DYNA
0012-7353
Universidad Nacional de Colombia
https://doi.org/10.15446/dyna.v85n204.63221

Recibido: 10 de marzo de 2017; Revision Received: 19 de diciembre de 2017; Aceptado: 25 de enero de 2018

Mobile learning on higher educational institutions: how to encourage it?. Simulation approach

Mobile learning en instituciones de educación superior: ¿cómo abordarlo? Una aproximación desde la simulación

L. Díez-Echavarría, aA. Valencia, aL. Cadavid, a

Instituto Tecnológico Metropolitano, Medellín, Colombia. luisadiez@itm.edu.co, jhoanyvalencia@itm.edu.co, dlcadavi@unal.edu.co Instituto Tecnológico Metropolitano Instituto Tecnológico Metropolitano Medellín Colombia

Abstract

Mobile learning is a learning process based on mobile devices use, that allows knowledge acquisition in an interactive and collaborative way. The aim of this article is to understand the mobile learning adoption phenomenon in high education student’s community, and to assess different policies that can be implemented in institutions in order to favor the penetration of this practice. We develop a simulation model that is based on agents who represent students, which should decide if they want to attend a class in a virtual or face-to-face way, through a decision rule based on Theory of Planned Behavior. We found that the most effective short-term strategies are those that favor the practice of mobile learning during an early learning phase, no matters if this early practice is volunteer or forced. We also found a temporal nature on mobile learning adoption, so it requires permanent strategies over time.

Keywords:

mobile learning, agent-based simulation, planned behavior theory, practice adoption.

Resumen

Mobile learning es un proceso de aprendizaje basado en el uso de dispositivos móviles que permite adquirir conocimiento de manera interactiva y colaborativa. El objetivo de este artículo es comprender el fenómeno de la adopción del mobile learning entre estudiantes de educación superior, y evaluar políticas que pueden ser implementadas en instituciones, para favorecer la penetración de esta práctica. Desarrollamos un modelo de simulación basado en agentes que representan estudiantes, quienes deben decidir si asisten a una clase de manera presencial o virtual, a través de una regla de decisión basada en la Teoría del Comportamiento Planeado. Encontramos que las estrategias a corto plazo más eficaces son aquellas que favorecen la práctica del aprendizaje móvil durante fases de aprendizaje temprano, sin importar si es voluntaria o forzada. Asimismo, evidencian una naturaleza temporal de la adopción de esta práctica, entonces es necesaria la implementación de estrategias permanentes en el tiempo.

Palabras clave:

mobile learning, simulación basada en agentes, teoría del comportamiento planeado, adopción de práctica.

1. Introduction

There is increased interest in the learning processes that is accompanied by new technological tools, such as found in mobile learning (onwards, m-learning). Nowadays, for every one person who accesses the internet from a computer two do so from a mobile device [1,2].

Mobile technology is changing the way we live and it is beginning to change the way we learn. Mobile learning (M-learning) is a way of acquiring knowledge in a more interactive and collaborative way, at any time and space [3,4]. Due to its advantages, it is expected that higher educational institutions would implement strategies to promote this practice, in order to increase its coverage, and to improve its methodology and its relevance in the educational process [5,6]. Indeed, m-learning has been used around the world to support learning experiences, both in a formal and informal context [7-9]. In developing countries, mobile technologies potentially deliver education without dependence on an extensive traditional communications infrastructure [10,11]. In fact, it’s been used for UNESCO like a tool for promote education at the poorest countries around the world [1].

However, those efforts will be useless if people do not adopt this practice in a full way. Literature shows that we have a width knowledge about the individual factors that influence the m-learning adoption decision, but what do we know about how those factors interact and affect the final adoption decision? [12] What is the impact of the social pressure during this process? What are the most effective policies to focus the efforts on? Do the policies interact among them? What happen with the adoption process continuity when current students finish their academic life and new students come into the system?

The aim of this article is to understand the dynamics of the m-learning adoption phenomenon among students, in contexts where learning through mobile devices is not an obligation. To achieve this, we developed an agent-based model that represents a university that allows students (agents) can decide whether to attend a virtual or a face-to-face course. This decision process is modeled according to the Theory of Planned Behavior guidelines, where social contagion dynamics are explicitly represented. We run the results under different conditions in order to evaluate the impact of several policies through simulation techniques.

The theoretical framework associated with m-learning has been previously presented in literature, and the factors presented influence students’ decision to carry out this practice. The factors presented in the behavioral theory are then formalized, and different models that contribute to this purpose are presented. Simulation model design and case analysis are the methods used in this research and are presented in details below. The findings have been analyzed then, and the conclusions and recommendations are also presented.

Since we develop a general model, results can help to support the policy design of any institution interested in proposing policies to promote the inclusion of mobile technology among students.

This research is based on well-established adoption theories, whose applications have been oriented mainly to students. Therefore, we focus on student’s decision-making process, and instructor and teacher’s adoption process are not included.

2. Related factors of m-learning adoption

M-learning is a set of behaviors and practices that result in the acquisition of knowledge and skills through the use of mobile technology [13]. The mobile devices have the potential of improving the way students interact with each other and their attitudes towards learning [14,15], this is mainly due to the fact that they are not limited by space and time [16,17]. In addition, m-learning supports collaborative experiences and interactions with the diversities and opportunities that exist beyond the classroom [18,19].

The key element of success for mobile education is to understand the factors that lead individuals to execute their own m-learning practices [20]. Although a wide number of variables have been included into the analysis of adoption behaviors, psico-sociological characteristics have proof to be best explicators of the variance in the adopter behavior of individuals than demographic factors [21-25]. Because of that, adoption models have emerged from sociology and psychology field, better than from the econometrics field.

Traditionally, the decision to adopt a new technology or a new behavior has been studied by behavioral models, such as the Theory of Reasoned Action (TRA) [26], the Theory of Planned Behavior (TPB) [27,28], and the Technology Adoption Model (TAM) [29], among others. However, these three models are by excellence, the most commonly used models for describing individuals' behavior. Hence, it is necessary to use these models and their main conceptual contributions to understand the factors that influence the individual’s behavior in the adoption of m-learning.

However, these generic models require appropriate modifications and are being adapted from its original structure to a particular social context [30,31]. The models have highlighted different factors that affect or describe the adoption of m-learning [32], such as: (a) the context or learning environment, (b) the tools used for the learning process, (c) the learning control (which is usually done by a teacher), (d) communication with others, (e) the learning knowledge field, and (f) the learning objective. The authors concluded that the decision to adopt and improve learning is itself a synergy between the existing factors [16].

[33] used the extended version of TAM to analyze the factors that affect the use of technological devices associated with m-learning. The authors found that the perceived usefulness is the factor that has the greatest impact on attitudes towards the use of technological tools in the context of mobile learning.

In an attempt to structure isolated initiatives so as to explain the performance of m-learning, [34] proposed a m-learning intent adoption model, shown in Fig. 1, which is framed within the TPB [27]. As the model suggests, it is assumed that the individual’s intention of practicing m-learning depends on the individual's interaction with other individuals and their environment, through three fundamental factors: attitude, subjective norm, and perceived behavioral control.

Intention to adopt m-learning model

Figure 1: Intention to adopt m-learning model

Source: Adapted from [34]

In general, attitude is associated with the degree of an individual’s feelings, whether favorable or unfavorable, on the performance of a specific behavior [34,35]. The attitude of an individual is the result of the feeling he or she has about the usefulness of carrying out a behavior [29,34,36]. In this regard, perceived usefulness refers to the degree of trust of an individual that in performing a behavior will improve his performance and generate increase in important activities and responsibilities.

The subjective norm is related to other important opinions of closely surrounding individuals [37-38]. For the case of m-learning, it is considered that the individuals with the greatest influence on students are the instructors [31,39] and colleagues or other close students [7].

Finally, the perceived behavioral control is related to the perception on adequacy of resources and confidence to perform any behavior [27,40]. For the case of m-learning, this factor is composed by four elements: (a) the self-efficacy [34], (b) the students’ autonomy for learning [41], (c) the student experience in the use of virtual learning tools [34] and (d) the perceived easiness of use [42].

3. Methodology

In order to explore the results that different policies implemented by educational institutions may have and the prevalence of m-learning behaviors, a simulation model was developed at the individual level. For this purpose, agent-based modeling is a methodology that allows the study of several strategies at a macro level, according to the decision-making rules of each agent [43].

In the model, students are represented as agents who were accepted into the institution at first semester. In this sense, the system is composed of students who belong to any academic semester and chose either the face-to-face course or the m-learning based course. After a student finishes his academic cycle, a new student comes into the system at his first semester, so we can simulate a long-run behavior by considering this “birth and death” population dynamic. The model was developed in Netlogo®, and every step of the simulation represents an academic semester.

3.1. Operationalization of the simulation model

Once students have been accepted at the first semester, they form relations (connections) between themselves, each student having an average number of friends and occasionally forming connections with students from other semesters, depending on the gap between their own semester and the semester of other students. This idea is represented in eq. (1), where Prob 𝟏𝐣 is the probability that an individual of semester 1 relates to an individual of semester j, 𝐏 𝐀 is the probability that an individual of semester 1 relates to another individual of semester 1 (parameter model), and S is the total number of semesters that make up the academic curriculum of a student.

As a result, the social structure among students has characteristics of a small world, in which the probability that two individuals’ connection depends on the distance (in this case, intellectual distance) between them, therefore, causing many connections between close individuals and fewer connections between distant individuals. In these networks (connections), which are of great use in diffusion models because of their topological similarities to real social networks, the probabilities exist that two nodes are not connected or are not independent, thereby, showing a smaller diameter and a higher association [39-40].

In each step of the simulation, students advance through a semester and can choose the way they will attend each of their subjects per semester, considering two modalities offered by the academic institution: (a) 100% face-to-face course, and (b) 100% m-learning based course. Although in real contexts there could be courses with a mix of both of those, we decided to include the two extremes of the range to enable wider conclusions about the phenomenon and the behavior of students. It should be noted that the choice of m-learning at the first semester corresponds to the policy of the institution (i.e., the institution makes this decision for students in the first semester).

The choice made by the individual about the typology of each subject that shall course during this semester, depends on his intention towards the performance of the activities associated with m-learning. This was represented while considering the model proposed by [34], and it was operated as follows.

3.1.1. Perceived ease of use

This refers to how easy an individual perceives studying the subjects based on m-learning practices, which is determined by the parameters that model this ease of use. In real contexts, m-learning practices can be easier to performance if, for example, institution supports the device's acquisition or use, instructors are more skilled about the new practices, or course’s methodologies are more adequate to the new devices.

Because it was considered interesting evaluating the impact of this variable at different moments of the scholar’s course, ease of use distinguishes between the basic cycle (semester 1-5) and the advanced cycle (6-10 semester). Thus, ease of use fallows a normal distribution among the subjects at each level, following the indicated parameters of mean and standard deviation in the model. This concept is shown in eq. (2), where 𝐄𝐔 ?? is the ease of use of a virtual subject in a cycle, i ( 𝐄𝐔 𝐢 𝛜 𝟎,𝟏 ), 𝛍 𝐅𝐢 is the average ease of use of a virtual subject in a cycle, i ( 𝛍 𝐢 𝛜 𝟎,𝟏 ), and 𝛔 𝐀 is the standard deviation ease of virtual subjects (?? 𝐀 𝛜 𝟎,𝟏 ).

Normal distributions are wildly used for representing heterogeneity among individuals in agent-based modeling field (for example, see [46-49]).

3.1.2. Perceived usefulness

According to diffusion theory [50,51], a particular behavior is not just useful by itself, but becomes more useful for a particular individual when more individuals around him adopt the same behavior. This is especially important for the m-learning context, since the collaborative learning promise.

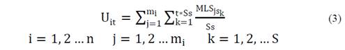
We modeled the utility that an individual find in m-learning like a function of the experience that all individuals connected with him have had with m-learning. Thus, if none of his friends has taken a virtual subject throughout their academic life, the perceived usefulness by that individual of m-learning will be zero. Furthermore, if all his friends have virtually taken all their subjects throughout their entire academic experience, the perceived usefulness by each individual will be 1. This concept is deduced in eq. (3):

Where U it is the usefulness that the individual i finds with m-learning in the semester t, m i is the number of connected individuals with the individual i, MLS jk is the number of m-learning subjects studied by individual j (which is connected with the individual i) in his k semester, As is the number of courses per semester, S is the total number of semesters of the academic curriculum, and n is the number of individuals in the system.

3.1.3. Subjective norms

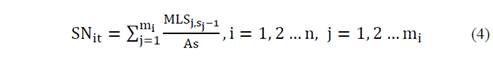
For simplicity of the model, we have involved only individuals connected with him. In this regard, the individual takes into account the decisions made by his closest connections in the previous and current semester of each of them. According to eq. (4):

Where SN 𝑖𝑡 is the subjective norm on the individual i in the semester t to make use of m-learning, 𝑚 𝑖 is the number of individuals connected with the individual i, MLS 𝑗,𝑡−1 is the number of m-learning subjects studied by the individual j (which is connected with the individual i) in the previous semester ( 𝑠 𝑗 -1), and As is the number of courses per semester. Thus, the higher the number of virtual subjects taken by close connections over the total subjects taken, the higher will the social pressure exerted on the individual be for adopting m-learning.

3.1.4. Perceived self-efficacy

It is represented as the efficacy of each student as a function of their experience. Thus, a student with more experience in m-learning will feel more self-efficient than the one with less experience. Experience is given by two factors: (a) the number of courses taken in the past under this modality, in proportion to the total number of courses; and (b) the individual’s experience related to m-learning before being accepted into first semester in the institution as shown in eq. (5).

Where 𝐸 𝑖𝑡 is the experience of individual i in the semester t, 𝑝𝐸 𝑖 is the previous experience of individual i in m-learning activities before being accepted into semester 1, 𝑀𝐿𝑆 𝑖𝑘−1 is the amount of subjects studied by the individual i through m-learning in k semester, and Ss is the number of courses per semester.

At each step of the simulation, each individual calculates the value attained and groups these assessments as an indicator of intention, according to what was presented by [34]. 1 (6). These weights are normally distributed among the population, with a mean and standard deviation defined by parameters.

Where 𝑤𝐴 𝑖 is the weight of the attitude construct for individual i in the calculation of his intention ( 𝑤𝐴 𝑖 ~𝑁( 𝜇 𝐴 , 𝜎 𝑠 )), 𝑤𝑆𝑁 𝑖 is the weight of the social norm construct for the individual i in calculation of his intention ( 𝑤𝑆𝑁 𝑖 ~𝑁 𝜇 𝑁𝑆 , 𝜎 𝑠 ), 𝑤𝐶 𝑖 is the weight of the control construct for individual i in the calculation of his intention ( 𝑤𝐶 𝑖 ~𝑁( 𝜇 𝐶 , 𝜎 𝑠 )), ) 𝐴 , 𝜇 𝑆𝑁 y 𝜇 𝐶 are the average weight of the attitude factor, the weight of the social norm factor, and the weight control factor in the indicator of intention of students, and 𝜎 𝑠 is the standard deviation of students (diversity of students in terms of weight and experience).

Finally, the intention of the individual i to carry out associated practices with m-learning in a period t is presented in eq. (7), and it is calculated as a linear combination of attitude, subjective norm and control as previously exposed.

Where 𝐼 𝑖𝑡 is the intention of the individual i to carry out practices associated with m-learning at the period t. Notice that I it ∈[0,1], hence, the individual will choose a m-learning subject with a probability of I it (otherwise, the choice will be a subject received face-to-face).

3.2. Parameterization

The parameterization of the model considered a theoretical case. Theoretical studies have been widely used in the agent-base modeling field, especially in those cases where there is a low simulation background in the field. This kind of models is useful to understand a particular phenomenon instead of predict the behavior of a particular system (for example, see [49,52-54]).

In our model, the academic cycle is composed of 10 semesters. Each semester contains five subjects to be studied by 30 students (i.e., under normal operating conditions, the system is composed of 300 students over 10 academic semesters). The parameters of baseline simulation are presented in Table 1.

Table 1: Parameterization of model for the basis case.

Source: The authors

The average ease of use of devices in all virtual courses, both basic cycle and those of the middle and advanced cycles, were 0.5 (intermediate easiness). The diversity of these subjects (defined as the standard deviation of ease alongside the subjects of each cycle) was 0.1 (low diversity) (recall that the ease of each subject is given by a certain normal distribution of these parameters).

On the average, students assigned the same weight to the factors surrounding their decision adoption rule concerning m-learning, and had low diversity among them (remember that the weight that each student gives to each factor is given by a normal distribution determined by these parameters). The previous experience in m-learning was assumed to be as low as (10%), and it was considered that, on the average, a student forms strong connections with 10% of students in the same semester. It was also found that the institution has a policy of assigning face-to-face administration of subjects to students in their first semester.

3.3. Scenario’s design

The execution model under these parameters results in a baseline scenario. Note that some of the parameters are outside institutional control, since the weight is given by each one of the factors that make its decision rule or diversity among individuals. However, some of these parameters can be influenced by the institution, particularly those associated with the ease of subjects in m-learning.

Among others, the easiness to use the devices in these subjects is affected by the degree of training that teachers have in order to lead the activities within m-learning, the presence of a suitable technology platform for the needs of the subject and the institution, and the support offered by institution to students enabling access to mobile devices that facilitate learning under this new paradigm. Therefore, it was considered convenient to design and add four additional scenarios to the baseline scenario to reflect this, as shown in Fig. 2.

Scenario design

Figure 2: Scenario design

Source: The authors

The scenarios are extended below:

Scenario HH: high easiness level of courses in m-learning, in both the basic cycles and advanced cycles ( μ EU1 =1, μ EU2 =1).

Scenario HL: high easiness level of subjects in m-learning in the basic cycle, and a low level in the advanced cycle (μ EU1 =1, μ EU2 =0).

Stage LH: low easiness level of courses in m-learning in the basic cycle and a high level in the advanced cycle (μ EU1 =0, μ EU2 =1).

Scenario LL: low easiness level of courses in m-learning, in both the basic cycles and advanced cycles ( μ EU1 =0, μ EU2 =0).

Furthermore, consider that the baseline scenario can be treated as a middle easiness level of courses in m-learning, in both the basic and advanced cycle ( μ EU1 =0.5, μ EU2 =0.5).

4. Results and discussion

4.1. Results

Even if the model represents a general case, it is possible to obtain some results and conclude from them in a general way. The results are based on two indicators: (1) evolution of the adopters over time, and (2) evolution of the average intention over time. Note that the adopter number is calculated as the proportion of the total choices made for m-learning subjects, with regards to the total number of choices made during the whole simulation.

Since the probabilistic representation of the population heterogeneity, each scenario (including base scenario) was simulated 100 times. As result, we had a set of 600 simulations.

Fig. 3a presents the percentage of adoption decisions for each scenario over time (semesters), considering a free initial choice (students at first semester randomly decides whether to attend a face-to-face or an m-learning course). Fig. 3b presents the same results but considering a mandatory initial choice (students are forced to attend all their first courses based on m-learning methodology).

Percentage of adoptions, free initial choice

Figure 3a: Percentage of adoptions, free initial choice

Source: The authors

Percentage of adoptions, mandatory initial choice

Figure 3b: Percentage of adoptions, mandatory initial choice

Source: The authors

It is noticed that when institutional policy enables free choice (and assuming that students take the decision randomly), the adoptions start at 50% for all the scenarios. But, the adoptions reduce by half over time if the ease of use for both the basic and advanced cycles is low, and increases by half it easiness is high for both cycles. The curve’s behavior reaches an equilibrium around these values about the semester 15. For the other scenarios, the adoptions get close to the base scenario (average ease of use); however, they are higher (about 10%) for the scenario with a high ease of use for the basic cycle. It means, efforts to increase the ease of use in the basic cycle seem to be more effective than efforts to increase this easiness in the advanced cycle.

Initial behavior of the curves (before semester 10) presents a distortion caused by the filling phenomenon of the system (there are no people in advanced levels at the first steps of simulation). It is important to note that this distortion does not make part of the phenomenon, and must be ignored in the analysis.

Meanwhile, if students attend all their first courses according to the m-learning methodology, the m-learning adoptions start in 1 for all the scenarios, as it is expected. However, adoptions reduce by half over time if the ease of use for both the basic and advanced cycles is low (reaching 50%), and sustains its value close to 1 if easiness is high for both c When easiness is average, adoptions establish about 75%, and the behavior of the other scenarios is similar to the previous analysis.

Following the same logic, Fig. 4a and 4b show the average intention (explainer for the adoption decisions).

Average intention, free initial choice

Figure 4a: Average intention, free initial choice

Source: The authors

Average intention, mandatory initial choice

Figure 4b: Average intention, mandatory initial choice

Source: The authors

When institutional policy enables free choice, the average intention for m-learning practice starts from 0.2 when ease of use is low throughout the academic cycle, and reaches 0.6 when this easiness is high (with an intermediate value of 0.4 when the easiness is average). Meanwhile, if students attend all their first courses according to the m-learning methodology, the intention of adopting m-learning practices exceeds 0.4 if the ease of use for both the basic and advanced cycles is low. However, the intention becomes a maximum of 0.8, if the easiness is high for both cycles.

In all the cases, the behavior described above is preserved. The effect of the initial choice policy is to push the curves up or down according to the policy. It can be not so clear for the adoption curves since the starting point, but intention curves reflect this fact very well. However, the easiness of use changes the behavior of the curves, showing that it causes a structural change in the system, more than a scaling change.

It can be noticed that the adoption behavior matches with the behavior of the intention, which contributes to the validity of the model. However, average intention seems to be higher than adoptions, but it is only the effect of the cumulative decisions in the adoption's indicator (intention's indicator considers only the intention of the people into the system in a given moment, while adoption's indicator considers the cumulative decisions of all individuals in the system).

It is surprising not to find S behavior, as it would point to the Diffusion Theory [50]. The reason for this lies in the temporary nature of the population subject to the interested behavior. That is, despite the fact that a particular student completes his curriculum with high intention of adoption, newly accepted students in the institution can have an intention for initial adoption that will depend almost entirely on their previous experience. Thus, the nature of the phenomenon prevents a collective memory that does retain the intentions through the population, unless some policies are implemented (such as strengthen the contact among students of advanced and basic cycles or make diffusion about the performance of the last semesters).

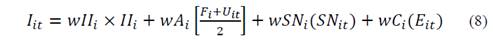
To reflect this fact, a modification was made to the calculation of the intention of adoption that considered an additional defined variable, which is the collective experience generated through cultural change that is reflected in the intention of students who leave the university after graduation. This intention of adoption is "inherited" by newly accepted students in the institution, together with an associated weight that affects their intention to adopt m-learning. This is described in equation (8).

Where 𝐼 𝑖𝑡 is the intention of the individual i to carry out practices associated with m-learning during a period t, 𝐼𝐼 𝑖 is the intention inherited by the individual i at the time of acceptance into the institution (inherited from those individuals who left the institution at the end of their academic studies). For each individual, 𝐼𝐼 𝑖 ~𝑁( 𝐼 10 , 𝜎 𝑠 ), where 𝐼 10 is the average intention of individuals in semester 10 and 𝑤𝐼𝐼 𝑖 is the weight given to the inherited intention (parameter model). The model was parameterized in this case to consider a free choice policy for the first semester. Adoption results of this new case are presented in Fig. 5.

Percentage of adoptions considering inherited intention

Figure 5: Percentage of adoptions considering inherited intention

Source: The authors

Because the starting point of the curves, which is caused by the policy, it is not possible to see a perfect S-shape behavior. However, it is possible to see increasing curves over time, a behavior not found without the inheritance consideration.

Inheritanced intention makes stronger the curve's behavior. Therefore, adoptions could be very high for the HH scenario (about 90%), but remain low for the LL scenario (about 30%, a similar value for the not inherited intention case, as it was shown in Figure 3a). Scenarios in the middle will be close to the base scenario (average easiness) over time.

4.2. Discussion

“Higher education institutions should implement strategic efforts to build m-learning implementation plans, such as design guidelines, development phases and articulating norms, while considering the current level of students’ readiness” [34, p. 1062]. The results of this paper show the best moment of the educational process to implement any plan and some of its characteristics.

We found evidence that suggests that students will adopt the technology more easily if they are introduced to it from the beginning of their educational process (even by imposition). It is also important that the devices are easy to use (consistent with [7]) and are implemented from the basic cycle (consistent with [55]), so that students can become familiar with the devices and their contents, allowing that in the advanced cycles, the students can evolve increasingly, taking advantage of the potentials of m-learning. It is necessary to consider that the perceived ease of use of a learning tool is not only related to the interface and its content, but also to the pedagogical strategies to be developed by the teacher.

Another important element is the social influence or pressure [55-57], which in this case was modeled through a network. It was found that this network becomes more effective when the strategy is implemented in the early stage of the process, as it was stated by [56]. Although they argued that this effect decreases over time, we found here that the collective improvement of adoption is preserved over time, even with the fact that convinced students abandon the system and leave no memory of their intention to adopt m-learning practices.

Even more interesting, we have found that policies interact among them to cause some effects. Accordingly, policies oriented to preserve the institutional adoption memory enhance the effect of individual easiness of use policies, but are useless if these individual policies are not implemented. If this easiness of use is guaranteed for both basic and advanced cycles, adoption rates will increase over time in the institution and reach levels about 90% on the long run. If this easiness of use is guaranteed for only one of the cycles (not matters if it is the basic or advanced cycle), the adoption rate will be about 60%. It there is not easiness of use, the adoption rate will be about 30%, no matter if there is also a memory policy or not.

In an absence of any memory preserve policy, adoption rates will be between 0.3 and 0.7, with an average value of 0.5 for the basis scenario, 0.45 if the easiness of use is guaranteed for the advanced cycle and 0.55 if it is guaranteed for the basic cycle.

5. Conclusions

In this article, we developed an agent-based model where the decision rules were based on the Planned Behavior Theory to analyze different policies aimed at promoting m-learning in higher education institutions. The results indicate that an effective strategy to promote this practice is to increase the ease of use during the first semesters of students, rather than in the last. This is explained by the presence of cycles of social pressure reinforcement among students, and improved attitude through the accumulated experience. Whereas, if strategies of ease of use are carried out in advanced semesters, the level of students’ intention will not increase with equal intensity, because there will not be enough time in the academic institution to achieve this effect. In this regard, it is recommended that institutions invest their resources in facilitating the practice of m-learning in the subjects, prioritizing the basic cycle.

We have also found that policies aimed at introducing the students to m-learning practices at very early stages of their academic life are favorable for later voluntary adoption of those practices, even if the institution (and not students) makes the first choices.

Similarly, it was observed that policies aimed to preserve the institutional m-learning memory can enlarge the effect of individual easiness policies. This kind of policies is, at the same time, useless if these individual policies are not implemented. While the culture of practicing m-learning is temporal in an institution, every student who achieves a high intention of practice will eventually be replaced by another student without that intention, and collective memory will disappear. Therefore, it is necessary that institutions implement permanent strategies over time in order to preserve the institutional m-learning memory.

Results also suggest that the efforts of educational institutions should transcend the institution itself and should cover first stages of the academic life of students, in order to promote the penetration of m-learning into higher educational institutions.

In the future, further research should be conducted to model the effect of the support from an external entity on the culture of using m-learning on a long-term, in order to start from an initial intention to adopt the m-learning practices at high educational levels.

Furthermore, a deeper analysis of the instructor and teacher’s decision process could help to enrich the knowledge of the dynamics in the m-learning adoption. More psico-sociological research in this direction could be useful in this aim.

This model and the results we got must be considered as a starting point. Further research in calibrating our model for particular cases could enrich and make wider our conclusions. Incorporating more and more cases would enable the model for a predictive use, besides its current understanding scope.

References

  1. [1] S. and C.O., United Nations Educational, Mobile Learning, Unesco online, 2017. 🠔
  2. [2] María, E., Enciso, V., Jácome, E.P., Valencia-Arias, A., Nelcy, C. and Hernández, J., Analysis of university management of emerging technologies and recommendations for developing countries, Turkish Online J. Educ. Technol., 16(2), pp. 1-10, 2017. 🠔
  3. [3] Rivera, P., Sánchez, P., Romo, E., Jaramillo, A. and Valencia-Arias, A., Percepciones de los estudiantes universitarios frente al aprendizaje por medio de dispositivos móviles, Rev. Educ. y Desarro. Soc., 7(2), pp. 152-165, 2013. 🠔
  4. [4] Ally, M. and Prieto-Blázquez, J., What is the future of mobile learning in education?, Rev. Univ. y Soc. del Conoc., 11(1), pp. 142-151, 2014. 🠔
  5. [5] Gaviria, D., Arango, J. and Valencia, A., Reflections about the use of information and communication technologies in accounting education, Procedia - Soc. Behav. Sci., 176, pp. 992-997, 2015. 🠔
  6. [6] Villa, E., Valencia, J., y Valencia, A., El papel de las narrativas digitales como nueva estrategia educativa: resultados desde un análisis bibliométrico, Kepes, 13(enero-junio), pp. 197-231, 2016. 🠔
  7. [7] Wang, Y.-S., Wu, M.-C. and Wang, H.-Y., Investigating the determinants and age and gender differences in the acceptance of mobile learning, Br. J. Educ. Technol., 40(1), pp. 92-118, 2009. 🠔
  8. [8] Ahmed, S. and Parsons, D., Abductive science inquiry using mobile devices in the classroom, Comput. Educ., 63, pp. 62-72, 2013. 🠔
  9. [9] Jones, A.C., Scanlon, E. and Clough, G., Mobile learning: Two case studies of supporting inquiry learning in informal and semiformal settings, Comput. Educ. , 61, pp. 21-32, 2013. 🠔
  10. [10] Traxler, J. and Kukulska-Julme, A., Mobile learning in developing countries, Common Wealth Learn., 2005. 🠔
  11. [11] Benjumea-Arias, M.L., Villa-Enciso, E.M. y Valencia-Arias, J., Beneficios e impactos del teletrabajo en el talento humano. Resultados desde una revisión de literatura, Rev. CEA, 2(4), pp. 59-73, 2016. 🠔
  12. [12] Díez-Echavarría, L., Valencia, A. and Bermúdez, J., Agent-based model for the analysis of technological acceptance of mobile learning, IEEE Lat. Am. Trans., 15(6), pp. 1121-1127, 2017. 🠔
  13. [13] Hill, T.R. and Roldan, M., Toward third generation threaded discussions for mobile learning: opportunities and challenges for ubiquitous collaborative environments, Inf. Syst. Front., 7(1), pp. 55-70, 2005. 🠔
  14. [14] Homan, S. and Wood, K., Taming the mega-lecture: wireless quizzing, Syllabus Mag., 2003. 🠔
  15. [15] Hernández, J.B., Chalela, S., Arias, J.V. and Arias, A.V., Research trends in the study of ICT based learning communities: a bibliometric analysis, EURASIA J. Math. Sci. Technol. Educ., 13(5), pp. 1539-1562, 2016. 🠔
  16. [16] Sharples, M., Taylor, J. and Vavoula, G., A theory of learning for the mobile age, Sage Handb. Elearning Res., pp. 221-247, 2007. 🠔
  17. [17] Villa, E., Ruiz, L., Valencia, A. and Picón, E., Electronic commerce: factors involved in its adoption from a bibliometric analysis, J. Theor. Appl. Electron. Commer. Res., 13(1), pp. 39-70, 2018. 🠔
  18. [18] Attewell, J., From research and development to mobile learning: tools for education and training providers and their learners, in 4th World Conference on mLearning, 2005, 16 P. 🠔
  19. [19] Corbeil, J.R. and Valdes-Corbeil, M.E., Are you ready for mobile learning?, Educ. Q., 30(2), 51 P, 2007. 🠔
  20. [20] Liu, Y., Han, S. and Li, H., Understanding the factors driving m-learning adoption: a literature review, Campus-Wide Inf. Syst., 27(4), pp. 210-226, 2010. 🠔
  21. [21] Kalafatis, S.P., Pollard, M., East, R. and Tsogas, M.H., Green marketing and Ajzen’s theory of planned behaviour: a cross-market examination, J. Consum. Mark., 16(5), pp. 441-460, 1999. 🠔
  22. [22] Rex, E. and Baumann, H., Beyond ecolabels: what green marketing can learn from conventional marketing, J. Clean. Prod., 15(6), pp. 567-576, 2007. 🠔
  23. [23] Jansson, J., Consumer eco-innovation adoption: assessing attitudinal factors and perceived product characteristics, Bus. Strateg. Environ., 20(3), pp. 192-210, 2011. 🠔
  24. [24] Arts, J.W.C., Frambach, R.T. and Bijmolt, T.H.A., Generalizations on consumer innovation adoption: A meta-analysis on drivers of intention and behavior, Int. J. Res. Mark., 28(2), pp. 134-144, 2011. 🠔
  25. [25] Laroche, M., Bergeron, J. and Barbaro-Forleo, G., Targeting consumers who are willing to pay more for environmentally friendly products, J. Consum. Mark. , 18(6), pp. 503-520, 2001. 🠔
  26. [26] Fishbein, M. and Ajzen, I., Belief, attitude, intention and behavior: An introduction to theory and research, 1975. 🠔
  27. [27] Ajzen, I., From intentions to action: a theory of planned behavior, Will; performance; Control (psychology); Motiv. , pp. 11-39, 1985. 🠔
  28. [28] Ajzen, I., The theory of planned behavior, Organ. Behav. Hum. Decis. Process., 50, pp. 179-211, 1991. 🠔
  29. [29] Davis, F.D., Perceived usefulness, perceived ease of use, and user acceptance of information technology, MIS Q., 13(3), pp. 319-340, 1989. 🠔
  30. [30] Carlsson, C., Carlsson, K., Hyvönen, J., Puhakainen, and P. Walden, Adoption of mobile devices/services: searching for answers with the UTAUT, in Proceedings of the 39th Annual Hawaii International Conference on System Sciences (HICSS’06), 2006, pp. 1-10. 🠔
  31. [31] Liu, Y., An adoption model for mobile learning, in IADIS e-commerce 2008 conference, Amsterdam, The Netherlands, 2008. 🠔
  32. [32] Mac Callum, K. and Jeffrey, L., The influence of students’ ICT skills and their adoption of mobile learning, Australas. J. Educ. Technol., 29(3), 2013. 🠔
  33. [33] Huang, J.H., Lin, Y.R. and Chuang, S.T., Elucidating user behavior of mobile learning: a perspective of the extended technology acceptance model, Electron. Libr., 25(5), pp. 585-598, 2007. 🠔
  34. [34] Cheon, J., Lee, S., Crooks, S.M. and Song, J., An investigation of mobile learning readiness in higher education based on the theory of planned behavior, Comput. Educ. , 59(3), pp. 1054-1064, 2012. 🠔
  35. [35] Chalela-Naffah, S., Valencia-Arias, A., Bermúdez-Hernández, J. y Ortega-Rojas, C.M., Percepciones estudiantiles acerca del uso de nuevas tecnologías en instituciones de educación superior en Medellín, Rev. Lasallista Investig., 13(2), pp. 151-162, 2016. 🠔
  36. [36] Valencia, A. and González, M. and Castañeda, G., Structural equation model for studying the mobile-learning acceptance, IEEE Lat. Am. Trans. , 14(4), pp. 1988-1992, 2016. 🠔
  37. [37] Shah, P., Who are employees’ social referents? Using a network perspective to determine referent others, Acad. Manag. J., 41(3), pp. 249-268, 1998. 🠔
  38. [38] Venkatesh, V. and Davis, F.D., A theoretical extension of the technology acceptance model: four longitudinalfield studies, Manage. Sci., 46(2), pp. 186-204, 2000. 🠔
  39. [39] Taylor, S. and Todd, P., Decomposition and crossover effects in the theory of planned behavior: a study of consumer adoption intentions, Int. J. Res. Mark. , 12(2), pp. 137-156, 1995. 🠔
  40. [40] Lee, Y. and Kozar, K., Investigating factors affecting the anti-spyware system adoption, Commun. ACM, 48(8), pp. 72-77, 2005. 🠔
  41. [41] Agarwal, R. and Karahanna, E., Time flies when you’re having fun: cognitive absorption and beliefs about information technology usage, MIS Q. , 24(4), pp. 665-694, 2000. 🠔
  42. [42] Valencia, A., Benjumea, M. y Rodríguez-Lora, V., Intención de uso del e-learning en el programa de administración tecnológica desde la perspectiva del modelo de aceptación tecnológica, Rev. Electrónica Educ., 18(2), pp. 247-264, 2014. 🠔
  43. [43] Bonabeau, E., Agent-based modeling: methods and techniques for simulating human systems, Proc. Natl. Acad. Sci. U.S.A., 99(3), pp. 7280-7287, 2002. 🠔
  44. [44] Barabási, A.-L., Emergence of Scaling in Random Networks, Science 286(5439), pp. 509-512, 1999. 🠔
  45. [45] Barabási, A.-L., Mean-field theory for scale-free random netowork, Phys. A Stat. Mech. its Appl., 272, pp. 173-187, 1999. 🠔
  46. [46] Kovanis, M., Porcher, R., Ravaud, P. and Trinquart, L., Complex systems approach to scientific publication and peer-review system: development of an agent-based model calibrated with empirical journal data, Scientometrics, 106(2), pp. 695-715, 2016. 🠔
  47. [47] Chen, X. and Zhan, F.B., Agent-based modelling and simulation of urban evacuation: relative effectiveness of simultaneous and staged evacuation strategies, J. Oper. Res. Soc., 59(1), pp. 25-33, 2008. 🠔
  48. [48] Kinsella, S., Greiff, M. and Nell, E.J., Income distribution in a stock-flow consistent model with education and technological change, East. Econ. J., 37(1), pp. 134-149, 2011. 🠔
  49. [49] Squazzoni, F. and Takaacutecs, K., Social simulation that ‘peers into peer review,’ J. Artif. Soc. Soc. Simul., 14(4), p. 3, 2011. 🠔
  50. [50] Rogers, E.M., Diffusion of innovations, Third Edit., 11. London: Collier Macmillan Publishers, 1983. 🠔
  51. [51] Jager, W. and Janssen, M., An updated conceptual framework for integrated modeling of human decision making: The Consumat II, 2012. 🠔
  52. [52] Squazzoni, F. and Gandelli, C., Saint Matthew strikes again: an agent-based model of peer review and the scientific community structure, J. Informetr., 6(2), pp. 265-275, 2012. 🠔
  53. [53] Macy, M.W. and Willer, R., From factors to actors: computational sociology and agent-based modeling, Annu. Rev. Sociol., 28(1), pp. 143-166, Aug. 2002. 🠔
  54. [54] Laurie, A. and Jaggi, N., Role of ‘vision’ in neighbourhood racial segregation: A variant of the Schelling Segregation Model, Urban Stud., 40(13), pp. 2687-2704, 2003. 🠔
  55. [55] Abu-al-aish, A. and Love, S., Factors influencing students’ Acceptance of M- Learning: an investigation in higher education, Int. Rev. Res. Open Distance Learn., 14(5), pp. 1-11, 2013. 🠔
  56. [56] Venkatesh, V., Morris, M.G., Davis, G.B., Davis, F.D. and Walton, S.M., User acceptance of information technology: Toward a unified view, MIS Q. , 27(3), pp. 425-478, 2003. 🠔
  57. [57] Iqbal, S. and Qureshi, I.A., M-learning adoption: a perspective from a developing country, Int. Rev. Res. Open Distance Learn. , 13(3), pp. 147-164, 2012. 🠔
Díez-Echavarría, L.F., Valencia, A. and Cadavid, L., Mobile learning on higher educational institutions: how to encourage it? Simulation approach. DYNA, 85(204), pp. 325-333, March, 2018.