DYNA
0012-7353
Universidad Nacional de Colombia
https://doi.org/10.15446/dyna.v84n203.65460

Recibido: 5 de junio de 2017; Revision Received: 21 de septiembre de 2017; Aceptado: 10 de octubre de 2017

Modelado de compras verdes mediante redes de Petri coloreadas

Model the green procurement based coloured Petri nets

L. Guevara-Ortega, a L. Rodríguez-Urrego, b

Facultad de Estudios en Ambientes Virtuales, Universidad EAN, Bogotá, Colombia. lmguevara@universidadean.edu.co Universidad EAN Facultad de Estudios en Ambientes Virtuales Universidad EAN Bogotá Colombia
Facultad de Ingeniería, Universidad EAN, , Colombia. lrodriguezu@universidadean.edu.co Universidad EAN Facultad de Ingeniería Universidad EAN Colombia

Resumen

Los países desarrollados han implementado políticas de desarrollo sostenible específicamente en Consumo y Producción Sustentable. El proceso de compras verdes suele ser considerado crítico para el adecuado rendimiento de la cadena de suministro porque gestiona y garantiza la adquisición de los productos/servicios para que la empresa cumpla con sus actividades misionales, generando beneficios económicos, mitigando los efectos de sus actividades en el medio ambiente y en la sociedad. Este artículo presenta un modelo para el proceso de compras verdes, basada en una herramienta para la modelación de sistemas de eventos discretos complejos llamada Redes de Petri Coloreadas (RdPC).

Palabras clave:

compras verdes, cadena de suministro sostenible, redes de Petri coloreadas..

Abstract

Developed countries have implemented sustainable development policies specifically in Sustainable Consumption and Production. The green procurement process is often considered critical for the adequate performance of the supply chain because it manages and guarantees the acquisition of the products / services so that the company fulfills its missionary activities, generating economic benefits, mitigating the effects of its activities in the environment and society. This article, presents a model for the green procurement process, based on a tool for the modeling of complex discrete event systems called Coloured Petri Nets (CPN).

Keywords:

Green procurement, coloured Petri nets, sustainability supply chain..

1. Introducción

Existen numerosos antecedentes de enfoques formales en cadenas de suministro sostenibles [1-3], donde se han realizado diversas investigaciones a través de herramientas cuantitativas con métodos analíticos, heurísticos y metaheurísticos y entre ellas se encuentran las Redes de Petri (RdP). El método de anidamiento de compras verdes [4,5], es una herramienta que permite mejorar la capacidad de las organizaciones y el proceso de compras a través de su elección de bienes y servicios en tres aspectos. El primero hace referencia a los aspectos económicos buscando una mejor relación calidad-precio, disponibilidad, rentabilidad, entre otros. En segundo lugar, los aspectos ambientales para mejorar los indicadores sobre el impacto al medio ambiente del producto o servicio en el ciclo de vida. El tercer aspecto social relacionado con los efectos de las decisiones de compra brindando condiciones de trabajo, equidad y dando cumplimiento a los derechos humanos, entre otros.

Para lograr una mayor sostenibilidad las empresas necesitan trabajar con proveedores sostenibles y establecer relaciones a largo plazo con ellos [6].

Las redes de Petri se han utilizado en diferentes campos de aplicación e integrado con herramientas tecnológicas como en la construcción aplicando sistemas automáticos de ayuda, CAD [7], en técnicas de automatización avanzadas en procesos industriales con SAP, modelado dinámico del proceso de trazabilidad de producto con redes de Petri para WorkFlow [8].

Existen múltiples técnicas de modelización de procesos de negocio como son: (diagramas de flujo, diagrama entidad-relación -IDEF- (por sus siglas en inglés “Integrated definition for function modelling”), diagrama de interacción de roles, técnicas orientada a objetos, Redes de Petri, entre otras. Se ha seleccionado la técnica de Redes de Petri para el estudio y modelización del proceso compras verdes, por sus características de robustez y flexibilidad (semántica, representaciones gráficas) [9].

La idea principal de la metodología es el hecho de fusionar subsistemas concurrentes en una sola estructura gráfica y anidar todos los criterios a tener en cuenta en el proceso de compras verdes utilizando el poder de anidamiento o coloreadas de las RdPC.

Antes de explicar la formulación del método es importante resaltar las principales ventajas de las RdPC utilizadas en diferentes estudios de carácter académico.

Las RdPC, permiten anidar marcas que representan la operación normal de un sistema único (una marca) o un proceso con varios subprocesos (varias marcas). Esta capacidad es útil cuando se implementan sistemas complejos.

Otras ventajas de las RdPC brindan una mejor eficiencia del modelado de RdP ya que proporcionan sincronismo, concurrencia, exclusión mutua y compartición de recursos, características que han aportado una mayor capacidad y potencia de representación en los modelos resultantes. También tienen la capacidad de aplicar técnicas de fusionado de lugares, permitiendo así reducir el tamaño de los modelos. Esta capacidad se acentúa más con las denominadas Redes de Petri Coloreadas (RdPC) [10,11].

2. Criterios de selección de proveedores sostenibles

La selección de proveedores en la gestión de la cadena de suministro sostenible se considera crucial en las decisiones de compra [12,13], mejorando los beneficios para la organización como son: reducción de los costos, mitigar el riesgo, generación de nuevas fuentes de ingresos e incrementar el valor de la marca, entre otras [14].

Existen diferentes estudios que han abordado la selección de proveedores los cuales han permitido determinar una variedad de criterios. Los criterios económicos hacen referencia a un adecuado manejo de los recursos financieros y su contribución para lograr la satisfacción de los accionistas, clientes, empleados y de la propia empresa [15] [16-19]. En referencia a los criterios ambientales se logran a menudo mediante un adecuado consumo de energía y eficiencia en el uso de los recursos y mitigando la generación de residuos, entre otros [18-21]. El proveedor por otra parte debe dar cumplimiento en los criterios sociales, en aspectos relacionados en la guía ISO 26000, los principios definidos por el Pacto Global y los indicadores de medición establecidos en el Reporte GRI.

A continuación, se definen cada uno de los criterios cualitativos y cuantitativos en el proceso de selección de proveedores verdes de productos y servicios (ver Fig. 1); soporte fundamental para el proceso de compras verdes [22].

Criterios de selección de proveedores

Figura 1: Criterios de selección de proveedores

Fuente: Autores

2.1. Criterios económicos en la selección de proveedores verdes

La organización en el proceso de selección de proveedores verdes debe considerar los siguientes criterios económicos:

Costo. Comparación del precio de los materiales al precio de mercado, la competitividad de los costos, la capacidad de reducción de costos, el rendimiento de reducción de costos, la fluctuación en los costos, los costos directos, los costos de logística, costos de fabricación, costos unitarios, costos de ordenar, de costos de inventario, los costos de almacén, costo total de los envíos, el precio del producto.

Calidad. Cumplimiento con los estándares de calidad, programas de mejora continua, sistema de acciones correctivas y preventivas, documentación y auto-auditoría, inspección y control, sistema de calidad ISO instalado premios a la calidad, la certificación de calidad y rechazo de los clientes.

Entrega. Cumplimiento con la fecha de entrega, el cumplimiento de la fecha de vencimiento, retrasos en la entrega, la eficiencia de entrega, plazo de entrega, fiabilidad de entrega, el número de los envíos lleguen a tiempo, el tiempo de espera.

Tecnología. Instalaciones de fabricación actual, el desarrollo tecnológico de los proveedores para satisfacer la demanda actual y futura de la empresa, la capacidad de I+D+I y diseño de nuevos productos del proveedor para satisfacer la demanda actual y futura de la organización, la compatibilidad tecnológica, la capacidad, los proveedores velocidad en el desarrollo.

Flexibilidad. Cambios en el volumen del producto, tiempo de preparación, resolución de conflictos, análisis de capacidades, uso de máquinas flexibles, el tiempo o el costo necesario para agregar nuevos productos a la operación de producción existente.

Cultura. Sentimiento de confianza, actitud de gestión para el futuro, la compatibilidad entre los niveles y funciones, proveedores, estructura organizativa, la dirección estrategia, el grado de cooperación estratégica.

Innovación. Lanzamiento de nuevos productos, incorporación de tecnología.

Relaciones Comerciales. Relación a largo plazo, comunicación y reputación.

Planeación y evaluación de riesgos. Relacionada con la planeación y evaluación de riesgos ambientales, financieros y sociales.

2.2. Criterios ambientales en la selección de proveedores verdes

La organización en el proceso de selección de proveedores verdes debe considerar los siguientes criterios ambientales:

Ecoeficiencia de la Producción. Volumen promedio de los contaminantes del aire, aguas residuales, residuos sólidos y materiales peligrosos.

Eco-Diseño. Para la eficiencia de recursos, diseño de productos para reutilizar, reciclar, y la recuperación de material, diseño para la reducción o eliminación de materiales peligrosos.

Cumplimiento Legal. Certificados ambientales como la ISO 14001, la monitorización continua y el cumplimiento normativo, las políticas ambientales, procesos de planeación, programación y control con criterios verdes.

Relaciones de Imagen. Imagen verde de clientes verdes a un total de clientes, la responsabilidad social.

Capacitación. La capacitación del personal en temas ambientales.

2.3. Criterios sociales en la selección de proveedores verdes

La organización en el proceso de selección de proveedores verdes debe considerar los siguientes criterios sociales:

Comunidad. Impacto de la empresa y la involucración en el desarrollo de la comunidad, a través del apoyo de organizaciones e instituciones, de financiación de la acción social y del voluntariado social de los colaboradores.

Política anticorrupción. En referencia al panorama de las empresas en relación a la lucha contra la corrupción.

Equidad en los colaboradores. En relación a los derechos humanos y sus lineamientos éticos de la empresa.

Bienestar de los colaboradores. Acciones e iniciativas para selección y vinculación del personal acorde con las exigencias legales, evitando situaciones de discriminación.

3. Modelado inicial

El modelado inicial para el proceso de compras verdes se compone de varios pasos. El primer paso, será modelar el comportamiento del proceso discreto de cada una de las variables que intervienen en el proceso. Usualmente este tipo de procesos discretos representan las órdenes o acciones de control del sistema.

Un segundo paso será realizar un proceso de plegamiento en subsistemas de acuerdo a la concurrencia de cada uno de ellos, es conocido como el proceso de coloreado de la red, donde se implementan marcas que identifican cada subsistema concurrente del modelo. Para el coloreado solo se realiza para el modelo de comportamiento normal, una de las ventajas de las RdPC. Sin embargo, una de las ventajas principales de las RdPC se encuentra en la anidación de marcas y en su representación como subprocesos del sistema.

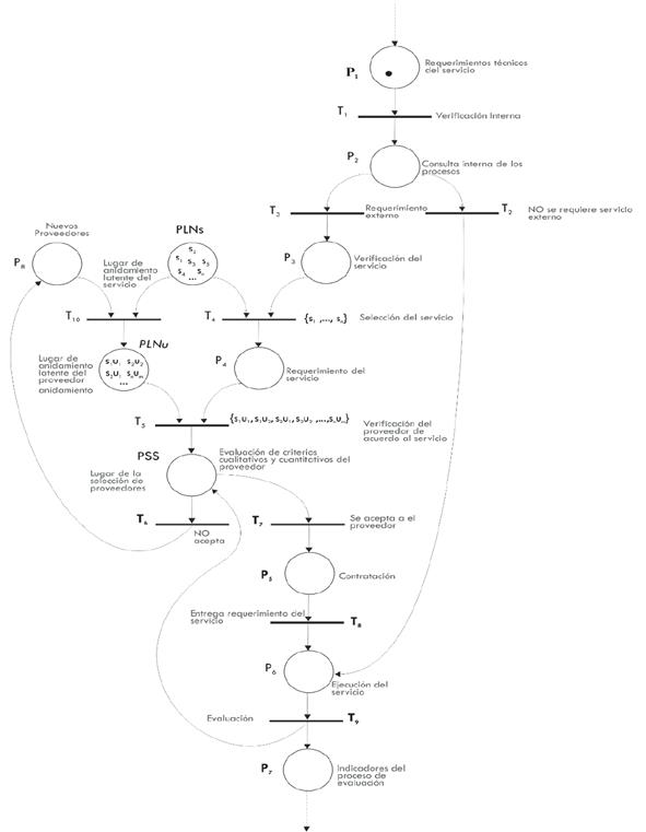
En la Red de Petri Coloreadas aplicadas a las Compras Verdes (RdPCCV) (en inglés Coloured Petri Net to green procurement (CPNGP), las solicitudes de un requerimiento de un servicio entrantes y salientes son codificadas como eventos como se detalla en la Fig. 2.

Red de Petri Coloreada para Compras Verdes (RdPCCV)

Figura 2: Red de Petri Coloreada para Compras Verdes (RdPCCV)

Fuente: Autores

Si tenemos , como el conjunto de q +1 marcados alcanzables por las marcas normales en la RdPCCV equivale al conjunto de estados posibles del sistema. Se considerará que existe correspondencia entre los valores esperados para un servicio con un comportamiento normal del sistema.

La RdPCCV, está compuesta inicialmente como una RdP aplicando las mismas técnicas de modelado que las utilizadas en el uso de las RdP generalizadas, realizando a continuación un proceso de plegamiento, utilizando las técnicas de RdPC para aprovechar las capacidades que estas ofrecen.

La idea inicial consiste en la elaboración de un modelo de RdP de comportamiento dinámico normal del sistema, no obstante, para el caso de aplicación a sistemas complejos, se puede desde un inicio, aplicar la capacidad de síntesis de las RdPC en esta primera fase de modelado, haciendo que una misma estructura básica común sea utilizada por varias subredes correspondientes a los distintos subprocesos que en un modelo global mantienen entre sí distintos tipos de cooperación.

La Fig. 2 muestra el modelo propuesto utilizado para el proceso de compras verdes. Una Red de Petri Coloreada para Compras Verdes (RdPCCV) está compuesta como:

Donde, P es un conjunto de lugares, T es un conjunto de transiciones, Pre y Post son las funciones de entrada y salida, un argumento adicional para estas funciones el cual es el color Ck de disparo de la transición Tj. Así ) y ) correspondiendo en el caso general a la combinación lineal de las marcas coloreadas relacionadas al lugar P i , M 0 es el marcado inicial.

3.1. Definición del conjunto de anidación en el proceso de compras verdes

Para el proceso de compras verdes se realiza el anidamiento representado por PLN s , PLN u y PSS para nuestro modelo.

si existe uno o más servicios a requerir en el lugar , este si existe uno o más proveedores de servicios o requerimientos en el lugar , es Pi es ahora llamado PLN u

Donde, C es el color asignado a las diferentes identidades. C=N ∪ S ∪ U. Donde N es el subconjunto de lugares coloreados que representa el comportamiento normal S={S 1 , S 2 S 3 ,…S n } representando el conjunto de posibles servicios en la base de datos que tiene la empresa ( ej. Papel, computadoras, impresoras), U={U1,U2,U3…Um } representan los proveedores disponibles que pueden ofrecer el servicio, SU={S 1 ,S 2 , S 3 …S n }, la unión S∪U representan el servicio de marcas requerido y proveedor seleccionado. Dos de las principales transiciones se pueden ver en la Fig. 2, La transición T 4 puede ser disparada sólo para el color < S 1 …S n > Donde n es el número de posibles servicios. Asimismo, el T5 transición puede ser disparado sólo para el color <S 1 U 1 …S n U m > Donde m es el número de posibles proveedores. PSS, es el lugar de selección de proveedores, donde se tendrán en cuenta los criterios de calificación tanto cualitativos como cuantitativos [4].

3.1.1. Lugar de anidamiento PLN s

El proceso de compras verdes inicia con la recepción de necesidades de requerimientos de bienes y/o servicios. Es importante que el cliente interno brinde una descripción clara y exacta de las necesidades, saber si se trata de un bien tangible o de un servicio o de bienes y servicios adjuntos, estas características del servicio están representadas en las marcas tipo S, las cuales describen la necesidad específica de cada servicio. Si se presenta una mala descripción de los requerimientos de materiales, servicios, niveles de calidad, tiempos de entrega generarán costos innecesarios a la empresa focal. Los administradores del proceso de compras verdes y el cliente interno comparten responsabilidades para describir de manera adecuada el bien o servicio que se requiere en la empresa focal. Cuando la empresa focal cuenta con inventario de un producto o servicio se dispara la transición T 3 , en este caso el producto o servicio se entrega al área solicitada y no necesitará contratar a ningún proveedor.

PLN s es el lugar de anidamiento latente de servicio o requerimientos técnicos. Para el lugar PLN s , si existe uno o más servicios a requerir en el lugar P i ∈ P de la empresa focal, este P i es ahora llamado PLN s . El proceso de compras está encargado de realizar la recepción de la lista de materiales provenientes de las diferentes áreas de la empresa,

se reciben las solicitudes de servicio de productos con comportamiento normal, se conoce en nuestra red como PLN s donde las marcas del subconjunto S={S 1 ,S 2 , S 3 …S n } representan los lugares coloreados con marcas de tipo servicios que son requeridos por la empresa focal. Mediante la transición T 4. VSR(M k ) → Lectura esperada de comportamiento normal para un marcado M k .

La Fig. 3 representa la trayectoria de valores de servicios revisados (VSR).

Lugar PLNs

Figura 3: Lugar PLNs

Fuente: Autores

Para cada marcado M k , existe toda una posible combinación de valores esperados de VSR (M k ) a considerar, que depende del número de servicios que se requieran en la empresa focal.

A partir de cada uno de los lugares de anidamiento, se traza una trayectoria que partiendo de un lugar de anidamiento PLN s , que contiene una marca del tipo s i y una marca de comportamiento normal q; conduciendo finalmente al marcado M(P 4 (< s i >)), que evidencia la necesidad de un determinado tipo de servicio 𝑠 𝑖 .

Esto se expresa como

Donde s i será el servicio que requiere la empresa focal para contratar a un proveedor.

3.1.2. Lugar de anidamiento PLN u

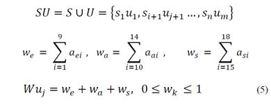
El lugar PLN u En el proceso de compras para cada servicio existen diferentes proveedores que puede suministrar el servicio con comportamiento normal donde las marcas se representan con lugares coloreados s 1 u 1 , s i+1 u j+1 …, s n u m para brindar los servicios requeridos por la empresa focal.

Donde,

El conjunto de pesos genera una matriz Wuj, obtenidos en la autoevaluación realizada al proveedor de entrada en cada uno de los atributos por criterio de sostenibilidad. El peso de cada criterio de sostenibilidad económico, ambiental y social de los proveedores (w e , w a y w s ) respectivamente.

La Fig. 4 representa la trayectoria de valores de proveedores revisados por servicio (VPRS). Mediante la transición T 5. VPRS(M k ) → Lectura esperada de comportamiento normal para un marcado M k .

Para cada marcado M k , existe toda una posible combinación de valores esperados de VPRS(M k ) a considerar, que depende del número de servicios que se requieran en la empresa focal y los proveedores que puedan suministrar el servicio.

Lugar PLNu

Figura 4: Lugar PLNu

Fuente: Autores

A partir de cada uno de los lugares de anidamiento, se traza una trayectoria que partiendo de un lugar de anidamiento PLN u , que contiene una marca del tipo s i u j y una marca de comportamiento normal s i .

Esto se expresa como:

Donde s i u j será la lista de proveedores para ofrecer el servicio requerido por la empresa focal.

3.1.3. Lugar de anidamiento PSS

En el lugar de selección de proveedores (PSS) en compras verdes se presenta una propuesta desde la modelación matemática involucrando la lógica difusa, de manera que se pueda mejorar la incertidumbre en algunos datos cuantitativos y los juicios subjetivos de los elementos cualitativos.

La lógica difusa se ha aplicado en diferentes áreas, una de ellas es en la cadena de suministro sostenible entre las cuales se encuentra la selección y evaluación de proveedores verdes

[23,24].

Las etapas para el diseño de un sistema difuso según [25] son: i) Identificación del tipo de problema y el tipo de sistema difuso que mejor se ajusta a los datos. ii) Definición de variables de entrada y salida, sus valores difusos y sus funciones de pertenencia (borrosificación o parametrización de variables de entrada y salida). iii) Definición de la base de conocimiento o reglas difusas. iv) Obtención de salidas del sistema mediante la información de las variables de entrada utilizando el sistema de inferencia difuso, v) Traslado de la salida difusa del sistema mediante un sistema de defusificación. vi) Ajuste del sistema validando los resultados.

La definición de los criterios usados en el proceso de evaluación y selección de proveedores se establecieron en el apartado 2.1 utiliza funciones de pertenencia de la forma µA(x), para establecer el grado de cumplimiento de los proveedores con los criterios de compras verdes. Para [26] un conjunto difuso A, se asigna a cada uno de sus elementos x un número real no negativo a través de la función de pertenencia µA(x), tal que µA(x) [0,1]

Un número difuso A trapezoidal se denota con cuatro elementos A=(a,b,c,d), con una función de pertenencia representada así:

En el modelo de compras verdes pueden utilizarse los criterios de selección de proveedores sostenibles que se basan en variables lingüísticas; varios de ellos de naturaleza cualitativa. El nivel de importancia está determinado por medio de apreciaciones lingüísticas tales como: Muy baja, baja, media, alta o muy alta. La asignación de las ponderaciones o pesos a cada uno es adaptable a las preferencias y necesidades de cada empresa focal.

Para el proceso de selección de proveedores se establecieron tres dimensiones de entrada para dar una única salida que se considere la recomendación final. Las características de los grupos se describen a continuación:

Grupo 1 contiene las variables que tienen que ver directamente con el criterio económico: costos ambientales, calidad, entrega, tecnología, flexibilidad, cultura, innovación, relaciones comerciales y planeación y evaluación de riesgos. Nombramos a la salida de este grupo Cr.Econ.

El Grupo 2 consiste en las variables que tienen que ver directamente con el criterio ambiental: ecoeficiencia de la producción, eco-diseño, cumplimiento legal, relaciones de imagen y capacitación. Nombramos a la salida de este grupo de Cr.Amb.

El Grupo 3 contiene las variables que tienen que ver directamente con el criterio social: comunidad, política anticorrupción, equidad en los colaboradores y bienestar de los colaboradores. Nombramos a la salida de este grupo de Cr.Soc.

El Grupo 4 tiene las salidas de los tres grupos anteriores como los insumos y los procesa para dar una única salida. Esta única salida es el nombre de Índice sostenibilidad por proveedor (ISP).

Se utilizó para la modelación el software de Matlab, este software permite la incorporación de las variables de salida resultantes de cada una de las reglas, y a través del método de defusificación del centro de gravedad, se obtiene un valor una variable de salida para cada proveedor sostenible para un servicio (Si), se ordenan los valores numéricos de mayor a menor de los proveedores, y el proveedor que obtenga la mayor calificación se selecciona para brindar el producto o servicio a la empresa focal.

Para el lugar PSS se toman en consideración los siguientes supuestos: a) No se tienen en cuenta restricciones de capacidad para los proveedores. b) Se aceptan requisiciones de un servicio sin tener periodos de tiempo. c) El resultado o solución del modelo, viene representado por las cantidades que se deseen ordenar a cada uno de los proveedores evaluados, de modo que la no asignación de cantidades a ordenar a un proveedor en particular, significará la no selección del mismo. d) El modelo de selección desarrollado tiene en consideración la evaluación de diferentes proveedores sostenibles frente a un solo cliente. e) La caracterización por medio de parámetros sostenibles de proveedores y del cliente, dependen del caso particular que se esté evaluando, dependiendo de los atributos que se consideren para cada criterio de sostenibilidad.

El objetivo es seleccionar al mejor proveedor para la empresa focal. Para la RdPCCV, la transición T 7 puede ser disparado cuando un proveedor es seleccionado se lleva a cabo el proceso de contratación.

Por el contrario, en el caso los valores que tengan un impacto que no cumple el ideal de la empresa focal, es disparada la transición T 6.

4. Conclusiones

Las compras verdes están recibiendo cada vez más atención como consecuencia de un aumento de las problemáticas ambientales, sociales y económicas en los países desarrollados y en vías de desarrollo.

En el artículo se fundamenta en la representación de un modelo para el proceso de compras verdes, basada en una herramienta para la modelación de sistemas de eventos discretos donde se encuentran las Redes de Petri Coloreadas. Las Redes de Petri Coloreadas, permiten representar gráficamente comportamientos de sistemas que facilitan a tomar decisiones oportunas y eficientes sobre el sistema modelado.

El modelado del proceso de compras con RdPC se caracteriza por su alta concurrencia presentando evoluciones paralelas y sincronización, exclusiones mutuas y conflictos que son típicos en los entornos distribuidos. Por tal motivo debe ser analizado desde el punto de vista cualitativo y cuantitativo. El cualitativo busca comprobar el correcto funcionamiento del sistema, apoyándose en propiedades como ausencia de bloqueos, exclusiones mutuas, recursos compartidos, entre otros. El cuantitativo busca analizar y evaluar la eficiencia del sistema, además, la RdP, contribuyen a la capacidad de aplicar técnicas de fusión de lugares que permiten reducir el tamaño de los modelos resultantes.

Bibliografía

  1. [1] Sarkis, J., A boundaries and flows perspective of green supply chain management. Supply Chain Management: An International Journal, 17(2), pp. 202-216, 2012. DOI: 10.1108/13598541211212924 [DOI] 🠔
  2. [2] Sarkis, J., Zhu, Q. and Lai, K.H., An organizational theoretic review of green supply chain management literature. International Journal of Production Economics, 130(1), pp. 1-15, 2011 🠔
  3. [3] Seuring, S. and Gold, S., Conducting content-analysis based literature reviews in supply chain management. Supply Chain Management: An International Journal , 17(5), pp. 544-555, 2012. DOI: 10.1016/j.ijpe.2010.11.010 [DOI] 🠔
  4. [4] Guevara, O., Rodríguez, U., Gómez, G. and Chenet, J., Green procurement model using petri nets: a perspective developed from the models applied to the supply chain. 6th International Conference on Energy and Sustainability, ISSN: 1743-3541, pp. 267-280, 2015. DOI: 10.2495/ESUS150231 [DOI] 🠔
  5. [5] Rodríguez, L., García, E., Morant, F., Correcher, A. and Quiles, E., Hybrid analysis in the latent nestling method applied to fault diagnosis. IEEE Transactions on Automation Science and Engineering. 10(99), pp. 1-16, 2013. DOI: 10.1109/TASE.2012.2229706 [DOI] 🠔
  6. [6] Srivastava, S.K., Green supply‐chain management: A state‐of‐the‐art literature review. International Journal of Management Reviews, 9(1), pp. 53-80, 2007. DOI: 10.1111/j.1468-2370.2007.00202.x [DOI] 🠔
  7. [7] Recuero, A. and Álvarez, M., Aplicaciones de las redes de Petri en la construcción. Informes de la Construcción, 48(447), pp.15-23, 1997. 🠔
  8. [8] Alvarado, Ó.A.R., Gómez, Á., Tumbajoy, L. y Velasco, J.M., Modelado dinámico del proceso de trazabilidad de producto con redes de Petri para WorkFlow (WF-Net). Épsilon, 19, pp. 117-144, 2012. 🠔
  9. [9] Billington, J. et al., The Petri net markup language: Concepts, technology, and tools. In: van der Aalst W.M.P., Best E. (eds), Applications and Theory of Petri Nets. ICATPN 2003. Lecture Notes in Computer Science. Springer, Berlin, Heidelberg, 2679, 2003. DOI: 10.1007/3-540-44919-1_31 [DOI] 🠔
  10. [10] Murata, T., Petri nets: Properties, analysis and applications. Poceedings of the IEEE, 77(4), pp. 541-580, 1989. DOI: 10.1109/5.24143 [DOI] 🠔
  11. [11] Jensen, K., Coloured Petri nets 1: Basic concepts, analysis methods and practical use. EATCS Monographs on Theoretical Computer Science. Berlin, Germany: Springer-Verlag, pp 150-220, 1992. 🠔
  12. [12] Hsu, C.H., Wang, F.K. and Tzeng, G.H., The best vendor selection for conducting the recycling material based on a hybrid MCDM model combining DANP with VIKOR. Resour. Conserv. Recycl, 66, pp. 95-111, 2012. DOI: 10.1016/j.resconrec.2012.02.009 [DOI] 🠔
  13. [13] Seuring, S. and Muller, M., From a literature review to a conceptual framework for sustainable supply chain management. Journal of Cleaner Production, 16(15), pp. 1699-1710, 2008. DOI: 10.1016/j.jclepro.2008.04.020 [DOI] 🠔
  14. [14] Hanifan, G., Sharma, A. and Mehta, P., Why a sustainable supply chain is good business, 2012. 🠔
  15. [15] Sarkis, J. and Talluri, S., A model for strategic supplier selection, Journal of Supply Chain Management, 38(4), pp. 18-28, 2002 DOI: 10.1111/j.1745-493X.2002.tb00117.x [DOI] 🠔
  16. [16] Simpson, P.M., Siguaw, J.A. and White, S.C., Measuring the performance of suppliers: an analysis of evaluation processes. Journal of Supply Chain Management , 38(4), pp. 29-41, 2002. DOI: 10.1111/j.1745-493X.2002.tb00118.x [DOI] 🠔
  17. [17] Bai, C. and Sarkis, J., Green supplier development: analytical evaluation using rough set theory. Journal of Cleaner Production , 18(12), pp. 1200-1210, 2010. DOI: 10.1016/j.jclepro.2010.01.016 [DOI] 🠔
  18. [18] Amin, S.H. and Zhang, G., An integrated model for closed-loop supply chain configuration and supplier selection: multi-objective approach, Expert Syst. Appl, 39, pp. 6782-6791, 2012. DOI: 10.1016/j.eswa.2011.12.056 [DOI] 🠔
  19. [19] Amindoust, A., Ahmed, S., Saghafinia, A. and Bahreininejad, A., A. sustainable supplier selection: A ranking model based on fuzzy inference system, Applied Soft Computing, 12(6), pp. 1668-1677, 2012. DOI: 10.1016/j.asoc.2012.01.023 [DOI] 🠔
  20. [20] Lee, A.H.I., Kang, H.-Y., Hsu, C.-F. and Hung, H.-C., A green supplier selection model for high-tech industry, Expert Systems with Applications, 36(4), pp. 7917-7927, 2009. DOI: 10.1016/j.eswa.2008.11.052 [DOI] 🠔
  21. [21] Govindan, K., Khodaverdi, R. and Jafarian, A., A fuzzy multi criteria approach for measuring sustainability performance of a supplier based on triple bottom line approach. Journal of Cleaner Production , 47, pp. 345-354, 2013. DOI: 10.1016/j.jclepro.2012.04.014 [DOI] 🠔
  22. [22] Guevara, L.M., Criterios de sostenibilidad en la selección de proveedores verdes, caso de estudio en empresas de servicios. The Fourteen LACCEI International Multi-Conference for Engineering, Education, and Technology: Engineering Innovations for Global Sustainability. January - 2016. DOI: 10.18687/LACCEI2016.1.1.140 [DOI] 🠔
  23. [23] Govindan, K., Khodaverdi, R. and Jafarian, A., A fuzzy multi criteria approach for measuring sustainability performance of a supplier based on triple bottom line approach. Journal of Cleaner Production , 47, pp. 345-354, 2013. DOI: 10.1016/j.jclepro.2012.04.014 [DOI] 🠔
  24. [24] Kannan, D., de Sousa Jabbour, A.B.L. and Jabbour, C.J.C., Selecting green suppliers based on GSCM practices: Using fuzzy TOPSIS applied to a Brazilian electronics company. European Journal of Operational Research, 233(2), pp. 432-447, 2014. DOI: 10.1016/j.ejor.2013.07.023 [DOI] 🠔
  25. [25] Kasabov, N., Evolving fuzzy neural networks-algorithms, applications and biological motivation. Methodologies for the conception, design and application of soft computing, World Scientific, 1, pp.271-274, 1998. DOI: 10.1234/12345678 [DOI] 🠔
  26. [26] Kumar, D., Singh, J. and Singh, O.P., A fuzzy logic based decision support system for evaluation of suppliers in supply chain management practices. Mathematical and Computer Modelling, 57(11), pp. 2945-2960, 2013. 🠔
Guevara-Ortega, L.M. and Rodríguez-Urrego, L., Modelado de compras verdes mediante redes de Petri coloreadas DYNA, 84(203), pp. 177-183, December, 2017.