DYNA
0012-7353
Universidad Nacional de Colombia
https://doi.org/10.15446/dyna.v85n205.69676

Recibido: 5 de enero de 2018; Revision Received: 27 de abril de 2018; Aceptado: 15 de mayo de 2018

Highway designs: effects of heavy vehicles stability

Diseño de autopistas: efectos de la estabilidad de vehículos pesados

G. Moreno, aR. Vieira, bD. Martins, b

Grupo de Investigación en Ingeniería Mecánica - GIMUP, Department of Mechanical Engineering, University of Pamplona, Pamplona. Colombia. gmoren@hotmail.com, gmoren@unipamplona.edu.co Universidad de Pamplona Grupo de Investigación en Ingeniería Mecánica Department of Mechanical Engineering University of Pamplona Pamplona Colombia
Laboratory of Robotic Raul Guenther - UFSC, Department of Mechanical Engineering, Federal University of Santa Catarina. Florianopolis, SC. Brazil. Universidade Federal de Santa Catarina Laboratory of Robotic Raul Guenther Department of Mechanical Engineering Federal University of Santa Catarina Florianopolis SC Brazil

Abstract

From the perspective of heavy vehicles stability, some criteria of stability should be adhered to highway designs. In particular, the relationship between minimum radius, superelevation, slope angle, side friction, and design speed should be re-evaluated. In this regard, the static rollover threshold (SRT) is one of the most important factors used to define the stability of vehicles. This factor is highly dependent on the maximum lateral acceleration ( a y ) of a vehicle until it reaches the rollover threshold. This acceleration in turn is dependent on the vehicle speed and the radius of curvature. Taking into account the stability of vehicles, in this study the highways design is evaluated and compared with the classic design criterion. This study also suggests that in order to ensure driving safety, the State Highway Agencies should make a reevaluation of existing speed limits and the design of highway curves.

Keywords:

highway design, static rollover threshold (SRT), heavy vehicle, road safety, rollover, slide out.

Resumen

Desde la perspectiva de estabilidad de los vehículos pesados, se deben adherir algunos criterios de estabilidad al diseño de carreteras. En particular, la relación entre el radio mínimo, el peralte, el ángulo de pendiente longitudinal, la fricción lateral y la velocidad de diseño deberían reevaluarse. En este sentido, el umbral de vuelco estático (SRT) es uno de los factores más importantes utilizados para definir la estabilidad de los vehículos. Este factor depende en gran medida de la aceleración lateral máxima ( 𝑎 𝑦 ) cuando un vehículo alcanza el umbral de vuelco, esta aceleración a su vez depende de la velocidad del vehículo y del radio de curvatura. Teniendo en cuenta la estabilidad de los vehículos, en este estudio el diseño de carreteras se evalúa y se compara con el criterio de diseño clásico de vías. Este estudio también sugiere que para garantizar la seguridad de conducción, las agencias de carreteras estatales deberían hacer una revaluación de los límites de velocidad existentes y el diseño de curvas de carretera.

Palabras claves:

diseño de vías, umbral de vuelco estático (SRT), vehículos pesados, seguridad vial, vuelco, salida de la vía.

1. Introduction

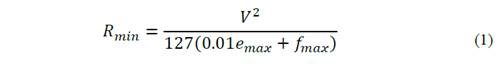
According to Hancock & Write [1], NYSDOT [2], and Chang [3]: “The minimum radius is a limiting value of curvature for a given design speed, and is determined from the maximum rate of superelevation (bank angle in percentage - 𝑒 𝑚𝑎𝑥 ) and the maximum side friction factor selected for design ( 𝑓 𝑚𝑎𝑥 ). Use of sharper curvature for that design speed would call for superelevation beyond the limit is considered comfortable by many drivers, or both. Although based on a threshold of driver comfort, rather than safety, the minimum radius of curvature is also an important control value to determine superelevation rates for flatter curves. The minimum radius of curvature, 𝑅 𝑚𝑖𝑛 (m), can be calculated directly by the next simplified curve formula”:

where 𝑉 is the vehicle speed (km/h).

However, this method is based on using the limiting values of the superelevation (𝑒) and the friction factor (𝑓); yet, this is a problem because the vehicles in general have two accident possibilities when taking a curve: slide out and rollover, as shown in Fig. 1.

Accident possibilities of heavy vehicles.

Figure 1: Accident possibilities of heavy vehicles.

Source: The authors.

Taking into account the second possibility; the stability of heavy vehicles (HV’s) has been the focus of research efforts in recent decades. A variety of measurements have been defined to parameterize the stability of HV’s. The static rollover threshold (SRT) is one of the most important parameters used to define the stability of vehicles. This factor is highly dependent on the location of the vehicle’s center of gravity (CG), and it represents the maximum lateral acceleration - 𝑎 𝑦 (expressed in terms of gravity acceleration - 𝑔) in a quasi-static situation immediately before one tire loses contact with the ground [4-6].

This aspect is very important, since the lateral acceleration ( 𝑎 𝑦 ) can also be expressed in terms of the speed of the vehicle and the radius of the curve that is making.

In relation to calculating the SRT factor of heavy vehicles, in our previous research [7-10], we developed a three-dimensional simplified mechanism model that represents the last trailer of a HV. This model considers the main characteristics of trailer and the road such as: suspension, tires, fifth-wheel, chassis, bank angle, longitudinal slope angle and the trailer/trailer angle.

In this regard, the fifth-wheel is a coupling device. Its purpose is to connect a tractive unit to a towed unit. The tractive unit is normally a tractor, but in the case of a multiple trailer train, the fifth-wheel also can be located on a lead trailer. The fifth-wheel allows an articulation between the tractive and the towed units, and consists of a wheel-shaped deck plate usually designed to tilt or oscillate on mounting pins. The assembly is bolted to the frame of the tractive unit. A sector is cut away from the fifth-wheel plate (sometimes called a throat), allowing a trailer kingpin to engage with locking jaws in the center of the fifth-wheel. The trailer kingpin is mounted on the trailer’s upper coupler assembly. The upper coupler consists of the kingpin and the bolster plate [11,12].

The paper is organized as follows. Section 2 introduces the mechanism of the three-dimensional trailer model with the characteristics mentioned above. Section 3 presents the static analysis of the proposed model; the result presented in Section 3 is analyzed and discussed within a case study in Section 4; and finally, conclusions are drawn in Section 5.

2. Mechanism trailer model

Some researchers have described that the last unit (trailer) of a HV is subjected to high lateral acceleration in comparison to the tractor unit. This acceleration is caused by the phenomenon known as rearward amplification (RA), impacting the rollover threshold of the last unit and the vehicle [13-15]. Thus, the last trailer of the HV is the critical unit and it is prone to rollover; taking into consideration this aspect, a simplified trailer model (Fig. 2) is modeled and analyzed to calculate the SRT factor.

Simplified last trailer of heavy vehicles (HV’s).

Figure 2: Simplified last trailer of heavy vehicles (HV’s).

Source: The authors.

During cornering or evasive maneuvers, the weight and the lateral inertial forces acting on the center of gravity cause its displacement, which can lead to vehicle rollover.

Mechanical systems can be represented by kinematic chains composed of links and joints, which facilitates their modeling and analysis [16-18]. Using mechanism theory, a three-dimensional model that represents the last trailer of HV’s is proposed (Fig. 3) [10].

Three-dimensional trailer model.

Figure 3: Three-dimensional trailer model.

Source: The authors.

The model of the Fig. 3 is composed of three mechanisms:

  • the first mechanism is located at the front of the trailer, and it is composed of sub-mechanisms that represent the tires (tire system), the suspension (rigid suspension system), and the fifth wheel (fifth-wheel system),

  • the second mechanism is located at the rear of the trailer, and it is composed of sub-mechanisms that represent the tires (tire system), and the suspension (rigid suspension system); and

  • the third mechanism represents the trailer body (chassis), and it links front and rear trailer mechanisms.

  • The kinematic chain of the three-dimensional trailer model (Fig. 3) is composed of thirty joints (𝑗=30; 16 - revolute joints “𝑅”, 12 - prismatic joints “𝑃”, and 2 spherical joints “𝑆”), in addition to twenty-five links (𝑛=23). However, making the expansion of the spherical joint the kinematic chain is composed of thirty-four joints (𝑗=34) and twenty-nine links (𝑛=29), making the workspace planar (𝜆=3) and according to mobility equation Eq. (2) the system has 16-DoF (𝑀=16) [16-18].

Making the simplification of the model, the revolute joint and the prismatic joint of the tires 2 and 3 can be changed by a spherical slider joint ( 𝑆 𝑑 ), with constraint in the z-axis, which does not modify the operation of the mechanism; the kinematic chain of the trailer model (Figure 4) is composed of twenty-eight joints (𝑗=28; 14 - revolute joints “𝑅”, 10 - prismatic joints “𝑃”, 2 spherical joints “𝑆”, and 2 spherical slider joints “ 𝑆 𝑑 ”), and twenty-three links (𝑛=23).

3. Static analysis of the mechanism

Several methods allow us to obtain a complete static analysis of a mechanism. In this study, the formalism presented by Davies [19] was used as the primary mathematical tool to analyze the mechanisms statically.

The Davies method appears in many publications in literature [10,20-22], and was selected due to the fact that it allows the static model of the mechanism to be obtained in a straight forward manner and it is also easily adapted using this approach.

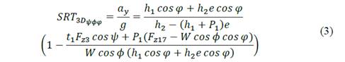
Applying this theory to the vehicle stability, and considering all characteristics of the trailer and the road, the static rollover threshold (SRT) of the three-dimensional model of the last trailer is represented by the Eq. (3) [10].

Where 𝑆𝑅𝑇 3𝐷 𝜓𝜙𝜑 is the three-dimensional static rollover threshold for a trailer model with trailer/trailer angle (𝜓), bank angle (𝜙) and grade angle (𝜑), ℎ 1 is the instantaneous lateral distance between the zero-reference frame and the center of gravity, 𝑒 is the bank angle in percentage, ℎ 2 is the instantaneous CG height, 𝑡 1 is the front track width of the trailer model, 𝑊 is the weight of the trailer, 𝐹 𝑧3 is the normal force on the front inner tire, 𝐹 𝑧17 is the normal force on the rear outer tire, 𝑃 1 is a system variable ( 𝑃 1 =(2 𝑙 13 sin 𝜓 + 𝑡 2 ( cos 𝜓 −1)/2), 𝑙 13 is the distance between the fifth-wheel and the front axle, and 𝑡 2 is the front axle width.

Trailer simplified model.

Figure 4: Trailer simplified model.

Source: The authors.

4. Case study

In this research study, the last trailer of a B-train with two front axles and three rear axles is analyzed. In this model a suspension system with tandem axle is used. Table 1 and Fig. 5 show the parameters of the trailer used in this analysis [23].

Table 1: Parameters of the trailer

Source: Adapted from [23-25]

Three-dimensional trailer model.

Figure 5: Three-dimensional trailer model.

Source: The authors.

The SRT factor calculation was obtained using the steady state circular test [26] and the load condition is a load laterally centered.

The simulation model was applied using MATLAB® [27]. To calculate the SRT factor, the inertial force was increased until the lateral load transfer in the rear axle become complete (the normal force in the rear inner tire 𝐹 𝑍19 reaches zero).

Additionally and taking into account the flexibility of the chassis and the fifth wheel for the stability analysis, it is considered that when a heavy vehicle makes a spiral maneuver, the lateral load transfer on the front axle ( 𝐿𝐿𝑅 𝑓 ) is approximately 70% of the 𝐿𝐿𝑇 𝑟 coefficient on the rear axle [28]; and that the recommended maximum lateral load transfer for the rear axle ( 𝐿𝐿𝑇 𝑟 ) is 60% [29, 30] and also the recommended bank angle and longitudinal slope of the road must be included [1,2], taking into account all these characteristics, the SRT factor was calculated for a trailer model on downhill corners, when the vehicle is more prone to rollover, as shown in Fig. 6.

Three-dimensional trailer model on a downhill corner.

Figure 6: Three-dimensional trailer model on a downhill corner.

Source: The authors.

Table 2 shows the influence of the bank angle, longitudinal slope angle, and the trailer/trailer angle on the SRT factor calculation on downhill corners.

Table 2: Static rollover threshold (SRT) of the trailer model on downhill corners.

Source: The authors.

In the worst-case scenario, the SRT factor for the trailer model on a downhill corner with 0 % of bank angle (𝑒), 8 % of longitudinal slope of the road (𝜑), and 20 degrees of trailer/trailer angle (𝜓), is 0.182.

4.1. Road design minimum radius of curvature

Taking into account the Eq. (1), the radius minimum can be calculated replacing the bank angle of the road (𝑒), and the side friction (demand) factor ( 𝑓 𝑚𝑎𝑥 ). Table 3 shows the recommended friction factors in relation to speed limits on roads:

Table 3: Speed limits and friction factors.

Source: Adapted from [1, 2]

On the other hand, as previously mentioned, the SRT factor is dependent on lateral acceleration ( 𝑎 𝑦 ). Rearranging the Eq. (2) and replacing the lateral acceleration, the minimum radius of curvature, 𝑅 𝑚𝑖𝑛 (m) can be expressed in terms of the SRT factor and the vehicle speed (𝑉 - km/h), as shown in Eq. (3)

Using the data from the Tables 2 and 3, Figs. 7 to 11 compared the minimum radius given by the Eq. (1) and the minimum radius given by the Eq. (3); in these figures the bank angle (𝑒) is fixed and the slope angle (𝜓) is varied.

Minimum radius of curvature ( 𝑅 𝑚𝑖𝑛 ) - Bank angle (𝑒=0 %).

Figure 7: Minimum radius of curvature ( 𝑅 𝑚𝑖𝑛 ) - Bank angle (𝑒=0 %).

Source: The authors.

Minimum radius of curvature ( 𝑅 𝑚𝑖𝑛 ) - Bank angle (𝑒=2 %).

Figure 8: Minimum radius of curvature ( 𝑅 𝑚𝑖𝑛 ) - Bank angle (𝑒=2 %).

Source: The authors.

Minimum radius of curvature ( 𝑅 𝑚𝑖𝑛 ) - Bank angle (𝑒=4 %).

Figure 9: Minimum radius of curvature ( 𝑅 𝑚𝑖𝑛 ) - Bank angle (𝑒=4 %).

Source: The authors.

Minimum radius of curvature ( 𝑅 𝑚𝑖𝑛 ) - Bank angle (𝑒=6 %).

Figure 10: Minimum radius of curvature ( 𝑅 𝑚𝑖𝑛 ) - Bank angle (𝑒=6 %).

Source: The authors.

Minimum radius of curvature ( 𝑅 𝑚𝑖𝑛 ) - Bank angle (𝑒=8 %).

Figure 11: Minimum radius of curvature ( 𝑅 𝑚𝑖𝑛 ) - Bank angle (𝑒=8 %).

Source: The authors.

Figs. 7 to 11 show that in certain situations and using the classical minimum radius given by the Eq. (1), the trailer is prone to rollover. This shows that the SRT factor plays an important role in road design and the speed limits of vehicles, which contributes to road safety and decreases accidents related to vehicle stability, which are very high nowadays.

Figs. 7 to 11 also show that it is important to re-evaluate the speed limits in certain situations, when the vehicles do not slide out, but instead they are prone to rollover.

5. Conclusions

The analysis showed that, the last trailer of the HV is the critical unit and it is prone to rollover when taking a curve, then it is important to re-evaluate the speed limits and the design of roads, which can guarantee greater road safety.

Therefore, when road design studies are made, it is important to take into account that the vehicle has two accident possibilities: slide out and rollover.

This research study shows that the SRT factor plays an important role in road design and the speed limits of vehicles. We also found that the parameters of the road, such as the bank angle and the longitudinal slope angle, can affect a vehicle’s stability. This situation is closer to the actual problem: when the road is not flat, the lateral and the longitudinal load transfer play an important role in reducing the stability. On the other hand, this provides a very important warning, because some simplifications carried out when estimating the SRT factor can lead to a considerably higher stability value. This is a point of concern, leading to the perception that our roads are safer than they really are.

This study also suggests that in order to ensure driving safety, the State Highway Agencies should make a revaluation of existing speed limits and the design of highway curves.

Acknowledgements

Acknowledgement

This research study was supported by the University of Pamplona - Colombia and the Brazilian governmental agencies Coordenação de Aperfeiçoamento de Pessoal de Nível Superior (CAPES) and Conselho Nacional de Desenvolvimento Científico e Tecnológico (CNPq). The authors declare that there is no conflict of interest regarding the publication of this paper.

References

  1. [1] Hancock, M.W. and Wright, B., A policy on geometric design of highways and streets, 6th ed. Washington, D.C., ISBN 1-56051-156-7. 2011. 🠔
  2. [2] Nysdot, D.Q.A.B., Recommendations for AASHTO super-elevation design. Design Quality Assurance Bureau, NYSDOT, Washington, D.C. 2003. 🠔
  3. [3] Chang, T., Effect of vehicles suspension on highway horizontal curve design. Journal of Transportation Engineering, 127(1), pp. 89-91. 2001. 🠔
  4. [4] Winkler, C., Experimental determination of the rollover threshold of four tractor- semitrailer combination vehicles, Final report to Sandia Labs, Contract 33-8665 Report No. UMTRI-87-43, July, [online]. 1987, 79 P. Available at: http://hdl.handle.net/2027.42/49,1987 [URL] 🠔
  5. [5] Gillespie, T.D., Fundamentals of vehicle dynamics. SAE International, 7th ed., Warrendale, PA, ISBN 1560911999. 1992. 🠔
  6. [6] Hac, A., Rollover stability index including effects of suspension design. SAE International - SAE 2002 World Congress, Detroit, March 4-7, 2002. 🠔
  7. [7] Moreno, G.G., Nicolazzi, L., Vieira, R.S. and Martins, D., Three-dimensional analysis of the rollover risk of heavy vehicles using davies method. 14th World Congress in Mechanical and Machine Science (IFToMM2015), Taipei, Taiwan, DOI: 10.6567/IFToMM.14TH.WC.PS4.006. 2015. [DOI] 🠔
  8. [8] Moreno, G.G., Flórez, E. and Peña, C., Stability study of heavy vehicles Revista Colombiana de Tecnologías de Avanzada, 2(30), pp. 1-6, 2017. DOI: 10.24054/16927257.v30.n30.2017.2756. [DOI] 🠔
  9. [9] Moreno, G., Nicolazzi, L., Vieira, R.S. and Martins, D., Suspension and tyres: the stability of heavy vehicles, International Journal of Heavy Vehicle Systems, 24(4), pp. 305-326, 2017. 🠔
  10. [10] Moreno, G., Nicolazzi, L., Vieira, R.S. and Martins, D., Stability of long combination vehicles, International Journal of Heavy Vehicle Systems , 25(1), pp. 113-131, 2018. DOI: 10.1504/IJHVS.2018.10011111 [DOI] 🠔
  11. [11] Bennett, S., Heavy duty systems. 5th. ed. Clifton Park, New York: Cengage Learning. 2011. ISBN 13: 9781435483828. 🠔
  12. [12] SAF-HOLLAND. About fifth wheels. SAF-HOLLAND Group. Germany. 2006. 🠔
  13. [13] Jindra, F., Handling characteristic of tractor-trailer combinations. SAE International, SAE Paper No. 650720. 1966. 🠔
  14. [14] Rempel, M.R., Improving the dynamic performance of multiply-articulated vehicles. MSc. Thesis - The University of British Columbia, Vancouver - Canada. 2001. 🠔
  15. [15] Melo, R.P., Avaliação da estabilidade lateral de CVCs. MSc. Thesis, Pontifícia Universidade Católica do Paraná - Brazil. 2004. 🠔
  16. [16] Kutzbach, K., Mechanische leitungsverzweigung, ihre gesetze und anwendungen, Maschinenbau. Betrieb, 8(8), pp. 710-716, 1929. 🠔
  17. [17] Crossley, F.R.E., A contribution to Grübler’s theory in number synthesis of plane mechanisms., ASME Journal of Engineering Industry, Serie B, 86(2), pp. 1-8, 1964. 🠔
  18. [18] Tsai, L.-W., Mechanism design: enumeration of kinematic structures according to function. CRC Press, ISBN 0849309018, Boca Raton, Florida. 2001. 🠔
  19. [19] Davies, T.H., Mechanical networks-III wrenches on circuit screws. Mechanism and Machine Theory, 18(2), pp. 107-112, 1983. 🠔
  20. [20] Davies, T.H., The 1887 committee meets again. Subject: freedom and constraint, Ball 2000 Conference, Cambridge University Press, Trinity College, Cambridge, UK, 56 P, 2000. 🠔
  21. [21] Tsai, L.-W., Robot analysis - The mechanics of serial and parallel manipulators. John Wiley and Sons, Ltd., ISBN 0-471-32593-7, New York. 1999. 🠔
  22. [22] Cazangi, H.R., Aplicação do método de Davies para análise cinemática e estática de mecanismos com múltiplos graus de liberdade. MSc. Thesis, Federal University of Santa Catarina, Florianópolis, Brazil, 2008. 🠔
  23. [23] Ervin, R.D. and Guy, Y., The influence of weights and dimensions on the stability and control of heavy duty trucks in Canada. UMTRI - The University of Michigan Transportation Research Institute, Final Report UMTRI-86-35/III, 1986. 🠔
  24. [24] Harwood, D.W., Torbic, D.J. and Richard, K.R., Review of truck characteristics as factors in roadway design. National Cooperative Highway Research Program, ISBN 0-309-08779-1, 2003. 🠔
  25. [25] Michelin Lta. Michelin XZA Tire, Michelin North America, INC, Greenville, SC 29615, 2013. 🠔
  26. [26] ISO-14792, Heavy commercial vehicles and buses - Steady state circular tests International Organization for Starndardization. Geneva, Switzerland, 2011. 🠔
  27. [27] MATLAB®. Version R2013a. MathWorks, São Paulo, Brazil, 2013. 🠔
  28. [28] Kamnik, R., Boettiger, F. and Hunt, K., Roll dynamics and lateral load transfer estimation in articulated heavy freight vehicles. Proceedings of the Institution of Mechanical Engineers, Part D: Journal of Automobile Engineering, Sage Publications Sage UK: London, England, 217(11), pp. 985-997, 2003. 🠔
  29. [29] Woodrooffe, J., Sweatman, P., Arbor, A., Middleton, D., James, R. and Billing, J.R., National cooperative highway research program - NCHRP. Report 671. Review of canadian experience with the regulation of large commercial motor vehicles. Ed. National Academy of Sciences, Washington, D.C., ISBN 978-0-309-15518-2, 2010. 🠔
  30. [30] Walker, H.K. and Pearson, J.R., Recommended regulatory principles for interprovincial heavy vehicle weights and dimensions. Tech. rep., CCMTA/RTAC Vehicle Weights and Dimensions Study Implementation Committee Report, 1987. 🠔
Moreno, G., Vieira, R. and Martins, D., Highway designs: effects of heavy vehicles stability, DYNA, 85(205), pp. 205-210, June, 2018.