DYNA
0012-7353
Universidad Nacional de Colombia
https://doi.org/10.15446/dyna.v84n203.66126

Recibido: 5 de julio de 2017; Revision Received: 17 de octubre de 2017; Aceptado: 25 de octubre de 2017

Análisis paramétrico de las centrales geotermoeléctricas: Vapor seco, cámara flash y ciclos híbridos

Parametric analysis of the geothermal power: Dry-Steam, flash steam and hybrid cycle

M. Salazar-Pereyra, a A. Mora-Ortega, a A. Bonilla-Blancas, b R. Lugo-Leyte, c H. Lugo-Méndez, d

División de Ingeniería Mecatrónica e Industrial, Tecnológico de Estudios Superiores de Ecatepec, Estado de México, México. msalazar@tese.edu.mx, amora@tese.edu.mx Tecnológico de Estudios Superiores de Ecatepec División de Ingeniería Mecatrónica e Industrial Tecnológico de Estudios Superiores de Ecatepec Estado de México Mexico
Centro de Tecnología Avanzada, CIATEQ, Estado de México, México. angelica.bonilla@ciateq.mx Centro de Tecnología Avanzada Estado de México México
Departamento de Ingeniería de Procesos e Hidráulica, Universidad Autónoma Metropolitana - Iztapalapa, CDMX, México. lulr@xanum.uam.mx Universidad Autónoma Metropolitana Departamento de Ingeniería de Procesos e Hidráulica Universidad Autónoma Metropolitana CDMX Mexico
Departamento de Procesos y Tecnología, Universidad Autónoma Metropolitana-Cuajimalpa, CDMX, México. hlugo@correo.cua.uam.mx Universidad Autónoma Metropolitana Departamento de Procesos y Tecnología Universidad Autónoma Metropolitana CDMX Mexico

Resumen

En este trabajo se presenta el análisis termodinámico de las centrales geotérmicas con configuraciones de vapor seco, cámaras flash y ciclos híbridos en función de las condiciones del recurso geotérmico y la presión de la primera cámara flash, considerando la calidad del vapor de la última etapa de expansión como restricción límite de operación; se obtienen las curvas de trabajo de las turbinas de vapor y los perfiles de temperatura del ciclo binario. Para las configuraciones con vapor húmedo, el arreglo con tres cámaras flash presenta la mayor eficiencia térmica, exergética y de trabajo de las turbinas de vapor, por ejemplo para una temperatura de 200°C, el máximo trabajo generado es de 80.11 kJ/kg con una presión de la primera cámara flash de 6.0 bar, la eficiencia térmica y exergética de 10.7% y 44.0% respectivamente, esto se debe principalmente al aprovechamiento del aumento de la entalpía y exergía del vapor.

Palabras clave:

Geotermoeléctrica, turbinas de vapor, análisis termodinámico..

Abstract

The thermodynamic analysis of the geothermal power plants with dry vapor, flash steam and hybrid cycles in function to the geothermal resource conditions and the pressure of the first flash chamber was made, considering the steam quality of the last stage of expansion as operating limit constraint; obtaining the specific work curves of the steam turbines and the temperature profiles of the binary cycle. For saturated steam configurations, the arrangement with three flash cameras presents the highest thermal and exergy efficiency, and steam turbines specific work, for example at a temperature of 200 ° C, the maximum work generated is 80.11 kJ / kg with a pressure of the first flash chamber of 6.0 bar, thermal and exergetic efficiency of 10.7% and 44.0% respectively, this is mainly due to the increase of steam enthalpy and exergy.

Keywords:

Steam turbines, flash geothermal, thermodynamic analysis..

1. Introducción

La generación de energía obtenida de fuentes de energía renovables es una alternativa a nivel mundial, tales como: la geotérmica, solar, eólica, entre otras. La energía aprovechada de los yacimientos geotérmicos es una fuente confiable para obtener vapor de proceso y energía térmica para calefacción o para generar energía motriz en una turbina de vapor [1-5]. Las centrales geotermoeléctricas son plantas térmicas que garantizan una producción constante de potencia eléctrica, debido al recurso comprobado de energía térmica en las cavidades de la tierra donde se instala la central, que asegurará una vida útil de producción de 20 años. Las plantas geotermoeléctricas en la República Mexicana generan el 2.2% de la producción bruta nacional de acuerdo al Programa de Obras de Inversión del Sector Eléctrico, POISE 2014-2028 [7]. Las plantas geotérmicas de mayor capacidad se encuentran ubicadas en zonas donde se tienen géiseres o yacimientos de vapor, tales como los Azufres I, II, III y IV en el estado de Michoacán; Humeros III en Puebla, Santa Rosalía y Cerro Prieto en Baja California Sur. En México, se cuenta con la segunda central de generación de energía geotérmica a nivel mundial que es Cerro Prieto I, II, III y IV con una capacidad instalada de 720 MW. Sin embargo, el aprovechamiento de este recurso natural se puede mejorar de acuerdo a las condiciones de operación de la central y de la configuración de los ciclos de vapor para incrementar la potencia generada y la eficiencia térmica. Por ejemplo, se utiliza un doble arreglo de cámara flash y separador para obtener más vapor para proceso a menor presión, generando una mayor potencia [6]. Chamorro et al. [1] muestran la relevancia de incrementar el número de cámaras flash sobre el mejoramiento de la eficiencia exergética; sin embargo, no establecen las presiones óptimas para cada temperatura del fluido geotérmico para obtener el máximo trabajo en las turbinas de vapor, ya que se puede ocasionar una pérdida de trabajo mayor al 10% si no se establece la presión de operación en la vecindad de la presión óptima.

En la actualidad, más de ochenta países utilizan la energía geotérmica de manera directa, entre los países con mayor capacidad instalada para usos directos de la geotermia se encuentran China con 17,870 MWt, Estados Unidos con 17,416 MWt y Suecia con 5,600 MWt. Sin embargo, sólo 46 países utilizan recursos geotérmicos para generar energía eléctrica. México ocupa el cuarto lugar en capacidad geotermoeléctrica con una producción de 1,081 MWt a través de 37 unidades geotérmicas de vapor seco, cámaras flash y sistemas híbridos [2]. La proyección al 2024 a nivel mundial es incrementar la capacidad instalada de generación hasta 80 000 MW eléctricos.

Las temperaturas de los fluidos geotérmicos se encuentran entre 100°C y 350°C. Para temperaturas menores a 150°C se utilizan ciclos híbridos para aprovechar esta energía de bajo potencial [10-13]. Cuando la temperatura es mayor a 150°C y dependiendo del tipo de fase del fluido que contenga el yacimiento, se genera energía en centrales con las especificaciones siguientes:

  1. Vapor húmedo: se requiere implementar una cámara flash para separar el vapor de proceso que se expande en la turbina. Una desventaja de estos sistemas, es que sólo una fracción del fluido extraído del reservorio se puede utilizar. Sin embargo, se puede instalar una segunda cámara flash e incrementar la potencia generada. Del total de las plantas geotermoeléctricas a nivel mundial, el 40% son con cámara flash, contribuyendo con el 60% de la capacidad instalada.

  2. Vapor húmedo con temperaturas menores a 150°C: Para estas condiciones se instalan ciclos binarios, es decir, después de la separación en la cámara flash se reutiliza el agua líquida para calentar o sobrecalentar el fluido secundario, para generar potencia adicional en un ciclo Rankine orgánico o Kalina. En la actualidad, se tienen 266 unidades de este tipo de un total de 536 unidades geotérmicas; sin embargo, sólo contribuyen en un 10% a la capacidad de generación instalada.

  3. Vapor saturado seco: éste se suministra directamente a la turbina. El vapor se pasa previamente por un secador, en donde se elimina el porcentaje de agua líquida presente. La capacidad de generación de este tipo de centrales es mayor, debido a que trabajan con flujos completos y no con fracciones como son las centrales flash. El 11% de las centrales geotérmicas son de este tipo y corresponde al 26% de la capacidad instalada con respecto a la energía obtenida del recurso geotérmico.

Las centrales flash geotérmicas, utilizan una o dos cámaras flash dependiendo de la temperatura del vapor a la salida del reservorio geotérmico. El 88% de las unidades geotérmicas operan con sistemas que utilizan cámaras flash, debido a que los yacimientos con vapor húmedo son los más abundantes en la naturaleza. Adicionalmente, la mayoría operan con fluidos geotérmicos con temperaturas a la salida del reservorio menores a 200°C, que es una limitante natural en la operación, para no obtener la mayor potencia de generación. En la República Mexicana se tienen las tres configuraciones de centrales geotermoeléctricas: vapor seco, cámaras flash y sistemas híbridos, además se tiene proyectado al 2028 un incremento del 10% de la capacidad instalada actualmente. Por tal motivo, en este trabajo se realiza un análisis paramétrico desde el punto de vista termodinámico de las centrales geotérmicas, en un intervalo de temperaturas del vapor húmedo de 160°C a 200°C, para encontrar la presión óptima de operación de la primera cámara flash para generar la potencia máxima en la turbina de vapor. Así mismo establecer el comportamiento de las curvas de generación de potencia en función de la presión de la primera cámara flash y la factibilidad de colocar una segunda, tercera cámara o un ciclo híbrido, con la finalidad de establecer un análisis de las centrales que muestre las ventajas de diseñar una central geotermoeléctrica en función del recurso geotérmico y la demanda de potencia requerida.

2. Metodología

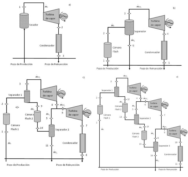
En la Fig. 1 se muestran las configuraciones de las centrales flash geotérmicas y de vapor saturado seco. El arreglo que utiliza el vapor saturado seco se muestra en la Fig. 1 (a) donde el 98% del vapor entra directamente a la turbina y aproximadamente el 2% de agua líquida se elimina en el secador. Los ciclos de vapor flash geotérmicos se muestran en las Figs. 1 (b), (c) y (d). El fluido de trabajo inicial es separado después de pasar por la cámara flash, de tal manera que, la fracción de vapor es suministrada a la turbina para generar trabajo mecánico. Al final de la expansión, el vapor residual se condensa y se reinyecta al pozo, Fig. 1 (b). La Fig. 1 (c) muestra la configuración con dos cámaras flash, con la finalidad de recuperar una segunda fracción de vapor después de la primera cámara flash, esta segunda fracción de vapor se suministra a la turbina de baja presión para generar mayor trabajo. También se puede colocar un intercambiador de calor para un segundo ciclo de potencia orgánico en lugar de una segunda cámara flash.

Centrales geotérmicas con: a) sin cámara flash, b) una cámara flash, c) dos cámaras flash y d) tres cámaras flash.

Figura 1: Centrales geotérmicas con: a) sin cámara flash, b) una cámara flash, c) dos cámaras flash y d) tres cámaras flash.

Fuente: Elaboración de los autores

La configuración de una central geotermoeléctrica con tres cámaras flash se muestra en la Fig. 1 (d), con el mismo objetivo que el esquema anterior, es decir, se incluye un tercer arreglo de cámara flash y separador, aprovechando una fracción más de vapor en la tercera expansión en la turbina de vapor para generar más trabajo mecánico.

Conforme se anexan las cámaras flash se recupera una cantidad mayor de vapor para generar trabajo en la turbina, sin embargo, no se compara con la potencia que se puede generar cuando se tiene disponible un reservorio de vapor saturado seco, a pesar de que estos trabajen con flujos principales de 30 ó 40 kgvapor/s. La ventaja de los arreglos de cámaras flash se debe, a que pueden tener disponibles reservorios de flujos principales de hasta 100 kgvapor/s.

En la Fig. 2 se muestran los diagramas temperatura-entropía de las centrales flash geotérmicas y de vapor saturado seco. Para las tres configuraciones con cámaras flash se muestra que las expansiones de la turbina de vapor se encuentran por fuera de la línea de Wilson, es decir para este tipo de ciclos geotérmicos las expansiones siempre serán húmedas, debido a que se encuentran en la región de vapor saturado pero con la calidad del vapor mayor o igual a 0.88; por consiguiente se tiene una operación segura, debido a que las propiedades termofísicas del vapor en esta zona presentan un comportamiento semejante al vapor sobrecalentado [8].

Diagrama T-s de las centrales geotérmicas con: a) sin cámara flash, b) una cámara flash, c) dos cámaras flash y d) tres cámaras flash.

Figura 2: Diagrama T-s de las centrales geotérmicas con: a) sin cámara flash, b) una cámara flash, c) dos cámaras flash y d) tres cámaras flash.

Fuente: Elaboración de los autores

En la Fig. 2 (a) se muestra el diagrama T-s de una central geotérmica que opera con vapor saturado seco y una T1=200°C, pero al final de la expansión (estado 2), la calidad del vapor es menor a 0.88; sin embargo, para una T1 de 150°C, la calidad del vapor al final de la expansión es mayor a 0.88. A esta temperatura opera la central geotérmica Humeros III en el estado de Puebla, México. En las Figs. 2 (b), (c) y (d) se muestran que las condiciones de operación de la primera cámara flash se modifican al incrementar el número de cámaras flash, debido a que el trabajo generado en la turbina dependerá de dos factores asociados a la presión, P2, y éstas son las fracciones de vapor que se pueden utilizar y el tirante térmico.

El recurso geotérmico considerado para todos los casos, es un flujo de 100 kgvapor/s, con una temperatura de 200°C y la presión de saturación correspondiente de 15.54 bar. La presión de condensación es de 0.1 bar. La eficiencia isoentrópica de la turbina de vapor es, ηSIT =0.9.

Los balances de energía para las diferentes configuraciones de las centrales geotérmicas con base a las Figs. 1 y 2 se muestran a continuación:

Para la configuración con una, dos y tres cámaras flash, se tiene que la fracción masa es:

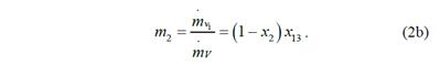
La segunda fracción masa para el arreglo con dos cámaras flash, se define:

La segunda y tercera fracción masa para el arreglo con tres cámaras flash, es:

La eficiencia isoentrópica húmeda de la turbina se obtiene de acuerdo a la regla de Baumann, que establece que se debe de considerar la afectación por la cantidad de humedad que está presente durante el proceso de expansión, lo que implica, que la eficiencia isoentrópica de la turbina, ηSIT, disminuya [10]. Por ejemplo, la Ec. (4) se define para la central geotérmica con una etapa de expansión, como:

donde x3 es la calidad del vapor a la entrada y x4 es la calidad a la salida de la turbina, obtenida al utilizar la ηSIT.

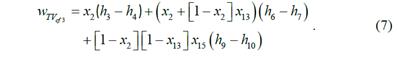
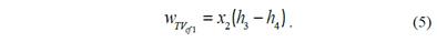
El trabajo por unidad de masa generado en las turbinas de vapor de acuerdo a sus configuraciones para:

Una cámara flash

Dos cámaras flash

Tres cámaras flash

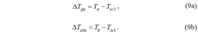
Para el ciclo híbrido, el balance de energía para calcular el perfil de temperaturas en el intercambiador de calor es

donde el ΔTpp y ΔTalta se definen como la diferencia de temperaturas del agua de la línea proveniente de la primera cámara flash y del fluido del ciclo secundario, (sc), Fig. 6.

De acuerdo con Çengel [2], la eficiencia térmica para la central geotérmica se define como,

donde, h0 es la entalpía del agua líquida a una temperatura de 15°C y una presión de 1 bar.

La exergía física por unidad de masa para cada uno de los estados termodinámicos se obtiene con el modelo siguiente,

Las condiciones del estado muerto son consideradas para el vapor saturado húmedo a T0= 15°C y P0= 1 bar.

La eficiencia exergética es expresada de la manera siguiente [1],

La exergía de expansión en la turbina de vapor

Las irreversibilidades específicas generadas en la expansión de la turbina [9].

donde si es la entropía específica a la entrada de la turbina y si+1 es la entropía específica de salida.

En la Fig. 3 se muestra el Diagrama de Sankey de la turbina de vapor para el arreglo de tres cámaras flash que resume de forma gráfica las modelos que se desarrollan en este trabajo: la exergía física por unidad de masa, la exergía de expansión, las irreversibilidades y el trabajo generado.

Diagrama de Sankey de la turbina de vapor con tres secciones.

Figura 3: Diagrama de Sankey de la turbina de vapor con tres secciones.

Fuente: Elaboración de los autores

En las Figs. 4 (b), (c) y (d) se muestran los diagramas exergía-entalpía por unidad de masa para las configuraciones de una, dos y tres cámaras flash, respectivamente. Para estos arreglos de baja calidad de la energía, se aprovecha como máximo el 30% de la exergía en el estado 3. El estado 3 es el de mayor exergía con 831 kJ/kg, cuando se tiene un arreglo de tres cámaras. Las expansiones del vapor se encuentran en la zona de mayor contenido de exergía dentro de la región de vapor saturado. En las cámaras flash y separadoras las pérdidas de la calidad de la energía no representa pérdidas significativas que se cuantifiquen en la irreversibilidad total de los sistemas geotérmicos. Así mismo, la exergía a la entrada de segunda y tercera etapa de expansión se incrementa en promedio en 15 kJ/kg, al mezclarse las corrientes provenientes de la salida de la etapa anterior y de la fracción de vapor separada en la siguiente cámara flash.

Diagrama exergía-entalpía de las centrales geotérmicas con: a) sin cámara flash, b) una cámara flash, c) dos cámaras flash y d) tres cámaras flash.

Figura 4: Diagrama exergía-entalpía de las centrales geotérmicas con: a) sin cámara flash, b) una cámara flash, c) dos cámaras flash y d) tres cámaras flash.

Fuente: Elaboración de los autores

La Fig. 4 (a) muestra el diagrama exergía-entalpía con vapor saturado seco. El estado a la entrada de la turbina de vapor tiene mayor disponibilidad de la energía, con 940 kJ/kg, es decir, 109 kJ/kg más que el estado 3 con tres cámaras flash.

Con las cámaras flash se separa la fase de vapor del fluido geotérmico, incrementando así también, el contenido energético y exérgetico del vapor en más del 400% con respecto al estado 1, aumentado la disponibilidad para generar mayor trabajo útil, lo que implica que aunque se mantiene la presión y la temperatura entre los estados 2 y 3, el efecto del aumento del volumen específico, hace que el contenido de exergía y energía se incrementen, es decir, la exergía latente es mayor. Sin embargo, como es una energía más desordenada por estar a baja presión, las irreversibilidades en la expansión de la turbina también se incrementaran.

El trabajo de expansión generado en la turbina de vapor es función de la presión de operación de la cámara flash, debido a que de ésta depende la fracción que se separa en el tren de cámaras flash representados en las Figs. 2 (b), (c) y (d), así mismo se tiene que al aprovechar la mayor fracción de vapor, se reduce el tirante térmico en las secciones de la turbina de vapor, al disminuir la presión de saturación, P2. En la Tabla 1, se presentan tres modelos matemáticos de optimización para encontrar el máximo trabajo en función de la presión de operación de la primera cámara flash. Las ecuaciones (5), (6) y (7) son evaluadas para encontrar el trabajo máximo generado por unidad de masa. Las líneas de las expansiones de la turbina deberán estar sujetas a la restricción de que la calidad del vapor sea mayor o igual a 0.88. Se utiliza la herramienta computacional “Solver de Excel”, para realizar la simulación.

Tabla 1: Función objetivo y restricciones para los sistemas flash geotérmicos.

Fuente: Elaboración de los autores

En la Tabla 2, se muestran los valores obtenidos para la presión de la primera cámara separadora, la calidad del vapor a la salida de las cámaras flash y el trabajo máximo generado en la turbina por unidad de masa. Los valores de la Tabla 1 muestran una variación menor al 1% con los propuestos por Chamorro et al [1].

Tabla 2: Presión en la primera cámara flash y la calidad del vapor en las tres cámaras flash.

Fuente: Elaboración de los autores

Los valores de la Tabla 2, establecen las mejores condiciones de operación para las centrales de geotérmicas con cámaras flash; sin embargo, con el análisis paramétrico se puede establecer la pérdida en la generación de trabajo al variar la P2.

3. Resultados

En la Fig. 5 se muestran el comportamiento del trabajo generado en la turbina y la calidad del vapor al final de última etapa de expansión en función de la temperatura del fluido geotérmico y de la presión de la primera cámara flash de las centrales flash geotérmicas y de la que opera con vapor saturado seco.

Trabajo específico de la turbina de vapor-calidad del vapor de la última etapa de expansión de las centrales geotérmicas.

Figura 5: Trabajo específico de la turbina de vapor-calidad del vapor de la última etapa de expansión de las centrales geotérmicas.

Fuente: Elaboración de los autores

La unidad que opera con vapor saturado seco es la que genera el mayor trabajo por unidad de masa; sin embargo, para el rango de temperaturas analizadas, la calidad del vapor es menor a 0.88, lo que implica que la turbina de vapor tenga un sistema de protección y control que permita mantener una operación segura a estas condiciones. La diferencia de tener un reservorio geotérmico con la temperatura de 200°C y de 160°C, implica una disminución de 146 kJ/kg, lo que representa una reducción del 23.25 % en la generación de trabajo. Con respecto a los arreglos flash geotérmicos, la configuración con 3 cámaras flash genera mayor trabajo en la turbina de vapor, esto se debe a la mayor cantidad de vapor que se expande en la tercera etapa de la turbina, tal como se muestra en la Fig. 5 (d).

Para la unidad que tiene una sola cámara flash, el sistema es más sensible a las variables de presión y temperatura del vapor. Las mejores condiciones para obtener el trabajo máximo se obtiene en la vecindad de la P2=2 bar, lo que establece que el efecto de la cámara es más significativa al separar la mayor cantidad de vapor seco que mantener el mayor tirante térmico que se pueda tener al elevar la presión de la cámara separadora, Fig. 5 (b).

Con respecto a los sistemas geotérmicos que tienen dos y tres cámaras flash, el efecto de la variación de la presión de la primera cámara se amortigua para valores superiores de la T1=180°C, es decir, al incrementar el número de cámaras flash y de etapas de expansión en la turbina de vapor, el sistema es más robusto y por lo tanto existe la posibilidad de que sólo fluctué la generación de trabajo en un intervalo de 5 kJ/kg, lo que representa con respecto al trabajo máximo, una disminución del 6%. Para valores de la T1 menores a 180°C, por este mismo efecto se pierde hasta 10 kJ/kg, lo que representa una disminución del trabajo del 18%.

Con los arreglos que tienen más de dos cámaras flash se trabaja en una región segura, debido a que la calidad del vapor en la última etapa de expansión en la turbina es mayor a 0.88. Para la unidad que tiene una cámara flash, la operación segura se tiene con presiones inferiores a 3.5 bar. Por otra parte, al incrementar el número de cámaras flash de dos a tres, se tiene un incremento del 6.6% en promedio en la generación de trabajo.

Las presiones óptimas de la primera cámara separadora para generar el máximo trabajo obtenidas con el análisis paramétrico presentado en la Fig. 5, son coincidentes con los encontrados con el método de optimización numérica, reportados en la Tabla 2. Éstos se marcan en las Fig. 5 con círculos sobre las isotermas de las T1. Para el caso de una cámara flash con temperaturas del recurso geotérmico inferiores a 200°C, las presiones óptimas se encuentran entre 1.95 y 1.03 bar.

Los ciclos híbridos generalmente se instalan cuando se tienen temperaturas inferiores de 160°C en el reservorio geotérmico. En las Figs. 6 a) y b) se muestran los perfiles de temperatura del intercambiador utilizando tres diferentes fluidos secundarios, amoniaco, refrigerante HFC-134a y propano. Este arreglo se considera debido a la temperatura inferior del reservorio geotérmico que implica la infactibilidad de colocar una segunda cámara flash. Sin embargo, se coloca un segundo ciclo de potencia donde se puede obtener hasta un porcentaje del 15% adicional de la potencia obtenida de la turbina de vapor principal, como se muestra en las Tablas 3 y 4.

Perfil de temperaturas en el intercambiador de calor para una temperatura del vapor principal a) T1=150°C y b) T1=160°C.

Figura 6: Perfil de temperaturas en el intercambiador de calor para una temperatura del vapor principal a) T1=150°C y b) T1=160°C.

Fuente: Elaboración de los autores

Tabla 3: Resultados para los fluidos del ciclo híbrido a condición Tv1=150°C y T6=96.45°C.

Fuente: Elaboración de los autores

Tabla 4: Resultados para los fluidos del ciclo híbrido a condición Tv1=160°C y T6=101.0°C.

Fuente: Elaboración de los autores

El propano, C3H8, es el mejor fluido secundario para el ciclo híbrido, debido a que requiere una menor cantidad de energía para realizar el cambio de fase. En las Tablas 3 y 4 se muestra que dependiendo de las propiedades termofísicas del fluido se produce mayor trabajo de expansión, sin embargo en el intercambiador de calor se puede evaporar un mayor flujo a las condiciones de operación. El HFC-134a presenta un comportamiento similar al propano, tal como lo muestran en su trabajo Velez F. et al [11]. Con referente al análisis exergético, el ciclo secundario contribuye en menos del 5% a las irreversibilidades del ciclo binario, debido a que la mayor irreversibilidad se genera en la turbina de vapor del ciclo con una cámara flash.

El sistema con 3 cámaras flash genera mayor trabajo específico, y por consiguiente también la mejor eficiencia térmica, Fig. 7. La diferencia entre operar con 2 y 3 cámaras flash es menor al 0.63% en el incremento de la eficiencia térmica y sólo se puede aumentar en 476 kW la potencia generada. Con respecto a la eficiencia exergética, al comparar el arreglo de tres y dos cámaras flash, se tiene un incremento del 2.16%. Sin embargo, la diferencia entre operar con una y dos cámaras incrementa en 9% la eficiencia exergética, lo que implica reducir las pérdidas de la disponibilidad de la energía por las irreversibilidades del sistemas.

Eficiencias exergéticas y térmicas de las geotermoeléctricas con una, dos y tres cámaras flash para T1=200°C.

Figura 7: Eficiencias exergéticas y térmicas de las geotermoeléctricas con una, dos y tres cámaras flash para T1=200°C.

Fuente: Elaboración de los autores

La eficiencia térmica para estos sistemas es menor al 12%, debido a la entalpía de baja calidad; sin embargo, la eficiencia exergética se aproxima a las eficiencias de los sistemas de generación de energía convencionales, básicamente por el incremento de la exergía latente, al separarse la fracción de vapor a través de las cámaras flash, que aumenta la disponibilidad de la energía para obtener mayor trabajo útil.

Las irreversibilidades generadas en la expansión de la turbina de vapor se incrementan, al aumentar el número de expansiones, sin embargo, también se incrementa el trabajo generado. Las mayores irreversibilidades se generan en la última etapa de expansión de las turbinas, debido al mayor flujo de vapor que circula en éstas, tal como se muestra en las Figs. 8 y 9.

Exergía e irreversilidad por unidad de masa para arreglos de las geotermoeléctricas con una, dos y tres cámaras flash para T1=200°C.

Figura 8: Exergía e irreversilidad por unidad de masa para arreglos de las geotermoeléctricas con una, dos y tres cámaras flash para T1=200°C.

Fuente: Elaboración de los autores

Exergía e irreversilidad por unidad de masa para arreglos de las geotermoeléctricas con una, dos y tres cámaras flash por estapa de expansión para T1=200°C.

Figura 9: Exergía e irreversilidad por unidad de masa para arreglos de las geotermoeléctricas con una, dos y tres cámaras flash por estapa de expansión para T1=200°C.

Fuente: Elaboración de los autores

Así mismo, las mayores irreversibilidades se tienen en los valores de la presión óptima para obtener el máximo trabajo, es decir, que no existe la posibilidad de minimizar las irreversibilidades en estos sistemas. Lo mismo sucede al incrementar el número de cámaras flash, el trabajo aumentó y se incrementan las irreversibilidades. Sin embargo, el sistema más irreversible es con una cámara flash, debido a que su pendiente es más pronunciada y genera menos trabajo, como se muestra en la Fig. 9.

4. Conclusiones

Las plantas de generación de potencia que utilizan como fuente de energía la geotérmica, en específico vapor húmedo, presentan un buen desempeño cuando integran en su configuración dos cámaras flash. El implementar una tercera cámara flash no incrementa de forma significativa la eficiencia térmica ni la generación de potencia, debido a que se incrementan las pérdidas de la disponibilidad de la energía en la tercera sección de la expansión en la turbina de vapor.

El análisis termodinámico a las centrales geotérmicas muestra que al incluir cámaras flash en los sistemas, se incrementa el trabajo de expansión y adicionalmente la seguridad en la operación por mantener la calidad del vapor mayor a 0.88. Sin embargo, como sistemas de baja entalpía, no se presenta la opción de minimizar la generación de irreversibilidades, debido a que se aprovecha el efecto del incremento en el volumen específico, al mantener la presión y temperaturas constantes en la cámara separadora y la turbina de vapor, incrementando su energía y la exergía latente.

Así mismo, con el análisis paramétrico se obtuvieron las presiones de la cámara flash para obtener el máximo trabajo en la turbina, lo que establece un rango de operación para estos sistemas en la vecindad de estos valores que son coincidentes con las presiones de las centrales flash geotérmicas en operación actual.

En el intervalo de temperaturas de 200°C a 160°C, para una central geotérmica con una cámara flash, el trabajo máximo se obtiene en promedio con la P2= 2 bar, con una variación menor al 1% en el trabajo generado. Al implementar dos cámaras, la P2 se debe de aumentar, lo que implica un incremento promedio del trabajo generado de 27% y del 36% con tres cámaras con respecto al obtenido con la configuración con una cámara flash. Así mismo, para las temperaturas del recurso geotérmico menores a 170°C, con las configuraciones de dos y tres cámaras se tiene una diferencia de 1 kJ/kg en el trabajo generado, al considerar la presión óptima con respecto a la presión, P2=2 bar, es decir, la operación se puede realizar considerando las condiciones de una cámara flash.

Referencias

  1. [1] Chamorro, C.R., Mondéjar, M.E., Ramos, R., Segovia, J.J., Martín, M.C. and Villamañán, M.A., World geothermal power production status: Energy, environmental and economic study of high enthalpy technologies, Energy 42, pp 10-18, 2012. DOI: 10.1016/j.energy.2011.06.005 [DOI] 🠔
  2. [2] Yunus, A., Çengel and Boles, M.A., Termodinámica, Ed. McGraw-Hill, 2015. 🠔
  3. [3] Ordaz, A.R., Flores, M. y Ramírez, G., Potencial geotérmico de la República Mexicana. Revista Mexicana de Geoenergía, [en línea]. 24(1), pp. 50-58, 2011. Disponible en: http://geotermia.org.mx/geotermia/revistageotermia/Geotermia-Vol24-1.pdf [URL] 🠔
  4. [4] Bayer, P., Rybach, L., Blum, P. and Brauchler, R., Review on life cycle environmental effects of geothermal power generation. Renewable and Sustainable Energy Reviews 26, pp 446-463, 2013. DOI: 10.1016/j.rser.2013.05.039 [DOI] 🠔
  5. [5] Barbier, E., Geothermal energy technology and current status: An overview, Renewable and Sustainable Energy Reviews 6, pp 3-65, 2002. DOI: 10.1016/S1364-0321(02)00002-3 [DOI] 🠔
  6. [6] Fridleifsson, I.B., Geothermal energy for the benefit of the people, Renewable and Sustainable Energy Reviews , 5(3), pp 299-312, 2001. DOI: 10.1016/S1364-0321(01)00002-8 [DOI] 🠔
  7. [7] Programa de Obras e Inversión del Sector Eléctrico, POISE 2014-2028. CFE, México, [en línea]. pp 1-370. Disponible en: http://www.amdee.org/Publicaciones/POISE-2014-2028.pdf [URL] 🠔
  8. [8] Lugo, R., Salazar, M., Zamora, J.M., Torres, A. y Toledo, M., Análisis exergético de una central termoeléctrica, Científica, [en línea]. 13(1), pp. 17-25, 2009. Disponible en: http://www.redalyc.org/pdf/614/61412184004.pdf [URL] 🠔
  9. [9] Kotas, T.J., The exergy method of thermal plant analysis; Butterworths: London, UK, 1985. 🠔
  10. [10] DiPippo, R., Geothermal power plants. 2nd ed. Oxford, UK: Elsevier; 2008. 🠔
  11. [11] Vélez, F., Chejne, F. and Quijano, A., Thermodynamic analysis of R134a in an organic rankine cycle for power generation from low temperature sources. DYNA, 81(185), pp. 153-159, 2014. DOI: 10.15446/dyna.v81n185.37598 [DOI] 🠔
  12. [12] Chen, H., Goswami, Y. and Stefanakos, E., A review of thermodynamic cycles and working fluids for the conversion of low-grade heat. Renewable & Sustainable Energy Reviews, 14(9), pp. 3059-3067, 2010. DOI: 10.1016/j.rser.2010.07.006 [DOI] 🠔
  13. [13] Aneke, M., Agnew, B. and Underwood, C., Performance analysis of the Chena binary geothermal power plant. Applied Thermal Engineering, 31(10), pp. 1825-1832, 2011. DOI: 10.1016/j.applthermaleng.2011.02.028 [DOI] 🠔
Salazar-Pereyra, M., Mora-Ortega, A., Bonilla-Blancas, A.E., Lugo-Leyte, R. and Lugo-Méndez, H.D., Análisis paramétrico de las centrales geotermoeléctricas: Vapor seco, cámara flash y ciclos híbridos DYNA, 84(203), pp. 273-282, December, 2017.