds. IV. Determination of plant cell-wall constituents. Journal of the Association of Official Analytical Chemists, 50(1), pp. 50-55, 1967. 🠔
  29. [29] Farahani, M., Abdullah, S.R.S., Hosseini, S., Shojaeipour, S. and Kashisaz, M., Adsorption-based cationic dyes using the carbon active sugarcane bagasse. Procedia Environmental Sciences, 10 (PART A), pp. 203-208, 2011. DOI: 10.1016/j.proenv.2011.09.035. [DOI] 🠔
  30. [30] Andrade, M.F. and Colodette, J.L., Dissolving pulp production from sugar cane bagasse. Industrial Crops and Products , 52 pp. 58-64, 2014. DOI: 10.1016/j.indcrop.2013.09.041. [DOI] 🠔
  31. [31] Pandey, A., Soccol, C.R., Nigam, P. and Soccol, V.T., Biotechnological potential of agro-industrial residues. I: Sugarcane bagasse. Bioresource Technology , 74(1), pp. 69-80, 2000. DOI: 10.1016/S0960-8524(99)00142-X. [DOI] 🠔
  32. [32] Zuleta-Correa, A., Evaluación del proceso de degradación de un colorante sintético tipo azo mediante un sistema de fermentación en estado sólido. Tesis de grado, Universidad Nacional de Colombia, 2013. 🠔
  33. [33] Franks, G.V. and Meagher, L., The isoelectric points of sapphire crystals and alpha-alumina powder. Colloids and Surfaces A: Physicochemical and Engineering Aspects, 214(1-3), pp. 99-110, 2003. DOI: 10.1016/S0927-7757(02)00366-7. [DOI] 🠔
  34. [34] Vázquez-González, A., Fernández-Bogo, S., Delgado-Martín, J., Falcón-Suárez, I., Barrientos-Rodríguez, V., Juncosa-Rivera, R., Missana, T., Alonso-de los Ríos, U. and Martin, P.L., Determinación del punto isoeléctrico de residuos de grano fino y su potencial uso en la neutralización de aguas ácidas. Revista de la Sociedad Española de Mineralogía, 9, pp. 255-256, 2008. 🠔
  35. [35] Alomá, I., Martín-Lara, M.A., Rodríguez, I.L., Blázquez, G. and Calero, M., Removal of nickel (II) ions from aqueous solutions by biosorption on sugarcane bagasse. Journal of the Taiwan Institute of Chemical Engineers, 43(2), pp. 275-281, 2012. DOI: 10.1016/j.jtice.2011.10.011. [DOI] 🠔
  36. [36] Trivizadakis, M.E., Giakoumakis, D. and Karabelas, A.J., A study of particle shape and size effects on hydrodynamic parameters of trickle beds. Chemical Engineering Science, 61(17), pp. 5534-5543, 2006. DOI: 10.1016/j.ces.2006.03.025. [DOI] 🠔
  37. [37] Álvarez-Herazo, M., Alemán-Romero, A. and Hormaza-Anaguano, A., Remoción de rojo básico de un efluente textil simulado: un caso de aplicación de la cascarilla de arroz. Producción + Limpia, 6(1), pp. 66-75, 2011. 🠔
  38. [38] Benaïssa, H., Influence of ionic strength on methylene blue removal by sorption from synthetic aqueous solution using almond peel as a sorbent material: Experimental and modelling studies. Journal of Taibah University for Science, 4, pp. 31-38, 2010. DOI: 10.1016/S1658-3655(12)60024-7. [DOI] 🠔
  39. [39] Han, R., Zhang, J., Han, P., Wang, Y., Zhao, Z. and Tang, M., Study of equilibrium, kinetic and thermodynamic parameters about methylene blue adsorption onto natural zeolite. Chemical Engineering Journal , 145(3), pp. 496-504, 2009. DOI: 10.1016/j.cej.2008.05.003. [DOI] 🠔
  40. [40] Malekbala, M.R., Khan, M.A., Hosseini, S., Abdullah, L.C. and Choong, T.S.Y., Adsorption/desorption of cationic dye on surfactant modified mesoporous carbon coated monolith: Equilibrium, kinetic and thermodynamic studies. Journal of Industrial and Engineering Chemistry, 21 pp. 369-377, 2015. DOI: 10.1016/j.jiec.2014.02.047. [DOI] 🠔
  41. [41] Alberghina, G., Bianchini, R., Fichera, M. and Fisichella, S., Dimerization of Cibacron Blue F3GA and other dyes: Influence of salts and temperature. Dyes and Pigments, 46(3), pp. 129-137, 2000. DOI: 10.1016/S0143-7208(00)00045-0. [DOI] 🠔
  42. [42] Mahmoodi, N.M., Hayati, B., Arami, M. and Lan, C., Adsorption of textile dyes on Pine Cone from colored wastewater: Kinetic, equilibrium and thermodynamic studies. Desalination, 268(1-3), pp. 117-125, 2011. DOI: 10.1016/j.desal.2010.10.007. [DOI] 🠔
Cueva-Orjuela, J.C., Hormaza-Anaguano, A. and Merino-Restrepo, A., Sugarcane Bagasse and its Potential Use for the Textile Effluent Treatment DYNA, 84(203), pp. 291-297, December, 2017.