DYNA
0012-7353
Universidad Nacional de Colombia
https://doi.org/10.15446/dyna.v85n204.66957

Recibido: 10 de agosto de 2017; Revision Received: 23 de octubre de 2017; Aceptado: 3 de noviembre de 2017

Development of a virtual earthquake engineering lab and its impact on education

Desarrollo de un laboratorio virtual de ingeniería sísmica y su impacto en la educación

L. Guerrero-Mosquera, aD. Gómez, aP. Thomson, a

Grupo de Investigación G-7. Escuela de Ingeniería Civil y Geomática, Universidad del Valle, Cali, Colombia. felipe.guerrero@correounivalle.edu.co, daniel.gomez@correounivalle.edu.co, peter.thomson@correounivalle.edu.co Universidad del Valle Grupo de Investigación G-7 Escuela de Ingeniería Civil y Geomática Universidad del Valle Cali Colombia

Abstract

The use of information and telecommunication technologies (ICT) for the development of educational tools such as virtual laboratories has become a valuable teaching support practice in different areas of professional training. Current applications range from virtualization practices in fundamental sciences, to virtual experimentation on specific engineering topics. This paper describes the development of the Virtual Earthquake Engineering Lab (SISMILAB). This lab includes different applications with the objective of becoming an aid in the process of understanding and applying fundamental concepts related to the field of earthquake engineering. The aim of the lab is to strengthen the academic and research experiences of students both inside and outside the classroom. Students have readily used SISMILAB and given positive feedback regarding its effectiveness in conveying concepts and aiding in the visualization and interpretation of results. Finally, the paper discusses the impact of the virtual laboratory based on metrics obtained from questionnaires regarding student and faculty satisfaction.

Keywords:

virtual laboratory, earthquake engineering, information and telecommunication technologies, virtual education.

Resumen

El uso de las tecnologías de la información y las telecomunicaciones (TIC) para el desarrollo de instrumentos educativos como los laboratorios virtuales se ha convertido en una valiosa práctica de apoyo a la enseñanza en diferentes ámbitos de la formación profesional. En la actualidad se encuentran aplicaciones que van desde la virtualización de prácticas en ciencias básicas hasta la experimentación virtual en temas específicos de ingeniería. Este artículo describe el desarrollo del Laboratorio Virtual de Ingeniería Sísmica (SISMILAB) el cual incluye diferentes módulos con sus respectivas aplicaciones. Este laboratorio virtual fue desarrollado para facilitar el proceso de comprensión y aplicación de conceptos fundamentales relacionados con el campo de la ingeniería sísmica y fortalecer las experiencias académicas e investigativas del estudiante, dentro y fuera del aula. SISMILAB ha sido bien recibido por los estudiantes, facilitando la comprensión de conceptos, la interpretación de resultados y la enseñanza de diferentes fenómenos de la ingeniería sísmica. Finalmente, el artículo muestra el impacto en la enseñanza y el aprendizaje basado en métricas obtenidas de cuestionarios de evaluación realizados por estudiantes y profesores.

Palabras clave:

laboratorio virtual, ingeniería sísmica, tecnologías de la información y las telecomunicaciones, educación virtual.

1. Introduction

Earthquake engineering is a multidisciplinary area comprising fields such as solid mechanics, structural dynamics, seismology, geotechnical sciences, geology, structural analysis and structural design. There is a need for a comprehensive learning process focused of earthquake-resistant structures and their impact on the prevention of human losses, damage to property and high infrastructure repair costs [1]. Approximately 70% of the Colombian territory is located in areas of medium to high seismic hazard, where most of the major seismic events have been recorded in recent years, such as the Popayan event in 1983, Paez in 1994, and Armenia in 1999. These earthquakes have raised awareness among future engineers about the importance of structural design [1].

In professional practice, a civil engineer must have the ability to solve numerous problems based on theoretical knowledge and experience [2]. To create new knowledge and prepare future engineers, students must be engaged in meaningful learning experiences in which they can apply a “practical perspective” that is realistic [3]. Teaching with a practical engineering component is essential to complement a theoretical learning exercise with experimentation that enables the application of concepts and the verification of analytical results [1]. Physical, remote, and virtual laboratories help to foster a student's potential for learning how to process and make sense of scientific data [4]. A full-scale laboratory enables students to manipulate materials, instrumentation and equipment, therefore contributing to providing them with initiative and originality and allowing them to develop critical thinking. However, in traditional teaching conditions, practical resources sometimes are difficult to implement due to limitations in facilities or equipment. Earthquake engineering lab facilities with advanced technology that allow full-scale testing imply financial investments that most universities are unable to afford or unwilling to provide.

Simulated or virtual laboratories, which employ information and communication technologies (ICTs), are gaining importance [5] as the acquisition of new expensive equipment is not necessary. Many studies have demonstrated the benefits of virtual and interactive exploration of observable phenomena compared with physical experiments [6]. Interactivity is the characteristic that best defines a virtual lab, as the user gets to perform virtual experiments in a buildup way; in other words, to advance to the next step in the experiment, the student needs to input the appropriate data obtained from the previous step, therefore making it a tool that builds on previous steps [7]. One of the biggest advantages of virtual labs arise when students can observe phenomena that are difficult to visualize during physical experiments. Also, students have the freedom to repeat or modify previous experiments, depending on their level of interest, with quick and easy parameter change functionalities.

This paper describes the development and implementation of an educational tool designed to illustrate some concepts in different areas of earthquake engineering in a virtual laboratory. The laboratory consists of a structural dynamics module, a geotechnical module, and a structural analysis module. These modules allow laboratory practices to be simulated on a computer, which enables students to observe and perform virtual experiments. Once students have learned a technique, they can independently repeat the experiment or make changes to it, as often as desired to facilitate an understanding of the concepts of earthquake engineering.

2. Virtual earthquake engineering laboratory

The virtual earthquake engineering lab (SISMILAB) offers interactive simulations of illustrative and didactic concepts of earthquake engineering. SISMILAB consists of three modules, each of which has different applications. Each module has a user manual and comes with step-by-step validation problems. The virtual lab can be accessed at the webpage: http://sismilab.univalle.edu.co. All applications have the option of generating a report that includes data entered by the user, basic theory, procedure, and analysis of the results. The applications that comprise each module are described below.

2.1. Structural dynamics module

The structural dynamics module consists of two applications: one for modeling single degree of freedom systems (SDOF) and another for modeling multi-degree of freedom systems (MDOF). The SDOF application was developed in the MATLAB programming language environment [8], and its executable can be downloaded and installed as open-source software even if the user does not have MATLAB installed. This application enables the user to simulate the dynamic response of simple dynamic systems modelled as a single degree of freedom [9, 10]. The SDOF tool allows users to choose any of the following dynamic excitations: sinusoidal base acceleration, harmonic force on the structure, impulse excitation (unit step, triangular, square or ramp), arbitrary excitation and base displacement/acceleration. The user can also choose non-zero initial conditions along with no external excitation, to consider the free vibration response of a structure. The application has a graphical interface divided into four panels: Excitations, System Properties, Response, and Model Animation, as shown in Fig. 1.

Graphical interface of the SDOF application.

Figure 1: Graphical interface of the SDOF application.

Source: Solarte, 2014.

In the System Properties panel, the user selects the type of simulation model from the following options: (1) mass-spring-damper system; (2) column model; and (3) shear-frame model. The user can then set the material properties and cross-section of all system elements accordingly. In addition, the user can choose from a series of numerical integration methods; namely, Newmark (average or linear acceleration), excitation interpolation, central differences or Runge-Kutta. Additionally, the app allows the user to select the time step ∆t to ensure appropriate convergence of algorithms when calculating the discrete response at specified times. Once the user has fully defined the system and its excitation, the displacement, velocity and acceleration responses are plotted in the Response panel.

The MDOF system application allows the user to select the number of degrees of freedom (DOF) to create the desired structural system model using an interactive interface (see Fig. 2). This software is programmed in HTML5 and JavaScript, which enables it to run online directly from tablets and smart phones, making it an attractive tool for in-class activities. This application is based upon the drag-and-drop principle, where the user can drag the available predefined components on the initial panel (supports, beams, and columns) and drop them to a grid where the structural system is assembled. For the definition and allocation of the mass and damping, the user has different options such as concentrated masses, and dampers. Sensor elements are also available to observe the response of a DOF in the desired direction. The external dynamic excitation is also selected by the user and includes a harmonic force or acceleration and an earthquake excitation, which can be a predefined earthquake or upload a predefined time history [10]. The dynamic response of the modeled system is obtained by solving the equation of motion of a MDOF system using the fourth-order Runge-Kutta method. Thus, the dynamic response of the structure is obtained in terms of displacement, velocity or acceleration.

Graphical interface of the MDOF application.

Figure 2: Graphical interface of the MDOF application.

Source: The authors.

Several options are available for calculating the stiffness matrix, (1) static condensation of rotational degrees of freedom, (2) selection of a shear frame, and (3) selection of the desired number of DOF. In the assembly of the mass matrix, the user can choose between concentrated mass or consistent mass matrix. In the case of the damping matrix, either modal damping or Caughey damping can be chosen to assume proportional damping [11].

A user manual is provided along with the application and it specifies the basic procedure for creating a model and the types of analyses that can be performed on the structural model. Also, instructions are provided on how to obtain and download structural parameters (stiffness, mass, and damping matrices), dynamic properties (modal matrix and natural frequencies) and results, with the option of exporting them to a .txt file for subsequent analyses.

2.2. Geotechnical module

The geotechnical module consists of one application programmed in MATLAB. This tool focuses on the analysis of site-effects and one-dimensional wave propagation for assessing the dynamic response in a soil column [12, 13]. The application has an intuitive graphical interface (refer to Fig. 3), in which the user can evaluate four types of stratigraphic profiles (undamped uniform soil on rigid rock, damped uniform soil on rigid rock, uniform soil damped on elastic material, and stratified soil damped on elastic material).

Graphical interface of the EFE-SIO application.

Figure 3: Graphical interface of the EFE-SIO application.

Source: Mantilla, 2013.

The user can specify earthquake characteristics, as well as the density and dynamic properties of the soil and rock (stratum height, dry unit weight, shear wave velocity, and damping), and perform an evaluation of the attenuation or amplification of the seismic waves for different soil layers. For such cases, a linear analysis, with wave propagation in the vertical direction, is performed. The application is limited to horizontally stratified soil profiles. The application provides graphical results of the soil stratum response to acceleration, velocity, shear stress and displacement. In addition, a report with input and output data for each case can be generated for further analysis [13].

2.3. Structural analysis module

The Structural Analysis module has two applications programmed in MATLAB. The first application, which is denominated SAM, performs a beam analysis based on energy methods and the Cross method. The second application is called MODES and performs analyses of plane and spatial frames using the stiffness matrix method. SAM (refer to Fig. 4) is an application for the structural analysis of statically determinate beams. The application also allows users to perform plane stress analysis and determine the geometrical properties of any cross-section. Using SAM, a user can determine moment, shear, and reaction diagrams applying three different methods: (1) the moment distribution method (Cross), (2) the deformation method, and (3) the flexibility method. Similarly, SAM offers additional capabilities for determining lines of influence for moments and shears in a previously user-defined system. This application also allows results to be sent to a PDF report, which includes a step-by-step procedure of the performed structural analysis [14].

Graphical interface of the SAM application.

Figure 4: Graphical interface of the SAM application.

Source: Saldarriaga, 2014.

The MODES application (Fig. 5) allows users to create frame structures in two or three dimensions and apply point loads (concentrated forces or moments) and distributed loads (constant or trapezoidal) to nodes and elements of the structures. Moreover, the user can apply restrictions to specific DOF and select the type of support accordingly. Other available options for supports are elastic supports (rotational and translational springs) and user defined initial displacements of the supports. The user can also choose optional analysis considerations, such as shear strain energy and P-Delta effects. Analysis outputs include diagrams of moments, shear and normal forces in the elements, support reactions, deformations (displacements and rotations of nodes) and a graphic display of the deformed structure [14,15].

Graphical interface of the MODES application.

Figure 5: Graphical interface of the MODES application.

Source: Tocoche, 2014.

The results of the structural analysis can be generated and directly downloaded into a PDF document. This report provides a detailed description of the analysis of the structure, from the construction of local matrices to the assembly of the global stiffness matrix. This module allows students to generate structural systems, attach desired forces and moments and obtain results that can be compared with their calculations. The level of detail in the procedure made available to the students is what sets apart this application from other apps commonly used in earthquake engineering.

3. Impact assessment

The impacts of SISMILAB in the teaching and learning process was assessed using a series of surveys that were conducted on students and professors of various civil engineering undergraduate and graduate level courses at the Universidad del Valle. These surveys were conducted both before and after the trial use of the application in the classroom. Perception measures were monitored for five semesters. The procedure for the implementation of surveys is described herein. Initially, material was briefly presented to students in the form of a lecture followed by a pre-survey, where the assimilation of concepts via traditional methodology, in a lecture-style class, was measured. Subsequently, a brief introduction was made of the virtual lab followed by its distribution, and users were given the assignment to go over the material. Finally, a post-survey was conducted and the assimilation of concepts using the application was measured.

The pre-survey questionnaire aimed at measuring the perception of the students, methodology and the teaching aids with ten questions, which users rated with a score from 1 to 5, with 5 being the highest rating. The first six questions aim at providing a measure of the level of understanding and interpretation of theoretical concepts via the traditional methodology. The second group of questions (questions 7 to 10) is focused on determining the effectiveness of the available support material. Table 1 shows the pre-survey questionnaire.

Table 1: Pre-survey questions

Source: The authors.

The post-survey was conducted to evaluate the perception of students after using the computational tool as a methodological support for the course. The users assigned each question a score between 1 and 5, with 5 being the highest rating. Table 2 lists the questions of the post-survey.

Table 2: Post-survey questions

Source: The authors.

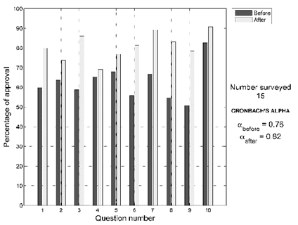
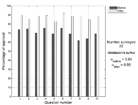
Fig. 6 and Fig. 7 show the results of the first set of assessment surveys for the Structural Dynamics module in 2012. The survey population consisted of 31 undergraduate students in the Fundamentals of Structural Dynamics course and 17 graduate students in the Advanced Dynamics course. The results of question 10, which evaluates the usefulness of an application for supporting the teaching and learning processes, indicated that students initially had a higher expectation regarding the application. This information was used as feedback to improve the applications and make them more user-friendly based on suggestions and recommendations provided by the students.

Survey of the Advanced Dynamics graduate course, Aug.- Dec. 2012.

Figure 6: Survey of the Advanced Dynamics graduate course, Aug.- Dec. 2012.

Source: Solarte et al. 2014.

Survey of the Fundamentals of Structural Dynamics undergraduate course, Aug.- Dec. 2012.

Figure 7: Survey of the Fundamentals of Structural Dynamics undergraduate course, Aug.- Dec. 2012.

Source: Solarte et al. 2014.

As shown in Figs. 8-14, the rating of question 10 increased in the following years due to the improvements based on recommendations from the students. This indicates that applications are a complement instead of a replacement for current teaching methods, and suggests that the use of these tools are an advantage for learning and a complement to traditional lectures.

Survey of the Earthquake Engineering undergraduate course, Aug.- Dec. 2013.

Figure 8: Survey of the Earthquake Engineering undergraduate course, Aug.- Dec. 2013.

Source: The authors.

Survey of the Fundamentals of Structural Dynamics undergraduate course, Aug.- Dec. 2013.

Figure 9: Survey of the Fundamentals of Structural Dynamics undergraduate course, Aug.- Dec. 2013.

Source: The authors.

Survey of the Matrix Analysis of Structures undergraduate course, Feb.- Jun. 2014.

Figure 10: Survey of the Matrix Analysis of Structures undergraduate course, Feb.- Jun. 2014.

Source: The authors.

Survey of the Structural Analysis undergraduate course, Feb-Jun 2014.

Figure 11: Survey of the Structural Analysis undergraduate course, Feb-Jun 2014.

Source: The authors.

Survey of the Structural Analysis undergraduate course, Aug-Dec 2014.

Figure 12: Survey of the Structural Analysis undergraduate course, Aug-Dec 2014.

Source: The authors.

Survey of the Matrix Analysis of Structures undergraduate course, Feb.- Jun. 2015.

Figure 13: Survey of the Matrix Analysis of Structures undergraduate course, Feb.- Jun. 2015.

Source: The authors.

Survey of the Fundamentals of Structural Dynamics undergraduate course, Feb.- Jun. 2015.

Figure 14: Survey of the Fundamentals of Structural Dynamics undergraduate course, Feb.- Jun. 2015.

Source: The authors.

In the specific case of the Structural Dynamics module, students considered that the computational tool simplified the visualization and interpretation of the physical phenomena presented in class. This finding is reflected in the increase of the post-survey rating given to question 3, in which the acceptance rates among undergraduate students and graduate students increased by at least 23% and 42% respectively with respect to pre-survey values. Another aspect highlighted by students is the effectiveness of the computational tool to supplement conventional course material, especially as it is an economical alternative to the practical component of the curriculum.

The analysis of the rating given by students of the Earthquake Engineering course indicates that the most valued feature of the application is the flexibility it gives the user to vary the properties of the selected system without creating a new model. Hence the application is a versatile, friendly and ideal tool for parametric studies. The rating given to Question 9 shows that students consider the computational tool to be intuitive and interactive, which encourages this type of aid in the student preparation process.

In the specific case of the Structural Analysis and Matrix Structural Analysis courses, students consider that the tool is intuitive and easy to understand compared with other commercially available resources, as reflected in the rating given to Question 9 of Figs. 10-13. They also noted that the computational tool enables simple visualization and interpretation of the theoretical concepts of the subject. The information collected by the surveys was tabulated to extract relevant statistical parameters, which indicate the characteristics of the population. The main parameters are the first- and second-order moments, which correspond to the average and the variance, respectively. Tables 3 and 4 summarize the statistical parameters of the data from the pre-survey and post-survey, respectively, of the Fundamentals of Structural Dynamics course in 2015.

Table 3: Statistical parameters of the pre-survey

Source: The authors.

Table 4: Statistical parameters of the post-survey

Source: The authors.

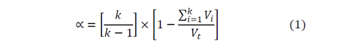
Cronbach’s alpha reliability analysis of results was performed to the set of data [16]. This internal consistency index can be calculated using two methods: the variance of the items or a correlation matrix [17]. In this paper, Cronbach’s alpha was calculated from the variance of the items using the formula in eq. (1)

where V i is the variance of each item, 𝑉 𝑡 is the total variance, and k is the number of questions. Cronbach’s alpha produces values between 0 and 1, and shows the internal correlation among each of the questions. The minimum acceptable value for Cronbach’s alpha coefficient is 0.70, and anything below this value reveals a weak relationship [18]. However, the maximum value expected for this coefficient is 0.90; above this value, redundancy or duplication is expected, and redundant items must be removed. Usually, alpha values between 0.80 and 0.90 are preferred [18]. Note that statistical uncertainties are dependent on the amount of data available for analysis and increase as the lack of information increases. To estimate the validity and reliability of the data collected in the pre-survey and post-survey, Cronbach indices were calculated as listed in Table 5. In one survey, the Cronbach’s alpha index is below the acceptable minimum of 0.7; on six occasions, Cronbach’s alpha index is less than 0.8, which demonstrates high reliability in the survey results.

Table 5: Summary of statistical reliability

Source: The authors.

In addition to the student surveys, pre and post-surveys were conducted on faculty members. In the pre-survey, the perception of faculty regarding the difficulty of explaining topics in a traditional manner and the effectiveness conveying information to students were evaluated. The survey consisted of ten questions, which were assigned a score between 1 and 5, where 5 is the highest rating (refer to Table 6). The post-survey assessed the perception of faculty regarding the use of simulations in the classroom so that the students can better understand different topics (see Table 7).

Table 6: Questions of the pre-survey for faculty members

Source: The authors.

Table 7: Questions of the post-survey for faculty members

Source: The authors.

Fig. 15 shows the results from the survey of faculty members (Earthquake Engineering and Matrix Analysis). The applications of the virtual lab are accepted as a teaching tool that greatly aids the instructor in the explanation of concepts in a graphical and interactive manner.

Results of the survey of faculty members

Figure 15: Results of the survey of faculty members

Source: The authors.

4. Conclusions

The Virtual Earthquake Engineering Lab (SISMILAB) is a useful teaching and learning tool for different fields of earthquake engineering: structural dynamics, geotechnics, and structural analysis. This is an open-source platform that enables user interaction with models that are representative of reality via animations and simulations, which contribute to the understanding of concepts and the interpretation of results. Each application of the virtual lab has its respective verification exercises, which show that the results obtained from analysis and simulations are consistent with the theoretical results expected in each topic. SISMILAB users are able to generate a report that contains input data, the mathematical formulation, procedure and the results achieved during virtual experimentation. Furthermore, students can become familiar with a step-by-step procedure of the application analysis, which improves and assists in the self-learning process. Another advantage of the virtual platform is the possibility of repeating experiment simulations as many times as desired by the user. This optimizes available resources without the constraints of space and time.

Acceptance and effectiveness assessment for students who used SISMILAB applications was performed using surveys as a measuring instrument and Cronbach’s alpha as an indicator of the reliability of the results. An important result of the assessment is that the application was rated higher by students after they used it, which demonstrates the acceptance of the lab applications as tools for the assimilation of concepts in the subjects related to earthquake engineering. Furthermore, survey results also showed high effectiveness of the applications for aiding students in understanding concepts and for visualization and interpretation of results.

Currently, basic and middle-level education is undergoing a nationwide transition process to transform from a mechanical learning system to an interactive learning process [19, 20]. The results of the surveys indicate that the instructors and the students have a need to implement complementary tools, such as virtual labs, to strengthen the teaching-learning process. Virtual labs are established as a support tool in the teaching-learning process, which facilitates meaningful participation of students both in the classroom and outside the classroom, and leads them towards interactive self-learning.

The virtual lab will continue to be employed at the Universidad del Valle as a resource for supporting teaching, and a regular assessment of its impact will be conducted. Due to the visibility of the website, the virtual lab is expected to be well received at other institutions as an educational alternative in the various fields of earthquake engineering. It should be noted that one of the applications was developed in HTML5, as a prototype to enable access by users without installing add-ons or performing additional downloads. Additionally, the extensive use of this application in mobile devices (smartphones and tablets) showed that students were more receptive to this technology, which encouraged its frequent use. The applications of the Virtual Earthquake Engineering Lab (SISMILAB) have been extensively accepted among the student community, as reflected in the favorable rating assigned by the different students who were surveyed and have employed these tools during the development of the different courses offered by the School of Civil Engineering and Geomatics of the Universidad del Valle. The use of these tools produces a positive impact on the teaching-learning process and promotes the development of new applications in other fields of civil engineering.

Acknowledgements

Acknowledgments

The authors acknowledge funding from Universidad del Valle, RENATA and the Ministry of National Education of Colombia via the project “Development and Implementation of a Virtual Laboratory for Earthquake Engineering” (IF-006-11).

References

  1. [1] Gómez, D., Sandoval, E.A., Thomson, P. y Marulanda, J., Aplicación de un laboratorio virtual de ingeniería sísmica y su impacto en la educación, World Engineering Education Forum (WEEF), Cartagena de Indias, Colombia, 2013. 🠔
  2. [2] Saldarriaga, D., Desarrollo de una aplicación para la implementación del módulo de análisis estructural en un laboratorio virtual de ingeniería sísmica. Undergraduate Thesis, Escuela de Ingeniería Civil y Geomática, Universidad del Valle, Cali, Colombia, 2014. 🠔
  3. [3] Roth, W.M. and McGinn. Graphing: Cognitive ability or practice? Science Education, 81(1), pp. 91-106, 1997. DOI: 10.1002/(SICI)1098-237X(199701)81:1<91::AID-SCE5>3.0.CO;2-X [DOI] 🠔
  4. [4] Magana, A., Ortega, J., Lovan, R., Gómez, D., Marulanda, J. and Dyke, S., Virtual, local and remote laboratories for conceptual understanding of dynamic systems. International Journal of Engineering Education, 33(1(A)), pp. 91-105, 2017. 🠔
  5. [5] Valencia, M., Las nuevas tecnologías de la información y la comunicación y el aprendizaje activo: Experiencia con el curso de metodologías de multimedia. Revista Ingeniería y Competitividad, 3, pp. 73-82, 2001. DOI: 10.25100/iyc.v3i1.2337 [DOI] 🠔
  6. [6] De Jong, T., Linn, M.C. and Zacharia, Z.C., Physical and virtual laboratories in science and engineering education. Science, 340(6130), pp. 305-308, 2013. DOI: 10.1126/science.1230579 [DOI] 🠔
  7. [7] Fontarnau, A., Baucells, A. y Romero, J., Laboratorio virtual, Universidad Internacional de Cataluña. [Online]. [Date of reference November 10 of 2014]. Available at: Available at: http://www.uic.es/es/laboratorio-virtual [URL] 🠔
  8. [8] Mathworks., MATLAB. The Mathworks, Inc. [Online]. [Date of reference December 6 of 2014]. Available at: Available at: http://www.mathworks.com [URL] 🠔
  9. [9] Solarte, A., Desarrollo de una aplicación computacional para la simulación de sistemas dinámicos de un grado de libertad en un laboratorio virtual de Ingeniería Sísmica. Tesis de Posgrado, Escuela de Ingeniería Civil y Geomática, Universidad del Valle, Cali, Colombia, 2014. 🠔
  10. [10] Solarte, A., Guerrero, L., Gómez, D. and Thomson, P., Implementación de un módulo de dinámica estructural para un laboratorio virtual de ingeniería sísmica, Congreso Nacional de Ingeniería Sísmica, Bucaramanga, 2013. 🠔
  11. [11] Chopra, A., Dynamics of structures: Theory and applications to earthquake engineering. Prentice Hall, 2012. 🠔
  12. [12] Mantilla, J., Chalparizán, E., Sandoval, E. y Gómez, D., Desarrollo e implementación de un módulo de geotecnia en un laboratorio virtual de ingeniería sísmica, Congreso Nacional de Ingeniería Sísmica, Bucaramanga, 2013. 🠔
  13. [13] Mantilla, J., Desarrollo de una aplicación computacional para el análisis de efectos de sitio, en un laboratorio virtual de ingeniería sísmica. Tesis de Posgrado, Escuela de Ingeniería Civil y Geomática, Universidad del Valle, Cali, Colombia, 2013. 🠔
  14. [14] Saldarriaga, J., Tocoche, J., Gómez, D. and Marulanda, J., Desarrollo e implementación del módulo de análisis estructural en un laboratorio virtual de ingeniería sísmica, Congreso Nacional de Ingeniería Sísmica, Bucaramanga, 2013. 🠔
  15. [15] Tocoche, J., Desarrollo de una aplicación para la docencia y la investigación en el análisis estructural matricial. Tesis de Posgrado, Escuela de Ingeniería Civil y Geomática, Universidad del Valle, Cali, Colombia, 2014. 🠔
  16. [16] Cronbach, L.J., Coefficient alpha and the internal structure of tests. Psychometrika 16(3), pp. 297-334, 1951. DOI: 10.1007/BF02310555 [DOI] 🠔
  17. [17] Bojórquez, J.A., López, L., Hernández, M.E. y Jiménez, E., Utilización del alfa de Cronbach para validar la confiabilidad de un instrumento de medición de satisfacción del estudiante en el uso del software Minitab. Eleventh LACCEI Latin American and Caribbean Conference for Engineering and Technology (LACCEI’2013), Cancun, Mexico, August 2013. 🠔
  18. [18] Celina, H. and Campo, A., Aproximación al uso del coeficiente alfa de Cronbach. Revista Colombiana de Psiquiatría. [Online]. 34(4), pp. 572-580, 2005. [Date of reference December 8 of 2014]. Available at: Available at: http://www.scielo.org.co/scielo.php?script=sci_arttext&pid=S0034-74502005000400009&lng=en [URL] 🠔
  19. [19] Avella, E., La excelencia empieza por los docentes [Online]. Dic. 2014. [Date of reference December 8 of 2014]. Available at: Available at: http://www.elespectador.com/noticias/educacion/excelencia-empieza-los-docentes-articulo-531675 . [URL] 🠔
  20. [20] Ministry of National Education. Maestros del sector oficial cuentan con nuevo proceso de formación en TIC [Online]. January of 2014. [Date of reference December 8 of 2014]. http://www.mineducacion.gov.co/cvn/1665/w3-article-337205.html . [URL] 🠔
Guerrero-Mosquera, L.F., Gómez, D. and Thomson P., Development of a virtual earthquake engineering lab and its impact on education. DYNA, 85(204), pp. 9-17, March, 2018.