DYNA
0012-7353
Universidad Nacional de Colombia
https://doi.org/10.15446/dyna.v84n200.63612

Recibido: 15 de octubre de 2015; Revision Received: 16 de septiembre de 2016; Aceptado: 20 de febrero de 2017

Application of DEA in international market selection for the export of goods

Aplicación de DEA en la selección del mercado internacional para la exportación de bienes

J. Cano, aE. Campo, aJ. Baena, a

Facultad de Ciencias Estratégicas y Administrativas, Universidad de Medellín, Medellín, Colombia. jacano@udem.edu.co, ecampo@udem.edu.co, jjbaena@udem.edu.co Universidad de Medellín Facultad de Ciencias Estratégicas y Administrativas Universidad de Medellín Medellín Colombia

Abstract

This article proposes a methodology to support decision-making to select an international market. To do so, an output-oriented data envelopment analysis (DEA) model is used. This methodology takes into account multiple variables such as import tariffs, logistics costs, the ease of doing business, cultural gaps, the value of imports, GDP per capita, and logistics performance, among others, which are validated with a correlation analysis. The methodology is applied to frozen beef exported from Colombia, and it assesses the efficiency of possible destination countries. Finally, this study concludes that DEA provides easy to apply robust models identifying countries and regions that generate higher benefits to access international markets.

Keywords :

data envelopment analysis (DEA), international market selection (IMS), exports, frozen meat.

Resumen

Este artículo propone una metodología para apoyar la toma de decisiones en la selección de mercados internacionales. Para esto, se utiliza un modelo de análisis envolvente de datos (DEA) orientado a salidas. La metodología utilizada tiene en cuenta múltiples variables como el arancel de importación, costos logísticos, facilidad de hacer negocios, diferencias culturales, valor de importaciones, PIB per cápita, desempeño logístico, entre otros, a los cuales se les aplica un análisis de correlación para su validación. Se aplica la metodología para la carne de res congelada exportada desde Colombia, y se evalúa la eficiencia de los posibles países destinos en los cuales podría comercializarse el producto. Se concluye que DEA ofrece modelos robustos y fáciles a aplicar para identificar los países y regiones que generan mayores beneficios en el acceso a mercados internacionales.

Palabras clave :

análisis envolvente de datos (DEA), selección de mercados internacionales (IMS), exportaciones, carne congelada.

1. Introduction

DEA is a non-parametric linear programming-based technique to measure the relative performance of decision making units (DMUs) based on the values of chosen input and output variables, avoiding the assignment of weights and the standardization of values of variables in a homogeneous scale [1]. Therefore, these issues include model orientation, input and output selection/definition, the use of mixed and raw data, and the number of inputs and outputs to use versus the number of DMUs. DEA can be viewed as a tool for multiple-criteria evaluation problems in which DMUs are alternatives, and each DMU is represented by its performance in multiple criteria also classified in DEA models as inputs and outputs [2].

Currently, there are interesting contributions that show the relevance of DEA in international markets selection (IMS) approaches. In fact, some models consider this procedure has to be implemented with considerable attention and deliberation, especially, when some criteria can play simultaneous roles of input (cost) and output (profit) [3].

In addition, some studies show that some factors can be strategic in an IMS, like institutional government support to protect companies, geographic proximity, and cultural similarity, among others [4]. Different studies have applied DEA for IMS generically utilizing measures such as a company’s customer image, average tariff rates for destination markets, sales volumes and number of competitors [5], or specifically, in the bicycle and motorcycle manufacturing industry implementing measures such as the number of foreign competitors, the number of local manufacturers, marketing costs, average tariff rates, sales prices, and estimation of sales volumes [3].

So, governments and companies make great efforts to develop special programs based on DEA techniques to recognize opportunities in international markets to develop alternatives for economic growth [6]. Thus, every company seeking to internationalize exporting goods must identify the most optimal alternative, considering that there are many important barriers, criteria and institutional mechanisms that can influence an export process [7]. DEA models allow companies to consider many factors to identify the most efficient countries in international trade like measuring and evaluating the efficiency of international shipping line flows and their efficacy in containerized freight [8]. In this sense, in a real application of DEA for IMS, decision makers must identify appropriate inputs and outputs according to decision makers’ product specifications and preferences [5].

Therefore, the aim of this article is to propose a methodology for international market selection based on DEA models to support multi-criteria decision-making. For this purpose, the paper outlines DEA background and applications. Then, it presents a proposed methodology and models, and it is applied to select frozen beef international markets. This paper presents results and a discussion and provides a conclusion concerning the main implications of using DEA for decision makers.

2. DEA background and applications

DEA is a linear programming-based technique to evaluate the performance of administrative units such as banks, mutual funds, police stations, hospitals, tax offices, defense bases, insurance companies, schools, libraries, and university departments, among others, including countries and governments [9]. In addition, it was proposed by Charnes, Cooper and Rhodes in 1978 [10]. DEA is also called frontier analysis because the performance of a unit is evaluated comparing its performance with the best performing units of a sample that forms an efficiency frontier. Moreover, if the unit is not on the efficiency frontier, it is considered to be inefficient. Therefore, this multiple-criteria method can be applied successfully to profit-making and non-profit organizations because it can handle multiple inputs and outputs as opposed to other quantitative techniques as ratio analysis or regression. Currently, there are several articles in databases like ISI Web of Knowledge, Web of Science (WOS) and Scopus about the application of DEA in administrative units, as shown in Table 1.

Table 1: DEA application in administrative units

Source: Authors

DEA models may be input-oriented and output-oriented. Input-oriented models state that efficient DMUs will be those that consume the least amount of inputs to achieve a given level of output, and output-oriented models provide that efficient DMUs will be those that achieve the highest number of outputs with a given level of inputs. Similarly, DEA models can be classified as CCR models [9] and BCC models [32]. CCR models assume the existence of constant returns to scale. That is to say, all units are compared as if they were subject to constant returns and not to the possibility of the existence of inefficiencies because of differences between the scales of operation envisaged in each DMU. BBC models are based on the principles of convexity, free input and output availability and variable returns to scale. BCC models are used to compare the size of similar organizations while CCR models are used to compare an organization with others, substantially larger or smaller [33].

DEA can also be combined with structured techniques like an analytic hierarchy process (AHP) to process complex data supported on mathematics and psychology [34], chance constrained programming (CCP) and multi-objective programming (MOP) in risk evaluation models [35]. In this sense, in a short time, DEA has grown into a powerful quantitative, analytical tool to measure and evaluate performance. It has also been successfully applied to a host of different types of entities engaged in a wide variety of activities in many contexts worldwide [36].

2.1. DEA and international market selection

DEA is used for market selection because it is a complicated decision making task which takes time, and needs tools and models to deal with multiple criteria, weight restrictions and inaccurate data simultaneously [5]. Moreover, DEA is applied to select international suppliers and their performance evaluation, even using complementary mathematical tools as stochastic efficiency analysis to deal with uncertainties related to supplier performance, political, legal, economic, socio-cultural and technological market features [37]. Governments use DEA to promote export programs, especially, for companies who try to find new international markets [6], and DEA can be used to show export enterprises their main threats, to increase the companies’ possibilities for [38].

DEA can be useful to identify when a company is able to compete in international markets and to recognize market export opportunities [39]. As a quantitative tool, DEA allows efficient multiple-criteria evaluation through inputs and outputs [2]. However, in IMS, many qualitative techniques evaluate the conditions to internationalize a company [40].

3. Methodology and DEA models

To create a DEA methodology for international market selection, DMUs represent countries with potential to import frozen bovine meat from Colombia, and DEA will be used to classify them to facilitate an IMS decision-making process. Therefore, the DEA model uses the notation presented in Table 2, where N DMU which will be evaluated consumes M inputs to generate S outputs.

Table 2: Index and parameters for DEA models.

Source: Authors

In this article BCC models are used to select international markets to export frozen bovine meat based on the nature of the inputs and outputs described in Table 3 and Table 4. Criteria set by [41], [42] and the authors were taken into account to determine the inputs and outputs, which include country-level and consumer-level variables related to economic and market development, product acceptance, cultural and geographic distances, logistics, policies that facilitate the generation of business and a flow of goods, among others.

The inputs taken into account can be interpreted as the costs and efforts required to access an international market. Inputs taking smaller values will be convenient for business performance. Hence, the outputs taken into account can be interpreted as benefits that a destination country offers, and outputs taking higher values will be more convenient for business performance.

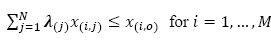
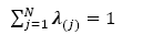
In this case, an output-oriented model is used because the decision maker is interested in finding a country where the benefits of exporting frozen beef are maximized considering certain costs and efforts. Thus, the mathematical approach of the BCC output-oriented model is described in eq. (1)-(5).

Subject to:

Table 3: Inputs for proposed DEA models.

Source: Authors

Table 4: Outputs for proposed DEA models.

Source: Authors

For a BCC output-oriented model, ϕ represents the radial expansion of outputs given a maximum level of inputs, therefore, if ϕ > 1, it means that the combination of outputs from other DMUs are greater than the outputs of the evaluated DMU, and it is classified as an inefficient DMU.

With the information of inputs and outputs, DEA models are loaded and solved in a program developed in MS Excel, supported with Visual Basic Applications programming and the use of solver application. Using this, the efficiencies of each country are obtained with the output-oriented model. The most efficient countries are prioritized according to the number of times that each country is used to create the efficiency reference set for other countries.

4. Results and discussion

To load the proposed model, countries that imported more than US$ 50 million of frozen beef in 2014 were selected. Such information was found in the International Trade Centre’s databases [43], and the result was 39 countries, and of these, 7 countries lacked information on the input and output values (established in Table 3 and Table 4) were dismissed. Table 5 was built with results showing the values for each of the proposed models’ input and output variable. Moreover, the 32 remaining countries’ names have been abbreviated according to the World Bank [44].

As shown in Table 6, a correlation analysis between input and output variables was conducted to ensure each variable provides different information from other variables in the model, increasing differentiation among the evaluated countries. This analysis facilitates the identification of the variables which are convenient to keep or not.

Table 5: Inputs and outputs values.

Source: Authors

Table 6: Input and output correlation analysis.

Source: Authors.

Table 6 shows a significant correlation between the logistics cost (LC) and ease of doing business (EDB), and between the logistics cost (LC) and the number of import documents required by the destination country (ID). Thus, the variable ID was eliminated because it was considered in the LC variable. Regarding output variables, there is a highly significant correlation between GDPC and GDPCV as well as between GDPC and LPI. Therefore, it has been decided to discard the GDPC. Although the GDPC has been removed, it has a representation in the model through the GDPCV variable, which takes into consideration its variation over time. This way the DEA models are left with 4 input and 4 output variables.

Once the input and output variables are refined, according to [45] and [46], the number of DMU is at least equal to (M+S) × 3. In this case, it is (4 + 4) × 3 = 24 countries, and complies having 32 countries in the data set. In this sense, the condition established by [47] would also be fulfilled as the number of DMU in DEA models should be at least equal to 2M×S, which in this case is 2 (4) × 4 = 32 countries. The DMU number used for international market selection allows a higher segregation level and gives the model more degrees of freedom.

After verifying the correlations between the variables and the minimum number of countries to be considered, the proposed model is executed, obtaining each country’s efficiency and frequency as a reference set as shown in Table 7. Adjustments to the efficiency value results of the output-oriented model are done to convert those values using a 1/ϕ scale.

In Table 7 in the output-oriented model, it is observed that 47.6 % of the countries are efficient and the average efficiency is approximately 96%, showing that there is a set of countries to which frozen beef can be exported from Colombia obtaining adequate benefits according to costs and efforts required to access those countries. It is noted that countries like the United States of America (USA), Chile (CHL), Singapore (SGP), Germany (DEU) and Belgium (BEL) are efficient and are most often used in the reference set to determine the efficiency of other countries. This means that these countries are leaders and benchmarks to determine the efficiency of inputs and outputs for other countries considered in the analysis. Therefore, it is recommended to select one of these countries as an international market to export frozen beef, prioritizing the countries according to the order suggested in Table 7, and thus, it ensures selecting a country where profits are maximized and costs are appropriate for the benefits obtained.

Table 7: Efficiency and frequency as a reference set for every country

Source: Authors

Table 8: Efficiency analysis by region.

Source: Authors

To complement the IMS analysis, Table 8 presents a study by region to which those evaluated countries belong, and it allows us to identify opportunities to perform the best market expansion strategies and export products to several countries with geographic proximity.

Therefore, the regions with the highest proportion of efficient countries under the output approach are Asia and America, which in turn are the regions with higher average efficiency. However, despite the fact that only 18% of the countries in Europe are efficient, the average efficiency in that region is similar to Asia and America.

Finally, accordingly to Table 7 and Table 8, it is recommended to select the United States of America (USA), Chile (CHL) and Singapore (SGP) as international markets for frozen bovine meat, because these countries’ efficiency maximizes outputs and is used in the reference set to determine other countries’ efficiency. Furthermore, they are located in regions with high efficiency levels, and this facilitates the opening of new markets.

6. Conclusions

DEA is a robust quantitative methodology that offers understanding and application for international market selection for different products and economic sectors. The BBC output-oriented model was applied to evaluate the efficiency of international markets to export frozen beef from Colombia.

The application of DEA models allows us to identify countries that provide greater cost/benefit, taking into account multiple criteria and measures such as import tariffs, logistic costs, ease of doing business, cultural gaps, import value, import value variations, GDP per capita variation and the logistic performance index. This indicated that the best countries to export frozen bovine meat to are the United States of America (USA), Chile (CHL) and Singapore (SGP), which are located in regions with the highest average efficiency and highest proportion of efficient countries under input and output approaches.

As shown in this article, the proposed model and its measures are not limited to products such as frozen beef or frozen food. This allows them to be applied in multiple contexts and to any product which can be exported to an international market. According to the preferences of the decision-maker, DMU selection criteria may change, and some inputs and outputs can be customized.

References

  1. [1] Restrepo, M. y Villegas, J., Clasificación de grupos de investigación colombianos aplicando análisis envolvente de datos, Revista Facultad de Ingenieria, 1(42), pp. 105-119, 2007. 🠔
  2. [2] Cook, W., Tone, K. and Zhu, J., Data envelopment analysis: Prior to choosing a model, Omega-International Journal Of Management Science, 44 (1), pp. 1-4, 2014. 🠔
  3. [3] Shabani, A., Farzipoor, R. and Vazifehdoost, H., The use of data envelopment analysis for international market selection in the presence of multiple dual-role factors, International Journal of Business Information Systems, 13(4), pp. 471-489, 2013. 🠔
  4. [4] Ragland, C., Brouthers, L. and Widmier, L., Institutional theory and international market selection for direct selling, Marketing Intelligence and Planning, 33(4), pp. 538-555, 2015. 🠔
  5. [5] Farzipoor, R., International market selection using advanced data envelopment analysis, IMA Journal of Management Mathematics, 22(4), pp. 371-386, 2011. 🠔
  6. [6] Hajiagha, S., Zavadskas, E. and Hashemi, S., Application of stepwise data envelopment analysis and grey incidence analysis to evaluate the effectiveness of export promotion programs, Journal of business economics and management, 14(3), pp. 638-650, 2013. 🠔
  7. [7] Lall, S., Marketing barriers facing developing country manufactured exporters: a conceptual note, Journal of Development Studies, 7(4), pp. 137-150, 1991. 🠔
  8. [8] Gutierrez, E., Lozano, S. and Furio, S., Evaluating efficiency of international container shipping lines: A bootstrap DEA approach, Maritime economics & logistics, 16(1), pp. 55-71, 2014. 🠔
  9. [9] Stancheva, N. and Angelova, V., Research methodology on Data Envelopment Analysis (DEA). Florida: Universal-Publishers, 2008. 🠔
  10. [10] Charnes, A., Cooper, W. and Rhodes, E., Measuring the efficiency of decision making units, European Journal of Operational Research, 2(6), pp. 429-444, 1978. 🠔
  11. [11] Cummins, J. and Zi, H., Comparison of frontier efficiency methods: An application to the U.S. life insurance industry, Journal of Productivity Analysis, 10(2), pp. 131-152, 1998. 🠔
  12. [12] Chen, Z. and Lin, R., Mutual fund performance evaluation using data envelopment analysis with new risk measures, OR Spectrum, 28(3), pp. 375-398, 2006. 🠔
  13. [13] Vitner, G., Rozenes, S. and Spraggett, S., Using data envelope analysis to compare project efficiency in a multi-project environment, International Journal of Project Management, 24(4), pp. 323-329, 2006. 🠔
  14. [14] Fang, L. and Zhang, C., Resource allocation based on the DEA model, Journal of the Operational Research Society, 59(8), pp. 1136-1141, 2008. 🠔
  15. [15] Banker, R., Estimating most productive scale size using data envelopment analysis, European Journal of Operational Research, 17(1), pp. 35-44, 1984. 🠔
  16. [16] Hollingsworth, B., Dawson, P. and Maniadakis, N., Efficiency measurement of health care: A review of non-parametric methods and applications, Health Care Management Science, 2(3), pp. 161-172, 1999. 🠔
  17. [17] Hollingsworth, B., Non-parametric and parametric applications measuring efficiency in health care, Health Care Management Science, 6(4), pp. 203-218, 2003. 🠔
  18. [18] Knechel, W., Rouse, P. and Schelleman, C., A modified audit production framework: Evaluating the relative efficiency of audit engagements, Accounting Review, 84(5), pp. 1607-1638, 2009. 🠔
  19. [19] Troutt, M., Gribbin, D., Shanker, M. and Zhang, A., Cost efficiency benchmarking for operational units with multiple cost drivers, Decision Sciences, 31(4), pp. 813-831, 2000. 🠔
  20. [20] Bowlin, W., A characterization of the financial condition of the United States' aerospace-defense industrial base, Omega, 23(5), pp. 539-555, 1995. 🠔
  21. [21] Tavana, M., Hatami-Marbini, K., Agrell, P. and Paryab, K., Fuzzy stochastic data envelopment analysis with application to base realignment and closure (BRAC), Expert Systems with Applications, 39(15), pp. 12247-12259, 2012. 🠔
  22. [22] Kao, C. and Hwang, S., Efficiency decomposition in two-stage data envelopment analysis: An application to non-life insurance companies in Taiwan, European Journal of Operational Research, 185(1), pp. 418-429, 2008. 🠔
  23. [23] Chen, Y., Cook, W., Li, N. and Zhu, J., Additive efficiency decomposition in two-stage DEA, European Journal of Operational Research, 196(3), pp. 1170-1176, 2009. 🠔
  24. [24] Sinuany-Stern, Z., Mehrez, A. and Barboy, A., Academic departments efficiency via DEA, Computers and Operations Research, 21(5), pp. 543-556, 1994. 🠔
  25. [25] Ruggiero, J., On the measurement of technical efficiency in the public sector, European Journal of Operational Research, 90(3), pp. 553-565, 1996. 🠔
  26. [26] Kao, C. and Lui, S., Data envelopment analysis with missing data: An application to University libraries in Taiwan, Journal of the Operational Research Society, 51(8), pp. 897-905, 2000. 🠔
  27. [27] Kao, C. and Lui, S., A mathematical programming approach to fuzzy efficiency ranking, International Journal of Production Economics, 82(2), pp. 145-154, 2003. 🠔
  28. [28] Thursby, J. and Kemp, S., Growth and productive efficiency of university intellectual property licensing, Research Policy, 31(1), pp. 109-124, 2002. 🠔
  29. [29] Abbott, M. and Doucouliagos, H., The efficiency of Australian universities: A data envelopment analysis, Economics of Education Review, 22(1), pp. 89-97, 2003. 🠔
  30. [30] Braglia, M. and Petroni, A., A quality assurance-oriented methodology for handling trade-offs in supplier selection, International Journal of Physical Distribution and Logistics Management, 30(2), pp. 96-111, 2000. 🠔
  31. [31] Zeydan, M., Colpan, C. and Cobanoglu, C., A combined methodology for supplier selection and performance evaluation, Expert Systems With Applications, 38(3), pp. 2741-2751, 2011. 🠔
  32. [32] Banker, R., Charnes, A. and Cooper, W., Some models for estimating technical and scale inefficiences in Data Envelopment Analysis, Management Science, 30(9), pp. 1078-1092, 1984. 🠔
  33. [33] Martínez, S., Quindós, M. and Rubiera, F., Análisis de la eficiencia en el sector de los servicios avanzados a las empresas: Una aplicación para el caso del Principado de Asturias, Servilab, 1(1), pp. 1-28, 2003. 🠔
  34. [34] Yang, T. and Kuo, C., A hierarchical AHP/DEA methodology for the facilities layout design problem, European Journal Of Operational Research, 147(1), pp. 128-136, 2003. 🠔
  35. [35] Wu, D. and Olson, D., Supply chain risk, simulation, and vendor selection, International Journal Of Production Economics, 114(2), pp. 646-655, 2008. 🠔
  36. [36] Cooper, W., Seiford, L. and Zhu, J., Handbook on Data Envelopment Analysis, Michigan: Springer, 2011. 🠔
  37. [37] Wu, D., A systematic stochastic efficiency analysis model and application to international supplier performance evaluation, Expert Systems with Applications, 37(9), pp. 6257-6264, 2010. 🠔
  38. [38] Spicka, J. and Janotova, B., Efficiency of sugar beet growers and profitability of sugar beet in czech republic, Listy Cukrovarnicke a Reparske, 131(7-8), pp. 217-222, 2015. 🠔
  39. [39] Bojnec, S. and Latruffe, L., Measures of farm business efficiency, Industrial Management & Data Systems, 108(1-2), pp. 258-270, 2008. 🠔
  40. [40] Londoño, A., Vélez, O. y Rojas, J., Evaluación del grado de preparación para asumir el reto de la internacionalización de las PYMES desde un enfoque integrador de las capacidades dinámicas y la gestión del conocimiento, Espacios, 36(7), pp. 1-16, 2015. 🠔
  41. [41] Gaston-Breton, C. and Martín, O,. International market selection and segmentation: A two‐stage model, International Marketing Review, 28(3), pp. 267-290, 2011. 🠔
  42. [42] Miečinskienė, A., Stasytytė, V. and Kazlauskaitė, J., Reasoning of export market selection, Procedia - Social and Behavioral Sciences, 1(110), pp. 1166-1175, 2014. 🠔
  43. [43] International Trade Centre, [Online]. 2014 [date of reference October 2th of 2015]. Available at: Available at: http://www.intracen.org/ [URL] 🠔
  44. [44] The World Bank, [Online]. 2014 [date of reference October 2th of 2015]. Available at: Available at: http://data.worldbank.org/indicator [URL] 🠔
  45. [45] Banker, R., Charnes, A., Cooper, W., Swarts, W. and Thomas, D., An introduction to data envelopment analysis with some of its models and their uses, Research in governmental and nonprofit accounting, 5(1), pp. 125-163, 1989. 🠔
  46. [46] Friedman, L. and Sinuany-Stern, Z., Combining ranking scales and selecting variables in the DEA context: The case of industrial branches, Computers and Operations Research, 25(9), pp. 781-791, 1998. 🠔
  47. [47] Dyson, R., Allen, R., Camanho, A., Podinovski, V., Sarrico, C. and Shale, E., Pitfalls and protocols in DEA, European Journal of Operational Research, 1(132), pp. 245-259, 2001. 🠔
How to cite: Cano, J.A., Campo, E.A. & Baena, J.J., Application of DEA in international market selection for the export of goods, DYNA 84(200), pp. 376-382, 2017.