DYNA
0012-7353
Universidad Nacional de Colombia
https://doi.org/10.15446/dyna.v85n204.67847

Recibido: 19 de septiembre de 2017; Revision Received: 23 de noviembre de 2017; Aceptado: 1 de diciembre de 2017

Vigas de madera laminada Glulam reforzadas con pletinas metálicas dentadas

Glulam beams reinforced with punched metal plates

H. Cañola, a C. Echavarría, b B. Echavarría, c

Institución Universitaria Colegio Mayor de Antioquia, Medellín, Colombia. hernan.canola@colmayor.edu.co Institución Universitaria Colegio Mayor de Antioquia Medellín Colombia
Universidad Nacional de Colombia, Medellín, Colombia. caechavarrial@unal.edu.co Universidad Nacional de Colombia Universidad Nacional de Colombia Medellín Colombia
Universidad Nacional de Colombia, Integral S.A, Medellín, Colombia. baechava@unal.edu.co Universidad Nacional de Colombia Universidad Nacional de Colombia Medellín Colombia

Resumen

En este artículo se estudian las propiedades mecánicas de vigas de madera laminada Glulam reforzadas con pletinas metálicas dentadas. Se fabricaron y analizaron experimentalmente 2 grupos de vigas: 30 vigas de madera laminada no reforzadas y 30 vigas de madera laminada reforzadas con pletinas metálicas dentadas. Todas las vigas de madera laminada se fabricaron con planchas de Carbonero (Licania campestre) y un adhesivo epóxico de alta resistencia y durabilidad. Se ejecutaron ensayos de flexión de cuatro puntos en las 60 vigas a escala natural. Para determinar las tensiones, se usó un modelo teórico linealmente elástico y se verificaron los resultados experimentales. Se determinó que las vigas de madera laminada reforzadas presentan un mejor comportamiento mecánico que las vigas de madera laminada no reforzadas. Se estableció además que el uso de las pletinas metálicas dentadas aumenta la homogeneidad y la capacidad resistente de las vigas de madera laminada.

Palabras clave:

madera, Glulam, pletinas metálicas dentadas, ensayo de flexión.

Abstract

This article presents an analysis of the mechanical properties of Glulam beams reinforced with punched metal plates. In this study, two groups of Glulam beams were fabricated and experimentally analyzed: 30 non reinforced Glulam beams and 30 Glulam beams reinforced with punched metal plates. All Glulam beams were made of Carbonero (Licania campestre) and an epoxy adhesive with high strength and durability. Four-point bending tests in the 60 full-scale beams were carried out. Then, a model based on linear elasticity theory was used to calculate the strength and verify the experimental results. It was determined that Glulam beams reinforced with punched metal plates show a better mechanical behavior than non reinforced Glulam beams. It was further established that the use of punched metal plates increases the homogeneity and the mechanical capacity of Glulam beams.

Keywords:

wood, Glulam, punched metal plates, bending test.

1. Introducción

La madera es un material compuesto fibroso de origen natural formado por la combinación de fibras largas de celulosa unidas entre sí por la lignina. Las fibras de celulosa garantizan la resistencia de la madera y la lignina estabiliza las fibras en la estructura del material [8,13,15]. Es además un material compuesto homogéneo a nivel macroscópico y heterogéneo a nivel microscópico. Actualmente, este recurso natural es considerado como uno de los materiales renovables de mayor uso en el sector de la construcción porque su utilización intensiva en estructuras trae beneficios en la reducción del CO2. Infortunadamente, a pesar de tener tantas ventajas, la madera es a menudo inapropiada para aplicaciones de cargas pesadas por su baja durabilidad y alta variabilidad como consecuencia de la presencia de nudos y otros defectos que reducen su resistencia. Estas alteraciones físicas se generan durante los procesos de crecimiento de las ramas del árbol y en las estructuras de madera originan puntos frágiles que modifican el direccionamiento de las fibras. Entre mayor es el tamaño del nudo, mayor será la pérdida de capacidad resistente de las vigas de madera maciza. Para aumentar la capacidad resistente de las vigas de madera y al mismo tiempo reducir el efecto de las alteraciones físicas tenemos la madera laminada Glulam y los refuerzos naturales y sintéticos [1,5,6-15]. La madera laminada Glulam es una técnica que permite minimizar los efectos de los nudos, del ángulo de microfibrillas y de la heterogeneidad natural existente en las vigas de madera maciza. A su vez, permite un comportamiento de la viga de madera mucho más homogéneo. La madera laminada es un material renovable, poco necesitado de energía de trasformación, productor de pocos agentes contaminantes y completamente reciclable. A nivel estético, la calidez de la madera se hace presente en las estructuras de madera laminada. Es por ello que la madera laminada se ha convertido en uno de los principales elementos de uso estructural y arquitectónico en edificaciones de mediana altura. Cabe destacar que a nivel internacional existe una gran cantidad de empresas dedicadas al diseño, instalación y estudio de este material, normas que rigen su uso y diversas investigaciones tendientes a mejorar su calidad. Desgraciadamente, el Reglamento Colombiano de Construcción Sismo Resistente NSR-10 [18] no considera, como consecuencia de la ausencia de referentes experimentales locales, este tipo de elementos estructurales. La elaboración de un reglamento específico colombiano para el diseño de vigas de madera laminada es entonces una tarea pendiente. Sin embargo, el NSR-10 en su capítulo G permite la utilización de otras normas, las que adaptadas de alguna manera a nuestro medio, proveen de una guía para diseñar adecuadamente las vigas.

A continuación, se presenta un breve resumen del estado actual del conocimiento en el área de las estructuras de madera maciza y de las estructuras de madera laminada reforzadas.

Humphrey [16] reforzó los durmientes de un puente vehicular deteriorado mediante el uso de láminas de fibra de carbono CFRP adheridas con un pegante epóxico logrando con esto una mayor capacidad de carga de los elementos. Sin embargo, el modo de falla predominante fue frágil debido a la deslaminación del refuerzo de fibra de carbono CFRP. Reza [20] utilizó fibra de vidrio GFRP para rehabilitar las pilas de un puente ferroviario realizando pruebas estáticas y dinámicas con pruebas a flexión en una configuración de cuatro puntos. A partir de los ensayos efectuados logró mejores propiedades mecánicas de los elementos analizados. Fiorelli y Días [12] realizaron un análisis experimental de vigas de madera reforzadas con fibras de vidrio GFRP y carbono CFRP. El modelo teórico empleado para calcular la resistencia a flexión de las vigas tuvo en cuenta la resistencia a tracción y la falla por compresión de los elementos reforzados. Además, consideró un modelo de tracción elástico y de compresión elasto-plástico. La validez del modelo se comprobó mediante la comparación con resultados experimentales. Raftery y Whelan [19] efectuaron análisis comparativos experimentales para determinar el comportamiento mecánico de las vigas de madera laminada no reforzadas y reforzadas con fibras recicladas. Los resultados obtenidos indicaron que la adición de porcentajes razonables de refuerzo, ubicados estratégicamente en la zona de tracción, dio lugar a aumentos en la rigidez y en la capacidad portante del elemento. Echavarría et al. [9] hicieron un análisis de las conexiones de madera pernadas con el uso de pletinas metálicas dentadas. En esta investigación, el refuerzo funcionó como mecanismo para atender el exceso de tracción perpendicular y mejorar el comportamiento de la conexión. En este estudio se concluyó que una de las ventajas de esta técnica de refuerzo es que no se requiere el uso de pegantes y el elemento estará listo para usarse inmediatamente después de que hayan sido instaladas las pletinas sobre la superficie de madera. El refuerzo con las pletinas dentadas aumenta la resistencia de la conexión. Las pletinas dentadas de acero representan una solución efectiva porque son elementos de bajo costo y de fácil instalación. Fueyo et al. [14] realizaron un análisis del comportamiento mecánico de las tensiones de adherencia en las piezas de madera y de las tensiones normales y tangenciales en las placas metálicas que constituían los nudos de una cercha. Se ha demostrado también que cuantías de refuerzo de fibra de vidrio GFRP del orden del 3% pueden incrementar la resistencia a flexión de vigas de madera laminada en más del 100% y su rigidez entre un 10% y un 15% [7]. Borri et al. [6] desarrollaron un estudio experimental de reforzamiento de vigas de madera en su zona traccionada mediante el uso de fibras de bambú y fique. El uso de estas fibras logró incrementos en las propiedades mecánicas, pero estos dependen directamente del espesor del refuerzo. Asimismo, Echavarría et al. [10] estudiaron experimentalmente el comportamiento mecánico de vigas de madera laminada reforzadas con fibra de vidrio GFRP y bambú. El refuerzo se propone con el fin de aumentar la resistencia a flexión y la ductilidad de las vigas de madera laminada. La viga se refuerza en la zona traccionada y en las caras laterales con los refuerzos de fibra de vidrio GFRP o de bambú. Estos refuerzos generan un aumento considerable de resistencia. Mascia y Mayer [17] hicieron análisis experimentales en vigas de madera laminada reforzadas con fibras naturales dispuestas en su zona traccionada. El estudio demostró que mediante el uso de estas fibras se pueden generar mejoras en el comportamiento mecánico de las vigas y que el uso de este tipo de refuerzos naturales contribuye al cuidado del medio ambiente. El uso de refuerzos en las vigas de madera laminada Glulam tiene como propósito incrementar la resistencia a flexión y el módulo de elasticidad de la viga. Se busca adicionalmente disminuir el tamaño de las vigas y así reducir el peso propio de la estructura.

Es claro entonces que el reforzamiento de las vigas de madera laminada Glulam con fibras sintéticas (fibra de vidrio GFRP, fibra de carbono CFRP) y con fibras naturales (bambú, fique) puede presentar ciertas ventajas: económicas, mecánicas y ecológicas. No se ha estudiado, sin embargo, hasta el día de hoy el reforzamiento de las vigas de madera laminada Glulam con pletinas metálicas dentadas. Teniendo también en cuenta investigaciones previas en conexiones (Echavarría et al. [9]), es probable que el reforzamiento con pletinas metálicas dentadas mejore el comportamiento mecánico de las vigas de madera y de madera laminada. El objetivo principal de este artículo es demostrar que el uso de pletinas metálicas dentadas es una alternativa viable y podría convertirse en una nueva técnica de reforzamiento en el campo de los elementos estructurales de madera a flexión.

2. Materiales y métodos

2.1. Fabricación de las vigas de madera laminada Glulam

Para la fabricación de las vigas de madera laminada (ver Fig. 1) se usaron planchas de Carbonero (Licania campestre) y un pegante epóxico termo-endurecido de alta resistencia mecánica, alto módulo de elasticidad y alta resistencia a la humedad. En cada viga se pegaron 5 planchas de 30 mm de espesor, 2400 mm de longitud y 50 mm de anchura. No se efectuaron uniones dentadas en el sentido longitudinal. De esta forma, se elimina un factor de incertidumbre (ruptura en la unión dentada) durante la etapa experimental. El tamaño de la muestra experimental se determinó según la norma ASTM D2915-10 [4]. En esta investigación, se asume un coeficiente de variación de 20 %, una precisión estimada de 5 % y un valor crítico estadístico de 1,173 para un intervalo de confianza de 75 %. Se requiere entonces realizar al menos 22 ensayos por grupo estudiado. Se realizaron 30 ensayos por cada uno de los grupos (30 vigas sin reforzar y 30 vigas reforzadas con pletinas metálicas dentadas).

Viga de madera laminada Glulam.

Figura 1: Viga de madera laminada Glulam.

Fuente: Los autores

Para la fabricación de las vigas de madera laminada, se realizó previamente:

  • Un secado al horno de las planchas de madera para llevarlas a la humedad de equilibrio.

  • Una selección de planchas de madera con el fin de escoger las de mejor calidad y descartar las que presentaban una gran cantidad de alteraciones físicas.

  • Un control dimensional de las planchas de madera.

  • Un lijado, pulido y limpieza de las superficies de las planchas de madera inmediatamente antes de proceder al proceso de pegado.

  • Un control de humedad de las planchas. La madera presentó un contenido de humedad de equilibrio de 12% (cinco mediciones superficiales por plancha). Este contenido de humedad permaneció constante durante la fabricación y los ensayos en el ambiente controlado del laboratorio.

Las propiedades mecánicas de las planchas de madera fueron verificadas bajo parámetros de las normas ASTM D143-94 [1] y ASTM D2395-02 [2]. Las propiedades mecánicas de la Licania campestre y del pegante epóxico se encuentran en las Tablas 1 y 2.

Tabla 1: Propiedades mecánicas de la Licania campestre

Fuente: Los autores

Tabla 2: Propiedades mecánicas del pegante epóxico

Fuente: Los autores

El control del contenido de humedad de las planchas de madera permite minimizar las variaciones dimensionales y mecánicas que podrían presentarse en las vigas de madera laminada fabricadas. La superficie de la madera debe estar limpia, seca, libre de grasa, aceite y productos corrosivos para garantizar una alta adherencia. El pegante usado se produce mezclando un catalizador incoloro y una resina epóxica de color gris. Este pegante tiene como función principal servir de puente de adherencia entre las planchas de madera que constituyen las vigas de madera laminada (ver Fig. 2). Se aplicó una presión uniforme de 1 MPa durante el proceso de pegado. Adicionalmente, la cantidad de pegante usada en cada una de las superficies pegadas de las vigas no varió significativamente. De esta forma se obtuvo un espesor constante del adhesivo. El tiempo de curado del adhesivo es de 24 horas en el ambiente controlado del laboratorio. Este adhesivo presenta: alta resistencia a los agentes físicos y químicos, alta resistencia a la temperatura y buena resistencia a la humedad antes, durante y después del curado.

Aplicación del pegante epóxico.

Figura 2: Aplicación del pegante epóxico.

Fuente: Los autores

Durante el proceso de fabricación de las vigas de madera laminada, las planchas constitutivas de las secciones pueden ser organizadas según su resistencia y rigidez para obtener componentes más eficientes. Se debe garantizar que las planchas de menor calidad estructural se encuentren ubicadas en el centro (de la altura) de la viga donde las tensiones por flexión son menores.

2.2. Fabricación de las vigas de madera laminada Glulam reforzadas con pletinas metálicas dentadas

Las pletinas metálicas dentadas son conectores superficiales de alta rigidez. Estos elementos son usados en Norteamérica y en Europa en la fabricación de cerchas. El mecanismo resistente entre las pletinas metálicas dentadas y la madera se produce en dos etapas: inicialmente hay una transferencia de esfuerzos entre la madera y la pletina a través de los dientes (capacidad de anclaje) y posteriormente una transmisión de esfuerzos por tracción en la misma pletina metálica. El diseño de las conexiones con pletinas metálicas dentadas se hace según la sección 8.8 del Eurocódigo 5 [11]. Las vigas de madera laminada analizadas en esta investigación son reforzadas en las caras laterales de su tercio medio (de la longitud) con pletinas metálicas dentadas (ver Fig. 3).

Viga de madera laminada Glulam reforzada con pletinas metálicas dentadas.

Figura 3: Viga de madera laminada Glulam reforzada con pletinas metálicas dentadas.

Fuente: Los autores

Las pletinas metálicas dentadas usadas son placas perforadas de acero galvanizado con dimensiones: 50 mm de anchura, 150 mm de altura, 1 mm de espesor y dientes de 5mm de profundidad. Estas pletinas metálicas dentadas garantizan un aumento de la resistencia a tracción perpendicular a las fibras de la madera de 3 MPa a 11 MPa. Esta evaluación se hace al considerar las propiedades experimentales de la madera y de las pletinas, la sección homogénea madera-pletina y la ley de las mezclas de los materiales compuestos. Las propiedades mecánicas de las pletinas metálicas dentadas se encuentran en la Tabla 3. Las pletinas fueron escogidas para que no produjeran desgarramientos en la superficie de la madera.

Tabla 3: Propiedades mecánicas de las pletinas metálicas dentadas

Fuente: Los autores

Para la instalación de las pletinas metálicas dentadas en las vigas de madera laminada, se ubican los refuerzos metálicos mediante el uso de cintas adhesivas. Posteriormente, se ejerce presión sobre las pletinas hasta que quedan completamente adheridas en las vigas de madera laminada.

Las pletinas metálicas dentadas buscan mejorar localmente el comportamiento mecánico de la viga de madera laminada al disminuir la influencia de los defectos presentes en las planchas de madera.

3. Resultados y discusión

3.1. Estudio experimental y análisis comparativo

Una vez fabricadas todas las vigas, se ensayaron en laboratorio un total de 60 vigas: 30 vigas de madera laminada no reforzadas y 30 vigas de madera laminada reforzadas con pletinas metálicas dentadas. Las dimensiones de las vigas fueron 2400 mm de longitud, 150 mm de altura y 50 mm de anchura. Además de los ensayos de propiedades mecánicas realizados en las planchas de Licania campestre (ver Tabla 1), se determinaron los módulos de elasticidad longitudinal y transversal para cada viga analizada con el uso de ensayos no destructivos de ultrasonido (ver Fig. 4).

Análisis de ultrasonido.

Figura 4: Análisis de ultrasonido.

Fuente: Los autores

Los módulos de elasticidad estimados se muestran en la Tabla 4.

Tabla 4: Módulos de elasticidad de las vigas de madera laminada Glulam con ultrasonido

Fuente: Los autores

Se realizaron además análisis de adherencia del pegante epóxico bajo parámetros de la norma ASTM D905 [5]. Los resultados de dicho ensayo se encuentran en la Tabla 5.

Tabla 5: Adherencia en vigas de madera laminada Glulam

Fuente: Los autores

La resistencia a cortante de las planchas (9 MPa, ver Tabla 1) es idéntica a la resistencia a cortante entre las planchas (8 MPa, ver Tabla 5). Se descartan, verificándose también experimentalmente, rupturas por cortante y adherencia entre las planchas. Posteriormente, las 30 vigas de madera laminada sin reforzar y las 30 vigas de madera laminada reforzadas con pletinas metálicas dentadas fueron falladas, a través del ensayo a flexión de cuatro puntos según la norma ASTM D198-08 [3]. Se evalúa el comportamiento carga-desplazamiento y la resistencia a flexión de las vigas. Para el ensayo, se usa un marco rígido que permite apoyar la viga adecuadamente y que soporta un equipo mecánico capaz de aplicar fuerzas transversales sobre la viga para producir momentos de flexión (ver Fig. 5).

Ensayos de flexión de cuatro puntos.

Figura 5: Ensayos de flexión de cuatro puntos.

Fuente: Los autores

Durante el ensayo a flexión de cuatro puntos, se aplicó una carga con una tasa de control de desplazamiento con el fin de lograr la ruptura de las vigas entre 5 y 15 minutos. Los ensayos se detuvieron cuando una de las siguientes condiciones se alcanzó: la carga llegó al máximo y se redujo sin recuperación o cuando el desplazamiento excedió 50 mm. Los resultados experimentales fueron analizados y comparados con un modelo teórico (ver Fig. 6).

Tensiones de flexión en la viga.

Figura 6: Tensiones de flexión en la viga.

Fuente: Los autores

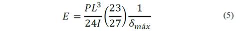
Se usa el modelo de Euler-Bernoulli. Este modelo se acepta y se utiliza, por los entes normativos y por las empresas productoras, en el estudio de las vigas de madera sometidas a flexión. Para determinar las propiedades mecánicas de las vigas, se utilizaron las siguientes ecuaciones del modelo teórico:

σ máx : Resistencia a flexión de la viga en MPa

𝑀 𝑚á𝑥 : Momento máximo en N-mm

c: Mitad de la altura en mm

h: Altura de la viga en mm

I: Inercia de una viga con sección rectangular en mm4

b: Anchura de la viga en mm

2P: Carga máxima en N

L: Longitud de la viga en mm

E: Módulo de elasticidad en MPa

𝛿 𝑚á𝑥 : Desplazamiento máximo de la viga en el centro de la luz en mm

Es necesario mencionar que se desprecia el desplazamiento producido por el esfuerzo cortante. Con la geometría propuesta y con las propiedades mecánicas verificadas en las planchas de madera con ensayos y en las vigas con el ultrasonido, se determinó que el desplazamiento por cortante es menor que el 2% del desplazamiento total en el centro de la luz. Con los datos experimentales y las ecuaciones 1 a 5 se determinan el módulo de elasticidad y la resistencia a flexión de las vigas estudiadas. Se ensayaron 30 vigas de madera laminada no reforzadas y se registraron las curvas de carga versus desplazamiento máximo en el centro de la luz (ver Fig. 7).

Curva carga-desplazamiento vigas de madera laminada Glulam no reforzadas, ensayos 1 a 30.

Figura 7: Curva carga-desplazamiento vigas de madera laminada Glulam no reforzadas, ensayos 1 a 30.

Fuente: Los autores

Se ensayaron igualmente 30 vigas de madera laminada reforzadas con pletinas metálicas dentadas y se registraron las curvas de carga versus desplazamiento máximo en el centro de la luz (ver Fig. 8). El comportamiento de todas las vigas de madera laminada sin reforzar y reforzadas con pletinas metálicas dentadas fue perfectamente elástico. La ruptura siempre se produjo en planchas sometidas a tracción en la vecindad a las anomalías o defectos.

Curva carga-desplazamiento vigas de madera laminada Glulam reforzadas con pletinas metálicas dentadas, ensayos 1 a 30.

Figura 8: Curva carga-desplazamiento vigas de madera laminada Glulam reforzadas con pletinas metálicas dentadas, ensayos 1 a 30.

Fuente: Los autores

Se estiman también los valores característicos del módulo de elasticidad y de la resistencia a flexión de cada grupo de vigas estudiado. Los valores característicos definidos en el Eurocódigo 5 [11] corresponden al quinto percentil. Se espera entonces que en todas las muestras de la población ensayada solamente el 5% tenga un valor más bajo que el característico. Los valores de resistencia a flexión característicos pueden usarse en el diseño estructural de la viga por resistencia última. Otro parámetro importante en el diseño estructural es el módulo de elasticidad.

Para el análisis y diseño de los elementos, se recomienda considerar el valor del módulo de elasticidad característico, con el fin de garantizar mayor seguridad a la estructura. Utilizar el módulo de elasticidad promedio equivale a aceptar una probabilidad alta de que el módulo de elasticidad real esté por debajo del considerado. Por ello, el módulo de elasticidad promedio solo se considera adecuado para la estimación de las deformaciones. Se muestra entonces el módulo de elasticidad característico y el módulo de elasticidad promedio para cada grupo de vigas estudiado. Se estimó además el incremento en la resistencia aportado por el refuerzo. En la Tabla 6 se muestran las propiedades de las vigas de madera laminada no reforzadas y de las vigas de madera laminada reforzadas con pletinas metálicas dentadas.

Tabla 6: Resumen de propiedades de vigas de madera laminada Glulam no reforzadas y vigas de madera laminada Glulam reforzadas con pletinas metálicas

Fuente: Los autores

El valor característico de la resistencia a flexión de las vigas de madera laminada reforzadas con pletinas metálicas dentadas aumenta 16 % respecto a las vigas de madera laminada no reforzadas. El valor característico del módulo de elasticidad de las vigas de madera laminada reforzadas con pletinas metálicas dentadas aumenta 3 % respecto a las vigas de madera laminada no reforzadas.

La Tabla 7 muestra adicionalmente las propiedades mecánicas de las vigas de madera laminada sugeridas por el Eurocódigo 5 [11].

Aunque los valores de resistencia promedio en los diferentes tipos de vigas estudiados son prácticamente iguales, se presenta un aumento en los valores característicos de las vigas reforzadas con pletinas metálicas dentadas al considerar el quinto percentil. De ahí su clasificación con relación al Eurocódigo 5 [11]. Las vigas de madera laminada no reforzadas estarían clasificadas entre las clases GL 24 y GL 28 según su valor característico de resistencia a flexión (26 MPa) y las vigas de madera laminada reforzadas con pletinas metálicas dentadas estarían clasificadas entre las categorías GL 28 y GL 32 según su valor característico de resistencia a flexión (30 MPa). Se evidencia, como consecuencia de la homogeneización del comportamiento mecánico de la viga, que la utilización de las pletinas metálicas dentadas aporta incrementos importantes en las propiedades mecánicas de las vigas y una mejor clasificación estructural. Es necesario resaltar que los fabricantes de vigas de madera laminada deben entregar un certificado de prestaciones válido para una especie de madera en particular basados en un estudio experimental como el mostrado en esta investigación.

Tabla 7: Propiedades mecánicas de las vigas de madera laminada Glulam sugeridas por el Eurocódigo 5

Fuente: Los autores

4. Conclusiones

Con esta investigación, se determinó el comportamiento de vigas de madera laminada Glulam por medio de un análisis teórico y una validación experimental. Se estimó el incremento en la resistencia y el aumento de la rigidez de las secciones de madera laminada reforzadas con pletinas metálicas dentadas. La variabilidad de los resultados experimentales se debe a la presencia de defectos (nudos y otros) presentes en las planchas de madera de Licania campestre. Todas las vigas presentan un comportamiento perfectamente elástico, al verificarse la linealidad de las curvas carga-desplazamiento, y pueden ser analizadas con un modelo teórico basado en las hipótesis de Euler-Bernoulli. No se requiere el uso de modelos teóricos no lineales, ni de modelos elasto-plásticos. Dadas las características de la unión entre la madera y el refuerzo, se puede decir que la sección de madera laminada reforzada con pletinas metálicas dentadas es una sección perfectamente solidaria con un incremento considerable en la resistencia característica del elemento tratado. La mejora de las propiedades mecánicas de las vigas de madera laminada reforzada con pletinas metálicas dentadas se puede reflejar en una disminución de la sección de los elementos y, como consecuencia de esto, en un menor peso de la estructura. Además, se presenta un aumento en la homogeneidad del elemento disminuyendo así la posibilidad de que se presenten fallas inesperadas. Igualmente, se incrementan los valores característicos de resistencia y de rigidez. La técnica de reforzamiento con pletinas metálicas dentadas propuesta en este artículo presenta evidentes ventajas desde el punto de vista del comportamiento mecánico de las vigas. El uso de las pletinas metálicas dentadas es entonces una alternativa técnica de reforzamiento viable en el campo de los elementos estructurales de madera a flexión.

Este y otros estudios de este tipo podrían ayudar a la inclusión de normas para elementos de madera laminada Glulam en el Reglamento Colombiano de Construcción Sismo Resistente.

Referencias

  1. [1] American society for testing and materials (ASTM). Standard methods of testing on small clear specimens of timber. D143-94. ASTM Annual Book of Standards. West Conshohocken, Pa, 2006. 🠔
  2. [2] American society for testing and materials (ASTM). Standard test methods for specific gravity of wood and wood-based materials. D2395-02. ASTM Annual Book of Standards. West Conshohocken, Pa, 2006. 🠔
  3. [3] American society for testing and materials (ASTM). Standard test methods of static tests of lumber in structural sizes. D198-08. ASTM Annual Book of Standards. West Conshohocken, Pa, 2009. 🠔
  4. [4] American society for testing and materials (ASTM). Standard practice for sampling and data-analysis for structural wood and wood-based products. D2915-10. ASTM Annual Book of Standards. West Conshohocken, Pa, 2003. 🠔
  5. [5] American society for testing and materials (ASTM). Standard test method for strength properties of adhesive bonds in shear by compression loading. D905. ASTM Annual Book of Standards. West Conshohocken, Pa, 2008. 🠔
  6. [6] Borri, A., Corradi, M. and Speranzini, E., Reinforcement of wood with natural fibers, Compos. Part B Eng, 53, pp. 1-8, Oct. 2013. DOI: 10.1016/j.compositesb.2013.04.039 [DOI] 🠔
  7. [7] Bragdon, M.M., Behavior and design of FRP reinforced longitudinal glulam deck bridges. BS Univ. Maine, 2002. 🠔
  8. [8] Daud, N. and Shanks, R., Epoxy-silica composites replicating wood cell structure, Compos. Part Appl. Sci. Manuf, 62, pp. 11-15. Jul. 2014. 🠔
  9. [9] Echavarría, C., Correa, C. and Echeverri, C., Conexiones pernadas de madera reforzadas con placas dentadas de acero, DYNA, 77(164), pp. 98-108, Dec. 2010. 🠔
  10. [10] Echavarría, C., Jiménez, L. and Ochoa, J.C., Bamboo-reinforced glulam beams: an alternative to fiberglass-reinforced glulam beams, DYNA, 79(174), pp. 24-30, Aug. 2012. 🠔
  11. [11] Eurocode 5, Design of timber structures EN 1995-1-1:2004 (E) European Committee for Standardization, Brussels, Belgium, 2004. 🠔
  12. [12] Fiorelli, J. and Dias, A.A., Analysis of the strength and stiffness of timber beams reinforced with carbon fiber and glass fiber, Mater. Res, 6(2), pp. 193-202, Jun. 2003. DOI: 10.1590/S1516-14392003000200014 [DOI] 🠔
  13. [13] Fournier, Z.R., Construcción sostenible y madera: realidades, mitos y oportunidades, Tecnol. en Marcha, 21(4), pp. 92-101, Oct. 2008. 🠔
  14. [14] Fueyo, J.G., Cabezas, J.A., Domínguez, M. and Rubio, M.P., Análisis de tensiones en uniones de tres barras de cerchas ligeras de madera realizadas con placas-clavo, Inf. Tech, 20(6), pp. 45-56, Jan. 2009. DOI: 10.4067/S0718-07642009000600007 [DOI] 🠔
  15. [15] Ghaffar, S.H. and Fan, M., Structural analysis for lignin characteristics in biomass straw, Biomass Bioenergy, 57, pp. 264-279, Oct. 2013. DOI: 10.1016/j.biombioe.2013.07.015 [DOI] 🠔
  16. [16] Humphrey, M.F., An investigation into the rehabilitation of timber structures with fiber composite materials; Queensland University of Technology, Brisbane, 2004. 🠔
  17. [17] Mascia, N.T. and Mayer, R.M., Analysis of wood laminated beams reinforced by natural fibers, in Structural Health Assessment of Timber Structures; Trento, Italy: Trans Tech Publications, 778, pp. 553-560, 2013. 🠔
  18. [18] NSR-10, Reglamento colombiano de construcción sismo resistente 2010. Colombia: Diario Oficial. Decreto 926 del 19 de marzo de 2010 🠔
  19. [19] Raftery, G.M. and Whelan, C., Low-grade glued laminated timber beams reinforced using improved arrangements of bonded-in GFRP rods, Constr. Build. Mater, 52, pp. 209-220, Feb. 2014. 🠔
  20. [20] Reza, S.A., Rehabilitation of timber railroad bridges using glass fiber reinforced polymer composite, West Virginia University, Virginia, 2007. 🠔
Cañola, H.D., Echavarría, C. and Echavarría, B., Vigas de madera laminada Glulam reforzadas con pletinas metálicas dentadas. DYNA, 85(204), pp. 127-133, March, 2018.