DYNA
0012-7353
Universidad Nacional de Colombia
https://doi.org/10.15446/dyna.v84n202.63686

Recibido: 30 de marzo de 2017; Revision Received: 20 de junio de 2017; Aceptado: 30 de junio de 2017

Remoción de hidrocarburos de aguas de producción de la industria petrolera utilizando nanointermedios compuestos por SiO2 funcionalizados con nanopartículas magnéticas

Crude oil removal from production water using nano-intermediates of a SiO 2 support functionalized with magnetic nanoparticles

J. Villegas, a N. Arcila, b D. Ortega, b C. Franco, a F. Cortés, a

Grupo de Investigación Fenómenos de Superficie-Michael Polanyi, Facultad de Minas, Universidad Nacional de Colombia, Medellín, Colombia. jpvillegasg@unal.edu.co, caafrancoar@unal.edu.co, fbcortes@unal.edu.co Universidad Nacional de Colombia Grupo de Investigación Fenómenos de Superficie-Michael Polanyi Facultad de Minas Universidad Nacional de Colombia Medellín Colombia
Grupo de Investigación Industrial en Diseño de Materiales a partir de Minerales y Procesos (IDIMAP), Sumicol S.A.S., Sabaneta, Colombia. narcila@corona.com.co, dortega@corona.com.co Grupo de Investigación Industrial en Diseño de Materiales a partir de Minerales y Procesos (IDIMAP) Sumicol S.A.S. Sabaneta Colombia

Resumen

El principal objetivo de este trabajo es desarrollar nanointermedios compuestos por un soporte micrométrico de SiO2 funcionalizado con nanopartículas magnéticas para la adsorción de hidrocarburos emulsionados en agua. SiO2 con tamaño < 20 μm fue funcionalizada con nanopartículas de magnetita de 97 nm en una relación de 5% p/p. La eficiencia del nanointermedio fue evaluada mediante experimentos de adsorción por lotes bajo diferentes condiciones de temperatura, pH, salinidad y concentración de crudo. Tanto para el soporte de SiO2 como para el nanointermedio, la cantidad máxima de adsorción se alcanza para tiempos inferiores a 100 minutos. Las capacidades adsortivas del nanointermedio fueron comparadas utilizando un material comúnmente empleado en la industria petrolera. Adicionalmente, los materiales pueden ser regenerados mediante procesos térmicos para su posterior reutilización. Se observó que la inclusión de las nanopartículas de magnetita al soporte de SiO2 proporciona un efecto catalítico en la descomposición de los hidrocarburos adsorbidos.

Palabras clave:

Agua de Producción, Adsorción, Nanointermedio, Petróleo, Pirólisis, Oxidación..

Abstract

This work aims to develop nano-intermediates adsorbents based on micrometric silica functionalized with magnetite nanoparticles with high efficiencies in the oil removal, additionally to high catalytic activities in the decomposition of the crude oil adsorbed. Silica with sizes < 20 μm were functionalized with 5 wt% of magnetite nanoparticles. The efficiency of the adsorbents was evaluated through batch adsorption experiments of oil from oil in water emulsions at different pH, salinity and oil concentration using a UV-vis spectrophotometer. Results showed that for both the SiO2 support and the synthesized nano-intermediate, the adsorption equilibrium was reached in less tan 100 min. A comparison was made by employing a material typically used in the oil and gas industry. After the adsorption process, the materials can be recovered and regenerated trough thermal processes. It was observed that the magnetite nanoparticles over the support act as a catalyst for decomposition of the adsorbed oil.

Keywords:

Production water, Adsorption, Nano-Intermediates, Oil, Pyrolysis, Oxidation..

1. Introducción

La producción de petróleo en Colombia tiene como consecuencia una gran cantidad agua producida, la cual trae en ella diferentes elementos tóxicos. Actualmente las aguas producidas en los campos petroleros traen consigo varios problemas asociados ya que pueden llegar a superficie emulsionadas con petróleo (W/O) y otros componentes nocivos para el medio ambiente. Las empresas operadoras deben disponer adecuadamente de estas aguas para cumplir con las normas ambientales exigidas ya sea en re-inyección en los yacimientos para tener un mayor recobro o disponerlas en fuentes hídricas cercanas. Estas disposiciones finales del agua producida representan altos costos en las operaciones de producción para las empresas [1], por lo que se ha hecho un esfuerzo constante para encontrar alternativas económicamente viables e innovadoras para el manejo de esta problemática.

En la etapa de producción de cualquier campo petrolero el fluido que se produce puede ser una mezcla de varios componentes incluidos el petróleo, agua, gas y/o materiales sólidos como partículas suspendidas, sales disueltas, metales pesados y/o elementos radioactivos, etc. [2]. Es un claro ejemplo la producción de agua en el campo Castilla ubicado en los llanos orientales de Colombia, donde se espera que por 170000 barriles de crudo extraído se produzcan alrededor de 4 millones de barriles de agua [3]. Ante esto, existe la necesidad de realizar la separación adecuada en superficie en aras de aumentar el valor comercial del crudo producido y mitigar posibles problemas ambientales asociados. Los tratamientos realizados a las aguas de producción después de la segregación en separadores a nivel de campo, incluyen fases secundarias y terciarias. La etapa secundaria incluye procesos de flotación de gas (IGF por las siglas en inglés de Induced Gas Flotation) [4, 5]. Para esto se utilizan tanques de IGF que permiten la entrada de un gas determinado al fluido a tratar y cuyas burbujas se adhieren y flotan con el crudo que desea removerse [6]. En cuanto a la etapa terciaria se destacan las tecnologías de oxidación avanzada [6], membranas [7-10], y adsorción [11-14]. Sin embargo, este tipo de tratamientos pueden tener una alta relación costo/beneficio dependiendo los requerimientos de pureza de los fluidos producidos y aunque existen varios trabajos sobre esta problemática aún es difícil encontrar un proceso altamente costo-efectivo. Los procesos adsortivos son los más utilizados debido a su sencillez y baja relación costo/beneficio [11,14,15]. Se tiene el uso de materiales como carbón activado, cascarilla de nuez, arcillas, co-polímeros, zeolitas y resinas [13,14,16] como los más utilizados. La cascarilla de nuez es un producto del proceso de molienda que se realiza al fruto de la palma de coco o africana. Este producto sin ningún tipo de tratamiento o adición de químicos ha presentado capacidades de remoción de crudo en plantas de filtración del orden de 90-99% debido a sus capacidades oleofílicas (preferencia hacia el crudo). Además debido a su disponibilidad y bajo costo representa unos de los materiales más usados en lechos fijos para remoción de crudo y aceites de grandes volúmenes de fluido [16].

Aunque los materiales micrométricos presentan buenas capacidades adsortivas, la nanotecnología ha ganado la atención de los investigadores debido a las propiedades excepcionales que desarrollan los materiales a esta escala. El diminuto tamaño de las nanopartículas, entre 1 y 100 nanómetros hace posible que tengan una alta relación área superficial/volumen que sumado con su naturaleza química permite su aplicación en distintas áreas como almacenamiento, producción y conversión de energía [17-19], y tratamiento de aguas [12,20-25]. En la industria del petróleo se ha visto gran potencial de la nanotecnología en la remoción de petróleo de aguas de producción [11,12,20,26].

Gu et al. [27], emplearon nanocompuestos de polímeros magnéticos e hidrofóbicos para la remoción de aceite de superficies de agua. Los materiales utilizados mostraron alta eficiencia en la adsorción de tres tipos de aceites con capacidades adsortivas de incluso 3 veces el peso del adsorbente y que además pueden ser sencillamente recolectadas mediante la inducción de un campo magnético externo.

Las nanopartículas de sílice con propiedades como buena estabilidad química y térmica, baja densidad, baja toxicidad y mayor área superficial, se presentan también como buenas candidatas para la remoción de hidrocarburos [28,29]. Syed et al. [30], observaron el comportamiento del potencial adsortivo de una nano-silica hidrofóbica (Aerosil R812 con tamaño de 7 nm) en el tratamiento de agua contaminada con gasolina y diésel. Este nanomaterial presenta eficiencias de remoción alrededor del 90% p/p. Los estudios cinéticos indicaron que el 90% de la gasolina es removida después de 5 minutos de contacto. El porcentaje removido del contaminante fue linealmente dependiente de la masa del adsorbente. Recientemente, se ha desarrollado un exhaustivo trabajo en el entendimiento del proceso de adsorción de crudo fuertemente emulsionado en agua usando nanopartículas de alúmina y sílice funcionalizadas con residuo de refinería [1-4]. Se encontró que la funcionalización de las nanopartículas con el residuo de refinería incrementa la hidrofobicidad del material y permite la adsorción selectiva del crudo con porcentajes de hasta 100% de remoción [2,4]. Adicionalmente, se observó que los nanomateriales utilizados presentan altas capacidades adsortivas en ambientes con diferentes temperaturas, pH, concentración de crudo emulsionado, salinidad y dosificación de adsorbente. Sin embargo, el pequeño tamaño de las partículas puede generar problemas a la hora de aplicación a escala industrial debido a altos diferenciales de presión que se pueden generar en las columnas adsortivas en operaciones a nivel de campo, por lo que un material de mayor tamaño que posea propiedades similares a las de las nanopatículas se presenta como una excelente opción para este tipo de aplicaciones. Es el caso de los nanointermedios, los cuales se caracterizan por tener un tamaño micrométrico, que pueden incluir nanomateriales y tomar sus ventajas funcionales y que se prevé tendrán una aplicación directa en el ámbito industrial [63]. El uso de nanopartículas magnéticas permite su implementación tanto a nivel de campo como en circunstancias de derrames petroleros en diferentes tipos de fuentes hídricas. En el caso de su implementación a nivel de campo, las nanopartículas de magnetita pueden ser regeneradas y reutilizadas después del proceso adsortivo debido a sus propiedades catalíticas frente a la descomposición de hidrocarburos pesados. En este sentido, Nassar et al. [31] encontraron que nanopartículas de magnetita tienen una alta afinidad hacia la adsorción de hidrocarburos pesados, en adición a la reducción en la temperatura necesaria para iniciar su descomposición en procesos oxidativos. Adicionalmente, como valor agregado y debido a sus propiedades magnéticas, en el caso de derrames petroleros las nanopartículas magnéticas pueden capturar el crudo y después ser recuperadas mediante la inducción de un campo magnético [32]. Sin embargo, hasta el momento no se ha reportado ningún estudio que utilice nanointermedios para este tipo de aplicaciones. Por ende, este trabajo propende al desarrollo y evaluación de nanointermedios utilizando partículas micrométricas de SiO2 como soporte y nanopartículas magnéticas como material funcionalizantes para la remoción de hidrocarburos de aguas de producción. Se pretende que el desarrollo de un nanointermedio con características catalíticas proporcionadas por las nanopartículas de magnetita permita su recuperación/regeneración para aplicación a escala de campo. Se espera que este estudio abra un mejor panorama acerca de la aplicación de la nanotecnología en la industria petrolera con miras a un posible desarrollo a escala piloto que permita optimizar operaciones de producción y genere un impacto positivo en el medio ambiente.

2. Materiales

Crudo liviano colombiano con una gravedad API de 33°, agua desionizada y KCl (99.5%, ABC Laboratorios, Colombia), fueron utilizados para la preparación de emulsiones de crudo en agua (O/W). El crudo utilizado tiene un contenido de saturados, aromáticos, resinas y asfaltenos de 43.80, 31.72, 22.33 y 2.15 % p/p, respectivamente. HNO3 (65%p/p, CARLO ERBA Reactifs-SDS, Italia) y NaOH (80%, Sigma Aldrich, USA) fueron utilizados para la modificación del pH del sistema. El material de soporte evaluado fue sílice (SiO2) suministrado por Sumicol S.A.S. (Colombia) el material funcionalizante fue magnetita de tamaño nanopartitulado (Nanostructured & Amorphous Materials, Houston, TX). Para el pretratamiento de la sílice y la funcionalización con las nanopartículas de magnetita se utilizó NH4OH (30%, Sigma Aldrich, USA) y etanol (Sigma Aldrich, USA). Adicionalmente, en las pruebas de adsorción por lotes se utilizó un material comúnmente usado en la industria petrolera como la cascarilla de nuez (Bawer, Colombia) con fines comparativos.

3. Metodología

3.1. Caracterización de materiales

El soporte de SiO2, las nanopartículas de magnetita y el nanointermedio fueron caracterizados por adsorción de N2 a -196°C y microscopía electrónica de barrido (SEM por sus siglas en inglés). Las isotermas de adsorción de nitrógeno fueron obtenidos con un Autosorb-1 (Quantacrome) y los valores de área superficial (SBET) calculados usando el modelo de Brunauer, Emmet y Teller [33,34]. Las micrografías fueron tomadas con un microscopio electrónico JSM-6490LV (JEOL, USA).

3.2. Preparación de los nanointermedios

Las partículas de sílice se funcionalizaron con nanopartículas de magnetita en una relación de 5% p/p. Primero, la sílice se seca a 120°C durante 2 h para eliminar cualquier humedad. Se realiza un pretratamiento del soporte en una solución acuosa con NH4OH y etanol en relaciones de 8.5% y 46% v/v, respectivamente. El pretratamiento se realiza bajo agitación a 1500 rpm durante 1 hora y a 25°C para una relación de 4 mL de solución por cada gramo de material [35]. Posteriormente, se agrega la magnetita nanoparticulada para dopar el soporte y se deja agitar por 4 horas más bajo las mismas condiciones de agitación y temperatura. Al finalizar el periodo de agitación, se calienta la suspensión a 150°C para evaporar la solución acuosa. Periódicamente se agrega etanol como agente de limpieza, asegurando que el material quede libre de NH4OH. Finalmente, el material funcionalizado es secado de nuevo durante 2 horas a 120°C para poder eliminar humedad remanente del proceso de funcionalización.

3.3. Preparación de las emulsiones

Las emulsiones de crudo en agua se prepararon mezclando ambos componentes a 16000 rpm durante 20 minutos. La salmuera se preparó mezclando KCl y agua desionizada a 600 rpm, para alcanzar una concentración de 500 mg/L. Las emulsiones neutras se llevaron a condiciones ácidas y básicas adicionando alícuotas específicas de HNO3 al 0.1 N y NaOH al 0.1 N, respectivamente. Se aseguró la estabilidad de las emulsiones monitoreando cada 24 horas el cambio en el tamaño de la gota del aceite usando un microscopio óptico RPL3B (Microscopes INDIA, India) y la absorbancia utilizando un Espectrofotómetro UV-Vis Genesys 10S (Thermo científic, Estados Unidos) [11,12].

3.4. Experimentos de adsorción por lotes

Los experimentos de adsorción por lotes se realizaron mediante colorimetría [12,36] a diferentes temperaturas de 25, 35 y 45°C y a diferentes concentraciones iniciales () de crudo en salmuera de entre 0 y 500 mg/L. Se realizó una curva de calibración de absorbancia en función de la concentración de crudo, utilizando emulsiones a diferentes concentraciones conocidas de crudo en agua con un espectrofotómetro Genesys 10S (Thermo Scientific, Waltham, MA) a una longitud de onda fija de 300 nm con una incertidumbre de 0.001 a.u., o que implica una desviación de 0.05 mg/L en la concentración medida. Se utiliza una relación () de volumen de solución y peso seco de adsorbente de 1 g/L [36]. Las muestras se agitan a 200 rpm por 24 horas para asegurar el equilibrio de adsorción, tomando alícuotas cada 5 minutos. Finalmente, el nanointermedio con el crudo adsorbido es retirado de la solución mediante centrifugación por 5 min a 4000 rpm utilizando una centrífuga Hermle Z 306 (Labnet, Edison, NJ). Finalmente, la cantidad adsorbida () en unidades de mg/g se determina mediante el siguiente balance:

donde es la concentración de petróleo en el sobrenadante medida en el equilibrio. Los experimentos se realizaron por triplicado y el error representado en forma de barras fue calculado mediante el método de Schultz y Cole [37,38].

3.5. Análisis termogravimétricos

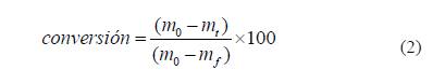
Los procesos de descomposición del crudo adsorbido en el nanointermedio se realizaron bajo atmósferas oxidantes e inertes utilizando aire seco y nitrógeno, respectivamente. Se seleccionaron la muestras con un valor fijo de = 0.2 mg/m2 para fines comparativos y manteniendo un peso inicial bajo cercano a los 5 mg para evitar limitaciones difusionales [39]. Los análisis termogravimétricos se llevaron a cabo utilizando una termobalanza Q50 (TA instruments, Inc., New Castle, DE) bajo flujo constante de 100 mL/min del respectivo gas. Previo al inicio de los análisis, las muestras son secadas a 100°C durante 6 h en una estufa para remover cualquier humedad. Los análisis se realizaron por triplicado para una tasa de calentamiento fija de 10°C/min entre 30 y 800°C, para el crudo adsorbido y para la muestra previa a la adsorción. La actividad catalítica del nanointermedio se evaluará mediante el porcentaje de conversión a determinada temperatura de la siguiente manera:

donde , y son la masa de muestra al principio de la prueba, al final de la prueba y a determinado tiempo , respectivamente.

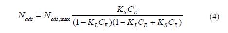
4. Modelos adsortivos

4.1. Modelo doble exponencial

El modelo doble exponencial es utilizado para describir el comportamiento de la cantidad adsorbida en función del tiempo de contacto. El modelo da cuenta del proceso adsortivo teniendo en cuenta un periodo de adsorción rápida y un periodo lento. La ecuación que describe el modelo doble exponencial es la siguiente [40, 41]:

donde (mg/g) es la cantidad adsorbida para uno determinado tiempo (min). Asimismo, (min-1) y (min-1), así como (mg/L) y (mg/L), son las constantes cinéticas de adsorción y los coeficientes de adsorción para los pasos lento y rápido, respectivamente [42].

4.2. Modelo de Brunauer-Emmet-Teller

El modelo de Brunauer-Emmet-Teller (BET)[43, 44] describe el fenómeno de adsorción mediante procesos multicapa y/o monocapa para sistemas líquido-sólido mediante las constantes de equilibrio (L/mg) y (L/mg), respectivamente [44]:

con (mg/g) como la capacidad máxima de adsorción.

5. Resultados

5.1. Caracterización de materiales

La eficiencia del proceso de funcionalización fue mayor al 90% y fue corroborada mediante gravimetría. El soporte de SiO2, las nanopartículas de magnetita y el nanointermedio sintetizado fueron caracterizados mediante adsorción de N2 y microscopía electrónica de barrido. En la Tabla 1 se presentan los resultados de tamaño promedio de partícula (Dp50) y área superficial para los materiales evaluados y en la Fig. 1 se presentan las imágenes SEM del nanointermedio obtenido para aumentos de a) X4000 y b) X30000.

Imágenes SEM del nanointermedio obtenido para aumentos de a) х4000 y b) х30000.

Figura 1: Imágenes SEM del nanointermedio obtenido para aumentos de a) х4000 y b) х30000.

Fuente: Elaboración propia.

Tabla 1: Área superficial (SBET) y tamaño promedio de partícula (Dp50) del soporte de SiO2, de las nanopartículas de magnetita y del nanointermedio con 5% p/p de nanopartículas de magnetita.

Fuente: Elaboración propia.

En la Fig. 1 se observa que las nanopartículas tienden a aglomerarse sobre la superficie de las partículas de SiO2 una vez realizado el proceso de funcionalización, con tamaños promedio de agregado de aproximadamente 2 μm. Sin embargo, se observa una buena dispersión del material nanométrico sobre la superficie del soporte. Adicionalmente, en la Tabla 1 se puede observar que el área superficial del nanointermedio aumenta en comparación con el soporte de SiO2 debido a la presencia de las nanopartículas de magnetita en el sistema.

5.2. Cinéticas de adsorción

La cantidad adsorbida se registró en función del tiempo para el nanointermedio y para cada uno de sus componentes por separado, a una temperatura de 25°C y a un valor de pH = 7. En la Fig. 2 se presentan las cinéticas de adsorción de crudo en a) el soporte de SiO2, b) las nanopartículas de Fe3O4 y c) el nanointermedio para concentraciones iniciales de 100, 300 y 500 mg/L. Se observa que en todos los casos la cantidad adsorbida aumenta a medida que la concentración inicial de crudo aumenta. En general, el tiempo que demora el sistema para alcanzar el equilibrio depende de la concentración inicial de crudo en la muestra y del tipo de adsorbente y aumenta a medida que aumenta. Para el soporte de SiO2, la capacidad máxima de adsorción de crudo se alcanza a tiempos de 50, 80 y 90 min para de 100, 300 y 500 mg/L, respectivamente. Asimismo, en el caso de las nanopartículas de Fe3O4, los tiempos requeridos por el material para alcanzar el equilibrio de adsorción se encuentran a 30, 50 y 80 minutos, respectivamente. En el caso del nanointermedio, se observa que para de 100 y 300 mg/L, la cantidad máxima adsorbida se alcanza al mismo tiempo que en el caso de las nanopartículas de magnetita. Sin embargo, para el caso de = 500 mg/L el equilibrio se logra a los 60 min, lo que indica que el tiempo requerido por el material híbrido es reducido en aproximadamente 25 y 33% en comparación con las nanopartículas de Fe3O4 y el soporte de SiO2, respectivamente. Estos resultados son de gran importancia debido a que en una potencial aplicación a escala de campo, los tiempos de retención pueden ser drásticamente disminuidos mediante el uso de los nanointermedios.

Cinéticas de adsorción de crudo en a) soporte de SiO2, b) nanopartículas de magnetita y c) nanointermedio para concentraciones iniciales de 100 (∆), 300 (□) y 500 mg/L (○) a 25°C y pH = 7. Los marcadores son los datos experimentales y la línea continua representa el modelo doble exponencial.

Figura 2: Cinéticas de adsorción de crudo en a) soporte de SiO2, b) nanopartículas de magnetita y c) nanointermedio para concentraciones iniciales de 100 (∆), 300 (□) y 500 mg/L (○) a 25°C y pH = 7. Los marcadores son los datos experimentales y la línea continua representa el modelo doble exponencial.

Fuente: Elaboración propia.

El modelo doble exponencial fue empleado para describir las cinéticas de adsorción de crudo en el nanointermedio y cada uno de sus componentes. En la Tabla 2 se presentan los parámetros obtenidos del modelo doble exponencial para las cinéticas de adsorción mostradas anteriormente (Fig. 2). Se observa que el modelo representa adecuadamente los datos experimentales con valores de > 0.98 y < 7.5. Los resultados indican que el proceso inicia rápidamente mediante la difusión del adsorbato sobre la superficie del adsorbente y es seguido por un proceso gradual en el cual el adsorbato alcanza los sitios activos en la superficie del adsorbente [11, 12].

Tabla 2: Parámetros estimados para el modelo doble exponencial para la adsorción de crudo en el soporte de SiO2, las nanopartículas de magnetita y el nanointermedio para concentraciones iniciales de 100, 300 y 500 mg/L (○) a 25°C y pH = 7.

Fuente: Elaboración propia.

5.3. Isotermas de adsorción

Las isotermas de adsorción de crudo se construyeron utilizando el nanointermedio y cada uno de sus componentes como adsorbentes. Adicionalmente, se utilizó cascarilla de nuez con fines comparativos para corroborar la eficiencia del nanointermedio sintetizado. Se evaluó el efecto del tipo de adsorbente, temperatura, pH y salinidad.

5.3.1. Efecto del tipo de adsorbente

En la Fig. 3 se presentan las isotermas de adsorción junto con el modelo BET para a) soporte de SiO2 y cascarilla de nuez, y b) nanopartículas de Fe3O4 y nanointermedio, obtenidas a 25°C y para un pH = 7. Se observa que para el caso del soporte de SiO2, las nanopartículas de Fe3O4 y el nanointermedio, las isotermas de adsorción siguen un comportamiento tipo II según la clasificación de la International Union of Pure and Applied Chemistry (IUPAC) [34]. Estas isotermas son características de sistemas con alta afinidad en la pareja adsorbato - adsorbente y que además fomentan un proceso de adsorción multicapa para concentraciones elevadas.

Isotermas de adsorción de crudo en a) soporte de SiO2 y cascarilla de nuez, y b) nanopartículas de magnetita y nanointermedio a 25°C y pH = 7. Los marcadores son los datos experimentales y la línea continua representa el modelo BET.

Figura 3: Isotermas de adsorción de crudo en a) soporte de SiO2 y cascarilla de nuez, y b) nanopartículas de magnetita y nanointermedio a 25°C y pH = 7. Los marcadores son los datos experimentales y la línea continua representa el modelo BET.

Fuente: Elaboración propia.

En el caso de la isoterma de adsorción para la cascarilla de nuez, esta presenta un comportamiento tipo Ib [34], características de sistemas con alta afinidad y con un comportamiento monocapa. En la Fig. 3 se observa que, para todo el rango de concentraciones evaluado, la cantidad adsorbida aumenta en el orden nanopartículas de Fe3O4 > nanointermedio > soporte de SiO2 > CN, indicando que la funcionalización de la sílice con las nanopartículas fue efectiva en el incremento de la capacidad adsortiva del material. Para una valor de = 450 mg/L donde las isotermas de adsorción pueden ser comparadas, se observan valores de de 48, 45, 17 y 6 mg/g, lo que representa una diferencia del 6% entre las nanopartículas de Fe3O4 y el nanointermedio, y aumentos en la cantidad adsorbida del 62 y 87% entre el nanointermedio y el soporte de SiO2 y la cascarilla de nuez, respectivamente. Los altos valores de adsorción de crudo en las nanopartículas pueden explicarse debido a alta área superficial debido a su tamaño nanométrico. Sin embargo, valores cercanos se logran con el nanointermedio y puede deberse a la sinergia entre los grupos funcionales presentes en las nanopartículas y en el soporte de SiO2 que propician la adsorción del crudo a partir de diferentes selectividades. En este sentido, los heteroátomos presentes en el crudo tienen un papel importante en el proceso adsortivo. Generalmente, heteroátomos como O, S y N pueden encontrarse en compuestos pesados del crudo tales como asfaltenos o resinas (ver Sección 2) [45-48]. La interacción entre la sílice y el crudo se da primordialmente por el grupo funcional Si-OH con los grupos hidroxilo en los diferentes componentes del crudo . Además, se ha evidenciado que la adsorción mediante grupos funcionales con S se da generalmente para superficies con un carácter básico y que además lleva a un valor bajo de cantidad adsorbida [49, 50]. Curtis et al. [51], reportan que la afinidad entre componentes presentas en el grupo y la sílice puede darse en el orden fenilsulfoxido > quinolina > fenol > ácido benzoico > benzofenona > benzoato de bencilo > pirona. En el caso de las nanopartículas de Fe3O4, Nassar et al. [31] observaron que la adsorción de compuestos pesados del crudo aumenta a medida que la cantidad de N aumenta, y por el contrario disminuye cuando el peso molecular del componente, la relación H/C y el contenido de azufre aumentan. Sin embargo, los grupos funcionales contenedores de N pueden tener característica ácida o básica como es el caso de la piridina y el pirrol, respectivamente, lo que puede ocasionar que los componentes presenten en el crudo interactúen diferente con la superficie del material [12].El efecto sinérgico entre el soporte de SiO2 y las nanopartículas de magnetita es claro debido a que el valor de para el nanointermedio es mayor que el calculado mediante la suma de los aportes individuales del soporte y el material funcionalizante. Para el caso de = 450 mg/L, el valor resultante de mediante la suma de los aportes individuales sería aproximadamente 19 mg/g, lo que representa una diferencia del 136% en comparación con el valor obtenido experimentalmente para el nanointermedio.

En la Tabla 3 se presentan los valores estimados de los parámetros , y del modelo BET, el cual describe de buena manera los datos experimentales de acuerdo a los valores de > 0.98 y < 6.3.En general, se observa que sigue la tendencia CN > soporte de SiO2 > nanointermedio > nanopartículas de Fe3O4 y está en concordancia con los valores observados experimentalmente. El parámetros asociado con la afinidad entre el adsorbato y el adsorbente específicamente en procesos monocapa, sigue las tendencia nanopartículas de Fe3O4 > nanointermedio >> CN > soporte de SiO2, indicando que los sistemas en presencia de nanopartículas presenta una mayor afinidad que aquellos en ausencia de las mismas. De manera similar, en el caso del parámetro asociado con el fenómeno de adsorción multicapa, este sigue la tendencia nanopartículas de Fe3O4 > nanointermedio > soporte de SiO2 > CN. Al comparar los resultados entre el soporte de SiO2 y CN, y de acuerdo con la forma de las isotermas de adsorción, se observa que la sílice tiene valores más altos de cantidad adsorbido debido a que tiene una tendencia mayor a adsorber el crudo en multicapas en contraste con la CN que propicia un fenómeno estilo monocapa.

Tabla 3: Parámetros estimados para el modelo BET para la adsorción de crudo en el soporte de SiO2, las nanopartículas de magnetita, el nanointermedio y cascarilla de nuez. Fuente: Elaboración propia.

Fuente: Elaboración propia.

5.3.2. Efecto de la temperatura

Las isotermas de adsorción se realizaron para el nanointermedio sintetizado a temperaturas de 35, 45 y 55°C para un valor de pH = 7. En la Fig. 4 se presentan las isotermas de adsorción de crudo en el nanointermedio para las diferentes temperaturas evaluadas junto con el ajuste realizado con el modelo BET. Las isotermas de adsorción presentan un comportamiento tipo II según la IUPAC [34]. Sin embargo, se observa que apra valores de > a 400 mg/L la pendiente de las isotermas de adsorción se reduce a medida que aumenta la temperatura y puede deberse a que se fomenta el fenómeno de adsorción tipo monocapa. En general, se observa que la cantidad adsorbida disminuye a medida que aumenta la temperatura del sistema. Para una valor fijo de = 290 mg/L, las cantidades adsorbidas son aproximadamente 12, 16, 18 y 23 mg/g para temperaturas de 55, 45, 35 y 25°C respectivamente. Los resultados sugieren que la temperatura tiene un efecto significativo en las fuerzas de interacción entre el crudo y el nanointermedio y que el proceso de adsorción es de tipo exotérmico [12]. Los resultados están en concordancia con aquellos reportados por Franco et al. [11,12], quienes evaluaron la adsorción de crudo en nanopartículas de alúmina funcionalizadas con residuo de refinería y encontraron que a medida que la temperatura del sistema aumenta, la cantidad adsorbida disminuye. Los parámetros obtenidos del modelo BET para al adsorción de crudo en el nanointermedio a diferentes temperaturas se presentan en la Tabla 2. En general, se observa que el modelo presenta un buen ajuste y que a medida que la temperatura del sistema aumenta, los valores de aumentan se promueve un proceso de adsorción tipo monocapa y viceversa.

Isotermas de adsorción de crudo en el nanointermedio a 25, 35, 45 y 55°C con pH = 7. Los marcadores son los datos experimentales y la línea continua representa el modelo BET.

Figura 4: Isotermas de adsorción de crudo en el nanointermedio a 25, 35, 45 y 55°C con pH = 7. Los marcadores son los datos experimentales y la línea continua representa el modelo BET.

Fuente: Elaboración propia.

5.3.3. Efecto del pH

El efecto de diferentes valores de pH de 4 y 10 fue evaluado en la adsorción de crudo en el nanointermedio para una temperatura fija de 25°C. Los resultados de las isotermas de adsorción construidas a diferentes valores de pH son presentados en la Fig. 5 junto con el ajuste obtenido para el modelo BET. Los resultados indican que el comportamiento de la isoterma de adsorción (tipo II) no se ve afectado por cambios en el pH y que la capacidad adsortiva aumenta a medida que aumenta el pH. Esto se debe a que diferentes grupos funcionales presentes en el crudo tales como carboxilo, quetonas, aldehídos, benzotiofenos, dibenzotiofenos, alquil aril o alkil sulfoxidos, entre otros, pueden sufrir cambios mediante modificaciones en el pH [11,12]. Por ejemplo, grupos nitrogenados como pirrol y piridia pueden encontrarse o no en su forma protonada dependiendo de su constante de acidez (pKa) y del pH del sistema, lo que directamente afecta su adsorción sobre el nanointermedio. De acuerdo al parámetro del modelo BET (Tabla 2), se observa que el fenómeno multicapa toma mayor importancia a medida que incrementa el valor de pH.

Isotermas de adsorción de crudo en el nanointermedio para diferentes valores de pH de 4, 7 y 10 a una temperatura de 25°C. Los marcadores son los datos experimentales y la línea continua representa el modelo BET.

Figura 5: Isotermas de adsorción de crudo en el nanointermedio para diferentes valores de pH de 4, 7 y 10 a una temperatura de 25°C. Los marcadores son los datos experimentales y la línea continua representa el modelo BET.

Fuente: Elaboración propia.

5.3.4. Efecto de la salinidad

La adsorción de crudo en el nanointermedio se realizó también para emulsiones tipo O/W de crudo en agua desionizada y de crudo en una salmuera preparada con 500 mg/L de KCl. El efecto de la salinidad en el proceso adsortivo es de gran importancia debido a que generalmente las aguas de producción contienen diferentes sales que pueden afectar la interacción entre el crudo y el adsorbente. En la Fig. 6 se presentan las isotermas de adsorción para ambos sistemas en ausencia y presencia de KCl a una temperatura de 25°C y un pH = 7, junto con el ajuste para el modelo BET. Se observa que para todo el rango de concentraciones evaluado, los valores de son mayores en presencia de KCl. Esto puede deberse a que los iones Cl- actúan de manera repulsiva con aquellos grupos ácidos en la superficie del nanointermedio y favorece la afinidad entre la pareja crudo - adsorbente. Los resultados están en concordancia con lo reportado en estudios previos [11,12], en donde se evidenció que las isotermas de adsorción de crudo en nanopartículas de alúmina presentaban mejores capacidades adsortivas en presencia de una sal. El modelo BET se ajustó adecuadamente a los datos experimentales con valores de = 0.99 y = 3.19. Los valores obtenidos para los parámetros , y fueron 15.4 mg/g, 1.57 х 10-3 L/mg y 52.8 L/mg, respectivamente.

Isotermas de adsorción de crudo en el nanointermedio para diferentes concentraciones de KCl a una temperatura de 25°C y para un pH = 7. Los marcadores son los datos experimentales y la línea continua representa el modelo BET.

Figura 6: Isotermas de adsorción de crudo en el nanointermedio para diferentes concentraciones de KCl a una temperatura de 25°C y para un pH = 7. Los marcadores son los datos experimentales y la línea continua representa el modelo BET.

Fuente: Elaboración propia.

5.4. Análisis termogravimétricos

Una de las principales características que debe tener un adsorbente en procesos de remoción de hidrocarburos es su capacidad de regeneración. Por lo tanto, se espera que el nanointermedio sintetizado pueda ser regenerado mediante la desorción del crudo bajo ciertas condiciones de temperatura. Dependiendo del proceso que se siga, los sub-productos de la regeneración pueden tener diferentes características. En un proceso de descomposición bajo atmósfera inerte se espera la formación de hidrocarburos livianos que tengan cierto valor agregado. Por otra parte, si la descomposición se realiza mediante fenómenos de oxidación, uno de los mayores sub-productos esperados es CO2, el cual podría ser inyectado a condiciones de yacimiento en procesos de recobro mejorado (EOR por sus siglas en inglés).

La descomposición del crudo previamente adsorbido en el nanointermedio a partir de sistemas con diferente valor de pH se evaluó mediante análisis termogravimétricos bajo atmósferas inertes y oxidantes. Debido a las propiedades del material nanoparticulado, la descomposición del crudo en presencia del nanointermedio es catalizada y logra a temperaturas inferiores que para el crudo en ausencia del nanointermedio. En la Fig. 8 se presentan a) la tasa de pérdida de masa y b) la conversión para la descomposición del crudo en presencia y ausencia del nanointermedio bajo una atmósfera oxidante. Como se observa en la Fig. 8a, la tasa de pérdida de masa para el crudo en ausencia de nanointermedio presenta dos máximos alrededor de 300 y 525°C. El primero se debe a la descomposición de los componentes livianos e intermedios del crudo y el segundo a la fracción más pesada como asfaltenos y resinas. Generalmente, la descomposición inicia mediante el rompimiento de las cadenas alifáticas más cortas y posteriormente de los anillos aromáticos presentes [52,53].

En el caso de los asfaltenos y las resinas pesadas, estos son compuestos altamente refractarios compuestos por un núcleo poliaromático rodeado de cadenas alifáticas y que además contienen heteroátomos como S, O y N [45-49]. A temperaturas bajas, la descomposición de la fracción pesada comienza mediante el rompimiento de las cadenas alifáticas y su separación del núcleo aromático. Posteriormente, se rompen enlaces débiles en el núcleo lo que podría conllevar a reacciones de adición y la formación de compuestos más pesados [54]. En presencia de las nanopartículas estas reacciones se pueden suprimir. En la Fig. 7a se observa que para al descomposición del crudo en presencia de los nanointermedios se presenta un solo pico entre 330 y 340°C para la adsorción a partir de los sistemas con diferentes pH. El hecho de que no se presente ningún máximo para temperaturas > 400°C indica que el nanointermedio presenta un efecto catalítico en la descomposición del crudo adsorbido. Esto se corrobora mediante los resultados en la Fig. 7b, donde se observa que conversiones entre 0 y 50% se logran aproximadamente a las mismas temperaturas en todos los casos, pero que conversiones > 50% requieren una mayor energía de activación en el caso del crudo en ausencia de nanointermedio en comparación con el crudo adsorbido.

a) Tasa de pérdida de masa y b) conversión bajo atmósfera oxidante para la descomposición de crudo previo a la adsorción y crudo adsorbido en el nanointermedio a partir de emulsiones con diferentes pH de 4, 7 y 10.

Figura 7: a) Tasa de pérdida de masa y b) conversión bajo atmósfera oxidante para la descomposición de crudo previo a la adsorción y crudo adsorbido en el nanointermedio a partir de emulsiones con diferentes pH de 4, 7 y 10.

Fuente: Elaboración propia.

En la Fig. 8 se presentan a) la tasa de pérdida de masa y b) la conversión para la descomposición del crudo en presencia y ausencia del nanointermedio bajo una atmósfera inerte. De manera similar que en el proceso de oxidación, se observa que la tasa de pérdida de masa presenta dos máximos en 345 y 535°C. El aumento en los valores de los máximos puede deberse a la falta de reactante en el sistema en comparación con el oxígeno en las pruebas en presencia de aire. Para la descomposición del crudo en presencia del nanointermedio, los resultados muestran que se obtiene un solo máximo en la tasa de pérdida de masa cerca a los 400°C, indicando que el efecto catalítico del nanointermedio se obtiene también bajo una atmósfera inerte. Asimismo, en la Fig. 8b se observa que para conversiones mayores a 50% se requieren mayores temperaturas en ausencia del nanointermedio. Estos resultados son promisorios para posteriores aplicaciones a nivel de campo que permitan la descomposición del hidrocarburo a temperaturas bajas para el proceso de regeneración del adsorbente.

a) Tasa de pérdida de masa y b) conversión bajo atmósfera inerte para la descomposición de crudo previo a la adsorción y crudo adsorbido en el nanointermedio a partir de emulsiones con diferentes pH de 4, 7 y 10.

Figura 8: a) Tasa de pérdida de masa y b) conversión bajo atmósfera inerte para la descomposición de crudo previo a la adsorción y crudo adsorbido en el nanointermedio a partir de emulsiones con diferentes pH de 4, 7 y 10.

Fuente: Elaboración propia.

6. Conclusiones

Exitosamente se sintetizó un nanointermedio utilizando partículas micrométricas de SiO2 como soporte y nanopartículas de Fe3O4 como material funcionalizante. Las isotermas de adsorción se construyeron mediante pruebas de adsorción por lotes para el nanointermedio y cada uno de sus componentes por separado. En general, se observó que las isotermas siguen un comportamiento tipo II y que el equilibrio de adsorción se logra en menos de 100 min en todos los casos. La inclusión de las nanopartículas incrementó drásticamente la capacidad de adsorción de la SiO2. Al comparar los resultados con un material comúnmente utilizado en la industria petrolera como la cascarilla de nuez, se evidenció que el nanointermedio tenía una capacidad adsortiva significativamente mayor bajo las condiciones de evaluación. Adicionalmente, mediante análisis termogravimétricos se observó que el nanointermedio sintetizado presenta una alta actividad catalítica en la descomposición del crudo previamente adsorbido. Los resultados de esta investigación abren un excelente panorama a la aplicación de nanointermedios en la industria petrolera para remediación de aguas de producción. En el caso de implementación de la tecnología a nivel de campo, futuros trabajos deben incluir la evaluación de los nanointermedios en lechos empacados bajo condiciones cercanas a las de operación.

Referencias

  1. [1] Bailey B, Crabtree M, Tyrie J, Elphick J, Kuchuk F, Romano C, et al. Control del agua. Oilfield Review. 12(1), pp. 32-53, 2000. 🠔
  2. [2] Nabzar, L. and Duplan, J.-L., Water in fuel production. Oil production and refining. Panorama 9, 2011. 🠔
  3. [3] Colombia Energía. Meta y Vichada, presente y futuro del sector petrolero. 2013. 🠔
  4. [4] Beychok, M.R., Aqueous wastes from petroleum and petrochemical plants, 1967. 🠔
  5. [5] Judd, S., Qiblawey, H., Al-Marri, M., Clarkin, C., Watson, S., Ahmed, A., et al., The size and performance of offshore produced water oil-removal technologies for reinjection. Separation and purification technology. 2014;134:241-6. DOI: 10.1016/j.seppur.2014.07.037. [DOI] 🠔
  6. [6] Alzahrani, S. and Mohammad, A.W., Challenges and trends in membrane technology implementation for produced water treatment: A review. Journal of Water Process Engineering, 4, pp. 107-133, 2014. DOI: 10.1016/j.jwpe.2014.09.007. [DOI] 🠔
  7. [7] Forero, J.E., Diaz, J. y Blandón, V.R., Diseño de un nuevo sistema de flotación para tratamiento de aguas industriales. Journal CT&F Cienc. Tecnol. Futuro, 1(5), pp. 67-75, 1999. 🠔
  8. [8] Hernández, A., Microfiltración, ultrafiltración y ósmosis inversa: EDITUM; 1990. 🠔
  9. [9] Mondal, S. and Wickramasinghe, S.R., Produced water treatment by nanofiltration and reverse osmosis membranes. Journal of Membrane Science, 322(1), pp. 162-170, 2008. DOI: 10.1016/j.memsci.2008.05.039. [DOI] 🠔
  10. [10] Franco, C.A., Nassar, N.N. and Cortés, F.B., Removal of oil from oil-in-saltwater emulsions by adsorption onto nano-alumina functionalized with petroleum vacuum residue. Journal of Colloid and Interface Science, 433, pp. 58-67, 2014. DOI: 10.1016/j.jcis.2014.07.011. [DOI] 🠔
  11. [11] Zabala, R., Mora, E., Botero, O., Cespedes, C., Guarin, L., Franco, C., et al., Nano-technology for asphaltenes inhibition in Cupiagua South Wells. IPTC, International Petroleum Technology Conference, 2014. 🠔
  12. [12] López, R.H., Caracterización de medios porosos y procesos percolativos y de transporte. Tesis de Grado, Universidad Nacional de San Luis, San Luis, Argentina, 2004. 🠔
  13. [13] Sorrell, S., Speirs, J., Bentley, R., Brandt, A. and Miller, R., Global oil depletion-an assessment of the evidence for a near-term peak in global oil production, 2009. 🠔
  14. [14] Carbognani, L., González, M.F., Lopez-Linares, F., Sosa-Stull, C. and Pereira-Almao, P., Selective adsorption of thermal cracked heavy molecules. Energy & Fuels, 22, pp. 1739-1746, 2008. DOI: 10.1021/ef700690v [DOI] 🠔
  15. [15] Jaimes-Campos, D.M., MIPJ. Diseño de la planta de tratamiento de aguas residuales y de produccion evaluando las diferentes alternativas nacionales y extranjeras- aplicacion campo Colorado, Universidad Industrial de Santander, 2009. 🠔
  16. [16] Liu, C., Fan, Y., Liu, M., Cong, H., Cheng, H. and Dresselhaus, M.S., Hydrogen storage in single-walled carbon nanotubes at room temperature. Science, 286, pp. 1127-1129, 1999. DOI: 10.1126/science.286.5442.1127 [DOI] 🠔
  17. [17] Leschkies, K.S., Divakar, R., Basu, J., Enache-Pommer, E., Boercker, J.E., Carter, C.B., et al., Photosensitization of ZnO nanowires with CdSe quantum dots for photovoltaic devices. Nano Letters, 7, pp. 1793-1798, 2007. DOI: 10.1021/nl070430o [DOI] 🠔
  18. [18] Rowell, M.W., Topinka, M.A., McGehee, M.D., Prall, H-J., Dennler, G, Sariciftci NS, et al. Organic solar cells with carbon nanotube network electrodes. Applied Physics Letters. 2006;88:233506. DOI: 10.1063/1.2209887. [DOI] 🠔
  19. [19] Martínez, M., Cortés, F.B. y Franco, C.A., Tratamiento de agua basado en la adsorción de crudo en nanopartículas polares y no polares. Informador Técnico, 77(1), pp. 59-68, 2013. DOI: 10.23850/22565035.45 [DOI] 🠔
  20. [20] Anbia, M. and Amirmahmoodi, S., Adsorption of phenolic compounds from aqueous solutions using functionalized SBA-15 as a nano-sorbent. Scientia Iranica, 18 pp. 446-452, 2011. DOI: 10.1016/j.scient.2011.05.007 [DOI] 🠔
  21. [21] Nassar, N.N. and Ringsred, A., Rapid adsorption of methylene blue from aqueous solutions by goethite nanoadsorbents. Environmental Engineering Science, 29, pp. 790-797, 2012. DOI: 10.1089/ees.2011.0263 [DOI] 🠔
  22. [22] Nassar, N.N., Kinetics, equilibrium and thermodynamic studies on the adsorptive removal of nickel, cadmium and cobalt from wastewater by superparamagnetic iron oxide nanoadsorbents. The Canadian Journal of Chemical Engineering, 90, pp. 1231-1238, 2012. DOI: 10.1002/cjce.20613 [DOI] 🠔
  23. [23] Franco, C.A., Nassar, N.N., Montoya, T. and Cortés, F.B., NiO and PdO supported on fumed silica nanoparticles for adsorption and catalytic steam gasification of colombian C7 asphaltenes. In: Ambrosio J, editor. Handbook on Oil Production Research: Nova Science Publishers, 2014. 🠔
  24. [24] Nassar, N.N., Rapid removal and recovery of Pb (II) from wastewater by magnetic nanoadsorbents. Journal of Hazardous Materials, 184, pp. 538-46, 2010. DOI: 10.1016/j.jhazmat.2010.08.069 [DOI] 🠔
  25. [25] Franco, C., Martínez, M., Benjumea, P., Patiño, E. and Cortés, F., Water remediation based on oil adsorption using nanosilicates functionalized with a petroleum vacuum residue. Adsorption Science & Technology, 32, pp. 197-208, 2014. DOI: 10.1260/0263-6174.32.2-3.197 [DOI] 🠔
  26. [26] Gu, J., Jiang, W., Wang, F., Chen, M., Mao, J. and Xie, T., Facile removal of oils from water surfaces through highly hydrophobic and magnetic polymer nanocomposites. Applied Surface Science, 301, pp. 492-499, 2014. DOI: 10.1016/j.apsusc.2014.02.112 [DOI] 🠔
  27. [27] Wang, D., McLaughlin, E., Pfeffer, R. and Lin, Y., Adsorption of oils from pure liquid and oil-water emulsion on hydrophobic silica aerogels. Separation and purification technology , 99, pp. 28-35, 2012. DOI: 10.1016/j.seppur.2012.08.001 [DOI] 🠔
  28. [28] Najafi, M., Yousefi, Y. and Rafati, A., Synthesis, characterization and adsorption studies of several heavy metal ions on amino-functionalized silica nano hollow sphere and silica gel. Separation and purification technology , 85, pp. 193-205, 2012. DOI: 10.1016/j.seppur.2011.10.011 [DOI] 🠔
  29. [29] Syed, S., Alhazzaa, M. and Asif, M., Treatment of oily water using hydrophobic nano-silica. Chemical Engineering Journal, 167, pp. 99-103, 2011. DOI: 10.1016/j.cej.2010.12.006 [DOI] 🠔
  30. [30] Nassar, N.N., Hassan, A., Carbognani, L., Lopez-Linares, F. and Pereira-Almao, P., Iron oxide nanoparticles for rapid adsorption and enhanced catalytic oxidation of thermally cracked asphaltenes. Fuel. 95, pp. 257-262, 2012. DOI: 10.1016/j.fuel.2011.09.022 [DOI] 🠔
  31. [31] Venkatanarasimhan, S. and Raghavachari, D., Epoxidized natural rubber-magnetite nanocomposites for oil spill recovery. Journal of Materials Chemistry A, 1, pp. 868-876, 2013. DOI: 10.1039/C2TA00445C [DOI] 🠔
  32. [32] Rouquerol, J., Rouquerol, F., Llewellyn, P., Maurin, G. and Sing, K.S., Adsorption by powders and porous solids: Principles, methodology and applications, Academic press, 2013. 🠔
  33. [33] Thommes, M., Kaneko, K., Neimark, A.V., Olivier, J.P., Rodriguez-Reinoso, F., Rouquerol, J., et al., Physisorption of gases, with special reference to the evaluation of surface area and pore size distribution (IUPAC Technical Report). Pure and Applied Chemistry,87, pp. 1051-1069, 2015. DOI: 10.1515/pac-2014-1117 [DOI] 🠔
  34. [34] Fang, M., Volotinen, T.T., Kulkarni, S., Belova, L. and Rao, K.V., Effect of embedding Fe3O4 nanoparticles in silica spheres on the optical transmission properties of three-dimensional magnetic photonic crystals. Journal of Applied Physics, 108(10), 103501, 2010. DOI: 10.1063/1.3509146. [DOI] 🠔
  35. [35] Guzmán, J.D., Betancur, S., Carrasco-Marín, F., Franco, C.A,. Nassar, N.N. and Cortés, F.B., Importance of the adsorption method used for obtaining the nanoparticle dosage for asphaltene-related treatments. Energy & Fuels , 30, pp. 2052-2059, 2016. DOI: 10.1021/acs.energyfuels.5b02841 [DOI] 🠔
  36. [36] Sheikholeslami, M. and Ganji, D., Heat transfer improvement in a double pipe heat exchanger by means of perforated turbulators. Energy Conversion and Management, 127, pp. 112-123, 2016. DOI: 10.1016/j.enconman.2016.08.090 [DOI] 🠔
  37. [37] Schultz, R. and Cole, R., Uncertainty analysis in boiling nucleation. AIChE Symposium Series. pp. 32-38, 1979. 🠔
  38. [38] Nassar, N.N., Hassan, A. and Pereira-Almao, P., Application of nanotechnology for heavy oil upgrading: Catalytic steam gasification/cracking of asphaltenes. Energy & Fuels , 25, pp. 1566-1570, 2011. DOI: 10.1021/ef2001772 [DOI] 🠔
  39. [39] Chiron, N., Guilet, R. and Deydier, E., Adsorption of Cu (II) and Pb (II) onto a grafted silica: isotherms and kinetic models. Water Research, 37, pp. 3079-3086, 2003. DOI: 10.1016/S0043-1354(03)00156-8 [DOI] 🠔
  40. [40] Wilczak, A. and Keinath, T.M., Kinetics of sorption and desorption of copper (II) and lead (II) on activated carbon. Water Environment Research, 65, pp. 238-244,1993. DOI: 10.2175/WER.65.3.7 [DOI] 🠔
  41. [41] Shayan, N.N. and Mirzayi, B., Adsorption and removal of asphaltene using synthesized maghemite and hematite nanoparticles. Energy & Fuels , 29, pp. 1397-1406, 2015. DOI: 10.1021/ef502494d [DOI] 🠔
  42. [42] Brunauer, S., Emmett, P.H. and Teller, E., Adsorption of gases in multimolecular layers. Journal of the American Chemical Society, 60, pp. 309-319, 1938. DOI: 10.1021/ja01269a023 [DOI] 🠔
  43. [43] Ebadi, A., Mohammadzadeh, J.S.S. and Khudiev, A., What is the correct form of BET isotherm for modeling liquid phase adsorption? Adsorption, 15, pp. 65-73, 2009. DOI: 10.1007/s10450-009-9151-3 [DOI] 🠔
  44. [44] Mullins, O.C., The Modified Yen Model†.Energy & Fuels , 24, pp. 2179-2207, 2010. DOI: 10.1021/ef900975e [DOI] 🠔
  45. [45] Mullins, O.C., The asphaltenes. Annual Review of Analytical Chemistry, 4, pp. 393-418, 2011. 🠔
  46. [46] Speight, J., Petroleum asphaltenes-Part 1: Asphaltenes, resins and the structure of petroleum. Oil & Gas Science and Technology, 59, pp. 467-477, 2004. DOI: 10.2516/ogst:2004032 [DOI] 🠔
  47. [47] Franco, C.A., Lozano, M.M., Acevedo, S., Nassar, N.N. and Cortés, F.B., Effects of resin I on asphaltene adsorption onto nanoparticles: a novel method for obtaining asphaltenes/resin isotherms. Energy & Fuels , 30, pp. 264-272, 2015. DOI: 10.1021/acs.energyfuels.5b02504 [DOI] 🠔
  48. [48] Adams, J.J., Asphaltene adsorption, a literature review. Energy & Fuels , 28, pp. 2831-2856, 2014. DOI: 10.1021/ef500282p [DOI] 🠔
  49. [49] Xing, C., Hilts, R. and Shaw, J., Sorption of Athabasca vacuum residue constituents on synthetic mineral and process equipment surfaces from mixtures with pentane. Energy & Fuels , 24, pp. 2500-2513, 2010. DOI: 10.1021/ef901297e [DOI] 🠔
  50. [50] Curtis, C.W., Jeon, Y.W. and Clapp, D.J., Adsorption of asphalt functionalities and oxidized asphalts on aggregate surfaces. Fuel Science & Technology International. 7, pp. 1225-1268, 1989. DOI: 10.1080/08843758908962289 [DOI] 🠔
  51. [51] Franco, C.A., Montoya, T., Nassar, N.N., Pereira-Almao, P. and Cortés, F.B., Adsorption and subsequent oxidation of colombian asphaltenes onto nickel and/or palladium oxide supported on fumed silica nanoparticles. Energy & Fuels , 27, pp. 7336-7347, 2013. DOI: 10.1021/ef4018543 [DOI] 🠔
  52. [52] Montoya, T., Argel, B.L., Nassar, N.N., Franco, C.A. and Cortés, F.B., Kinetics and mechanisms of the catalytic thermal cracking of asphaltenes adsorbed on supported nanoparticles. Petroleum Science, 13(3), pp. 561-571, 2016. DOI: 10.1007/s12182-016-0100-y [DOI] 🠔
  53. [53] Franco, C.A., Nassar, N.N., Montoya, T., Ruíz, M.A. and Cortés, F.B., Influence of asphaltene aggregation on the adsorption and catalytic behavior of nanoparticles. Energy & Fuels , 29, pp. 1610-1621, 2015. DOI: 10.1021/ef502786e. [DOI] 🠔
How to cite: Villegas, J.P., Arcila, N., Ortega, D., Franco, C.A. and Cortés, F.B., Crude Oil Removal from Production Water Using Nano-Intermediates of a SiO2 Support Functionalized with Magnetic Nanoparticles DYNA, 84(202), pp. 65-74, September, 2017.