DYNA
0012-7353
Universidad Nacional de Colombia
https://doi.org/10.15446/dyna.v85n206.65427

Recibido: 1 de junio de 2017; Revision Received: 20 de enero de 2018; Aceptado: 13 de marzo de 2018

Evaluación del riesgo en procesos de tratamiento de agua para el desarrollo de un Plan de Seguridad del Agua - PSA

Risk assessment in water treatment processes for the development of a Water Safety Plan - WSP

A. Pérez-Vidal, aJ. Escobar-Rivera, bP. Torres-Lozada, c

Facultad de Ingeniería, Universidad Santiago de Cali. Cali, Colombia. andrea.perez00@usc.edu.co Universidad Santiago de Cali Facultad de Ingeniería Universidad Santiago de Cali Cali Colombia
Departamento Producción Agua Potable, Empresas Municipales de Cali EMCALI EICE-E.S.P. Cali, Colombia. jcescobar@emcali.com.co Departamento Producción Agua Potable Empresas Municipales de Cali Cali Colombia
Facultad de Ingeniería, Universidad del Valle. Cali, Colombia. patricia.torres@correounivalle.edu.co Universidad del Valle Facultad de Ingeniería Universidad del Valle Cali Colombia

Resumen

Las Plantas de Tratamiento de Agua (PTA) deben garantizar el suministro de agua segura; con este fin, se aplicaron herramientas de evaluación del riesgo para el desarrollo del Plan de Seguridad del Agua (PSA) en una PTA de Cali-Colombia que abastece 1.4 millones de habitantes. Para la identificación de peligros y valoración del riesgo, se usaron cuatro herramientas: análisis exploratorio de datos de turbiedad, visitas de inspección, matriz de peligros/eventos peligrosos y matriz semicuantitativa. En condiciones normales y extremas de turbiedad (>400 - 2500 UNT) se garantiza turbiedad del agua tratada de 0.39±0.15 UNT, mostrando la robustez de la PTA. El 60% de los 40 eventos peligrosos presentaron nivel de riesgo muy alto sin considerar medidas de control y se redujeron hasta 7% con medidas de control existentes. Los programas de mejoramiento o soporte se deben orientar hacia las fases del tratamiento identificadas como prioritarias (acondicionamiento químico, coagulación, floculación/clarificación y filtración).

Palabras clave:

agua potable, evento peligroso, identificación de peligros, plan de seguridad del agua, riesgo.

Abstract

Drinking Water Treatment Plants (DWTP) must ensure safe water supply; to this end, we applied risk assessment tools for the development of the Water Safety Plan (WSP) in a DWTP from Cali-Colombia, which supplies 1.4 million inhabitants. For the identification of hazards and risk assessment, four tools were used: exploratory analysis of turbidity data, inspection visits, hazard/hazardous event matrix and semiquantitative matrix. Under normal and extreme conditions of turbidity (>400 - 2500 UNT), it has been guaranteed the turbidity of treated water of 0.39 ± 0.15 UNT, showing the robustness of the DWTP. It was found that sixty percent of the 40 hazardous events had a very high risk level without considering control measures and it was possible reduce to 7% with existing control measures. The improvement or support programs should be directed towards the treatment phases identified as priority (chemical conditioning, coagulation, flocculation/clarification and filtration).

Keywords:

drinking water, hazardous event, hazard identification, water safety plan, risk.

1. Introducción

Para garantizar la seguridad del agua de consumo humano, las guías de calidad de agua potable de la Organización Mundial de la Salud - OMS promueven la aplicación de un enfoque preventivo e integral de evaluación y gestión del riesgo denominado Plan de Seguridad del Agua - PSA, cuyo objetivo principal se centra en el aseguramiento de la calidad del agua a través de la minimización de la contaminación en la cuenca de abastecimiento, la eliminación o reducción de contaminantes durante los procesos de tratamiento y la prevención de la contaminación en el sistema de distribución, almacenamiento y manipulación del agua a nivel intradomiciliario [1].

La Evaluación del Riesgo - ER y la Gestión del Riesgo en los Sistemas de Abastecimiento de Agua Potable - SAAP, son de gran importancia para disminuir la vulnerabilidad y garantizar la seguridad del agua [2]. La ER, además de señalar los posibles peligros y eventos peligrosos (eventos que introducen peligros o impiden su eliminación en el SAAP) y valorar o determinar el nivel de riesgo (probabilidad de ocurrencia de un evento peligroso), permite identificar las medidas pertinentes para controlar los riesgos señalados y sirve para confirmar si se cumplen las normas y metas establecidas por la empresa prestadora del servicio de agua [1,3].

La calidad del agua entregada al usuario final dependerá siempre de la cuenca de abastecimiento, los procesos de tratamiento y el sistema de distribución, por lo que todos estos componentes deben ser la base de la evaluación y gestión del riesgo [2,4,5]. Este estudio hace parte de la evaluación del sistema de abastecimiento de la Ciudad de Cali, alimentado por el río Cauca, en el cual se estudiaron todos los componentes del sistema, desde la cuenca de abastecimiento hasta el usuario final [6-8]. En esta investigación se presentan los resultados asociados al componente procesos de tratamiento, para el cual se adaptaron herramientas de evaluación del riesgo orientadas al desarrollo de un Plan de Seguridad del Agua en la Planta de Tratamiento de Agua Potable - PTA de Puerto Mallarino.

2. Materiales y métodos

Durante el estudio se contó con el soporte del equipo del Plan de Seguridad del Agua - PSA constituido por personal operativo y técnico de la empresa prestadora del servicio de agua, asesores con experiencia en operación y mantenimiento del SAAP de la ciudad y profesionales e investigadores del sector académico. Inicialmente se recopiló y procesó información secundaria disponible en la entidad prestadora del servicio de agua (planos, manuales de operación y mantenimiento, reportes de calidad de agua, etc.), la cual sirvió de insumo para la ER en la PTA de Puerto Mallarino.

Para realizar la ER articulada con la metodología de los PSA, se tomaron como referencia los conceptos y estructuras planteadas en diferentes enfoques [1,9-11]. Se seleccionaron y adaptaron herramientas de apoyo para la ER, la cual comprendió dos etapas: la identificación de peligros y la valoración del riesgo.

2.1. Identificación de peligros

En esta etapa del estudio se aplicaron las siguientes herramientas:

2.1.1. Análisis exploratorio

Se analizó el registro de 15 años de los datos horarios de turbiedad a lo largo del tren de tratamiento, empleando gráficos de dispersión y diagramas de boxplot. La selección de la variable turbiedad se fundamentó en su importancia como indicador de rápida y fácil interpretación para los operadores de PTA [12], utilidad en el monitoreo operacional de las medidas de control a lo largo de todo el SAAP [1], por estar reglamentada por [13] y ser empleada para la determinación del índice de riesgo por calidad de agua (IRCA). Los datos horarios de turbiedad del agua cruda se clasificaron según [14] en condiciones normales y eventos extremos de turbiedad, estos últimos definidos como i) el incremento de la turbiedad del agua cruda igual o superior a 100 UNT en 1 hora y ii) la turbiedad horaria del agua cruda igual o superior a 400 UNT.

2.1.2 Visitas de inspección sanitaria

Se realizaron 5 visitas, en las cuales se inspeccionaron todas las etapas del tratamiento, estructuras, equipos, laboratorios, etc., intentando establecer los diferentes peligros y eventos peligrosos. Se contó con la presencia del personal operativo de la empresa que contribuyó a retroalimentar la información obtenida.

2.1.3. Matriz de peligros y eventos peligrosos

A partir del análisis de la información obtenida en las actividades anteriores y la retroalimentación con miembros del equipo PSA, se elaboró la matriz de peligros y eventos peligrosos para cada una de las fases del tratamiento y se incluyeron estructuras adicionales como canales, tuberías y estaciones de bombeo. La matriz consideró la clasificación de los eventos en las categorías de diseño, operación, mantenimiento, emergencias y factores externos (Ej. Amenazas naturales, deforestación de la cuenca, vandalismo, etc.). Los peligros fueron clasificados en las categorías de biológico, químico, físico, radiológico, asociado a la infraestructura física (daños en instalaciones) y asociado a la cantidad de agua (insuficiencia de agua).

2.2. Valoración del riesgo

El desarrollo de esta etapa comprendió dos actividades, la estimación del riesgo y la identificación de medidas de control, esta última acompañada de la reestimación del riesgo que permitió determinar la eficacia de las actuales medidas de control y generar insumos para la gestión del riesgo:

2.2.1. Estimación del riesgo

Se adaptaron los significados de probabilidad e impacto de la matriz semicuantitativa recomendada por [15,3,1] (Tabla 1). La frecuencia del evento peligroso, definida en la columna de probabilidad, se estableció en función de la gran variabilidad en la calidad del agua de la fuente de abastecimiento (río Cauca) y el elevado riesgo sanitario asociado a los usos del suelo y eventos extremos de turbiedad y contaminación, los cuales han sido reiterativos en el tiempo [6,14].

Tabla 1: Matriz de riesgo semicuantitativa para estimar el riesgo en los procesos de tratamiento.

Fuente: Adaptado de [3,1].

2.2.2. Identificación de medidas de control y reestimación del riesgo

Bajo la dirección del equipo PSA, el apoyo de personal técnico de la empresa y lo reportado en investigaciones previas, se identificaron las medidas de control del riesgo existentes y su eficacia para mitigar cada evento peligroso. Finalmente, se realizó la reestimación del riesgo haciendo uso nuevamente de la matriz semicuantitativa y considerando el nivel de eficacia de las medidas de control.

3. Resultados y discusión

La PTA evaluada tiene una capacidad máxima instalada de 6.6 m3/s y aunque actualmente suministra agua potable al 56% de la población de Cali - Colombia (aprox., 1.4 millones de habitantes), tiene la capacidad para abastecer hasta el 77% de la misma [16]. Como resultado de la etapa de recopilación y procesamiento de la información y de las visitas de inspección sanitaria, se elaboró la descripción detallada de la PTA y la elaboración del diagrama de flujo del proceso (Fig. 1).

Diagrama de flujo simplificado de la PTA de Puerto Mallarino.

Figura 1: Diagrama de flujo simplificado de la PTA de Puerto Mallarino.

Fuente: Los autores

La configuración de la PTA de Puerto Mallarino presenta mayor complejidad comparada con una planta convencional, por incluir tratamientos complementarios, debido a las características de la fuente de abastecimiento, que se encuentra fuertemente impactada por vertimientos industriales, domésticos, escorrentía agrícola, minería, ganadería y deforestación en las subcuencas tributarias [6,14]. El uso de tratamientos específicos como estrategia complementaria del proceso, se articula con el concepto de barreras múltiples [17].

3.1. Identificación de peligros

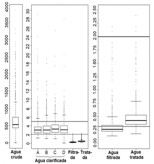
A partir del análisis exploratorio, se construyeron los boxplots mostrados en las Figs. 2 y 3, en las que se observa la variación de los datos horarios de turbiedad a lo largo del tren de tratamiento bajo condiciones normales de operación y eventos extremos de turbiedad.

Variación de la turbiedad en el tren de tratamiento bajo condiciones normales de operación.

Figura 2: Variación de la turbiedad en el tren de tratamiento bajo condiciones normales de operación.

Fuente: Los autores

Variación de la turbiedad en el tren de tratamiento bajo condiciones de evento extremo de turbiedad.

Figura 3: Variación de la turbiedad en el tren de tratamiento bajo condiciones de evento extremo de turbiedad.

Fuente: Los autores

La comparación entre las dos condiciones de operación (turbiedad promedio agua cruda = 168±218 UNT y > 400 UNT) evidencia algunas variaciones en el comportamiento global del tren de tratamiento, principalmente en la fase de clarificación, en la cual se desmejora ligeramente la turbiedad durante los eventos extremos (mayor amplitud del boxplot y desplazamiento de la mediana > 2.0 UNT), sin embargo, la robustez de la tecnología de clarificación por manto de lodos permite el tratamiento de este tipo de aguas con alta variabilidad de turbiedad [14]. Adicionalmente, la barrera de filtración puede asumir las posibles deficiencias en la clarificación, lográndose en ambas condiciones operativas una calidad de agua tratada que cumple con la reglamentación Colombiana (turbiedad ≤ 2 UNT) y en la mayoría de los datos, el cumplimiento de lo establecido por la Unión Europea [18], la EPA [19,20] y reglamentaciones de países como Brasil, Paraguay y Uruguay (turbiedad ≤ 1.0 UNT).

Con relación al agua filtrada, 75% de los datos estuvieron entre 0.11 - 0.38 UNT (promedio 0.31±0.16 UNT), valor muy cercano al límite de 0.3 UNT recomendado por la EPA [20] y WHO [1] antes de la desinfección para lograr la eliminación de patógenos resistentes al cloro; adicionalmente, solo el 0.8% de datos superó el valor de 1.0 UNT establecido para el agua filtrada previa desinfección en reglamentaciones de países como Brasil, Paraguay y Uruguay en las cuales, la turbiedad se asocia a riesgos en la salud, además de los aspectos estéticos y organolépticos [21].

El agua tratada (mediana 0.36 UNT - promedio 0.39 ±0.15 UNT) muestra un ligero incremento de la turbiedad comparada con el agua filtrada (mediana 0.25 UNT) debido a la adición de cal en la fase de acondicionamiento químico, la cual contiene material particulado que aunque incrementa la turbiedad, no compromete la calidad final del agua.

Los resultados del análisis exploratorio, las visitas de inspección sanitaria y la discusión y retroalimentación al interior del equipo PSA permitieron identificar 40 eventos peligrosos parte de los cuales también fueron considerados en otras experiencias PSA [22,23]. La Tabla 2 sintetiza algunos eventos peligrosos y peligros identificados en las fases de tratamiento y componentes del sistema.

Tabla 2: Fragmento de la matriz de peligros y eventos peligrosos en los procesos de tratamiento.

Fuente: Los autores

La mayoría de los eventos peligrosos se clasificaron en las categorías de mantenimiento, factores externos y operación; el control de los factores externos se puede dificultar, principalmente, por estar fuera de la gobernabilidad de la empresa prestadora del servicio de agua, lo que podría incrementar los niveles de riesgo, siendo indispensable en la implementación de los PSA la participación de todos actores involucrados en los diferentes componentes del sistema de abastecimiento de agua.

En cuanto al tipo de peligros, predominaron de tipo biológico, químico y físico, asociados a la calidad del agua cruda y la eficiencia del tratamiento, sin desconocer que el peligro asociado a la cantidad de agua disponible también resultó relevante, principalmente por las características de la fuente de abastecimiento cuyo progresivo deterioro ha incrementado el número de paradas de planta [16]; se resalta que no se evidenciaron peligros radiológicos.

Aunque todas las fases del tratamiento de agua influyen considerablemente en la calidad del agua tratada, se identificó que, en lo referente a infraestructura física, el componente canales y tuberías, además de presentar el mayor número de eventos peligrosos (9), resultó un componente muy vulnerable del sistema de tratamiento por su difícil acceso, grado de exposición a corrosión externa y la ausencia de conducciones alternas que suplan sus funciones de transporte.

3.2. Valoración del riesgo

La estimación del riesgo para los 40 eventos peligrosos sin considerar las medidas de control existentes, permitió clasificarlos en: 24 en nivel de riesgo muy alto (60%), 14 en nivel alto (35%) y 2 en nivel medio (5%). Una vez identificadas las medidas de control y considerando su nivel de eficacia, se reestimó el riesgo, obteniéndose una nueva clasificación: 3 en nivel muy alto (7%), 19 en nivel alto (47%), 15 en nivel medio (38%) y 3 en nivel bajo (8%). La Fig. 4 esquematiza el número de eventos peligrosos asociados a cada nivel de riesgo estimado sin y con medidas de control

Estimación del riesgo sin y con medidas de control.

Figura 4: Estimación del riesgo sin y con medidas de control.

Fuente: Los autores

Se destaca que las medidas de control existentes permitieron mitigar el nivel de riesgo de los 40 eventos peligrosos de manera significativa; los 3 eventos peligrosos que aún permanecen en el nivel de riesgo muy alto están relacionados con la fase de acondicionamiento químico y el componente de canales/tuberías debido a la insuficiencia o ineficacia de las medidas de control existentes.

La Fig. 5 muestra los valores promedio y desviación estándar de los riesgos estimados sin y con medidas de control por cada fase del tratamiento y principales componentes.

Valores promedio de los riesgos estimados sin y con medidas de control por cada fase del tratamiento.

Figura 5: Valores promedio de los riesgos estimados sin y con medidas de control por cada fase del tratamiento.

Fuente: Los autores

Aunque la eficiencia de las medidas de control existentes permite reducir considerablemente los niveles de riesgo, aún es necesario concentrar esfuerzos en algunas fases del proceso para reducir los riesgos clasificados como alto y muy alto, siendo prioritarias en su orden las fases de acondicionamiento químico del agua potable, coagulación, floculación/clarificación y filtración, ratificando lo encontrado en el análisis exploratorio. Aunque los resultados de la valoración del riesgo son particulares y específicos para cada SAAP, en algunas experiencias de PSA, las fases de filtración y desinfección en PTA convencionales han resultado con niveles de riesgo alto [22,24,25].

Vale la pena destacar tres medidas de control existentes, dos de las cuales implicaron una importante inversión económica por parte de la empresa prestadora del servicio y que han mostrado su efectividad para reducir el nivel de riesgo de varios de los eventos peligrosos identificados en la PTA, principalmente los relacionados con la elevada turbiedad y bajo nivel de oxígeno disuelto - OD en la cuenca de abastecimiento: i) suspensión de la captación cuando se alcanzan niveles de turbiedad > 2500 UNT, ii) estación de alerta temprana en el río Cauca aguas arriba de la captación que cuenta con medición en línea de OD y turbiedad y iii) reservorio de agua clarificada para garantizar continuidad del servicio durante la suspensión de la captación.

En general, la evaluación del riesgo realizada contribuye al desarrollo del PSA en el SAAP de la ciudad de Cali, permitiendo priorizar los eventos peligrosos sobre los cuales es necesaria la formulación de programas de mejoramiento, soporte o apoyo al PSA que incluyan nuevas medidas de control y correctivas, la optimización de las existentes, programas de capacitación y concientización, mantenimiento y calibración, investigación y desarrollo e importantes obras de inversión en infraestructura, equipos, etc., todo ello como parte de la gestión del riesgo y estrategia de aseguramiento de la calidad del agua.

4. Conclusiones

Las herramientas empleadas para la evaluación del riesgo (análisis exploratorio de datos de turbiedad, visitas de inspección, matriz de peligros/eventos peligrosos y matriz semicuantitativa de riesgo) evidenciaron su potencialidad de uso y adaptación para diferentes sistemas de abastecimiento, facilitando la identificación y priorización de los eventos peligrosos, lo que a su vez contribuye al desarrollo de los PSA y facilita la toma de decisiones en las empresas prestadoras de servicios de agua.

El análisis exploratorio de los datos horarios de turbiedad evidenció la robustez y capacidad de las barreras de tratamiento en la reducción de la turbiedad a niveles adecuados para el control del riesgo microbiológico en las fases de filtración y desinfección. Aunque se observó una asociación entre los eventos extremos de turbiedad en la cuenca de abastecimiento, la robustez de la tecnología de clarificación por manto de lodos evitó incrementos bruscos de la turbiedad del agua clarificada; adicionalmente, la barrera de filtración contribuyó a garantizar niveles de turbiedad acordes a la reglamentación.

La valoración del riesgo mostró la eficacia de las medidas de control existentes en la PTA, logrando reducir el nivel de riesgo de los eventos peligrosos clasificados en un nivel muy alto (60%) al 7%. Sin embargo, es necesario la formulación de varios programas de mejoramiento, soporte o apoyo al PSA orientados a las fases prioritarias, que en su orden fueron: acondicionamiento químico del agua potable, coagulación, floculación/clarificación y filtración.

Teniendo en cuenta la interrelación entre los componentes de un sistema de abastecimiento de agua, es indispensable garantizar de manera integral la evaluación y gestión del riesgo con la participación de todos los actores involucrados en los diferentes componentes (cuenca, procesos de tratamiento, sistema de distribución y usuario final).

Acknowledgements

Agradecimientos

Los autores agradecen a las Empresas Municipales de Cali (EMCALI EICE ESP) por permitir la ejecución del proyecto de investigación y a COLCIENCIAS, la Universidad del Valle y la Universidad Santiago de Cali por la financiación Proyecto 1106-744-54937.

Referencias

  1. [1] World Health Organization. Guidelines for Drinking-water Quality. Genéva: WHO, 2011. 🠔
  2. [2] Lindhe, A., Rosén, L., Norberg, T. and Bergstedt, O., Fault tree analysis for integrated and probabilistic risk analysis of drinking water systems. Water Research, 43(6), pp. 1641-1653, 2009. DOI: https://doi.org/10.1016/j.watres.2008.12.034 [URL] 🠔
  3. [3] Bartram, J., Corrales, L., Davison, A., Deere, D., Drury, D., Gordon, B., Howard, G. and Stevens, M., Water safety plan manual: step-by-step risk management for drinking-water suppliers. Genéva: WHO , 2009. 🠔
  4. [4] Davies, J. and Mazumder, A., Health and environmental policy issues in Canada: the role of watershed management in sustaining clean drinking water quality at surface sources. Journal of Environmental Management, 68(3), pp. 273-286, 2003. DOI: 10.1016/S0301-4797(03)00070-7 [DOI] 🠔
  5. [5] Tuhovcak, L., Rucka, J. and Juhanak, T.B., Risk analysis of water distribution systems, en Pollert, J. & Dedus, B., Security of water supply systems: from source to tap, Netherlands, Springer, 2006. pp 169-182. 🠔
  6. [6] Pérez-Vidal, A., Torres-Lozada, P. and Escobar-Rivera, J.C., Hazard identification in watersheds based on water safety plan approach: case study of Cali-Colombia. Environmental Engineering and Management Journal, 15(4), pp. 861-872, 2016. 🠔
  7. [7] Pérez Amezquita-Marroquin, C.P., Pérez-Vidal, A. and Torres-Lozada, P., Evaluación del riesgo en sistemas de distribución de agua potable en el marco de un plan de seguridad del agua. Revista EIA, 21, pp. 157-169, 2014. 🠔
  8. [8] Pérez-Vidal, A., Amezquita-Marroquin, C. and Torres-Lozada, P., Water safety plans: risk assessment for consumers in drinking water supply systems. Ingeniería y Competitividad, 15(2), pp. 237-251, 2013. 🠔
  9. [9] National Research Council, Committee on Toxicants and Pathogens in Biosolids Applied to Land, Board on Environmental Studies and Toxicology, Division on Earth and Life Studies. Biosolids applied to land: Advancing standards and practices. Washington: National Research Council; 2002. 🠔
  10. [10] Rosén, L., Hokstad, P., Lindhe, A., Sklet, S. and Rostum, J., Generic framework and methods for integrated risk management in water safety plans [online]. TECHNEAU, Europa, 2007, 102 P. Available at: http://www.techneau.org/fileadmin/files/Publications/Publications/Deliverables/D4.1.3.pdf [URL] 🠔
  11. [11] Rinehold, A., Corrales, L., Medlin, E. and Gelting, R., Water safety plan demonstration projects in Latin America and the Caribbean: lessons from the field. Water Science & Technology: Water supply, 11(3), pp. 297-308, 2011. DOI: 10.2166/ws.2011.050 [DOI] 🠔
  12. [12] Burlingame, G.A., Pickel, M.J. and Roman, J.T., Practical applications of turbidity monitoring. Journal of American Water Works Association, 90(8), pp. 57-69, 1998. 🠔
  13. [13] Ministerio de Protección Social, Ministerio de Ambiente, Vivienda y Desarrollo Territorial. Resolución 2115 del 22 de junio de 2007: por medio de la cual se señalan características, instrumentos básicos y frecuencias del sistema de control y vigilancia para la calidad del agua para consumo humano. República de Colombia, Bogotá D.C., 2007. 🠔
  14. [14] Montoya, C., Loaiza, D., Torres, P., Cruz, C.H. y Escobar, J.C., Efecto del incremento en la turbiedad del agua cruda sobre la eficiencia de procesos convencionales de potabilización. Revista EIA , 16, pp. 137-148, 2011. 🠔
  15. [15] Lindhe, A., Integrated and probabilistic risk analysis of drinking water system, BSc. Thesis, Department of Civil and Environmental Engineering oral, Chalmers University of Technology, Göteborg, Sweden, 2008. 🠔
  16. [16] Pérez, A., Delgado, L.G. y Torres, P., Evolución y perspectivas del sistema de abastecimiento de la ciudad de Santiago de Cali frente al aseguramiento de la calidad del agua potable. Ingeniería y Competitividad , 14(2), pp. 69-81, 2012. 🠔
  17. [17] Fournier, B., Gestión del riesgo sanitario en la regeneración del agua, Tesis de especialización, Universidad Politécnica de Cataluña, España, 2006. 🠔
  18. [18] Unión Europea. Directiva 98/83/CE del Consejo, de 3 de noviembre de 1998, relativa a la calidad de las aguas destinadas al consumo humano [online]. UE, 1998, 23 P. Available at: http://eur-lex.europa.eu/legal-content/ES/TXT/PDF/?uri=CELEX:31998L0083&rid=1 [URL] 🠔
  19. [19] Environmental Protection Agency. Optimizing water treatment plant performance using composite correction program - 1998. Edición (EPA/625/6-91/027). USA: EPA, Office of Research and Development, 1998. 🠔
  20. [20] Environmental Protection Agency. National primary drinking water regulations. EPA 816-F-09-004 [online]. EPA, USA, 2009, 6 P. Available at: http://pbadupws.nrc.gov/docs/ML1307/ML13078A040.pdf [URL] 🠔
  21. [21] Pinto, V., Heller, L. and Bastos, R.K.X., Drinking water standards in South American countries: convergences and divergences. Journal of Water and Health, 10(2), pp. 295-310, 2012. DOI: 10.2166/wh.2012.087 [DOI] 🠔
  22. [22] Vieira, J. and Morais, C., Planos de Segurança da Água para consumo humano em sistemas públicos de abastecimento. Portugal: Instituto Regulador de Águas e Resíduos - Universidade do Minho, Braga, Portugal 2005. 🠔
  23. [23] Marini-Bulbarela, E.C., Plan de seguridad del agua para la UNAM. Aplicación de la metodología de los planes de seguridad del agua potable. México: Editorial Académica Española, 2016. 🠔
  24. [24] Environmental & Engineering Managers LTD. Documento técnico lecciones aprendidas del desarrollo del plan de seguridad del agua para el sistema de abastecimiento de agua de Spanish Town en Jamaica [online], Jaimaca, 2008, 16 P. Available at: http://www.bvsde.paho.org/bvsacg/red_lac_psa/casos/jamaica/technicalesp.pdf [URL] 🠔
  25. [25] Caribbean Environmental Health Institute (CEHI). Water Safety Plan Linden Guyana [online]. CEHI, Guyana, 2009, 111 P. Available at: http://www.bvsde.paho.org/bvsacg/red_lac_psa/casos/guyana/WSPFinal.pdf [URL] 🠔
Pérez-Vidal, A., Escobar-Rivera, J. C. & Torres-Lozada, P., Evaluación del riesgo en procesos de tratamiento de agua para el desarrollo de un Plan de Seguridad del Agua - PSA. DYNA, 85(206), pp. 304-310, September, 2018.
obtuvo el título de Ing. Sanitaria en el 2002, de MSc. en Ingeniería en 2007 y Dra. en Ingeniería con énfasis en Ingeniería Sanitaria y Ambiental en 2013, por la Universidad del Valle, Cali - Colombia. Se desempeñó como asistente de investigación y docente cátedra en la Universidad del Valle, como docente tiempo completo en la Universidad de Boyacá y actualmente es profesora titular en la Universidad Santiago de Cali - USC, Colombia. Está categorizada por Colciencias como investigadora asociada. Sus áreas de investigación han sido el tratamiento de agua para consumo humano, tratamiento de aguas residuales y manejo de biosólidos. ORCID: 0000-0001-6989-0441
obtuvo el título de Ing. Sanitario en 1982 de la Universidad del Valle, Cali - Colombia, de MSc. (1993) y Dr. (2001) en Engenharia Civil: Hidráulica e Saneamento de la Universidade de São Paulo - Brasil. Desde 1982 se desempeña como profesional operativo en las Empresas Municipales de Cali EMCALI-EICE-ESP y ha trabajado como docente cátedra en la Universidad Nacional sede Palmira, la Universidad del Valle y la Universidad Santiago de Cali, Colombia. Su área de investigación es la calidad y el tratamiento de agua. ORCID: 0000-0002-2504-0557
obtuvo el título de Ing. Sanitaria en 1982 de la Universidad del Valle, Cali - Colombia, de MSc. (1993) y PhD. (2001) en Engenharia Civil: Hidráulica e Saneamento de la Universidade de São Paulo - Brasil. Desde 1995 hasta la fecha, se encuentra vinculada a la Universidad del Valle como profesora titular. Está categorizada por Colciencias como investigadora senior y es líder del Grupo de Investigación Estudio y Control de la Contaminación Ambiental ECCA con categoría A1. Sus áreas de investigación son calidad del agua, tratamiento de agua para consumo humano, tratamiento de aguas residuales y residuos sólidos. ORCID: 0000-0001-9323-6677