DYNA
0012-7353
Universidad Nacional de Colombia
https://doi.org/10.15446/dyna.v85n204.63420

Recibido: 22 de marzo de 2017; Revision Received: 13 de octubre de 2017; Aceptado: 31 de enero de 2018

Conservation of "Paluma" guavas coated with cassava starch and pectin

Conservación de las guayabas “Paluma” recubiertas con almidón de yuca y pectina

A. Quirino, a J. Costa, a A. Figueiredo Neto, a M. Costa, b C. Sánchez-Sáenz, c

Faculty of Agricultural Engineering. Universidade Federal do Vale de São Francisco, Petrolina-PE, Brasil. karoline_rochaquirino@hotmail.com, josenara.costa@gmail.com, acacio.figueiredo@univasf.edu.br Universidade Federal do Vale do São Francisco Faculty of Agricultural Engineering Universidade Federal do Vale de São Francisco Petrolina PE Brazil
Instituto Federal de Educação Tecnológica, Petrolina-PE, Brasil. marylia.sousacosta@gmail.com Instituto Federal de Educação Tecnológica Petrolina PE Brasil
Faculty of Engineering, Universidad Nacional de Colombia, Bogotá D.C., Colombia. cmsanchezs@unal.edu.co Universidad Nacional de Colombia Faculty of Engineering Universidad Nacional de Colombia Bogotá Colombia

Abstract

This study was to evaluate the post-harvest conservation of "Paluma" guavas coated with cassava starch and pectin. The selected and disinfected fruit samples were coated with cassava starch or pectin at concentrations of 0 (control), 2, 4 and 6%. Then, fruits were stored at room temperature (25 ± 1.0°C) for 12 days. Every three days, evaluations of mass loss, length, diameter, color of peel and pulp, pulp firmness, total soluble solids, pH and vitamin C content were held. The experiment was completely randomized in a 4 x 5 factorial design with four concentrations of the solutions and five storage periods with three replications. The results showed that cassava starch and pectin-based coatings can be an alternative for maintaining the post-harvest quality of "Paluma" guavas. Concentrations of 4 and 6% of both types of coating provided good results regarding the retention of some attributes. The cassava starch kept the fruits brighter compared to fruits coated with pectin.

Keywords:

edible coatings, fruits properties, Psidium guajava L., ripening, storage.

Resumen

Este estudio evaluó la conservación post-cosecha de guayabas "Paluma" recubiertas con almidón de yuca y pectina. Las muestras de frutos seleccionadas y desinfectadas, fueron recubiertas con almidón de yuca o pectina a concentraciones de 0 (control), 2, 4 y 6%. Los frutos se almacenaron a 25 ± 1,0 ° C durante 12 días. Cada tres días se realizaron evaluaciones de pérdida de masa, longitud, diámetro, color de piel y pulpa, firmeza de pulpa, sólidos solubles totales, pH y contenido de vitamina C. El experimento fue completamente al azar en un diseño factorial 4 x 5 con cuatro concentraciones de las soluciones y cinco periodos de almacenamiento con tres repeticiones. Los resultados mostraron que los revestimientos a base de almidón de yuca y pectina pueden ser una alternativa para mantener la calidad post-cosecha de las guayabas "Paluma". Las concentraciones de 4 y 6% de ambos tipos de revestimiento proporcionaron buenos resultados con respecto a la retención de algunos atributos. El almidón de yuca mantuvo las frutas más brillantes en comparación con las frutas cubiertas con pectina.

Palabras clave:

recubrimientos comestibles, propiedades de las frutas, Psidium guajava L., madurez, almacenamiento.

1. Introduction

Guava (Psidium guajava L.) is one of the most popular tropical fruits grown and consumed in the world [1]. The guava tree is distributed in tropical and sub-tropical regions because of its adaptation to different climates and its easy propagation [2]. Brazil is the third largest producer of guava in the world, with a yield of 316,363 tonnes in 2012, surpassed only by India and Pakistan [3]. 70% of guava trees grown in Brazil are "Paluma" [4]. Guava is among the leading fruit tree species commercially exploited in irrigated areas of the Brazilian Northeastern region. The fruit can be eaten in natura and used for the production of juices, jams and conserves.

Guava is a climacteric fruit with an increased respiration and ethylene synthesis associated with ripening [5]. It tends to increase the rate of transpiration and weight loss, reducing its lifespan after harvest. It is important to use techniques to reduce this accelerated metabolism in order to extend its shelf period. Post-harvest techniques have been advancing in recent years. Such progress has been very important since there is a 35% loss of fruits in Brazil [6].

In recent years, researchers have tried to develop coatings and edible film formulations that are applied to the surface of fruits and vegetables. Such coatings have a great potential to improve and maintain the quality of food, allowing a safe food and increasing their post-harvest lifespan [7]. The application coating in fruits has been growing in the market as an alternative to plastic packaging, helping to reduce environmental impacts [8]. In their review [9], noted that the use of edible coatings slowed the deterioration of fruits and vegetables due to the reduction of the metabolic activity, providing a better appearance and brightness, which are important parameters for the consumer.

According to [2], the compounds most used in the preparation of edible coatings are polysaccharides (starch, cellulose and its derivatives, pectin, carrageenan and alginate), proteins (myofibrillar proteins, gelatin, casein, gluten wheat, zein and ovalbumin) and lipids (acetylated monoglycerides, stearic acid, waxes and fatty acid esters).

Several types of coatings have been used in guava to reduce weight loss and increase fruit shelf life. Among them, there are cassava starch [10], chitosan [11] and carnauba wax [12]. Cassava starch presents characteristics which are satisfactory for its use as a coating. It is biodegradable, edible, easy to use and low cost. However, there is little information on coating application in guavas based on pectin [13]. The objective of this study was to evaluate the post-harvest conservation of "Paluma" guavas using coating based on cassava starch and pectin.

2. Material and Methods

The fruits samples were harvested at an experimental orchard of the Fazenda Special Fruit Importação e Exportação Ltda., located in the city of Juazeiro, Bahia State. The climate of the region is BSwh, according to the Köppen classification. The geographical coordinates are 9º24'45.85'' S and 40º30'53.51'' W. The altitude is 374 m. The location is part of the Lower Basin of the São Francisco Valley. The study evaluated the production phase from July to December 2015.

Data relating to climate variables were collected at the meteorological station of Embrapa during the experiment. This results are shown in Table 1.

Table 1: Average temperature, relative humidity, monthly rainfall (Rf), solar radiation and sunshine hours from July to December 2015.

Source: Authors

The fruits samples were taken to the Agricultural Products Storage Laboratory of the Federal University of São Francisco Valley. They were selected according to peel color, absence of mechanical and physiological injuries and size uniformity. Then, they were washed under running water, sanitized with a sodium hypochlorite solution at 1% for 10 min and placed for drying at room temperature at 25 ± 3°C.

Batches with twenty fruits were separated per treatment. They were immersed in the solutions for one minute and then placed in trays to dry at room temperature at 25 ± 3°C. Cassava starch solutions were obtained by gelation of starch in water heated at 70°C under constant stirring for 15 min, according to [14]. Pectin solutions were homogenized in a blender for 30 seconds until gelation as was proposed by [15].

Physical and physical-chemical evaluations of the fruits were performed every three days over a period of twelve days of storage at 25 ± 3°C and 68 ± 4% RH (environmental conditions). The characteristics of weight loss, fruit firmness, peel color, total soluble solids (TSS), hydrogen potential (pH) and vitamin content C were analyzed.

Mass loss (%) was determined with a semi-analytic balance with a precision of 0.01 g. Fruit firmness was determined with a digital penetrometer (PTR 300) with a tip diameter of 8 mm, with a penetration of 6 mm. One reading was performed per fruit in the middle region and the results were expressed in Newtons (N).

To evaluate the color of the peel, a portable digital colorimeter Konica Minolta DP-400 was used, and the changes were quantified according to the three-dimensional system Cielab using three coordinates: L*, a* and b*, which indicates brightness (L*) and red (a*), green (-a*), yellow (b*) and blue hues (-b*) respectively,

Total soluble solids (TSS) were determined with direct reading by using a digital refractometer (Invert Sugar Refractometer HI 96804) and the results were expressed in °Brix. The hydrogenionic potential (pH) was determined with a benchtop pH meter (Hanna HI 221) according to techniques recommended by [16]. The vitamin C content was determined by titration with a Tillmans solution [16] and the results were expressed in mg of ascorbic acid.100 g-1 present in its pulp.

The experimental design was completely randomized arranged in a 4 x 5 factorial design consisting of four starch solution or pectin concentrations (0, 2, 4 and 6%) and five storage periods (0, 3, 6, 9 and 12 days), with four replications, each consisting of one different fruit. The results were submitted to analysis of variance and the means were compared by Tukey test at 5% probability, using the statistical software Assistat version 7.7 beta [17].

3. Results and Discussion

During the 12 experiment days there was an increasing loss of mass during storage periods in all treatments, for fruits coated with both cassava starch and pectin solutions (Fig. 1). These results also were observed by [18] for guavas stored under an atmosphere modified by chitosan, gelatin or PVC.

Mass loss (%) of "Paluma" guavas coated with cassava starch (A) and pectin (B) at concentrations of 0 (control), 2, 4 and 6% in function of storage time at room temperature at 25 ± 3°C.

Figure 1: Mass loss (%) of "Paluma" guavas coated with cassava starch (A) and pectin (B) at concentrations of 0 (control), 2, 4 and 6% in function of storage time at room temperature at 25 ± 3°C.

Source: Authors

Mass losses were higher in fruits with control treatment (30%). Fruits coated with pectin showed less weight loss compared to those coated with cassava starch. Among the concentrations that were more effective in retarding weight loss during storage, the best concentrations were 2 and 6% for fruits coated with starch and 4 and 6% for fruits coated with pectin. The starch was more efficient in a lower percentage, and there was no difference for the percentage of 6%. It was observed that the loss of water presented a similar behavior between the treatments.

According to [19], fruits coated with polysaccharide-based films tend to retard the loss of mass because the gel applied on the fruit loses moisture before the coated food is dried. [20] also observed that increased coating concentration in the case of chitosan provided an additional benefit in controlling the loss of mass of 'Paluma' guava fruits, with the lowest values for 3% of chitosan, suggesting an advantageous effect of coating as a barrier to slow the loss of fruit water by perspiration.

Cassava starch coating at 1, 2 and 3% on papayas, did not observe significant decreases in mass loss [21]. In accordance with this work, [22] reported that the use of hydrophilic coatings, such as starch, has limitations due to water vapor barrier properties.

According to the mean comparison test (Table 2), the use of cassava starch coating at concentrations of 2, 4 and 6% was not able to increase brightness values (L*) compared to the control (0%). For fruits coated with pectin, the control (0%) also maintained the highest L* value and fruits coated at concentrations of 2, 4 and 6% of pectin were not statistically different from each other. Comparing the types of coating, cassava starch kept the fruits brighter compared to fruits coated with pectin.

Table 2: Influence of the interaction coating (cassava starch and pectin) x concentration (0, 2, 4 and 6%) on brightness (L*), intensity of red/green (a*) and intensity of yellow (b*) of peels of "Paluma" guavas stored at room temperature.

Source: Authors

For the a* factor (intensity of green), it was observed that fruits coated with cassava starch at higher concentrations (4 and 6%) kept the color of peels greener than the control (0%) and starch at 2%. Fruits coated with pectin at concentrations of 2 and 4% had greener peels than the control (0%) and pectin at 6%. A similar result was found by [15], who noted that tomatoes coated with 2% pectin kept the a* values lower for longer. Among the coatings, pectin proved to be better than starch to conserve the intensity of the green color of "Paluma" guava peels.

For the factor b* (+b*, intensity of yellow), it could be observed that there was a decrease in b* values with the increase in the concentration of starch coating, indicating that fruits coated at 4 and 6% had less yellowing. However, as fruits did not differ statistically among themselves, the concentration of 4% of starch would be most appropriate. On the other hand, for fruits coated with pectin at higher concentrations also promoted a delay of peel yellowing compared to the control (0%), 4% was the best concentration among pectin concentrations.

Between coatings, pectin proved to be better than starch to conserve the intensity of the green color of "Paluma" guava peels regarding the b* factor. It can be said that, in coated fruits, the variation of color was less marked. A similar result was observed by [23], who stated that the change of color of guavas was less marked compared to the control, when fruits were coated with cassava starch.

According to the interaction between coating and storage period (Table 3), it was observed that coatings based on starch and pectin showed an increase in the factor L* of peels with small fluctuations during storage. According to [24], coating causes a higher gloss on the surface of fruit peels. The results in this experiment are in accordance with researched by [25], who studied cucumber coated with cassava starch, and contrary [26], who studied okra coated with gelatin and chloride, and tomatoes coated with pectin.

Table 3: Influence of the interaction coating (cassava starch and pectin) x storage time on brightness (L*), intensity of red/green (a*) and intensity of yellow (b*) of peels of "Paluma" guavas stored at room temperature.

Source: Authors

The values for green intensity (-a*) of "Paluma" guava peels showed a steady increase for cassava starch and pectin coatings up to 12 days of storage. Fruits coated with pectin had a small oscillation from the 6th day of storage.

There was a variation of chromaticity of a* from -14.85 to -2.95 for fruits coated with starch, and from -14.85 to -7.64 for fruits coated with pectin. The same was reported by [27] upon analyzing guava cv. Cortibel. The increase in the values of this parameter shows a loss of the color green of peels over the ripening of fruits.

The values for intensity of yellow (+b*) of guava peels showed an increase in the yellow coloration during storage. As the fruit ripens, it is normal for the color to change.

It is an indication of ripeness. [14] also observed an increase of +b* values in tomatoes coated with pectin during storage. According to [28], this increase in yellow coloration may associated to changes in L* and -a* values.

The mean comparison test (Table 4) indicates that there was an increase in L*, a* and b* factors for all concentrations (0, 2, 4 and 6%), over 12 days of storage of "Paluma" guavas at room temperature. However, until the 9th day the control kept the highest L* values. The concentrations 4 and 6% kept the green color (-a*) of guava peels for longer.

Table 4: Influence of the interaction concentration of coatings (0, 2, 4 and 6%) x storage time on brightness (L*), intensity of red/green (a*) and intensity of yellow (b*) of peels of "Paluma" guavas stored at room temperature.

Source: Authors

For the factor b*, the concentration which slowed the yellowing of peels was 4%. [29] also noted in his experiment with guavas a color change of peels from green to yellow. He attributed this fact to the breakdown of the chlorophyll molecule structure by the activity of the enzyme chlorophyllase, confirming what [30] describes the process of fruiting caused by the activity of the enzyme chlorophyllase in the breakdown of the chlorophyll molecule. His results were in agreement with our results for the parameters a* and b*. [31] stored "Pedro Sato" guavas at 25 + 1°C and 85 ± 5% RH and reported that the peel color changed from green to yellow. [28] also observed this same behavior during storage period for peppers coated with cassava starch.

Fruit firmness decreased over storage for all the treatments (Fig. 2). [32] also observed a decrease in the firmness of "Kumagai" guavas, when were stored at room temperature. This decrease is associated with enzyme activity in the metabolism of carbohydrates of the cell wall and loss of water during the maturation process [33] regardless of the treatment used.

Firmness (N) of "Paluma" guavas coated with cassava starch (A) and pectin (B) at concentrations of 0 (control), 2, 4 and 6% in function of storage time at room temperature.

Figure 2: Firmness (N) of "Paluma" guavas coated with cassava starch (A) and pectin (B) at concentrations of 0 (control), 2, 4 and 6% in function of storage time at room temperature.

Source: Authors

Fruits coated with pectin kept a firmness higher than fruits coated with starch. Similar results were found by [34] for "Dominador" tomatoes coated with pectin, which kept the firmness better until the 11th day of storage. According to [22], this may be because pectinate-based films have a good barrier to oxygen and carbon dioxide in fresh products.

The concentrations 4 and 6% kept fruit firmness in both coatings for longer.

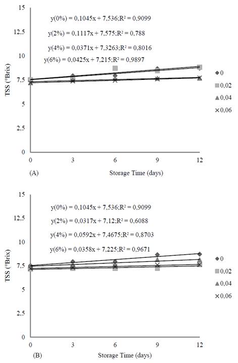
The total soluble solids (TSS) of fruits increased during storage regardless of the type of coating (Fig. 3). This can be attributed to the natural process of fruit ripening [14]. As guava does not have enough concentration of reserve carbohydrates, there is the degradation of cell wall carbohydrates that cause an increase in soluble solids [35, 36].

Total soluble solids (TSS) of "Paluma" guavas coated with cassava starch (A) and pectin (B) at concentrations of 0 (control), 2, 4 and 6% in function of storage time at room temperature.

Figure 3: Total soluble solids (TSS) of "Paluma" guavas coated with cassava starch (A) and pectin (B) at concentrations of 0 (control), 2, 4 and 6% in function of storage time at room temperature.

Source: Authors

Guavas coated with starch at concentrations 4 and 6% were able to slow the accumulation of soluble solids compared to fruits coated at 0 and 2%, which presents a greater evolution of this attribute. The same result was described by [10] for "Pedro Sato" guavas coated with cassava starch (0, 2, 3 and 4%), in which fruits coated with cassava starch at concentrations of 3 and 4% had a lower evolution of soluble solids. [12], in their experiment with "Paluma" guavas stored at room temperature with and without carnauba wax coating, also observed a higher concentration in sugar contents at lower concentrations.

There were no statistical differences between the concentrations 2, 4 and 6% of pectin regarding TSS. However, there was an increase in the control (0% of pectin). This increase may have occurred because of the degradation or the polysaccharide biosynthetic process that causes an increase in ºBrix [22]. As soluble solids are water-soluble compounds important in determining the taste quality of fruits, it is important to use a technology that assist in this control [37].

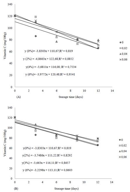
The vitamin C content of fruits coated with cassava starch and pectin decreased throughout the study period (Fig. 5).

Vitamin C content of "Paluma" guavas coated with cassava starch (A) and pectin (B) at concentrations of 0 (control), 2, 4 and 6% in function of storage time at room temperature.

Figure 5: Vitamin C content of "Paluma" guavas coated with cassava starch (A) and pectin (B) at concentrations of 0 (control), 2, 4 and 6% in function of storage time at room temperature.

Source: Authors

Over the storage time, there was a slight increase in the pH in all treatments (Fig. 4). This can be related to the decrease in organic acids during maturation and ripening of fruits, verified by [38] in studies with "Paluma" guavas. According to [39], satisfactorily pH indexes should be between 3.6 and 4.10. However, this work contradicts these indexes because, from the first day of analysis, the values ​​were around 4.20.

Hydrogenionic potential (pH) of "Paluma" guavas coated with cassava starch (A) and pectin (B) at concentrations of 0 (control), 2, 4 and 6% in function of storage time at room temperature.

Figure 4: Hydrogenionic potential (pH) of "Paluma" guavas coated with cassava starch (A) and pectin (B) at concentrations of 0 (control), 2, 4 and 6% in function of storage time at room temperature.

Source: Authors

This was considered a natural process by [40] after fruits are harvested. This decrease is attributed to oxidative processes and enzymatic activities, such as L-ascorbate oxidase, which occur in fruits during the ripening process [41].

However, fruits coated with 4 and 6% of cassava starch and pectin kept the highest ascorbic acid rate over storage time. Considering that the use of the coatings can maintain a lower concentration of oxygen around the fruits, reducing the susceptibility of ascorbic acid to oxygen and reducing losses of antioxidant properties during storage [42]. A similar result was observed by [10] for "Pedro Sato" guavas. The authors observed that the concentrations 3 and 4% of cassava starch minimized the loss of vitamin C satisfactorily.

4. Conclusion

The coatings based on cassava starch and pectin were characterized as potential alternatives to increase the lifespan of "Paluma" guavas. The concentrations 4 and 6% of both coatings analyzed stood out in the preservation of some fruit quality attributes such as weight loss, color, firmness, soluble solids and vitamin C content.

Acknowledgements

Acknowledgments

The authors acknowledge the support of State of São Paulo Research Foundation (FAPESP), and The Department of Civil and Agricultural Engineering, Faculty of Engineering, Universidad Nacional de Colombia.

References

  1. [1] Oliveira, N.N.S., Viana, A.P., Quintal, S.S.R., Paiva, C.L. and Marinho, C.S., Análise de distância genética entre acessos do gênero Psidium via marcadores ISSR. Revista Brasileira de Fruticultura, 36(4), pp. 917-923, 2014. DOI: 10.1590/0100-2945-413/13. [DOI] 🠔
  2. [2] Luvielmo, M.M. and Lamas, S.V., Revestimentos comestíveis em frutas. Estudos Tecnológicos em Engenharia, 8(1), pp. 8-15, 2012. DOI: 10.4013/ete.2012.81.02 [DOI] 🠔
  3. [3] AGRIANUAL. São Paulo: Agra FNP Consultoria e Comércio, 334 P. 2015. 🠔
  4. [4] Pereira, F.M. and Kavati, R., Contribuição da pesquisa científica brasileira no desenvolvimento de algumas frutíferas de clima subtropical. Revista Brasileira de Fruticultura , 33(1), pp. 92-108. 2011. [date of reference February 24th of 2015] Available at: Available at: http://www.scielo.br/scielo.php?script=sci_nlinks&pid=S0100-204X201400040028100019&lng=en [URL] 🠔
  5. [5] Velho, A.C., Amarante, C.V.T., Argenta, L.C. and Steffens, C.A., Influência da temperatura de armazenamento na qualidade pós-colheita de goiabas serranas. Revista Brasileira de Fruticultura , 33(1), pp. 014-020. 2011. [date of reference February 24th of 2015] Available at: Available at: http://www.scielo.br/pdf/rbf/v33n1/aop00111 . [URL] 🠔
  6. [6] Reetz, E.R., Kist, B.B., Santos, C.E., Carvalho, C. and Drum, M., Anuário Brasileiro da Fruticultura 2014. Santa Cruz do Sul: Gazeta Santa Cruz, pp 108. 2015. [date of reference February 24th of 2015] Available at: Available at: http://www.editoragazeta.com.br/produto/anuario-brasileiro-da-fruticultura-2014/ [URL] 🠔
  7. [7] Farias, M.G., Fakhouri, F.M., Carvalho, C.W.P. and Ascheri, J.L.R., Caracterização físico-química de filmes comestíveis de amido adicionado de acerola (Malphigia emarginata D.C.). Química Nova, 35(3), pp. 546-552, 2012. [date of reference May 12th of 2015] Available at: Available at: http://quimicanova.sbq.org.br/default.asp?ed=135 [URL] 🠔
  8. [8] Pimentel, J.D.R., Souza, D.S., Oliveira, T.V. Oliveira, M.C. Bastos, V.S. and Castro, A.A., Estudo da conservação de mamão Havaí utilizando películas comestíveis a diferentes temperaturas. Scientia Plena, 7(10), pp. 101501, 2011. [date of reference May 13th of 2015] Available at: Available at: https://www.scientiaplena.org.br/sp/article/view/195 [URL] 🠔
  9. [9] Silva, D.F.P., Siqueira, D.L., Santos, D., Machado, D.L.M. and Salomão, L.C.C., Recobrimentos comestíveis na conservação pós-“colheita de ‘Mexerica-do-Rio’. Revista Brasileira de Fruticultura , 33(1), pp. 357-362. 2011. [date of reference May 22th of 2015] Available at: Available at: http://www.scielo.br/pdf/rbf/v33nspe1/a45v33nspe1.pdf . [URL] 🠔
  10. [10] Vila, M.T.R., Lima, L.C O., Boas, E.V.B.V., Hojo, E.T.D., Rodrigues, L.J. and Paula, N.R.F., Caracterização química e bioquímica de goiaba armazenada sob refrigeração e atmosfera modificada. Ciência e Agrotecnologia, 31(5), pp. 1435-1442, 2007. DOI: 10.1590/S1413-70542007000500025 [DOI] 🠔
  11. [11] Cerqueira, T.S., Jacomino, A.P., Sasaki, F.F.E. and Alleoni, A.C C., Recobrimento de goiabas com filmes proteicos e de quitosana. Bragantia, 70(1), pp. 216-221, 2011. DOI: 10.1590/S0006-87052011000100028. [DOI] 🠔
  12. [12] Ribeiro, V.G., Assis, J.S., Silva, F.F., Siqueira, P.P.X. and Vilaronga, C.P.P., Armazenamento de goiabas ‘Paluma’ sob refrigeração e em condição ambiente, com e sem tratamento com cera de carnaúba. Revista Brasileira de Fruticultura , 27(2), pp. 203-206, 2005. DOI: 10.1590/S0100-29452005000200005. [DOI] 🠔
  13. [13] Rodrigues, M.Z., Obetenção de revestimentos comestíveis a base de pectina como veículo para microorganismos probioticos e aplicação em cenoura e goiaba minimamente processadas. 119f, MSc. Tese, Universidade Federal de Viçosa, Brazil, 2017. 🠔
  14. [14] Santos, A.E.O., Assis, J.S., Berbert, P.A., Santos, O.O., Batista, P.F. and Gravina, G.A., Influência de biofilme de fécula de mandioca e amido de milho na qualidade pós-colheita de mangas ‘Tommy Atkins’. Revista Brasileira de Ciências Agrárias, 6(3), pp. 508-551, 2011. DOI: 10.5039/agraria.v6i3a755 [DOI] 🠔
  15. [15] Oliveira, N.A., Martins, J.N., Santos, D.C., Gomes, J.P. and Almeida, F.A.C., Armazenamento de tomates revestidos com pectina: avaliação colorimétrica. Revista Caatinga, 25(4), pp. 19-25, 2012. [date of reference May 22th of 2015] Available at: Available at: http://www.redalyc.org/articulo.oa?id=237125883003 [URL] 🠔
  16. [16] Instituto Adolfo Lutz. Normas Analíticas do Instituto Adolfo Lutz: Métodos Químicos e Físicos para Análise de Alimentos. 4ed. São Paulo: IAL, pp 1020, 2008. Available at: www.crq4.org.br/sms/files/file/analisedealimentosial_2008.pdf [URL] 🠔
  17. [17] Silva FAS. ASSISTAT Software: Assistência Estatística. Versão 7.7 beta. 2014. 🠔
  18. [18] Oshiro, A.M., Dresch, D.M. and Scalon, S.P.Q., Preservação de goiaba “Pedro Sato” armazenadas sob atmosfera modificada em refrigeração. Revista de Ciências Agrárias, 35(1), pp. 213-221, 2012. [date of reference May 20th of 2015] Available at: Available at: https://doaj.org/article/384fb1e796f045e1b025158af468d9d9 [URL] 🠔
  19. [19] Kester, R. and Fennema, O.R., Edible films and coatings: a review. Food Technology, 40, pp. 47-59, 1986. 🠔
  20. [20] Silva, W.B., Silva, G.M.C., Santana, D.B., Salvador, A.R., Medeiros, D.B., Belghith, I., Silva, N.M., Cordeiro, M.H.M., Misobutsi, G.P., Chitosan delays ripening and ROS production in guava (Psidium guajava L.) fruit. Food Chemistry, 242(99), pp. 232-238, 2018. DOI: 10.1016/j.foodchem.2017.09.052 [DOI] 🠔
  21. [21] Pereira, M.E.C., Silva, A.S., Bispo, A.S.R., Santos, D.B.S., Santos, S.B. and Santos, V.J., Amadurecimento de mamão formosa com revestimento comestível à base de fécula de mandioca. Ciência e Agrotecnologia , 30(6), pp. 1116-1119, 2006. DOI: 10.1590/S1413-70542006000600011 [DOI] 🠔
  22. [22] Chitarra, M.I.F. and Chitarra, A.B., Pós-colheita de frutos e hortaliças: fisiologia e manuseio. 2. Ed. Lavras: UFLA, pp 785. 2005. [date of reference April 17th of 2015] Available at: Available at: http://www.scielo.br/scielo.php?script=sci_nlinks&ref=000082&pid=S0103-8478201400060002800007&lng=en [URL] 🠔
  23. [23] Coelho, C.C.S., Fonseca, M. J.O., Campos, R.S., Oliveira, A.H., Soares, A.G. and Bastos, L.A.T., Qualidade pós colheita de goiabas ‘Pedro Sato’, revestidas Com filmes à base de amido de mandioca e óleo de cravo da índia. 2013. [date of reference February 20th of 2015]. Available at: Available at: http://ainfo.cnptia.embrapa.br/digital/bitstream/item/88123/1/2013-036.pdf . [URL] 🠔
  24. [24] Ribeiro, T.P., Lima, M.A.C., Trindade, D.C.G., Santos, A.C.N. and Amariz, A., Uso de revestimentos à base de dextrina na conservação pós-colheita de manga ‘Tommy Atkins’. Revista Brasileira de Fruticultura , 31(2), pp. 343-351, 2009. DOI: 10.1590/S0100-29452009000200008. [DOI] 🠔
  25. [25] Reis, K.C., Elias, H.H.S., Lima, L.C.O., Silva, J.D. and Pereira, J., Pepino japonês (Cucumis sativus L.) submetido ao tratamento com fécula de mandioca. Ciência e Agrotecnologia , 30(3), pp. 487-493, 2006. DOI: 10.1590/S1413-70542006000300015. [DOI] 🠔
  26. [26] Oliveira, T.A., Aroucha, E.M.M., Souza, M.S.M., Leite, R.H.L. and Santos, F.K.G., Efeito do biofilme de gelatina e cloreto de cálcio na coloração de quiabo armazenado sob refrigeração. Agropecuária Científica no Semiárido, 8(2), pp. 7-11, 2012. [date of reference February 21th of 2015]. Available at: Available at: http://revistas.ufcg.edu.br/acsa/index.php/ACSA/article/view/167/pdf [URL] 🠔
  27. [27] Pereira, T., Carlos, L.A., Oliveira, J.G. and Monteiro, A.R., Características físicas e químicas de goiabas cv Cortibel (Psidium guajava) estocadas sob refrigeração em filmes X-Tend. Alimentos e Nutrição, 16(1), pp. 11-16, 2005. [date of reference February 21th of 2015]. Available at: Available at: http://serv-bib.fcfar.unesp.br/seer/index.php/alimentos/article/viewFile/94/107 . [URL] 🠔
  28. [28] Hojo, E.T.D., Cardoso, A.D., Hojo, R.H., Vilas Boas, E.V.B. and Alvarenga, M.A.R., Uso de películas de fécula de mandioca e PVC na conservação pós-colheita de pimentão. Ciência e Agrotecnologia , 31(1), pp. 184-190, 2007. DOI: 10.1590/S1413-70542007000100027. [DOI] 🠔
  29. [29] Gonçalves, B.J., Monitoração por termografia infravermelho da qualidade pós-colheita de goiabas armazenadas sob refrigeração. 125f, MSc. Dissertation, Universidade Federal de Lavras, Brazil, 2014. 🠔
  30. [30] Matile, P., Hortensteiner, S., Thomas, H., Chlorophyll degradation. annual, Review Plant Physiology and Plant Molecular Biology. 50, pp. 67-95, 1999. DOI: 10.1146/qnnurev.arplant.50.1.67. [DOI] 🠔
  31. [31] Azzolini, M., Jacomino, A.P. and Spoto, M.H.F., Estádios de maturação e qualidade pós-colheita de goiabas 'Pedro Sato'. Revista Brasileira de Fruticultura , 26(1), pp. 29-31, 2004. [date of reference May 20th of 2015] Available at: Available at: www.scielo.br/pdf/rbf/v26n1/a09v26n1.pdf [URL] 🠔
  32. [32] Morgado, C.M.A., Durigan, J.F., Lopes, V.G. and Santos, L.O., Conservação pós-colheita de goiabas ‘Kumagai’: efeito do estádio de maturação e da temperatura de armazenamento. Revista Brasileira de Fruticultura , 32(4), pp. 1001-1008, 2010. [date of reference May 20th of 2015] Available at: Available at: http://www.scielo.br/pdf/rbf/v32n4/v32n4a08.pdf . [URL] 🠔
  33. [33] Vilas-Boas, B.M., Nunes, E.E., Fiorini, F.V.A., Lima, L.C.O., Vilas-Boas, E.V.B. and Coelho, A.H.R., Avaliação da qualidade de mangas ‘Tommy Atkins’ minimamente processadas. Revista Brasileira de Fruticultura , 26(3), pp. 540-543, 2004. DOI: 10.1590/S0100-29452004000300040. [DOI] 🠔
  34. [34] Bolzan, R.P., Biofilmes comestíveis para conservação pós-colheita de tomate ‘Dominador’. 167f, MSc. Dissertation, Universidade Federal do Paraná, Brazil, 2008. 🠔
  35. [35] Linhares, L.A., Santos, C.D., Abreu, C.M.P. and Corrêa, A.D., Transformações químicas, físicas e enzimáticas de goiabas ‘Pedro Sato’ tratadas na pós-colheita com cloreto de cálcio e 1-metilciclopropeno e armazenadas sob refrigeração. Ciência e Agrotecnologia , 31(3), pp. 829-841, 2007. DOI: 10.1590/S1413-70542007000300033. [DOI] 🠔
  36. [36] Cerqueira, T.S., Jacomino, A.P., Sasaki, F.F.E. and Amorim, L., Controle do amadurecimento de goiabas ‘Kumagai’ tratadas com 1metilcloropropeno. Revista Brasileira de Fruticultura , 31(3), pp. 687-692, 2009. [date of reference May 20th of 2015] Available at: Available at: http://www.producao.usp.br/bitstream/handle/BDPI/5360/art_JACOMINO_Controle_do_amadurecimento_de_goiabas_e39Kumagaie39_tratadas_2009.pdf?sequence=1 . [URL] 🠔
  37. [37] Kluge, R.A., Natchtigal, J.C., Fachinello, J.C. and Bilhalva, A.B., Fisiologia e manejo pós-colheita de frutas de clima temperado. 2 ed. Campinas: Livraria e Editora Rural Ltda., pp 214, 2002. 🠔
  38. [38] Souza, M.E., Silva, A.C., Souza, A.P., Tanaka, A.A. and Leonel, S., Influência das precipitações pluviométricas em atributos físico-químicos de frutos da goiabeira ‘Paluma’ em diferentes estádios de maturação. Revista Brasileira de Fruticultura , 32(2), pp. 637-646, 2010. DOI: 10.1590/S0100-29452010005000060. [DOI] 🠔
  39. [39] Manica, I., Icuma, I.M., Junqueira, N.T.V., Salvador, J.O., Moreira, A. and Malavolta, E., Goiaba: do plantio ao consumidor. Porto Alegre: Cinco Continentes, pp 32, 2001. 🠔
  40. [40] Severo, J., Galarça, S.P., Aires, R.F., Cantillano, R.F.F., Rombaldi, C.V. and Silva, J.A., Avaliação e compostos fenólicos, antocianinas, vitamina C e capacidade antioxidante em mirtilo armazenado em atmosfera controlada. Brazilian Journal of Food Technology , 12(1), pp. 65-70, 2009. [date of reference May 20th of 2015] Available at: Available at: http://bjft.ital.sp.gov.br/artigos/especiais/especial_2009/v11_edesp_12.pdf . [URL] 🠔
  41. [41] García-Betanzos, C.I., Hernández-Sánchez, H., Bernal-Couoh, T.F., Quintanar-Guerrero, D., Zambrano-Zaragoza, M.L., Physicochemical, total phenols and pectin methylesterase changes on quality maintenance on guava fruit (Psidium guajava L.) coated with candeuba wax solid lipid nanoparticles-xanthan gum. Food Research International, 101, pp. 218-227, 2017. DOI: 10.1016/j.foodres.2017.08.065 [DOI] 🠔
  42. [42] Murmo, S.B., Mishra, H.N., The effect of edible coating based on Arabic gum, sodium caseinate and essential oil of cinnamon and lemon grass on guava. Food Chemistry , 245, pp. (820-828), 2018. DOI: 10.1016/j.foodchem.2017.11.104 [DOI] 🠔
Quirino, A.K., Costa, J.D.deS., Neto, A.F., Costa, M.deS. and Sánchez-Sáenz, C.M., Conservation of "Paluma" guavas coated with cassava starch and pectin. DYNA, 85(204), pp. 344-351, March, 2018.