DYNA
0012-7353
Universidad Nacional de Colombia
https://doi.org/10.15446/dyna.v85n206.64839

Recibido: 12 de mayo de 2017; Revision Received: 11 de marzo de 2018; Aceptado: 25 de abril de 2018

Heavy metal contribution by runoff in a high-altitude megacity: a method based on the road-deposited sediment characterization

Contribución de metales pesados por escorrentía en una megaciudad de elevada altitud: un método basado en la caracterización del sedimento vial

C. Zafra-Mejía, aH. Rondón-Quintana, aÁ. Gutiérrez-Malaxechebarria, a

Environmental Engineering, Faculty of Environment and Natural Resources, Universidad Distrital Francisco José de Caldas, Bogotá D.C., Colombia. czafra@udistrital.edu.co, harondonq@udistrital.edu.co, amgutierrezm@udistrital.edu.co Universidad Distrital Francisco José de Caldas Faculty of Environment and Natural Resources Universidad Distrital Francisco José de Caldas Bogotá D.C. Colombia

Abstract

The objective of this paper is to present the development and application of a method to estimate the heavy metal (HM) contribution derived from the wash-off by runoff on road-deposited sediments (RDS) in a high-altitude megacity (Bogota, Colombia). The method is based on the development of a HM wash-off equation which considers two processes: HM transportation and HM leaching. HM contribution by runoff ranges between 24.7% and 50.3%, relative to the total mass per unit area of HMs associated with dry-weather RDS (Mn, Cd, As, Zn, Cu, Ba, Pb, and Fe). The HMs that show a greater contribution are Cd, Zn, and Mn. RDS size fraction below 250 µm contributes on average 81.6% of the total HM load washed-off by runoff. The findings suggest that the RDS size fraction below 250 µm must be the reference fraction for the control systems design of HM pollution in Bogota city.

Keywords:

heavy metal, surface runoff, urban pollution, wash-off, water quality.

Resumen

El objetivo de este artículo es presentar el desarrollo y aplicación de un método para determinar la contribución de metales pesados (MP) derivados del lavado ejercido por la escorrentía sobre sedimentos viales (SV) en una megaciudad de elevada altitud (Bogotá, Colombia). El método está basado en una ecuación que considera dos procesos: transporte y lixiviación de MP. La contribución de MP por escorrentía varía entre un 24.7-50.3%, con respecto a la masa total por unidad de área de MP asociados con SV de tiempo seco (Mn, Cd, As, Zn, Cu, Ba, Pb y Fe). Los MP que presentan una mayor contribución son Cd, Zn y Mn. La fracción inferior a 250 µm de los SV contribuye en promedio con un 81.6% de la carga total de MP. Los hallazgos sugieren que la fracción inferior a 250 µm es referente para el diseño de sistemas de control de contaminación en Bogotá.

Palabras clave:

metal pesado, escorrentía superficial, contaminación urbana, lavado, calidad del agua.

1. Introduction

Public health research agencies reported the growing interest of studying the pollution by heavy metals (HMs) in urban areas due to its continuous emission [1,2], long residence periods in the environment, transport inside of air masses, deposition on road surfaces [3,4], mobility, and bioavailability [5]. Road-deposited sediment (RDS) accumulated in dry weather were used as indicators of the presence of HMs in urban environments because they represented the accumulation more recent of pollutants [6,7]. Namely, they were sinks of HMs and other compounds that came from different urban pollution sources [8,9]. The main advantage of the RDS use as pollution indicators was that they were subjected to transportation processes, which allowed us to evaluate its mobility in the urban environment [10]; as for example, the RDS transportation exerted by road runoff during rainfall events.

The pollution caused by road runoff water constitutes a great problem in urban areas, since it has been demonstrated that it contains great loads of HMs (mass quantity of HMs) [11,12]. Diffuse pollution generated by road runoff is known as one of the main reasons for water quality deterioration in urban aquatic bodies [13,14]. The significance and interest in knowing this type of flows relies on many studies reporting the presence of high HM concentrations in dissolved form in the runoff water [15,16]. Additionally, the HM contribution associated with the solid fraction of surface runoff has been considered, namely, the proportion of RDS accumulated in dry weather that is washed-off during rainfall events [17,18]. Therefore, the HM load associated with dry-weather RDS must be determined, and the impacts of surface runoff in the drainage systems and receiving waters must be studied in order to perfect the design of pollution prevention systems.

The studies on the HM wash-off phenomenon by road runoff reported rainfall and previous dry-weather period as leading climatic factors [19,20]. RDS transportation by runoff increased with the rainfall intensity [21] and when the previous dry period was prolonged [13]. Malmquist [22] and Reinertsen [23] reported that intense (> 10 mm/h) and successive (four events) rainfalls decreased the RDS load by nearly 80%. Ball et al. [24] found that only the rainfall events with intensities greater than 7 mm/h could be considered as transportation events of the HM load associated with RDS.

In addition to the RDS transportation process, the leaching process exercised by stormwater runoff on the RDS size fraction which was not transported must be taken into account within the HM wash-off phenomenon. Ellis and Revitt [25] reported the following sequence in RDS leaching studies, from the temporal efficiency in the extraction conducted (leaching test: rainwater, mechanical shaker, pH: 6.5, and t = 28 days): Cd > Zn and Cu > Pb. Stone and Marsalek [26] obtained a similar sequence in leaching tests on RDS (leaching test: mechanical shaker, 0.5 N HCl, and t = 12 hours): Cd and Cu > Zn > Pb. Recent studies have also reported a similar sequence [27,28]: Zn and Cu > Pb. These researchers suggested that RDS acted as effective sinks for Pb, but not for Cd and Cu. Additionally, the optimized BCR sequential extraction procedure (leaching test) developed by Sutherland and Tack was used on RDS to fractionate the HM into the following target phases [29]: acid-extractable, reducible, oxidizable, and residual. The above studies suggested that the acid-extractable phase (water soluble, exchangeable, and bound to carbonate) was most suitable for the simulation of turbulent runoff conditions during storm drainage from the roadside surface (it is the bioavailable fraction of HMs).

In the analysis of HM content on RDS, the size fraction below 250 μm was given attention because the consulted literature suggested that this fraction tended to associate the highest HM concentrations. On average, this size fraction tended to accumulate 69% (between 51.2% and 82.5%) of the total HM load (Mn, Cd, Zn, Cu, Pb, Co, Ni, Fe, and Cr) associated with dry-weather RDS [17,21,25,30-35]. The above studies suggested that the size fraction below 250 µm was representative of the dry-weather RDS to characterize the HM content.

This study was done using data from a Latin-American megacity (8.85 million inhabitants in 2015). Bogota (Colombia) is a high-altitude city located in the Andes Mountains (04°36′35″ N, 74°04′54″ W); its average altitude is 2600 masl. The city’s tropical mountain climate is characterized by large hourly temperature variations and average annual rainfall of 797 mm. The city is recognized as the urban center with the greatest population density (26000 inhabitants/km2) and third highest air pollution level in Latin America [36]. In global terms, there have been few published studies that evaluate the behavior of HMs in the urban centers of developing countries with similar physical characteristics and climate conditions; this lack of research has, in part, driven the development of this study.

The objective of this paper is to present the development and application of a method to estimate the HM contribution derived from the wash-off by runoff on RDS in a high-altitude megacity. The above, with respect to the total mass per unit area (load) of HMs associated with dry-weather RDS. The method consists of three phases: climatic characterization of RDS load, evaluation of HM load on dry-weather RDS, and application of a wash-off equation. Two processes are included in the wash-off equation: HM transportation (solid fraction) and HM leaching (dissolved fraction). The method is initially developed on two road surfaces in the cities of Torrelavega (Spain) and Bogotá (Colombia). The development of the method is focused on the following HMs: Zn, Pb, Cu, Cr, Ni, Mn, Cd, Fe, Co, Ba, and As. Subsequently, the method is applied on three road surfaces in Bogota city. The application of the method is focused on two of the HMs most reported by studies on road surfaces: Pb and Cu [37].

2. Materials and methods

2.1. Proposed method

2.1.1. Climatic characterization of RDS load

The two road surfaces for developing the method were in the cities of Torrelavega (Spain, A1) and Soacha (Colombia, A2); Soacha belonged to the metropolitan area of Bogota city (Colombia). A1 road surface was used to validate the results obtained on A2 road surface. Climate data were obtained from stations located at a distance between 300 and 340 m from the road surfaces under study. The three road surfaces to which the proposed method was applied were in Bogota city. These three road surfaces were situated in Fontibón (Z1), Puente Aranda (Z2), and Kennedy (Z3). The climate data were obtained from stations located 10, 38, and 194 meters away from the road surfaces under study, respectively. In A1 road surface, the Atlantic climate (warm) was characterized by abundant rains throughout the year, high humidity, and mild temperatures. In A2, Z1, Z2, and Z3 the Tropical mountain climate (cold) was characterized by abundant rains during the year and a wide variation in temperature (hourly variation between 5 and 22 °C). Table 1 shows the main climatic and physical characteristics of each road surface.

Table 1: Characteristics of the road surfaces under study.

Source: The authors.

The protocol for RDS collection was established having as reference the sampling systems used by other studies [17,21,24,25,38]. RDS samplings were collected in dry weather, next to the road curb (0.40 m), at the same hour, and for a period of 65 for A1 (09/28/2004-12/01/2004), 127 days for A2 (01/07/2010-14/05/2010), and 365 days for Z1, Z3 (05/08/2010-08/05/2011) and Z2 (10/03/2010-03/10/2011), respectively. RDS samples were taken daily for A1, every 3 days for A2, and every 10 days for Z1, Z2, and Z3. Slight variations were found in the sampling frequency due to the occurrence of rainfall events that prevented the RDS collection in dry weather.

The sampling surface had an area of 0.50 m2 (707 mm X 707 mm); the collection area sizes were ensured by placing a wooden frame on the road surface. For the RDS collection a brush with plastic fibers together with a hand dustpan were used. Particle size distribution of RDS (63-2800 μm) was determined using the ISO-11277 method [39]. Fifty-six and 88 RDS samples were collected in A1 and A2, respectively. Finally, a total of 114 RDS samples were collected for application of the proposed method, being 38 samples for each road surface (Z1, Z2, and Z3).

The climatic characterization of RDS load was focused on the following: (i) identification of the climatic periods of dry and rainy weather in the study areas, and (ii) quantification of RDS load (mass quantity of RDS) for each climatic period. Additionally, during the development of the proposed method (A1 and A2), the susceptibility of the RDS to wash-off by runoff (percentage difference relative to the RDS mass before and after each rainfall event) was analyzed as a function of the particle diameter for all rain events during the study period. Finally, we assumed during the application of the proposed method (Z1, Z2, and Z3) that the difference in the RDS load between these climatic periods (i.e., dry and rainy weather) represented the average load washed-off by runoff in rainy weather.

2.1.2. Evaluation of HM load in dry-weather RDS

HM concentration associated with dry-weather RDS was determined by flame atomic absorption spectrometry: ISO-11047 method [39]. RDS samples were previously digested in a mixture of hydrochloric acid and nitric acid (3:1, Aqua Regia): ISO-11466 method [39]. In this study, leaching tests of HMs associated with RDS were carried out considering the DIN 38414-S4 standard [40]: mechanical shaker (10 rpm), deionized water, room temperature (20 °C), and t = 24 hours. In the available literature there were limited discussions on relationship between the sorption behavior of HM species and the water quality of road runoff (e.g., dissolved organic carbon content and pH). Twenty-four leaching tests were performed for each study area (A1 and A2).

The size fraction below 250 μm was chosen as representative of the HM content in dry-weather RDS. An analysis of susceptibility of the HMs to wash-off by runoff was performed and total HM load associated with this size fraction was assumed to be transported by road runoff. The HM load for size fraction was determined from the HM concentration and quantity of RDS by weight associated with each size fraction. Additionally, the leaching effect derived from road runoff on the remaining RDS portion which was not susceptible to wash-off was considered.

2.1.3. Wash-off equation

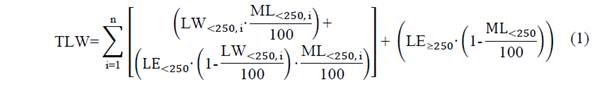
The wash-off equation was:

Where TLW was the HM contribution washed-off by runoff from RDS (%), LW<250, i was the percentage of RDS with size below 250 μm susceptible to transportation (see Table 2), ML<250, i was the percentage of HM load associated with RDS of size below 250 μm (see Table 3), LE<250 was the percentage of HM leaching associated with RDS of size below 250 µm (see Table 4), and LE≥250 was the percentage of HM leaching associated with RDS of size greater than or equal to 250 µm (see median for each HM in Table 4). The median was used as a central-tendency measure in light of the extreme values in the information reported in Table 4. The term (1-LW<250, i/100) represented the RDS proportion with size below 250 µm that was not transported by runoff, but which provided HM by leaching.

TLW value depended on the fractions number of size below 250 µm considered (n). Finally, a second term was included to quantify the HM contribution by the size fraction greater than or equal to 250 µm, if this size fraction was not susceptible to transportation, but leached by road runoff. The term (1-ML<250/100) indicated the HM proportion associated with this size fraction (see Table 3).

Table 2: Average RDS wash-off after rainfall events.

Source: The authors.

Therefore, the wash-off equation included the following phenomena in its two terms. Term 1: (LW<250, i · ML<250, i/100), HM transportation (solid fraction) associated with RDS of size below 250 μm; and (LE<250 · (1-LW<250, i/100) · ML<250, i/100), HM leaching (dissolved fraction) associated with RDS of size below 250 μm. Term 2: (LE≥250 · (1-ML<250/100)), HM leaching (dissolved fraction) associated with RDS of size greater than or equal to 250 µm.

3. Results and discussion

3.1. Development of the method

3.1.1. Climatic characterization of RDS load

The analysis of susceptibility of the RDS to washing by runoff showed on average for the size fraction below 250 µm, that the percentage of RDS transported by runoff during all rainfall events in A1 (asphalt, slope = 0.2-4%, rainfall intensity = 0.7-3.7 mm/h, Atlantic climate) and A2 (asphalt, slope = 1-2%; rainfall intensity = 0.8-4.5 mm/h, tropical mountain climate) was 26.5% and 47.0%, respectively (Table 2). Zhao and Li [52] reported an average RDS wash-off between 15.8% and 11.6% for the size fraction below 1000 µm, using a rainfall simulator (asphalt, slope = 4.1%, rainfall intensity = 46.7 mm/h, humid continental climate).

Vaze and Chiew [38] reported that the road runoff reached to wash-off up to 45% of RDS accumulated in dry weather (asphalt, slope = 10%; rainfall intensity = 4 mm in single burst, size fraction < 3000 µm, oceanic climate). Finally, Tian et al. [53] reported an average RDS wash-off of 37.9% for the size fraction below 300 µm (humid continental climate). The previous differences reported by the studies were probably linked to the rainfall magnitude, evaluated size fraction, pavement roughness, and accumulated amount of RDS on road surfaces tested (i.e., in dry weather).

3.1.2. Evaluation of HM load in dry-weather RDS

On average for A1 and A2, 62.6% and 58.0% of the total HM load in dry-weather RDS was associated with the size fraction below 250 µm, respectively (Table 3). Sartor et al. [30], Ellis and Revitt [25], German and Svensson [31], Zanders [32], Bian and Zhu [17], Zhao et al. [21], Kayhanian et al. [33], Ma and Singhirunnusorn [34], and Bi et al. [35] reported results between 51.2% and 82.5%, with an average of 69.0%.

Table 3: Average HM load in dry-weather RDS with a 95% confidence interval.

Source: The authors.

Table 4: HM leaching in RDS. Comparison between this study and other research.

Source: The authors.

The results of the leaching test performed in A1 and A2 showed that the HMs with higher leaching percentages were Mn and Cd (Table 4). On average, the sequence in leaching tests was the following one: Mn (26.9%) > Cd (26.3%) > As (17.6%) > Zn (16.8%) > Cu (13.5%) > Ba (11.8%) > Pb (9.3%) > Co (9.2%) > Ni (6.3%) > Fe (3.0%) > Cr (2.4%). Average leaching for all HMs under study was 14.1%. Table 4 shows similar results reported by other studies. Nevertheless, differences in the HM leaching tests probably related to the agent and time of extraction, temperature, agitation system, and RDS size fraction were observed. The median of the leaching percentage for all HMs reviewed in Table 4 was 11.8%; median was used as central-tendency measure due to the existence of extreme values in the information reported in Table 4.

3.1.3. Development of the wash-off equation

HM contribution derived from the wash-off by runoff on RDS was calculated from the equation developed for the proposed method (eq. 1). We observed that on average in A1 and A2, 29.0% and 40.3% of the total HM load associated with RDS was washed-off after a rainfall event, respectively (i.e., for Mn, Cd, As, Zn, Cu, Ba, Pb, Co, Ni, Fe, and Cr). Zhao and Li [52] reported that the average HM contribution by road runoff was between 10% and 25% (Pb, Zn, Cu, Cr, and Ni) for the RDS size fraction below 1000 µm and using a rainfall simulator. When calculating for the same HMs reported by these researchers, the present study identified the average HM contribution in A1 and A2 being between 17.1-39.1% and 24.7-48.4%, respectively (see TLW in Table 5). Hamilton et al. [54] and Tian et al. [53] reported a contribution between 6.6-28.9% (Pb, Zn, Cu, and Cd) and 6.1-55.4% (Pb, Zn, Cu, Cr, Ni, and Cd), respectively; this latter being for the RDS size fraction below 40 µm. Thus, we observed that the equation developed for determining the HM contribution tended to overestimate the contribution reported by the previous studies, on average between 1.20 and 2.76 times (Pb, Zn, Cu, Cr, Ni, and Cd). The above, assuming similar climatic and physical characteristics on road surfaces of the studies consulted.

This overestimation of the HM contribution was probably due to the fact that, in the proposed wash-off equation, strong turbulent runoff conditions were considered for the RDS (laboratory leaching tests: DIN 38414-S4 standard, and Tessier and BCR sequential-extraction procedures). It is unlikely that all HMs leached in the laboratory (simulated conditions) would leach with the same intensity during rainfall events (real conditions). Previous comparisons with other studies were useful for validating the proposed simplified method.

In order of precedence, the average contribution for each HM in A1 was: Cd (44.2%) > Mn (42.2%) > Zn (39.1%) > Co (26.0%) > Cu (24.4%) > Pb (24.2%) > Ni (23.6%) > Cr (17.1%) > Fe (16.7%). In A2 the average contribution was: Cd (50.3%) > Zn (48.4%) > Mn (45.4%) > As (44.7%) > Ba (38.7%) > Cu (34.3%) > Pb (32.9%) > Fe (24.7%). On average, the HMs with a greater contribution on road surfaces tested were: Cd (47.3%) > Mn (43.8%), and Zn (43.8%).

We observed that on average for A1 and A2, 83.1% and 81.6% of the total HM load washed-off by runoff was provided by the RDS size fraction below 250 µm, respectively (see T<250 and L<250 in Table 5); this was integrated in the phenomena included in first term of the wash-off equation: transportation (solid fraction of HM) and leaching (dissolved fraction of HM) of RDS < 250 µm (eq. 1). Zhao et al. [21] reported that this size fraction contributed more than 80% of the total HM load washed-off by runoff from RDS.

Table 5: Results for variables and terms of the wash-off equation.

Source: The authors.

On the other hand, the RDS size fraction greater than or equal to 250 µm represented on average a HM contribution for A1 and A2 of 16.9% and 18.4%, respectively (see L≥250 in Table 5); this was integrated in the only phenomenon included in second term of the wash-off equation: leaching (dissolved fraction of HM) of RDS ≥ 250 µm (eq. 1). Wash-off equation allowed us visualizing the following order of precedence from the included phenomena: Term 1 (RDS < 250 µm), HM transportation (67.1%) > HM leaching (15.2%); and Term 2 (RDS ≥ 250 µm), HM leaching (17.7%). On average, solid and dissolved fractions contribute 67.1 and 32.9% of the total HM load washed-off by runoff from RDS, respectively.

3.2. Application of the method

3.2.1. Climatic characterization of RDS load

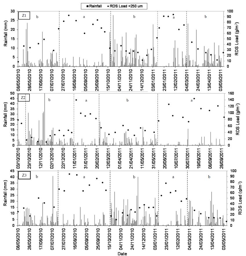
According to the Institute of Hydrology, Meteorology, and Environmental Studies of Colombia (IDEAM), three periods were identified in Z1 and Z3 for the climate phenomenon ‘La Niña-Southern Oscillation’ [55]: (i) 08/05-17/07/2010, (ii) 18/10/2010-09/01/2011, and (iii) 01/03-08/05/2011. In Z2 two periods were identified: (i) 18/10/2010-09/01/2011, and (ii) 24/02-06/06/2011 (see Fig. 1). During the sampling period and in these periods identified, rainfall was 57.7%, 42.3%, and 75.1% higher than the average annual registered by climate stations in Z1 (591 mm/year), Z2 (600 mm/year), and Z3 (706 mm/year), respectively. These periods corresponded to rainy weather, the remaining tested weather being considered as dry one.

Based on the identified climate periods, an estimate of the average RDS wash-off was done for the representative size fraction of HM content (RDS < 250 µm). On average, the RDS load during periods of rainy weather was 28.8 ± 8.1 g/m2, 36.9 ± 7.3 g/m2, and 25.1 ± 6.7 g/m2 in Z1, Z2, and Z3, respectively. RDS load in dry weather was 76.2 ± 9.3 g/m2, 92.2 ± 14.9 g/m2, and 67.1 ± 8.8 g/m2 for Z1, Z2, and Z3, respectively. Therefore, the results showed that during rainy weather there was an average RDS wash-off of 62.2%, 60.0%, and 62.6% for Z1, Z2, and Z3, respectively (Fig. 1).

3.2.2. Evaluation of HM load in dry-weather RDS

On average for Z1, Z2, and Z3, 70%, 48%, and 60% of the total Pb load was associated with the RDS size fraction below 250 µm, respectively. For Cu, there was evidence of a higher association, and more specifically 81%, 57%, and 69%, respectively (Table 6).

Table 6: Average HM load in dry-weather RDS with a 95% confidence interval.

Source: The authors.

3.2.3. Application of the wash-off equation

For applying the method in Z1, Z2, and Z3, the developed wash-off equation (eq. 1) was reduced because only the size fraction below 250 µm was used as indicator of transportation (solid fraction) and leaching (dissolved fraction) of HMs associated with RDS. Thus, there was HM transportation of the size fraction below 250 µm and HM leaching for the size fraction greater than or equal to 250 µm. The reduced wash-off equation was:

Where TLW was the HM contribution washed-off by runoff from RDS (%), LW<250 was the percentage of RDS with size below 250 μm transported by runoff, ML<250 was the percentage of HM associated with RDS of size below 250 μm (Table 6), and LE≥250 was the percentage of HM leaching associated with RDS of size greater than or equal to 250 µm (see median in Table 4). The term (1-ML<250/100) indicated the HM proportion associated with the RDS size fraction greater than or equal to 250 µm (Table 6).

We noted that on average in Z1, Z2, and Z3, 47.1%, 34.9%, and 42.2% of the total Pb load associated with RDS was washed-off after a rainfall event, respectively. For Cu, the contribution was 51.8%, 37.4%, and 45.5%, respectively (see TLW in Table 7). As already observed, Cu tended to show the highest contribution from the application of the reduced wash-off equation because the RDS size fraction below 250 µm associated a higher Cu percentage (average = 69.0%) in comparison with Pb (average = 59.3%), despite showing a lower leaching percentage (Cu = 7.5%; Pb = 11.7%).

Variation of RDS load in Z1, Z2, and Z3. a) Dry weather period, and b) rainy weather period.

Figure 1: Variation of RDS load in Z1, Z2, and Z3. a) Dry weather period, and b) rainy weather period.

Source: The authors.

Table 7: Results for variables and terms of the reduced wash-off equation.

Source: The authors.

Additionally, the HM contribution for each term of the reduced wash-off equation was quantified. We noted that on average in Z1, Z2, and Z3, 92.5%, 82.6%, and 88.9% of the Pb load was provided by the RDS size fraction below 250 µm (HM transportation phenomenon), respectively. The contribution for Cu was 97.3%, 91.4%, and 94.9%, respectively. For Pb, the RDS size fraction greater than or equal to 250 µm contributed on average 7.5%, 17.4%, and 11.1% in Z1, Z2, and Z3, respectively (RDS leaching phenomenon). The contribution for Cu was 2.8%, 8.6%, and 5.1%, respectively. Therefore, the reduced wash-off equation allowed us visualizing on average the following order of precedence from the included phenomena: Term 1, HM transportation (Pb = 88.0% and Cu = 94.5%; solid fraction); and Term 2, HM leaching (Pb = 12% and Cu = 5.5%; dissolved fraction).

After comparing the results obtained during the development and application of the wash-off equation, we noted that the terms associated with the RDS size fraction below 250 µm contributed, for all HMs under study, 82.4% and 91.3% of the total HM load washed-off by runoff, respectively. The results suggested that the percentage associated with this RDS size fraction tended to increase during the application of the reduced wash-off equation, probably because of the elimination of the leaching phenomenon included in the first term of eq. (1). In other words, the total HM load associated with RDS of size below 250 µm was assumed to be transported by runoff with it.

4. Conclusions

The objective of this paper is to present the development and application of a method to estimate the HM contribution derived from the wash-off by runoff on RDS in a high-altitude megacity (Bogotá, Colombia). The above data and interpretation lead us to the following conclusions.

In the development of the method, the HM contribution by runoff ranges between 24.7% and 50.3%; relative to the total mass per unit area of HMs associated with dry-weather RDS of Bogota city (Mn, Cd, As, Zn, Cu, Ba, Pb, and Fe). The HMs presenting a greater contribution are Cd, Zn, and Mn. Wash-off equation allows us visualizing the following order of precedence from the phenomena included in its terms: HM transportation on RDS < 250 µm (solid fraction), HM leaching on RDS ≥ 250 µm (dissolved fraction), and HM leaching on RDS < 250 µm (dissolved fraction). The RDS size fraction below 250 µm contributes on average 81.6% of the total HM load washed-off by runoff. Similar trends for Pb and Cu are observed during the application of the method in Bogota city. The contribution by runoff for Pb and Cu ranges between 34.9-47.1% and 37.4-51.8%, respectively. The size fraction below 250 µm contributes on average 88.0% and 94.5% of the total load of Pb and Cu washed-off by runoff from RDS. The findings suggest that the RDS size fraction below 250 µm must be the reference fraction for the control systems design of HM pollution in Bogota city.

Therefore, the method presented in this paper is proposed as a management tool for responsible institutions of the urban pollution control. It will be useful to establish control strategies in dry weather (e.g., optimizing the street sweeping frequency schedule); and rainy weather, by improving the storm sewers design, retention-detention ponds, permeable pavements, infiltration-exfiltration trenches and basins, etc. Additionally, this method will suppose a future research improvement on the influence of rainfall events in relation with the HM loads washed-off by runoff from RDS.

Nevertheless, the following limitations form part of this study and require further attention. During the development of the method, we observed that the wash-off equation tends to overestimate the HM contribution reported by other studies. This overestimation was probably due to the fact that, in the proposed wash-off equation, turbulent runoff conditions were considered for the RDS (i.e., laboratory leaching tests: DIN 38414-S4 standard, and Tessier and BCR sequential-extraction procedures); and probably not all HMs that can be leached in the laboratory (simulated conditions) could be leached with the same intensity during rainfall events (real conditions).

Conflict of interest

The authors declare that there are no conflicts of interest.

Acknowledgements

Acknowledgements

The authors wish to thank the universities ‘Francisco José de Caldas’ (Colombia) and Cantabria (Spain) for their financial support.

References

  1. [1] Meza-Figueroa, D., De la O-Villanueva, M. and De la Parra, M.L., Heavy metal distribution in dust from elementary schools in Hermosillo, Sonora, México. Atmospheric Environment, 41(2), pp. 276-288, 2007. DOI: 10.1016/j.atmosenv.2006.08.034. [DOI] 🠔
  2. [2] Qing, X., Yutong, Z. and Shenggao, L., Assessment of heavy metal pollution and human health risk in urban soils of steel industrial city (Anshan), Liaoning, northeast China. Ecotoxicology and Environmental Safety, 120, pp. 377-385, 2015. DOI: 10.1016/j.ecoenv.2015.06.019. [DOI] 🠔
  3. [3] Zafra, C., Temprano, J. and Tejero, I., The physical factors affecting heavy metals accumulated in the sediment deposited on road surfaces in dry weather: a review. Urban Water Journal, 14(6), pp. 639-649, 2017. DOI: 10.1080/1573062X.2016.1223320. [DOI] 🠔
  4. [4] Charlesworth, S., de Miguel, E. and Ordóñez, A., A review of the distribution of particulate trace elements in urban terrestrial environments and its application to considerations of risk. Environmental Geochemistry and Health, 33(2), pp. 103-123, 2011. DOI: 10.1007/s10653-010-9325-7. [DOI] 🠔
  5. [5] González, E., Tornero, M.A., Ángeles, Y. and Bonilla, Y.N., Total concentration and speciation of heavy metals in urban origin biosolids. Revista Internacional de Contaminacion Ambiental, 25(1), pp. 15-22, 2009. 🠔
  6. [6] Yuen, J.Q., Olin, P.H., Lim, H.S., Benner, S.G., Sutherland, R.A. and Ziegler, A.D., Accumulation of potentially toxic elements in road deposited sediments in residential and light industrial neighborhoods of Singapore. Journal of Environmental Management, 101, pp. 151-163, 2012. DOI: 10.1016/j.jenvman.2011.11.017. [DOI] 🠔
  7. [7] Melaku, S., Morris, V., Raghavan, D. and Hosten, C., Seasonal variation of heavy metals in ambient air and precipitation at a single site in Washington, D.C. Environmental Pollution, 155(1), pp. 88-98, 2008. DOI: 10.1016/j.envpol.2007.10.038. [DOI] 🠔
  8. [8] Moreno, T., Karanasiou, A., Amato, F., Lucarelli, F., Nava, S., Calzolai, G. and Gibbons, W., Daily and hourly sourcing of metallic and mineral dust in urban air contaminated by traffic and coal-burning emissions. Atmospheric Environment , 68, pp. 33-44, 2013. DOI: 10.1016/j.atmosenv.2012.11.037. [DOI] 🠔
  9. [9] Liu, E., Yan, T., Birch, G. and Zhu, Y., Pollution and health risk of potentially toxic metals in urban road dust in Nanjing, a mega-city of China. Science of the Total Environment, 476-477, pp. 522-531, 2014. DOI: 10.1016/j.scitotenv.2014.01.055. [DOI] 🠔
  10. [10] Amato, F., Schaap, M., Denier van der Gon, H.A.C., Pandolfi, M., Alastuey, A., Keuken, M. and Querol, X., Short-term variability of mineral dust, metals and carbon emission from road dust resuspension. Atmospheric Environment , 74, pp. 134-140, 2013. DOI: 10.1016/j.atmosenv.2013.03.037. [DOI] 🠔
  11. [11] Hilliges, R., Endres, M., Tiffert, A., Brenner, E. and Marks, T., Characterization of road runoff with regard to seasonal variations, particle size distribution and the correlation of fine particles and pollutants. Water Science and Technology, 75(5), pp. 1169-1176, 2017. DOI: 10.2166/wst.2016.576. [DOI] 🠔
  12. [12] Legret, M. and Pagotto, C., Heavy metal deposition and soil pollution along two major rural highways. Environmental Technology, 27(3), pp. 247-254, 2006. DOI: 10.1080/09593332708618641. [DOI] 🠔
  13. [13] Helmreich, B., Hilliges, R., Schriewer, A. and Horn, H., Runoff pollutants of a highly trafficked urban road - correlation analysis and seasonal influences. Chemosphere, 80(9), pp. 991-997, 2010. DOI: 10.1016/j.chemosphere.2010.05.037. [DOI] 🠔
  14. [14] Wijesiri, B., Egodawatta, P., McGree, J. and Goonetilleke, A., Influence of uncertainty inherent to heavy metal build-up and wash-off on stormwater quality. Water Research, 91, pp. 264-276, 2016. DOI: 10.1016/j.watres.2016.01.028. [DOI] 🠔
  15. [15] Stagge, J.H., Davis, A.P., Jamil, E. and Kim, H., Performance of grass swales for improving water quality from highway runoff. Water Research , 46(20), pp. 6731-6742, 2012. DOI: 10.1016/j.watres.2012.02.037. [DOI] 🠔
  16. [16] Kumar, M., Furumai, H., Kurisu, F. and Kasuga, I., Tracing source and distribution of heavy metals in road dust, soil and soakaway sediment through speciation and isotopic fingerprinting. Geoderma, 211-212, pp. 8-17, 2013. DOI: 10.1016/j.geoderma.2013.07.004. [DOI] 🠔
  17. [17] Bian, B. and Zhu, W., Particle size distribution and pollutants in road-deposited sediments in different areas of Zhenjiang, China. Environmental Geochemistry and Health , 31(4), pp. 511-520, 2009. DOI: 10.1007/s10653-008-9203-8. [DOI] 🠔
  18. [18] Aksoy, H., Unal, N.E., Cokgor, S., Gedikli, A., Yoon, J., Koca, K. and Eris, E., A rainfall simulator for laboratory-scale assessment of rainfall-runoff-sediment transport processes over a two-dimensional flume. Catena, 98, pp. 63-72, 2012. DOI: 10.1016/j.catena.2012.06.009. [DOI] 🠔
  19. [19] Mejía, C.A.Z., Pinzón, E.C.L. and González, J.T., Influence of traffic in the heavy metals accumulation on urban roads: Torrelavega (Spain)-Soacha (Colombia). Revista Facultad de Ingenieria, (67), pp. 146-160, 2013. 🠔
  20. [20] Egodawatta, P., Ziyath, A.M. and Goonetilleke, A., Characterising metal build-up on urban road surfaces. Environmental Pollution , 176, pp. 87-91, 2013. DOI: 10.1016/j.envpol.2013.01.021. [DOI] 🠔
  21. [21] Zhao, H., Li, X., Wang, X. and Tian, D., Grain size distribution of road-deposited sediment and its contribution to heavy metal pollution in urban runoff in Beijing, China. Journal of Hazardous Materials, 183(1-3), pp. 203-210, 2010. DOI: 10.1016/j.jhazmat.2010.07.012. [DOI] 🠔
  22. [22] Malmquist, P.A., Atmospheric fallout and street cleaning: Effects on urban storm water and snow, Progress in Water Technology, 10(5), pp. 495-505, 1978. 🠔
  23. [23] Reinertsen, T.R., Quality of stormwater runoff from streets, Proceeding of the Second International Conference on Urban Storm Drainage, 1981. pp. 107-115. 🠔
  24. [24] Ball, J.E., Jenks, R. and Aubourg, D., An assessment of the availability of pollutant constituents on road surfaces. Science of the Total Environment , 209(2-3), pp. 243-254, 1998. DOI: 10.1016/S0048-9697(97)00319-7. [DOI] 🠔
  25. [25] Bryan-Ellis, J. and Revitt, D.M., Incidence of heavy metals in street surface sediments: solubility and grain size studies. Water, Air, and Soil Pollution, 17(1), pp. 87-100, 1982. DOI: 10.1007/BF00164094. [DOI] 🠔
  26. [26] Stone, M. and Marsalek, J., Trace metal composition and speciation in street sediment: Sault Ste. Marie, Canada. Water, Air, and Soil Pollution , 87(1-4), pp. 149-169, 1996. DOI: 10.1007/BF00696834. [DOI] 🠔
  27. [27] Kumar, M., Furumai, H., Kurisu, F. and Kasuga, I., Potential mobility of heavy metals through coupled application of sequential extraction and isotopic exchange: comparison of leaching tests applied to soil and soakaway sediment. Chemosphere , 90(2), pp. 796-804, 2013. DOI: 10.1016/j.chemosphere.2012.09.082. [DOI] 🠔
  28. [28] Li, H., Wang, J., Wang, Q., Qian, X., Qian, Y., Yang, M. and Wang, C., Chemical fractionation of arsenic and heavy metals in fine particle matter and its implications for risk assessment: a case study in Nanjing, China. Atmospheric Environment , 103, pp. 339-346, 2015. DOI: 10.1016/j.atmosenv.2014.12.065. [DOI] 🠔
  29. [29] Sutherland, R.A., Tack, F.M.G. and Ziegler, A.D., Road-deposited sediments in an urban environment: A first look at sequentially extracted element loads in grain size fractions. Journal of Hazardous Materials , 225-226, pp. 54-62, 2012. DOI: 10.1016/j.jhazmat.2012.04.066. [DOI] 🠔
  30. [30] Sartor, J.D., Boyd, G.B. and Agardy, F.J., Water pollution aspects of street surface contaminants. Journal of the Water Pollution Control Federation, 46(3), pp. 458-467, 1974. 🠔
  31. [31] German, J. and Svensson, G., Metal content and particle size distribution of street sediments and street sweeping waste. Water Science & Technology, 46(6-7), pp. 191-198, 2002. 🠔
  32. [32] Zanders, J.M., Road sediment: characterization and implications for the performance of vegetated strips for treating road run-off. Science of the Total Environment , 339(1-3), pp. 41-47, 2005. DOI: 10.1016/j.scitotenv.2004.07.023. [DOI] 🠔
  33. [33] Kayhanian, M., McKenzie, E.R., Leatherbarrow, J.E. and Young, T.M., Characteristics of road sediment fractionated particles captured from paved surfaces, surface run-off and detention basins. Science of the Total Environment , 439, pp. 172-186, 2012. DOI: 10.1016/j.scitotenv.2012.08.077. [DOI] 🠔
  34. [34] Ma, J. and Singhirunnusorn, W., Distribution and health risk assessment of heavy metals in surface dusts of Maha Sarakham municipality. Procedia - Social and Behavioral Sciences, 50, pp. 280-293, 2012. DOI: 10.1016/j.sbspro.2012.08.034. [DOI] 🠔
  35. [35] Bi, X., Liang, S. and Li, X., A novel in situ method for sampling urban soil dust: Particle size distribution, trace metal concentrations, and stable lead isotopes. Environmental Pollution , 177, pp. 48-57, 2013. DOI: 10.1016/j.envpol.2013.01.045. [DOI] 🠔
  36. [36] Sarmiento, R., Hernández, L.J., Medina, E.K., Rodríguez, N. and Reyes, J., Respiratory symptoms associated with air pollution in five localities of Bogota, 2008-2011, a dynamic cohort study. Biomedica, 35(3), pp. 167-176, 2015. DOI: 10.7705/biomedica.v35i0.2445. [DOI] 🠔
  37. [37] Eriksson, E., Baun, A., Scholes, L., Ledin, A., Ahlman, S., Revitt, M. and Mikkelsen, P.S., Selected stormwater priority pollutants - a European perspective. Science of the Total Environment , 383(1-3), pp. 41-51, 2007. DOI: 10.1016/j.scitotenv.2007.05.028. [DOI] 🠔
  38. [38] Vaze, J. and Chiew, F.H.S., Experimental study of pollutant accumulation on an urban road surface. Urban Water, 4(4), pp. 379-389, 2002. DOI: 10.1016/S1462-0758(02)00027-4. [DOI] 🠔
  39. [39] ISO. Standards Handbook. Geneva: International Organization for Standardization, 2000. 🠔
  40. [40] DIN. Determination of leachability by water, 38414-S4. Berlin: German standard methods for examination of water, wastewater and sludge, 1984. 🠔
  41. [41] Sutherland, R.A., Tack, F.M.G., Tolosa, C.A. and Verloo, M.G., Operationally defined metal fractions in road deposited sediment, Honolulu, Hawaii. Journal of Environmental Quality, 29(5), pp. 1431-1439, 2000. DOI: 10.2134/jeq2000.00472425002900050009x. [DOI] 🠔
  42. [42] Li, X., Poon, C. and Liu, P.S., Heavy metal contamination of urban soils and street dusts in Hong Kong. Applied Geochemistry, 16(11-12), pp. 1361-1368, 2001. DOI: 10.1016/S0883-2927(01)00045-2. [DOI] 🠔
  43. [43] Sutherland, R.A., Bed sediment-associated trace metals in an urban stream, Oahu, Hawaii. Environmental Geology, 39(6), 611-627, 2000. DOI: 10.1007/s002540050473. [DOI] 🠔
  44. [44] Banerjee, A.D.K., Heavy metal levels and solid phase speciation in street dusts of Delhi, India. Environmental Pollution , 123(1), pp. 95-105, 2003. DOI: 10.1016/S0269-7491(02)00337-8. [DOI] 🠔
  45. [45] Sutherland, R.A., Tack, F.M.G., Ziegler, A.D. and Bussen, J.O., Metal extraction from road-deposited sediments using nine partial decomposition procedures. Applied Geochemistry , 19(6), pp. 947-955, 2004. DOI: 10.1016/j.apgeochem.2003.11.002. [DOI] 🠔
  46. [46] Lee, H., Lau, S., Kayhanian, M. and Stenstrom, M.K., Seasonal first flush phenomenon of urban stormwater discharges. Water Research , 38(19), pp. 4153-4163, 2004. DOI: 10.1016/j.watres.2004.07.012. [DOI] 🠔
  47. [47] Kartal, S., Aydin, Z. and Tokalioǧlu, S., Fractionation of metals in street sediment samples by using the BCR sequential extraction procedure and multivariate statistical elucidation of the data. Journal of Hazardous Materials , 132(1 SPEC. ISS.), pp. 80-89, 2006. DOI: 10.1016/j.jhazmat.2005.11.091. [DOI] 🠔
  48. [48] Preciado, H.F. and Li, L.Y., Evaluation of metal loadings and bioavailability in air, water and soil along two highways of British Columbia, Canada. Water, Air, and Soil Pollution , 172(1-4), pp. 81-108, 2006. DOI: 10.1007/s11270-005-9063-0. [DOI] 🠔
  49. [49] Pérez, G., López-Mesas, M. and Valiente, M., Assessment of heavy metals remobilization by fractionation: Comparison of leaching tests applied to roadside sediments. Environmental Science and Technology, 42(7), pp. 2309-2315, 2008. DOI: 10.1021/es0712975. [DOI] 🠔
  50. [50] Zhang, M. and Wang, H., Concentrations and chemical forms of potentially toxic metals in road-deposited sediments from different zones of Hangzhou, China. Journal of Environmental Sciences, 21(5), pp. 625-631, 2009. DOI: 10.1016/S1001-0742(08)62317-7. [DOI] 🠔
  51. [51] Li, X., Poon, C. and Liu, P.S., Heavy metal contamination of urban soils and street dusts in Hong Kong. Applied Geochemistry , 16(11-12), pp. 1361-1368, 2001. DOI: 10.1016/S0883-2927(01)00045-2. [DOI] 🠔
  52. [52] Zhao, H. and Li, X., Understanding the relationship between heavy metals in road-deposited sediments and washoff particles in urban stormwater using simulated rainfall. Journal of Hazardous Materials , 246-247, pp. 267-276, 2013. DOI: 10.1016/j.jhazmat.2012.12.035. [DOI] 🠔
  53. [53] Tian, P., Li, Y. and Yang, Z., Effect of rainfall and antecedent dry periods on heavy metal loading of sediments on urban roads. Frontiers of Earth Science in China, 3(3), pp. 297-302, 2009. DOI: 10.1007/s11707-009-0042-4. [DOI] 🠔
  54. [54] Hamilton, R.S., Revitt, D.M., Warren, R.S. and Duggan, M.J., Metal mass balance studies within a small highway dominated catchment. Science of the Total Environment , 59(C), pp. 365-368, 1987. DOI: 10.1016/0048-9697(87)90460-8. [DOI] 🠔
  55. [55] García, M.C., Piñeros, A., Bernal, F.A. and Ardila, E., Climate variability, climate change and water resources in Colombia. Revista de Ingenieria, 36, pp. 60-64, 2012. DOI: 10.15446/esrj.v18n1.39966. [DOI] 🠔
Zafra-Mejía, C., Rondón-Quintana, H and Gutiérrez-Malaxechebarria, A., Heavy metal contribution by runoff in a high-altitude megacity: a method based on the road-deposited sediment characterization. DYNA, 85(206), pp. 85-94, September, 2018.
received the BSc. in Civil Engineering in 2001 (Universidad Industrial de Santander, Colombia), the MSc. degree in Environmental Engineering in 2003, and the PhD. degree in Environmental Engineering in 2012 (Universities de Cantabria y País Vasco, Spain). Since 2006 he worked for the Universidad Distrital Francisco José de Caldas, Colombia. Currently, he is a full professor in the Environment and Natural Resources Faculty. His research interests include: simulation, modeling, and forecasting in stormwater runoff pollution; and time-series analysis and forecasting using statistical and computational intelligence techniques. ORCID: 0000-0002-4061-4897.
received the BSc. in Civil Engineering in 2000 (Universidad Francisco de Paula Santander, Colombia), the MSc. degree in Civil Engineering in 2002, and the PhD. degree in Civil Engineering in 2008 at the Universidad de Los Andes, Colombia. Since 2008 he worked for Universidad Distrital Francisco José de Caldas, Colombia. Currently, he is a full professor in the Environment and Natural Resources Faculty. His research interests include: simulation, modeling and forecasting in environmental impacts for the pavement construction; and time-series analysis and forecasting using statistical and computational intelligence techniques. ORCID: 0000-0003-2946-9411.
received the BSc. in Civil Engineering in 2001 (Universidad Nacional, Colombia), the MSc. degree in Environmental Engineering in 2004 (Universidad de Los Andes, Colombia), and the PhD. degree in Environmental Studies in 2014 (Universidad Pontificia Javeriana, Colombia). Since 2012 he worked for the Universidad Distrital Francisco José de Caldas, Colombia. Currently, he is an associate professor in the Environment and Natural Resources Faculty. His research interests include: simulation, modeling, and forecasting in urban and rural drainage systems; and time-series analysis and forecasting using statistical and computational intelligence techniques. ORCID: 0000-0002-2306-1610.