DYNA
0012-7353
Universidad Nacional de Colombia
https://doi.org/10.15446/dyna.v84n202.61895

Recibido: 11 de enero de 2017; Revision Received: 26 de junio de 2017; Aceptado: 18 de julio de 2017

Energy consumption and quality of service in WBAN: A performance evaluation between cross-layer and IEEE802.15.4

Consumo de energía y calidad de servicio en redes WBAN: Una evaluación de desempeño entre capa cruzada e IEEE802.15.4

J. Correa-Chica, aJ. Botero-Vega, aN. Gaviria-Gómez, a

Facultad de Ingeniería, Universidad de Antioquia, Medellín, Colombia. camilo.correa@udea.edu.co, juanf.botero@udea.edu.co, natalia.gaviria@udea.edu.co Universidad de Antioquia Facultad de Ingeniería Universidad de Antioquia Medellín Colombia

Abstract

Different communication schemes for Wireless Body Area Networks (WBAN) pretend to achieve a fair tradeoff between efficient energy consumption and the accomplishment of performance metrics. Among those schemes are the Cross-layer protocols that constitute a good choice to achieve the aforementioned tradeoff by introducing novel protocol techniques which are away from the traditional communications model. In this work we assessed the performance of a WBAN cross-layer protocol stack by comparing it against the performance of the protocols of the IEEE802.15.4 standard, which is commonly used for WBAN deployment nowadays. We evaluated the performance of both, cross-layer and IEEE802.15.4 approaches, by means of a simulation, by using a popular network simulator and its frameworks for wireless networks. And then performed a statistical comparison and ascertained that the cross-layer protocol stack offers better performance regarding a tradeoff between efficient energy consumption and performance metrics in our particular test scenario. We observed that, in general, the cross-layer approach outperformed both modes of IEEE802.15.4 standard (slotted and unslotted) regarding energy consumption, end to end delay, packet loss rate and goodput. The results of our experiments reported that the cross-layer strategy saves up to 80% more energy than IEEE802.15.4 unslotted and it is only a 5% below the slotted mode. Regarding the quality of service metrics the performance was always better when using the cross-layer scheme.

Keywords:

Communication protocols, Cross-layer schemes, Energy consumption, IEEE802.15.4, OMNeT++, Quality of service, Wireless Body Area Networks..

Resumen

Dentro de los esquemas de comunicación de redes inalámbricas de área corporal (WBAN), se encuentran los protocolos de capa cruzada, constituidos en una novedosa opción para alcanzar un balance efectivo entre consumo eficiente de energía y métricas de desempeño. En el presente trabajo, evaluamos el desempeño de una estrategia de capa cruzada al compararla contra los protocolos del estándar IEEE802.15.4 en una WBAN. Se evaluó el desempeño de ambas estrategias empleando una simulación de redes WBAN. Luego se ejecutó una comparación estadística y se encontró que la estrategia de capa cruzada ofrece un mejor desempeño con respecto a la compensación entre consumo eficiente de energía y algunas métricas de desempeño en nuestra WBAN. Observamos que en general, la estrategia de capa cruzada supera a ambos modos del estándar IEEE802.15.4 (ranurado y no-ranurado) con respecto a consumo eficiente de energía, retraso extremo a extremo, tasa de pérdida de paquetes y goodput.

Palabras clave:

Calidad de servicio, Capa cruzada, Consumo de energía, IEEE802.15.4, OMNeT++, Protocolos de comunicación, Redes inalámbricas de área corporal..

1. Introduction

The development of WBANs, specifically when used in health monitoring applications, faces important challenges and tradeoffs regarding network energy consumption (battery depletion) and accomplishment of quality of service (QoS) metrics. WBANs are to be deployed on and inside the human body. Hence, the most common tradeoffs in using WBANs for medical monitoring are related to malfunctioning induced by the context and scenario of deployment, as well as implementation constraints imposed by the human body tissues: 1) the use of low power levels to avoid tissue heating and reduce levels of electromagnetic absorption, 2) the need for high levels of quality of service (QoS) guarantees for the management of critical information, such as the health condition of a patient, 3) the size of sensor node devices to avoid user’s experience discomfort, 4) the heterogeneity of the sensor nodes, 5) communication channel variations, due to the mobility of the sensor nodes in the WBAN, introduced by body postural changes, and 6) the scarce energy resources that depend on the battery life.

Current state of the art [1-4] shows that most of the research in WBAN has focused on balancing the tradeoff between energy consumption and maintaining acceptable levels for QoS metrics. Multiple techniques and approaches regarding this issue have been proposed, most of which emphasize on finding the best settings and configurations in medium access schemes at MAC (Medium Acces Control) layer, specifically CSMA/CA (Carrier Sense Multiple Access / Collision Avoidance) strategy (both slotted and unslotted modes) [5]. Current implementations of such approaches can only be tested using low power communication technologies such IEEE 802.15.4 [6] standard for Wireless Personal Area Network (WPAN).

Although IEEE802.15.4 offers good support for WBAN implementations, it has been noticed that hierarchically layered protocols are not a good choice to balance the energy-QoS tradeoff existing in Wireless Sensor Networks (WSN) [7]. As a consequence, a new type of approach appeared in WBAN scenario, namely cross-layer design [8], which proposes communication between non-adjacent layers of communication stacks in order to devise strategies that improve the performance in terms of energy consumption and QoS accomplishment. This approach, however, introduces additional complexity in the design and implementation of the WBAN.

This paper presents the results of a comparison between IEEE 802.15.4 and a novel cross-layer strategy presented in [9], focused on the balance of energy-QoS tradeoff in a simulated WBAN application scenario. The comparison is performed using a scenario simulated in OMNET++ [10].

This article is organized as follows: section II presents a contextualization and related work; section III presents the design of experiments setup, the WBAN simulation setup, and development in OMNeT++. In section IV, we show the results and analysis of the experiments, and finally the conclusions are presented in section V.

2. Context and related work

2.1. IEEE 802.15.4

IEEE 802.15.4 [6,11,12] is a standard that deals with the intersection among low complexity, low energy consumption, low data rates, and low cost devices in WPAN. This standard specifies the physical (PHY) and medium access control (MAC) layers of the communication model (see Fig. 1). The PHY defines mechanisms for the: 1) activation and deactivation of radio transceivers, 2) channel energy level detection, 3) received packets link quality indication, 4) execution of Clear Channel Assessment (CCA) of the CSMA/CA protocol, and 5) transmission/reception of packets.

IEEE802.15.4 layers stack

Figure 1: IEEE802.15.4 layers stack

Source: The authors

The MAC layer is in charge of channel access, maintaining a reliable link between devices, synchronizing, associating and disassociating devices, and employing a protocol for medium access control. There exist two mechanisms for medium access: beacon-enabled (slotted csma/ca) and non beacon-enabled (unslotted csma/ca).

In non beacon-enabled medium access, nodes keep listening to the channel and perform transmissions once they find it to be idle. Nodes can detect a collision when they do not receive an acknowledgement packet (ACK) from the receptor of the transmission.

In beacon-enabled medium access, a central device known as network coordinator periodically sends a beacon message used to sync up the network and to assign the transmission time slots for every node. Nodes contend for these time slots in the Contention Access Period (CAP) and enter sleep mode for energy saving purposes in the inactive part of the super-frame (see Fig. 2).

IEEE802.15.4 Slotted mode super-frame

Figure 2: IEEE802.15.4 Slotted mode super-frame

Source: The authors

2.2. Cross-layer design

Cross-layer design basically performs a violation of the layered hierarchy by allowing protocols from non-adjacent layers to exchange information and relevant parameters obtained at run-time. The cross-layer approach proposes various alternatives to the traditional layered model: The creation of new interfaces to manage the connection and the flow of information among layers (see Fig. 3.a); the merging of adjacent layers, where a new "super-layer" is created by merging services provided by two or more layers (see Fig. 3.b); vertical calibration across layers, setting a priori information obtained from them or updating it based on parameters at runtime (see Fig. 3.c); new abstraction,

Cross-layer proposals and interactions.

Figure 3: Cross-layer proposals and interactions.

Source: Srivastava and Motani, 2005.

which defines a non-layered architecture to have functions similar to those of the traditional protocol stack (see Fig. 3.d). Implementations of the cross-layer approaches have also been proposed based on direct communication between layers-(with exchanges of information between layers performed at runtime)-, a shared database across layers-(with a new layer-like scheme that performs the storage and retrieval of layer-related information), and a completely new abstraction (innovative implementations aimed at replacing the traditional stack like scheme) [8,9,13,14] (See Fig. 3.e).

2.3. Cross-layer protocol

The novel cross-layer technique for WBANs presented by Nabi et. al [9] is built upon 3 premises: 1) avoiding dependence on network topologies or network layer schemes for packet forwarding; 2) using a TDMA (Time Division Multiple Access) scheme as medium access strategy to avoid common energy wasting issues present in contention based schemes; and 3) adapting transmission power, since low power levels do not always ensure energy efficiency.

For routing duties, nodes in the network are supposed to have enough space in memory to store data items from neighbor nodes so each node broadcasts its own data item and at least a data item from any other node; this strategy is called “gossiping”. The power adaption mechanism makes the calculation of two metrics, one metric is concerned with outlink quality ( Q i ) and the other one prevents cluster formation when outlink quality improves among neighbors; hence it maintains a link to the sink node for every node in the network ( 𝐶 𝑖 ). This strategy cooperates with mobility given that isolated/disconnected nodes increase their transmission power to reach neighbors and reconnect to the network, because in isolation both metrics decrease consequently.

The authors claim that the aforementioned scheme ensures efficiency in energy consumption as it prevents retransmissions. Besides, data routing does not depend on the topology because the nodes broadcast information without concerning for the relative position of the intended receiver, and simultaneously, the latency is reduced because all nodes can reach the sink using the power adaptation mechanism. They also consider that the strategy needs to optimize listening on active time slots to reduce the consumption caused by idle listening.

Fig. 4 illustrates how power adaptation mechanism of the protocol works.

Cross-layer protocol power adaptation mechanism

Figure 4: Cross-layer protocol power adaptation mechanism

Source: The authors

2.4. Energy consumption and QoS in WBAN

The tasks performed by nodes in a WBAN, and in general, in any WSN, including sensing, data processing, and communications incur in energy consumption. The wireless communication process constitutes the major power consuming task [15]. As nodes implanted on or deployed around the body have a very small form factor pursuing user’s comfort, batteries to power these devices are kept small, and hence energy storage capacity becomes a relevant issue. Most applications of WBANs restrict nodes to avoid requiring replacement of the battery over long periods of time; for example, a pacemaker or a glucose monitor is supposed to last for at least 5 years. Thus, energy-aware strategies have to be devised to keep nodes working properly over the required period of time. The network lifetime is defined as the time between the moment the entire WBAN is turned ON and the moment that the first node runs out of power, so energy saving strategies should support uniform energy drain, focusing on balancing power consumption among all the nodes comprising the network [16].

Another important issue is the constraint related to RF power, namely the consequences of the body's reaction to electromagnetic radiation, and the localized specific absorption rate in the body. To show the magnitude of the situation, sensors in a WBAN are required to broadcast data at low power due to heating of the radio chips, transferring heat to the tissues that form the muscles and causing harm to the WBAN user (burnings or even malignant cell degeneration) [17].

Besides the aforementioned issues, several causes of energy waste have been identified in WSNs, including collision, overhearing, idle listening, over-emitting, control packet overhead, and traffic fluctuations. Collisions occur when two or more nodes try to access the communication channel simultaneously. Idle listening is when a node listens to a channel lacking traffic. Overhearing occurs when nodes receive packets that are not intended for them. Control packet overhead happens when a node adds too many control headers to the payload. Finally, over-emitting means that many retransmissions are required for a packet to reach its destination [18].

QoS’s guarantees in WBAN need special attention given the context of application of this type of network. For instance, in medical environments, sportsmen and soldiers vital signs monitoring. Although WBANs as a subset of WSNs face the same technical challenges of most wireless networks, it is important to notice that the critical levels regarding issues like network connectivity, security, delay, energy consumption, packet delivery, traffic prioritization, and bandwidth allocation are more demanding in WBANs [19].

In this research, we pretend to compare two protocols for WBAN, a cross-layer scheme for WBAN and IEEE 802.15.4 standard. We focused on the tradeoff between energy efficiency and QoS accomplishment in both protocols. The following three QoS metrics are in the scope of this work: End to End Delay, Packet Delivery Ratio, and Goodput as they span overall major requirements in WBAN transmissions.

3. Methodology

Three fundamental steps were performed to achieve the comparison between the protocols: 1) to define an experiment to evaluate the performance of both communication schemes. An experimental unit was proposed, together with a set of factors (treatments and their corresponding levels) and a set of response variables; 2) to simulate the protocols in a WBAN test scenario, taking into account channel propagation models for the wireless links and a mobility model for the nodes and the network itself; 3) to gather the results obtained from the simulation and to perform a statistical analysis to compare the performance of both communication schemes.

3.1. Experimental design

The experimental design is a necessary stage to achieve the goal of a fair comparison between the protocols for WBAN. The main focus of our work is to assess the energy consumption in both protocols and analyze which of them is more suitable for WBAN, given the constraints introduced by the management of the battery. This analysis, however, is not enough since there is a tradeoff between energy consumption and acceptable QoS metrics in the context of WBAN. Hence, the evaluation was aimed to reveal which communication scheme had the lowest power consumption and the best QoS accomplishment.

The experiment was devised as a model of fixed effects, in which we chose all the treatments. The results and conclusions are assumed to be tightly tied to the levels of each factor involved in the experiment. To conclude about the results of the experiment, we proposed a set of hypotheses. A major requirement of the experiment was to run a fixed number of replicas of each treatment to include the effects of variability induced by nuisance factors and run these replicas randomly to make the environment of treatment execution as uniform as possible as in completely randomized experimental designs [20].

3.1.1. Experimental unit

The experimental unit is a wireless body area network comprised by the following components, as shown in Fig. 5: 1) a sink node and a few sensor nodes installed on a patient’s body. All of the nodes have specifications based on the TI-CC2420 radio [21], whose model is available in OMNeT++; 2) a wireless channel prone to path induced attenuation and signal shadowing (lognormal); 3) a mobility model used to simulate the patient’s movement (we used MoBAN [22]).

Experimental unit, factors, constants, and response variables of the experiment.

Figure 5: Experimental unit, factors, constants, and response variables of the experiment.

Source: The authors

3.1.2 Factors

The factors listed below were considered to have significant influence on the response variables as they represent the main characteristics of the WBAN itself and also by taking an experimental reference framework for wireless networks from [5,23,24].

  • Communication scheme (protocol): This factor has two qualitative levels, one corresponds to the cross-layer protocol and the other one to protocols of the IEEE802.15.4 standard.

  • Number of nodes: We considered this factor to have direct incidence on QoS metrics and power consumption, given that network connectivity could be impacted by the amount of neighbors surrounding individual nodes and the distance between them. Two levels were defined for this factor, networks of 5 and 12 nodes.

  • Traffic in the network: As we wanted to observe the power consumption in the WBAN, we considered that the amount of traffic could have a direct impact on battery management in wireless transmissions. We defined two levels for this factor, as follows: one level corresponds to heavy traffic (nodes transmitting every 30 seconds) and low traffic (transmissions are performed every 5 minutes or 300 seconds).

As shown in Table 1, the treatments of the experiment are all combinations of all levels of the factors, and every treatment was replied 10 times in the experiment. As referred before, the replication order was randomized in order to keep independence and uniformity between treatments.

Table 1: Experiment treatments

Source: The authors

3.1.3. Response variables

As we decided to evaluate the tradeoff between power consumption and QoS performance, we chose the following response variables: Remaining Battery, Packet Delivery Ratio, End to End Delay, and Goodput, since these performance metrics span all major requirements in WBAN scenarios, namely: Low delay data transmission, low packet loss rate, accurate and reliable transmissions, and low energy consumption. The variables are defined as follows:

  • Remaining Battery: It is the average percentage of energy available at the battery of the nodes, once the simulation finished.

  • Packet Loss Ratio: It is the average rate (percentage) of packets lost in the entire simulation. It is calculated as the ratio between all the packets received at the sink and the packets sent by all nodes in the network.

  • End to End Delay: It is the average latency experienced by packets transmitted from any sensor node (origin) to the sink (destiny). It is obtained as the ratio between the total delay of all the packets that successfully reached the sink and the number of packets received by the sink.

  • Goodput: It is known as the number of successfully transmitted bits of information per unit of time. It is calculated as the ratio between all the bits successfully received at the sink and the total time of the simulation run.

3.1.4. Experiment hypotheses

As the focus of our experiment was to identify which protocol exhibited the best performance in the satisfaction of the balance between energy consumption and QoS, the null hypothesis is always the same for every response variable. Our hypothesis is hence that the mean value of the response variable is the same no matter what protocol is applied to the WBAN scenario and equal to 0. The set of hypotheses is formalized below:

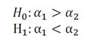
  • Cross-layer protocol ( 𝛼 1 ) exhibits a better performance regarding average energy consumption than IEEE802.15.4 standard ( 𝛼 2 ), where 𝛼 𝑖 is the average remaining battery load of all nodes in the network.

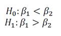
  • Cross-layer protocol ( 𝛽 1 ) exhibits a better performance in end to end delay metric than IEEE802.15.4 standard ( 𝛽 2 ), where 𝛽 𝑖 is the average time elapsed in a succesful packet transmission from node to sink.

  • Cross-layer protocol ( 𝛾 1 ) exhibits a better performance in packet loss rate metric than IEEE802.15.4 standard ( 𝛾 2 ), where 𝛾 𝑖 is the average rate of packets lost during the entire simulation run.

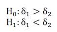
  • Cross-layer protocol ( 𝛿 1 ) exhibits a better performance in goodput than IEEE802.15.4 standard ( 𝛿 2 ), where 𝛿 𝑖 is the average quantity of bits transmitted per second.

3.2. Simulation setup

The simulation tool used in our work was OMNeT++, a modular discrete event simulator that is suitable for telecommunication networks and protocol simulations. The networks can be modeled using NED (Network Description) language and the behavior of protocols and modules is coded using C++. OMNeT++ has a special framework for wireless network simulation called MiXiM [25], [26], which provides useful built-in modules and models, like battery, channels, packets, messages, mobility, PHY, MAC, Network and Application layers, and several examples for wireless networks.

3.2.1. Cross-layer protocol setup

For the implementation of the cross-layer protocol, we had to work on three layers: PHY, MAC, and APP since the network layer functionalities are assumed by the “gossiping” strategy as described by the authors of the protocol. The cross-layer protocol was divided into 6 steps: 1) When a node has to transmit, it first checks its memory to include a data item received from a neighbor in a previous transmission round and its in-link map of the last transmission round (a register to count the neighbors from which a node received packets in the last transmission round). All nodes broadcast, no unicast transmission is performed; 2) Once data is received, the new data items replace the existing data items in memory and the in-link map is updated, as well; 3) It was decided that before going to sleep in the super-frame, every node had to calculate metrics taking into consideration the last 3 transmission rounds. After metric calculations, the nodes had to check the metrics to decide whether to increase/decrease TX power or not; 4) For every packet (containing data items) generated at the APP layer, a control info is added to alert the MAC layer if TX power has to be increased/decreased; 5) Through another control message, the MAC layer notifies the PHY layer the TX power level for the transmission; 6) With the TX power level, the PHY layer calculates the consumption in the transmission.

The PHY layer was implemented using an existing module of MiXiM, although some changes to the original files were performed in order to include the functionality that allows the cross-layer nodes to change among the different levels of transmission power and their corresponding current (battery) consumption. The PHY layer decider and signal modulation were set-up according to the TI-CC2420 radio specifications. Specifically, five levels for TX power detailed in TI-CC2420 datasheet [21] were defined: 0.0032mW (-25dBm), 0.032mW (-15dBm), 0.1mW (-10dBm), 0.32mW (-5dBm), and 1mW (0dBm). Regarding on-body wireless channel, we used the simple path loss and lognormal shadowing analogue models. For the WBAN channel characterization, we chose a value of 5.9 for the pathloss coefficient to consider NLOS (Nonline-of-sight) transmissions as well [27] and values of -2.29 and 1.31 for the mean and the standard deviation of the lognormal distribution [28].

A TDMA medium access scheme at MAC layer was implemented by modifying an example of TDMA MAC provided by Ajith A. Kumar in [29], by the addition of the corresponding functionality to change transmission power among different levels, in order to inform the PHY layer of the change in TX power. Each node in the cross-layer protocol was assigned one time slot of 4ms length within a 1 second TDMA frame.

The cross-layer protocol Application layer was implemented using a built-in SensorAppLayer example provided in MiXiM; we took advantage of the existing functionalities and added the corresponding methods required for the calculation of the cross-layer protocol metrics (out-link quality and connectivity to the gateway). We implemented vectors to record the in-link maps, methods for metrics calculation and checking, and a control info message to inform the MAC layer any change on TX power level. An important issue to mention is that we had to implement a “node needs help” packet, once a node had increased TX power level in 3 consecutive times and the metrics remained poor because the other nodes had good metrics, stopped increasing power, and could not reach this particular node. This “node needs help” packet alerted “good metrics” nodes to increase power again to reach isolated “poor metrics” nodes.

3.2.2. IEEE802.15.4 setup

We used the existing IEEE802.15.4 models available in OMNeT++ frameworks and modified the original code and the simulation settings. We also introduced the necessary adjustments to work with MoBAN mobility model, as well.

4. Statistical analysis of the results

In the planning phase of the experiment, an ANOVA (Analysis of variance) analysis was chosen to evaluate the results of the experiment; however, it was not possible due to the strong heterogeneity of the results. The analysis of residuals did not accomplish the assumptions about the residuals of the experiment. So it was decided to make a graphic exploratory analysis to obtain conclusions about the results.

The goal was to test the null hypothesis against the alternative hypothesis to discover the individual influence of the protocol factor in the response variables, and the interaction with the other factors, as well. Also, we wanted to measure the level of significance of such influence by the estimation of the difference in the mean of each response variable.

Table 2 shows the results obtained after running the experiment with all of its treatments.

Table 2: Average results of the experiment, for all the treatments (traffic level (H: High, L: Low), delay in milliseconds, the percentage of packets lost in transmission, goodput in bits per second, and the percentage of remaining battery in the nodes).

Source: The authors

Early conclusions could be obtained by analyzing the numerical results of the experiment. However, a more accurate statistical analysis was executed in order to obtain a wider view from the results and to infer a more reliable set of conclusions.

4.1. Cross-layer and IEEE802.15.4 unslotted

Fig. 6 shows the results, in terms of means, for the response variables comparison between the cross-layer protocol and the unslotted mode of IEEE802.15.4.

Average performance of the QoS metrics in cross-layer VS. IEEE802.15.4 unslotted

Figure 6: Average performance of the QoS metrics in cross-layer VS. IEEE802.15.4 unslotted

Source: The authors

For average end to end delay and average packet loss rate response variables the null hypothesis was rejected, the graphics show the difference between the means obtained with both levels of Protocol factor. Regarding the End to End Delay metric, it is shown that IEEE 802.15.4 exhibits a slightly better performance. The difference in the means was close to 2.5ms, which is not significant in WBAN environments.

With regard to the Packet Loss Rate, the IEEE 802.15.4 unslotted outperforms the cross-layer protocol. This can be explained by the amount of lost packets that the later protocol exhibits when all nodes are adapting power in the early stages of the network.

Regarding Goodput, the results match reality since the network using the cross-layer scheme broadcasts larger packets due to the “gossiping” strategy, with packet loss and end to end delay not far from those exhibited by IEEE 802.15.4 unslotted.

Regarding Energy Consumption, the results are totally conclusive, nodes using cross-layer protocol saved almost 90% of the battery in the entire simulation run, while when using IEEE802.15.4 protocols only a 10% of the battery remained untouched.

4.2. Cross-layer and IEEE802.15.4 slotted

Means plots in Fig. 7 show the results for the response variables comparison between the cross-layer protocol and the slotted mode of IEEE 802.15.4.

In this case, the only null hypothesis rejected is the one regarding the remaining battery load in the network. The difference between the response variables means for the rest of hypotheses is quite appreciable. For the End to End Delay, Packet Loss Ratio and Goodput metrics, a large difference is noticeable between the protocols. The best performance in those metrics is exhibited by the cross-layer protocol.

Average performance of the QoS metrics in cross-layer VS. IEEE802.15.4 slotted

Figure 7: Average performance of the QoS metrics in cross-layer VS. IEEE802.15.4 slotted

Source: The authors

However, regarding the Battery Consumption, a difference close to 10% in favor of IEEE 802.15.4 slotted can be observed. This result can be explained by longer inactive periods in IEEE 802.15.4 slotted and less slots in listening mode in IEEE 802.15.4 unslotted when compared with the cross-layer ones.

4.3. Transmission power

Another important issue that we considered in our experiments was the transmission power level. As mentioned in section 2, WBAN nodes should not perform transmissions at high power levels, not only aiming to reduce energy consumption, but also trying to reduce the electromagnetic absorption rate in the body, which could result in health problems related to WBAN’s use.

Figs. 8-11 show the transmission power levels for every node in 4 randomly chosen treatments of the experiments, Figs. 8, 9 correspond to WBANs formed up by 5 nodes and transmissions every 30 seconds, and 5 minutes respectively, while Figs. 10, 11 correspond to cases with 12 nodes.

Performance of WBAN nodes regarding transmission power levels (network of 5 nodes - sending packets every 30 seconds)

Figure 8: Performance of WBAN nodes regarding transmission power levels (network of 5 nodes - sending packets every 30 seconds)

Source: The authors

Performance of WBAN nodes regarding transmission power levels (network of 5 nodes - sending packets every 5 minutes)

Figure 9: Performance of WBAN nodes regarding transmission power levels (network of 5 nodes - sending packets every 5 minutes)

Source: The authors

Performance of WBAN nodes regarding Transmission Power levels (network of 12 nodes - sending packets every 30 seconds)

Figure 10: Performance of WBAN nodes regarding Transmission Power levels (network of 12 nodes - sending packets every 30 seconds)

Source: The authors

Performance of WBAN nodes regarding Transmission Power levels (network of 12 nodes - sending packets every 5 minutes)

Figure 11: Performance of WBAN nodes regarding Transmission Power levels (network of 12 nodes - sending packets every 5 minutes)

Source: The authors

It is evident that in networks using the cross-layer approach, nodes performed transmissions at lower power levels help to reduce electromagnetic absorption. It can be observed that in WBANs with a greater density of nodes, the power level tends to reduce considerably among all nodes, even performing transmissions at the lowest power levels.

Such a result shows an extra benefit resulted from the use of the cross-layer protocol, as it prevents collateral damage and discomfort to WBAN’s users.

5. Conclusions

The results show that regarding QoS metrics, in most cases, the cross-layer protocol outperforms IEEE 802.15.4 in WBAN scenarios. Regarding energy consumption, the cross-layer protocol is better than IEEE 802.15.4 unslotted but it cannot be said that it is worse than IEEE 802.15.4 slotted having in mind that the latter exhibited poor QoS performance.

According to the premise of this comparison, the cross-layer protocol is more suitable for WBAN than the standard IEEE802.15.4, given the more accurate balance between Energy Consumption and QoS metrics accomplishment exhibited by this communication scheme. In addition, the lower transmission power in the nodes using the cross-layer protocol helps to reduce the risks attributed to electromagnetic emissions in the human body.

References

  1. [1] Movassaghi, S., Abolhasan, M., Smith, D. and Jamalipour, A., Wireless body area networks: A survey. IEEE Communications Surveys & Tutorials, [Online]. 16(3), 2014. [Date of reference october 15th of 2015]. Available at: Available at: https://www.researchgate.net/profile/Samaneh_Movassaghi/publication/259005723_Wireless_Body_Area_Networks_A_Survey/links/0f3175317fe39b154b000000.pdf [URL] 🠔
  2. [2] Alam, M. and Hamida, E.B., Surveying wearable human assistive technology for life and safety critical applications: Standards, challenges and opportunities. Sensors. [Online]. 14(5), 2014. [Date of reference october 20th of 2015] Available at: Available at: https://www.researchgate.net/publication/262607199_Surveying_Wearable_Human_Assistive_Technology_for_Life_and_Safety_Critical_Applications_Standards_Challenges_and_Opportunities [URL] 🠔
  3. [3] Bangash, J., Abdullah, A.H., Anisi, M.H. and Khan, A.W., A survey of routing protocols in wireless body sensor networks. Sensors, 14(1), pp. 1322-1357, 2014. DOI: 10.3390/s140101322 [DOI] 🠔
  4. [4] Correa, J.C., Botero, J.F. and Gaviria, N., Cross-layer designs for energy efficient wireless body area networks: a review. Revista Facultad de Ingeniería. 79(10), pp. 98-118, 2016. DOI: 10.17533/udea.redin.n79a10 [DOI] 🠔
  5. [5] Tobón, D. y Gaviria, N., Análisis de métricas de calidad de servicio para la configuración del protocolo CSMA/CA en redes de sensores inalámbricas de área corporal. Ingeniería y Desarrollo. [Online]. 30(1), 2012. [Date of reference november 4th of 2014]. Available at: Available at: http://rcientificas.uninorte.edu.co/index.php/ingenieria/article/viewArticle/3891 [URL] 🠔
  6. [6] IEEE, IEEE Standard for information technology- Telecommunications and information exchange between systems- local and metropolitan area networks- specific requirements Part 15.4: Wireless Medium Access Control (MAC) and Physical Layer (PHY) Specifications for Low-Rate Wireless Personal Area Networks (WPANs), IEEE Std 802.15.4-2006 (Revision of IEEE Std 802.15.4-2003), 2006. 🠔
  7. [7] Song, L. and Hatzinakos, D., Emerging communications for wireless sensor networks [Online], Rijeka, Croatia, Intech Europe, 2011 [Date of reference august 10th of 2014], Chap. 1, Wireless Sensor Networks: from Application Specific to Modular Design. Available at: Available at: http://www.intechopen.com/books/emerging-communications-for-wireless-sensornetworks/wireless-sensor-networks-from-application-specific-to-modular-design [URL] 🠔
  8. [8] Srivastava, V. and Motani, M., Cross-layer design: A survey and the road ahead, IEEE Communications Magazine, 43(12), pp. 112-119, 2005. DOI: 10.1109/MCOM.2005.1561928 [DOI] 🠔
  9. [9] Nabi, M., Basten, T., Geilen, M., Blagojevic M. and Hendricks, T., A robust protocol stack for multi-hop wireless body area networks with transmit power adaptation, Proceedings of the Fifth International Conference on Body Area Networks [Online], IEEE, Santa Clara CA, USA, IEEE Engineering in Medicine and Biology Society, 2010, pp. 77-83. [Date of reference September 25th of 2014]. Available at: Available at: http://www.es.ele.tue.nl/nes/content/publications/BodyNets10.pdf [URL] 🠔
  10. [10] Varga, A., The omnet++ discrete event simulation system, en the European simulation multiconference, Proceedings of the European simulation multiconference. [Online], Prague, Czech Republic, Faculty of Information Technology, BUT, Božetěchova, 2001, pp. 65-72. [Date of reference December 8th of 2014]. Available at: Available at: http://citeseerx.ist.psu.edu/viewdoc/download?doi=10.1.1.331.1728&rep=rep1&type=pdf . [URL] 🠔
  11. [11] Groß, C., Hermanns, H. and Pulungan, R., Does clock precision influence ZigBee’s energy consumptions?, Proceedings of the 11th International Conference on Principles of Distributed Systems, OPODIS 2007). [Online] , Springer, Guadalupe, Indias Occidentales Francesas, 2007, pp. 174-188. [Date of reference November 4th of 2014]. Available at: Available at: http://link.springer.com/chapter/10.1007%2F978-3-540-77096-1_13 [URL] 🠔
  12. [12] Koubaa, A., Alves, M. and Tovar, E., A comprehensive simulation study of slotted CSMA/CA for IEEE 802.15.4 wireless sensor networks, Proceedings of the IEEE 5th IEEE International Workshop on Factory Communication Systems. [Online], IEEE, Santa Clara CA, USA, 2006, pp. 183-192. [Date of reference April 5th of 2015]. Available at: Available at: http://ieeexplore.ieee.org/document/1704149 / [URL] 🠔
  13. [13] Hughes, L., Wang, X. and Chen, T., A review of protocol implementations and energy efficient cross-layer design for wireless body area networks, Sensors. [Online]. 12(11), 2012. [Date of reference September 10th of 2014] Available at: Available at: www.mdpi.com/1424-8220/12/11/14730/pdf [URL] 🠔
  14. [14] Raghuwanshi, S., An energy efficient cross layer design scheme for wireless sensor networks, MSc. Degree dissertation. [Online]. Department of Electrical and Computer Engineering, Virginia Tech, Virginia, USA, 2003. Available at: https://theses.lib.vt.edu/theses/available/etd-10142003-192425/unrestricted/srajan_thesis.pdf [URL] 🠔
  15. [15] Ullah, S., Higgins, H., Braem, B., Latrè, B., Blondia, C., Moerman, I., Saleem, S., Rahman, Z. and Kwak, K.S., A comprehensive survey of wireless body area networks - on phy, mac, and network layers solutions, Journal of Medical Systems. [Online]. 36(3), 2012. [Date of reference September 10th of 2014] Available at: Available at: http://link.springer.com/article/10.1007/s10916-010-9571-3 [URL] 🠔
  16. [16] Latrè, B., Braem, B., Blondia, C., Moerman, I. and Demeester, P., A survey on wireless body area networks, Wireless Networks, 17(1), pp. 1-18, 2011. DOI: 10.1007/s11276-010-0252-4 [DOI] 🠔
  17. [17] Arumugam, D.D., Gautham, A., Narayanaswami, G. and Engels, D.W., Impacts of RF radiation on the human body in a passive wireless healthcare environment, en Second International Conference on Pervasive Computing Technologies for Healthcare, PervasiveHealth, Proceedings of the Second International Conference on Pervasive Computing Technologies for Healthcare. [Online], IEEE, Arlington TX, USA, IEEE, 2008, pp. 181-182. [Date of reference May 12th of 2015]. Available at: Available at: http://ieeexplore.ieee.org/document/4571064/ [URL] 🠔
  18. [18] Gopalan, S. and Park, J.T., Energy-efficient mac protocols for wireless body area networks: Survey, Proceedings of the International Congress on Ultra Modern Telecommunications and Control Systems and Workshops, IEEE, Santa Clara CA, USA, 2010, pp. 739-744. DOI: 10.1109/ICUMT.2010.5676554 [DOI] 🠔
  19. [19] Ameen, M.A., Nessa, A. and Kwak, K.S., QoS issues with focus on wireless body area networks, Proceedings of the Third International Conference on Convergence and Hybrid Information Technology, IEEE, Santa Clara CA, USA, 2008, pp. 801-807. DOI: 10.1109/ICCIT.2008.130 [DOI] 🠔
  20. [20] Montgomery, C.D., Design and Analysis of Experiments, 8th edition, John Wiley & Sons, Inc., Filadelfia, USA, 2012. 🠔
  21. [21] Chipcon Products for Texas Instruments, CC2420 2.4 GHz IEEE 802.15.4 / ZigBee-ready RF Transceiver, Data Sheet, 2008. 🠔
  22. [22] Nabi, M., Basten, T. and Geilen, M., MoBAN: A configurable mobility model for wireless body area networks, Proceedings of the 4th International ICST (Institute for Computer Sciences, Social-Informatics and Telecommunications Engineering) Conference on Simulation Tools and Techniques. [Online], IEEE, Barcelona, España, IEEE Computer Society, 2011, pp. 168-177. [Date of reference November 28th of 2014]. Available at: Available at: http://www.es.ele.tue.nl/~tbasten/papers/MoBAN_SIMUTools_final.pdf [URL] 🠔
  23. [23] Leal, A. and Gaviria, N., Application of ANOVA method for evaluation of routing protocols in Wireless Mesh Networks, Proceedings of the IEEE Latin-American Conference on Communications, IEEE, Cuenca, Ecuador, 2009 , pp. 1-6. DOI: 10.1109/LATINCOM.2009.5304732 [DOI] 🠔
  24. [24] Múnera, D. and Gaviria, N., A framework for simulation and evaluation of cross-layer techniques in wireless sensor networks, Proceedings of the 2nd National Conference on Telecommunications, IEEE, Arequipa, Perú, 2011, pp. 1-7. DOI: 10.1109/CONATEL.2011.5958656 [DOI] 🠔
  25. [25] Köpke, A., Swigulski, M., Wessel, K., Willkom, D., Haneveld, P.T.K., Parker, T.E.V., Visser, O.W., Lichte, H.S. and Valentin, S., Simulating wireless and mobile networks in OMNeT++ the MiXiM vision, Proceedings of the 1st International ICST (Institute for Computer Sciences, Social-Informatics and Telecommunications Engineering) Conference on Simulation Tools and Techniques [Online], ICST, Marsella, Francia , INRIA Institut Natl de Recherche en Info et en Automatique, 2008, pp. 71-78. [Date of reference November 28th of 2014]. Available at: Available at: http://www.tevp.net/papers/mixim.pdf [URL] 🠔
  26. [26] Wessel, K., Köpke, A., Swigulski, M. and Willkomm, D., Mixim: The physical layer an architecture overview, Proceedings of the 1st International ICST (Institute for Computer Sciences, Social-Informatics and Telecommunications Engineering) Conference on Simulation Tools and Techniques. [Online], ICST, Roma, Italia, Create-Net, 2009, pp. 78-85. [Date of reference December 2nd of 2014]. Available at: Available at: http://www2.tkn.tu-berlin.de/publications/papers/mixim-phy.pdf [URL] 🠔
  27. [27] Reusens, E., Joseph, W. and Latrè, B., Characterization of on-body communication channel and energy efficient topology design for wireless body area networks. IEEE Transactions on Information Technology in Biomedicine. 13(6), pp. 933-945, 2009. DOI: 10.1109/TITB.2009.2033054 [DOI] 🠔
  28. [28] Smith, D., Hanlen, L., Miniutti, D., Zhang, J., Rodda, D. and Gilbert, B., Statistical characterization of the dynamic narrowband body area channel, Proceedings of the First International Symposium on Applied Sciences on Biomedical and Communication Technologies, IEEE, Graz, Austria, Institute of Neural Engineering, 2008, pp. 1-5. DOI: 10.1109/ISABEL.2008.4712618 [DOI] 🠔
  29. [29] Kumar, A.A., OMNeT++ TDMA by Ajith A. Kumar [Online]. 2014. Available at: http://home.hib.no/ansatte/aaks/omnet.html [URL] 🠔
How to cite: Correa-Chica, J.C., Botero-Vega, J.F. and Gaviria-Gómez, N., Energy consumption and quality of service in WBAN: A performance evaluation between cross-layer and IEEE802.15.4. DYNA, 84(202), pp. 120-128, September, 2017.