DYNA
0012-7353
Universidad Nacional de Colombia
https://doi.org/10.15446/dyna.v85n206.70995

Recibido: 13 de marzo de 2018; Revision Received: 12 de julio de 2018; Aceptado: 15 de agosto de 2018

Kinetic parameters of lactic acid bacterial isolated from fermented milk “Suero Costeño”

Parámetros cinéticos de bacterias ácido-lácticas aisladas de la leche fermentada “Suero Costeño”

F. Valencia-García, aK. Motato-Rocha, bM. Vera-Peña, aM. Sepúlveda-Lindarte, a

Biotransformation Research Group. Industrial Microbiology and Environmental Program. School of Microbiology. Universidad de Antioquia. Medellín, Colombia. francia.valencia@udea.edu.co, madalyd.vera@udea.edu.co, lilianasepulveda13@gmail.com Universidad de Antioquia Biotransformation Research Group School of Microbiology Universidad de Antioquia Medellín Colombia
Bioali Research Group. Food Engineering Program. Faculty of Pharmacy and Food Science. Universidad de Antioquia. Medellín, Colombia. karina.motato@udea.edu.co Universidad de Antioquia Bioali Research Group Faculty of Pharmacy and Food Science Universidad de Antioquia Medellín Colombia

Abstract

The isolation of bacteria from artisanal dairy products has increased in different countries, it has reported special technological properties, responsible for giving to dairy products unique characteristics. The kinetic parameters of native microorganisms are important for biotechnological scaling. This research, to evaluated the kinetics of bacterial growth under optimal conditions of lactic acid bacterial isolated from artisanal fermented milk “Suero Costeño” Lactobacillus plantarum (Lp), Streptococcus infantarius (Si) and Lactococcus lactis (Ll), identified by 16S rRNA. There were fast rate acidification of Si and Ll as a typical dairy starter culture. Lp showed a slowly rate acidification and highest pH resistance. It is necessary a pH control between 5,3 and 5,7 in order to obtain higher consume of substrate and yield biomass. Si and Ll can be used as primary cultures in fermentations as a result of their rapid acidification and Lp as an adjunct culture through the slow acid production.

Keywords:

traditional fermented foods, kinetic growth, lactic acid bacterial.

Resumen

El aislamiento de bacterias a partir de productos lácteos artesanales ha incrementado en diferentes países, debido a que éstas han reportado características de interés tecnológico únicas. Conocer los parámetros cinéticos de estos microorganismos caracterizados es importante para escalamiento biotecnológico. Este estudio, evaluó tres bacterias ácido lácticas de “Suero Costeño” de preparación artesanal: Lactobacillus plantarum (Lp), Streptococcus infantarius (Si) y Lactococcus lactis (Ll), identificados por 16S rRNA. Las cinéticas de crecimiento en condiciones ideales fueron evaluadas. Los resultados muestran que los microorganismos presentaron comportamientos diferentes de crecimiento, Si y Ll presentaron una rápida acidificación, lo que indica que podrían ser usados como cultivos primarios en fermentaciones y Lp como cultivo adjunto por la lenta producción de ácido y mayor resistencia a pH bajo. Además, el estudio mostró que es necesario controlar el pH entre 5,3 y 5,7 para favorecer el consumo de sustrato y el aumento de la biomasa.

Palabras clave:

alimentos tradicionales fermentados, cinéticas de crecimiento, bacterias ácido lácticas.

1. Introduction

In recent years, the isolation of lactic acid bacteria from traditional fermented foods has increased promoting the production of the regional healthy foods and recovering the traditions which allows to improve the nutrition of the population[1].The microorganisms involved in these artisanal fermentation processes, in their great majority correspond to the group of lactic acid bacteria, many of these are generally recognized as safe by the food industry (GRAS), and some also have the name of probiotic microorganisms that provide, in addition to the technical benefits, specific health benefits to the hosts [2][3].

Among the traditional products of Colombia, the “Suero Costeño” (SC) is an artisanal soured cream produced in the Northern-Caribbean regional coast of Colombia. It is widely produced by the rural population in the regions of Córdoba, Sucre and Bolívar, manufactured mainly in households on a small scale, and represents a gastronomic heritage of Colombian cuisine [4] (Simanca et al., 2010). Microorganisms that are not commonly used in dairy products have been isolated from this product [5]. After distinguishing the existent microorganisms in the local products and identifying the shared probiotic technical characteristics and their molecular identification [6], it is necessary to think about the application of biotechnological scaling techniques in order to bioaugment the specific ferments and consequently make them available to improve the quality during the production of the specific products, which often is the financial support of many families depending on this production.

Scaling techniques of native potential probiotic/starter dairy strains involves the study of basic growth dynamic microorganisms, such as kinetic parameters, which is not very documented with lactic acid bacterial in Colombia; probably due to biotechnological dairy starter production of these microorganisms, has been restricted to few industrialized companies that offer starter cultures for massive use to develop food products.

This shows how the kinetic parameters of each microorganism in ideal conditions provide information that can be used to establish suitable conditions in the inoculum, among other purposes for: suggest alternative industrial culture methods, production of specific metabolites, [7], establish conditions in the concentration of cells in order to standardize probiotic and technological tests and / or cell conservation.

The purpose of this research is to establish the kinetic parameters of lactic acid bacteria isolates obtained from the fermented milk “Suero Costeño” of artisan manufacture.

2. Methodology

2.1. Bacterial strains

Native microorganisms from the fermented milk “Suero Costeño” produced in the Colombian Caribbean region were isolated and identified through partial amplification of the sequencing gene, 16S rRNA (Young et al., 1991), whose genomic sequences were determined using the BLAST program and the Ribosomal Database Project as Lactobacillus plantarum (60-1), Streptococcus infantarius (46-3) and Lactococcus lactis (25-2) [5].

2.2. Conservation and activation of cells

Each lactic acid bacteria (LAB) strains isolated from the fermented milk “Suero Costeño”, was inoculated in a liquid medium and incubate under microaerophilic atmosphere to the proposed conditions (See Table 1). The overnight cultures were centrifuged at 5000 rpm, washed with phosphate buffered saline (PBS), added with 20% of glycerol and stored in 2mL vials to preserve at -80°C.

Table 1: Conditions of microorganisms growth

Source: Author.

In order to activate the strains, each vial was defrosted at room temperature and 50μL of sample were inoculated into the corresponding agar by a loopful of the turbid culture streaked on specified agar (Table 1), and incubated in microaerophilic atmosphere at the temperature (Tº in ºC) and time (h) established in order to reach the early stationary phase, overnight culture. After this time, a single colony was selected and it was inoculated in 5mL of liquid culture and them second culture was made (2 generation).

Cells was obtained by centrifugation of culture liquid at 5000 rpm / 10-15 minutes at room temperature in a Sigma 3-16K 10280 centrifuge. The supernatant was discarded and cells was washed. In addition, sterile phosphate buffered saline (PBS) was added to the cell buttons, and it was mixed in the vortex (KMC 1300v), this procedure was performed two times. After this wash, the cells were resuspended in the culture liquid using an vortex, subsequently the initial optical density (OD600) concentration was standardized at 0,8±0,1 in a Spectronic® spectrophotometer 3w2R179001 genesys 2PC.

2.3. Kinetic growths in conventional culture media

To establish the growth parameters, the activated cells were inoculated (5%) in 8 tubes each containing 7mL of the corresponding liquid culture. Immediately after inoculation one of the tubes was taken and set aside for the analytical determinations, the other tubes were placed in incubation at the temperatures established in Table 1. To perform the growth curve for 24 hours. During the incubation, one tube was taken every 2h, in total 8 tubes were taken at different times (t0= startup, t1=2h, t2=4h, t3=6h, t4=8h, t5=10h, t6=12h y t7=24h). The analytical determinations were made to the taken samples. Each sample was made in triplicate.

2.4. Analytical determinations

2.4.1. Determination of biomass concentration (g/L)

The quantification of the microorganism growth was carried out by three methods which were correlated through a linear equation and statistical analysis. (1) Cell growth was measured spectrophotometrically based on the optical density at 600 in a Spectronic® spectrophotometer 3w2R179001 genesys 2PC. (2) The UFC/ml was performed using the microdrop technique, plated on to the surface of an agar plate 10μL in duplicate of the last 4 serial dilutions. The cultures were incubated for 48 hours at the established temperature conditions (Table 1), after incubation, counting colony was made. To precise the results it was considered, the average number of the grown colonies in the dilution per 100 (correction factor adjusting to 1ml) and multiplied by the inverse of the dilution. (3) The dry weight was measured to 5mL of harvesting liquid culture by membrane filtration (filters 0.2 μm x 47mm ADVANTE Brand) previously weighed in the analytical balance Adventurer AR2140 or AV-210 Ohaus Corporation, using Thomas lab vacuum pump, the filters were placed in a Binder ED53 01-27082 incubator a 70°C for 24h hours. After this time, the filters were weighed, and the biomass were calculated using eq. 1.

2.4.2. Substrate concentration

The glucose concentration was determined by the Glucose GO-PAD enzymatic method of Sigma Aldrich, using 10μL of the filtered culture plus 1mL of the reagent, dilutions were prepared for samples that presented OD > 1. The samples were mixed and incubated for 10 minutes at 22°C± 2°C. After this time, the reading of the samples and the standard (1g / L) was performed against the reagent blank. The glucose concentration was calculated using eq. 2

2.4.3. Determination of pH and acidity

The pH was measured in real time using a device manufactured by the Interfaculty Instrumentation Center of the University of Antioquia. The electrode was maintained for 24 hours in contact with inoculated liquid culture. The acidity was calculated using eq. 3 which corresponds to the chemical reaction of the acid (lactic acid) dissociation, taken into account the change in the pH value during the fermentation time, the pH which is equal to-log [H3O+] and the acidity constant (Ka) of lactic acid that equals to 1,38 x10-4 M [11]. These calculations were expressed in mg/L of lactic acid.

2.4.4. Kinetic calculations parameters

The specific speed growth calculations were made using the analytical techniques data (μ) which depends of the limiting substrate concentration (glucose) and the microorganism growth over time (eq. 4) [12].

=Growth rate

= inicial count of microorganism.

= Final count of microorganism.

= time (hours)

The biomass yield coefficient was calculated for each microorganism used eq. 5 [13]:

The doubling time of cells was obtained from the specific growth rate [12,13].

2.5. Data analysis

The kinetic processed data were obtained from two independents trials and each analysis (biomass concentration (g/L and substrate concentration g/L) was made triplicate. Obtained data was processed through the Statgrafics Centurion 17.2.00 software, using ANOVA and Fisher's LSD comparison test with a 5% of significance.

3. Results

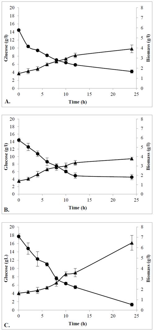
The results of the kinetic growth for the three species of microorganisms are presented in Figs. 1A, 1B and 1C.

Figs. 1A, 1B and 1C present the biomass growth and substrate consumption during the fermentation and substrate consumption in commercial media for each of the isolations. The initial glucose concentration initial concentration in the BHI+glucose broth was 14,5g/L, while the initial concentration of glucose for the MRS broth was 16g/L. During the first 12 hours of fermentation they were consumed 59,6%, 65,9% and 68,9% leaving a remnant at the end of the process of 29%, 31,5% and 7% substrate for strains L. lactis 25-2, S. infantarius 46-3 and L. plantarum 60-1, respectively.

Although the initial concentration of the inoculum in the three strains did not present statistically significant differences, at the end of fermentation L. plantarum 60-1 was the isolation with the highest growth (6,46 +/- 0,71) (Fig. 1).

The kinetics of cell growth () and substrate utilization ()in a conventional culture media. 1A. Lactococcus lactis 25-2, 1B. Streptococcus infantarius 46-3 y C. Lactobacillus plantarum 60-1.

Figure 1: The kinetics of cell growth () and substrate utilization ()in a conventional culture media. 1A. Lactococcus lactis 25-2, 1B. Streptococcus infantarius 46-3 y C. Lactobacillus plantarum 60-1.

Source: Author.

The independent terms and the slope obtained for the curves of OD vs Log UFC/mL and OD Vs Dry weight g/mL. In addition, the correlated coefficients and the R2 for each curve are presented on Table 2.

Table 2: Equations terms for biomass yields of the different LAB isolates.

Source: Author.

In general, for all microorganisms, a greater adjustment was observed between the curves that correlate the OD vs LogUFC/mL (0,94 - 0,97) that the curves that correlate OD Vs dry weight g/mL (0,85 - 0,88). For the isolates, highest correlation obtained was L. lactis 25-1 (0,97).

L. lactis 25-2 and S. infantarius 46-3 have a similar behaviour and decreasing of pH was faster than L. plantarum 60-1. Therefore, L. lactis 25-2 and S. infantarius 46-3 strains isolated from the fermented milk “Suero Costeño” can be considered starter culture, because in five hours the pH decreased two pH-metric units, after this time pH was maintained stable.

The behaviour of the L. plantarum 60-1 did not show a fast decrease in pH, but after 10h decrease more than 4 pH-metric units, reaching a better ΔpH with a value of 3.17 units.

Fig. 3 presents the results of the pH values at time 0, 6, 12 and 24 hours.

pH of L. lactis 26-2, S. Infantarius 46-3 and L. plantarum 60-1 at different times of incubation

Figure 3: pH of L. lactis 26-2, S. Infantarius 46-3 and L. plantarum 60-1 at different times of incubation

Source: Author.

Fig. 2 presents the results of the three LAB strains pH change studied during the time.

pH dynamic L. lactis 25-2 ( ), S. infantarius 46-3 (-----) and L. plantarum 60-1 (……..).

Figure 2: pH dynamic L. lactis 25-2 ( ), S. infantarius 46-3 (-----) and L. plantarum 60-1 (……..).

Source: Author.

During the first six hours, pH changes more faster for the L. lactis 26-2 and S. Infantarius 46-3, (1,87 y 2,13 respectively) isolations while the L. plantarum 60-1 was of 0,36 units; after 12 hours of fermentation the changes were L. lactis 26-2 (0,19), S. Infantarius 46-3, (0,04) and L. plantarum 60-1(2,02), after 24 hours of process, the change was observed only in the L. plantarum 60-1 (0,17) isolation.

Table 3 presents the results of the acidity calculated (mg/L) from equation 3.

Table 3: Acidity (mg/L) calculated during the growth of the strains.

Source: Author.

The highest acidifying activity was for L. plantarum with a 24-hour value of 58.43 (mg /L), the values for L. lactis and S. infantarius were 0.89 and 0.76 respectively.

Table 4 presents the results of biomass performance based from the substrate, specific growth rate and doubling time for the studied isolates.

Table 4: Kinetic calculation parameters and performance for the different isolates

Source: Author.

The highest yield biomass was for L. plantarum 60-1 with a value of 0.3 (gX/gS), followed by L. lactis 26-2 and S. infantarius 46-3 with a value of 0,24 (gX/gS). The specific growth velocity (μ) in the exponential phase was greater for S. infantarius 46-3. The doubling time of cells was similar for L. lactis 26-2 and L. plantarum 60-1 and almost 1.5h less for S. infantarius 46-3 which obtained the shortest doubling time.

4. Discussion

The selected commercial culture media are suitable for the lactic acid bacteria growth of fermented milk “Suero Costeño” (Fig. 1), since adaptation phase is not evident from the moment of inoculation. Logarithmic phase is concluded between 10 and 12h for the microorganisms in discontinuous growth, which does not coincide with others authors: Escobar et al. carried out the fermentations with enriched buttermilk for lactobacillus species for almost 170 hours [18]; Peñuela et al. performed fermentations in yogurt for the L. plantarum and L. lactis growth with almost a duration of 72 hours; Agudelo et al. develop fermentations with time duration of 48 hours [19]. However, it was observed that after hour 13, the pH was stabilized as well as the biomass production, and at 24 hours, no change in the biomass. As a result, the early stationary phase is adequate, for the performance of many tests or procedures which is achieved in a time shorter than 13h for the established growth conditions.

The results of the pH curves indicates that the strains studied are good candidates to be used in industrial processes as starter microorganisms, some as primary cultures and others as adjuvants [10]. In the elaboration of dairy products a rapid decrease in pH causes the destabilization of casein micelles (milk protein) due to the solubilization of their calcium phosphate, the pH values reached are close to the isoelectric point of the milk, with which coagulation takes place. L. plantarum 60-1 having a decrease in the higher pH but need more time compared to the other two strains, could be used as an adjunct culture [20]

L. plantarum 60-1 had the highest yield biomass probably to resistance pH stress. According to Chungking et al (2017), L. plantarum could maintain constant pH gradient between the inside of the cell (cytoplasm) and culture media (extracellular) in the presence of high lactate concentrations, therefore it is capable of supporting acid culture media in comparison with the other microorganisms and finish completely the fermentation [21].

In the growth and substrate consumption pH curves and due to the lactic acid nature of the isolates such as the fermentation metabolites, it is possible for either L. lactis 25-2 or S. infantarius 46-3 in addition to the carbón source, the occurrence of an inhibition per product, that even though with a decrease evidence in the substrate concentration, did not allow the microorganisms the glucose consumption, therefore; there was a decrease in the expected growth, this is due to the fact that most of the bacteria have an optimal pH value and when the decreasing occurred in the first 8 hours this could inhibit cell growth.

L plantarum 60-1 not show an inhibition by the acidity, probably, this microorganism use a mechanism known as F1-F0 ATPase as protection under acidic conditions. The F1-F0 ATPase is a multiple enzymatic subunit, which contains a catalytic portion (F1), incorporating subunits for the hydrolysis of ATP; and an integral membrane portion (F0) that includes subunits that function as membrane channels for proton translocation [22]. To obtain a higher yield biomass and improve the performance of the strains L. lactis 25-2 and S. infantarius 46-3, it is necessary to carry out a pH control in the optimal growth values, since the cellular metabolism tends to turn slower when it is not operating in optimal conditions [23].

The kinetic parameters values obtained in this work differ from those reported in the literature; Georgieva et al. present a Yx/s of 0,143 for L. plantarum in MRS culture médium with glucose [24] obtaining 48% better results. The speed depends on several factors among which are the nutrients concentration, products, pH and temperature. The results of the three strains studied show a specific growth rate lower than that reported by other authors. Agudelo et al. 2010, reported a 0,53 (h-1) for L. plantarum [19]. When the specific growth rate depends only on a limiting substrate, when the substrate is added in high concentrations, the specific velocity reaches maximum values, up to the point at which substrate inhibition occurs. The results obtained seem to indicate that, although we worked with a simple substrate (glucose) we would expect a higher specific growth rate, therefore, it is assumed that the kinetics growth was of order 1 where the low substrate concentration makes that the values of u are below the maximum growth rate.

The doubling time values indicate the time it takes for LABs to double their population. For L. plantarum 60-1 doubling times between 1.1 and 1.98 hours have been reported, therefore, the effect of some variables such as the change in pH over the doubling time could be evidenced.

5. Conclusions

The culture media used was suitable for the growth of the microorganism, since the adaptation phase was not observed in the studied isolates, despite being bacterias that can be used as starter culture. For its production and bioaugmentation it is necessary to carry out a pH control during the fermentation since it is not possible to consume all the substrate and an inhibition by product is observed without reaching the best performance in biomass.

Kinetic parameters were obtained from lactic acid bacterial isolates from the fermented milk “Suero Costeño”, which can be used in different fermentation processes in the food industry, taking into consideration the acidifying capacity and kinetic growth.

Acknowledgements

Acknowledgements

This research was financed through the research Project funds: "Production of indigenous starter culture of lactic acid bacterial LAB for the production of traditional fermented milk “Suero Costeño" code 111572553287 aproved by Colciencias in call 725 of 2015.

Bibliography

  1. [1] Misihairabgwi, J., Cheikhyoussef, A. Traditional fermented foods and beverages of Namibia. J Ethn Foods. Vol 4, (3), pp. 145-153. 2017. DOI: 10.1016/j.jef.2017.08.001 [DOI] 🠔
  2. [2] Singh, D., Lee, S. and Hwan Lee, C. Metabolomics for empirical delineation of the traditional Korean fermented foods and beverages. Trends in Food Science & Technology Vol 61, (2), pp. 103-115. 2017. DOI: 10.1016/j.tifs.2017.01.001. [DOI] 🠔
  3. [3] La Anh, N. Health-promoting microbes in traditional Vietnamese fermented foods: A review. Food Science and Human Wellness. Vol 4 (4), pp. 147-161. 2015. DOI: 10.1016/j.fshw.2015.08.004 [DOI] 🠔
  4. [4] Simanca, M., Arteaga, M., Pérez, Y., Soto, M. and Salcedo, J. Caracterización y estudio de la fermentación espontánea del Suero Costeño producido en Montería. Rev.MVZ Córdoba. Vol 15, (1), pp. 1944-1953, 2010. DOI: 10.21897/rmvz.332 [DOI] 🠔
  5. [5] Motato, K. E., Milani, C., Ventura, M., Valencia-García, F. E., Ruas-Madiedo, P., Delgado, S. Bacterial diversity of the Colombian fermented milk “Suero Costeño” assessed by culturing and high-throughput sequencing and DGGE analysis of 16S rRNA gene amplicons. Food Microbiology. Vol. 68 (1), pp. 129-136. 2017. DOI: 10.1016/j.fm.2017.07.011 [DOI] 🠔
  6. [6] Vakev ainen, K., Valderrama, A., Espinosa, J., Centurionc, D., Rizo, J., Reyes-Duarte, D., Díaz-Ruiz, G., Wright, A., Elizaquível, P., Esquivel, K., Simontaival, A., Aznar, R., Wacher, C. and Plumed-Ferrer, C. Characterization of lactic acid bacteria recovered from atole agrio, a traditional Mexican fermented beverage. LWT - Food Science and Technology. Vol. 88 (1), pp. 109-118. 2018. DOI: 10.1016/j.lwt.2017.10.004 [DOI] 🠔
  7. [7] Scragg, A. Biotecnología para ingenieros: Sistemas biológicos en procesos tecnológicos. Limusa: México. 2004. 🠔
  8. [8] Liu, X., Kuda, T., Takahashi, H. and Kimura, B. Bacterial and fungal microbiota of spontaneously fermented Chinese products, Rubing milk cake and Yan-cai vegetable pickles. Food Microbiology . Vol. 72 (1), pp. 106-111, 2018. DOI: 10.1016/j.fm.2017.11.014 [DOI] 🠔
  9. [9] Jimenez, E., Yepez, A., Perez-Catalu, A., Ramos, E., Zúniga-Avila, D., Vignolo, G., Aznar, R. Exploring diversity and biotechnological potential of lactic acid bacteria from tocosh - traditional Peruvian fermented potatoes - by high throughput sequencing (HTS) and culturing. LWT - Food Science and Technology Vol. 87 (1), pp. 567-574. 2018. DOI: 10.1016/j.lwt.2017.09.033 [DOI] 🠔
  10. [10] Gobbetti, M., De Angelis, M., Di Cagno, R., Mancini, L. and Fox, P. F. Pros and cons for using non-starter lactic acid bacteria (NSLAB) as secondary/adjunct starters for cheese ripening. Trends in Food Science & Technology . Vol 4 (1), 167-178. 2015. DOI: 10.1016/j.tifs.2015.07.016 [DOI] 🠔
  11. [11] Universidad de Cordoba. Química General. Córdoba. Departamento de Química Agrícola y Edafología. 2015. http://www.uco.es/~qe1marim/PractQGenIAgroalimentaria 2015_16.pdf [URL] 🠔
  12. [12] Diaz, M. Ingeniería de Bioprocesos. Madrid: Paraninfo. 2012. 🠔
  13. [13] Doran, P.M. Principios de Ingeniería de los Bioprocesos. Zaragoza: Acribia. 1998. 🠔
  14. [14] Rizo-Porro, M., González-Fernández, N., Pérez-Martínez, A. & Ramos-Sánchez, L. Diseño de un medio de cultivo con base en sacarosa para la producción de un probiótico para camarones. ICIDCA Sobre los Deriv la Caña Azúcar. 49 (2), pp. 8-16. 2015. Available at: http://www.redalyc.org/articulo.oa?id=223143421002 [URL] 🠔
  15. [15] Armando, M.R., Galvagno, M.A., Dogi, C.A., Cerrutti, P., Dalcero, A.M. & Cavaglieri, L.R. Statistical optimization of culture conditions for biomass production of probiotic gut-borne Saccharomyces cerevisiae strain able to reduce fumonisin B1. Journal Applied Microbiology. 114 (5), pp.1338-46. 2013. DOI:10.1111/jam.12144 [DOI] 🠔
  16. [16] Hwang, C.F., Chang, J.H., Houng, J.Y., Tsai, C.C., Lin, C.K., Tsen, H.Y. Optimization of medium composition for improving biomass production of Lactobacillus plantarum Pi06 using the Taguchi array design and the Box-Behnken method. Biotechnology and Bioprocess Engineering. 17 (4) pp. 827-34. 2012. http://doi 10.1007/s12257-012-0007-4 [URL] 🠔
  17. [17] Aguirre-Ezkauriatza, E. J., Ramírez-Medrano, A., Aguilar-Yáñez, J. M., Álvarez, M.M. Producción de proteína y biomasa probiótica de Lactobacillus casei liofilizadas a partir de suero de leche de cabra. Revista Mexicana de Ingeniería Química. 8 (1), pp. 67-76. 2013. http://www.redalyc.org/articulo.oa?id=62011375006 [URL] 🠔
  18. [18] Escobar, L.F, Rojas, C.A., Giraldo, G.A. & Padilla, L. Evaluación del crecimiento de Lactobacillus casei y producción de ácido láctico usando como sustratoe el suero de leche vacuno. Revista Universidad Del Quindio. 20, pp. 42-49. 2010. 🠔
  19. [19] Agudelo, C., Ortega, R., Hoyos, J.L. Determinación de parámetros cinéticos de dos inóculos lácticos: Lactobacillus plantarum A6 y bacterias ácido lácticas de yogurt. Facultad de Ciencias Agropecuarias. 8 (2), pp. 8-16, 2010. 🠔
  20. [20] Olivera, J. Caracterización tecnológica de cepas de bacterias ácido lácticas aisladas de la leche. Facultad de Agronomia, Universidad de la República, Montevideo. 2011. 43 P. 🠔
  21. [21] Changkun, L., Jihong, S., Lai-yu, K., Jicheng, W., Yan, D., Haijing, Y., Qiangchuan, H., Heping, Z. & Yongfu, C. Influence of Lactobacillus plantarum on yogurt fermentation properties and subsequent changes during postfermentation storage. Journal of Dairy Science. 100 (4), pp. 2512-24. 2017. DOI: 10.3168/jds.2016-11864. [DOI] 🠔
  22. [22] León, M.F. Evaluación in vitro de Cepas de Bacterias Ácido Lácticas Nativas con Potencial Probiótico. Facultad de Agronomia, Universidad de la República, Montevideo . 2012. 52 P. 🠔
  23. [23] Jurado-Gámez, H., Calpa-Yamá, F., Chaspuengal-Tulcán, A. Determinación de parámetros cinéticos de Lactobacillus casei en dos medios probióticos. Facultad de Ciencias Agropecuarias . 8 (2), pp. 15-35 2014. DOI: 10.17151/vetzo.2014.8.2.2 [DOI] 🠔
  24. [24] Georgieva, R., Koleva, P., Nikolova, D., Yankov, D., Danova, S. Growth Parameters of Probiotic Strain Lactobacillus plantarum, isolated From Traditional White Cheese. Biotechnology & Biotechnological Equipment. 23 (1), pp. 861-864. 2009. DOI: 10.1080/13102818.2009.10818558 [DOI] 🠔
Valencia-García, F.H., Motato-Rocha, K.E., Vera-Peña, M.Y. and Sepúlveda-Lindarte, M.L., Kinetic parameters of lactic acid bacterial isolated from fermented milk “Suero Costeño”. DYNA, 85(206), pp. 155-161, September, 2018.
received the BSc. Bacteriology and Technology in Clinic Laboratory in 1989 from Universidad Católica de Manizales. The MSc. in Food Technology in 1998 from the Universidad Nacional Sede Medellín, Colombia. The MSc. degree in Pharmaceutical Science with emphasis in Food in 2006 and the PhD. In Pharmaceutical and Food Science in 2012, both of them from the Universidad de Antioquia, Colombia. From 1990 to 1998 was working in different clinic laboratories. Since 2000 she has been working in some universities as a teacher. Currently, she is a full professor of the Industrial and Environmental Microbiology Program of Microbiology, School of the Universidad de Antioquia, Colombia. Her research interests include: technology and nutrition foods, development of functional foods, Acid lactic bacterial. probiotics, prebiotics and food quality control. ORCID: 0000-0002-4167-2167
is BSc. in Food Scientific and Technologist: Undergraduate studies of the University of Antioquia, Medellín, Colombia, 2001. MSc. of Biotechnology of the University of Antioquia, Medellín, Colombia, 2006. Dr. in Biotechnology programme: PhD studies of the University of Antioquia, Medellín, Colombia, 2018. Assistant professor of the University of Antioquia, Medellín, Colombia, in the Food Technology Department, Faculty of the Phamaceuticals and Food Sciences. Research performance in biotechnology of acid lactic bacterial and probiotics, food microbiology, isolation and characterization of microorganism in traditional fermented foods. ORCID: 0000-0002-1974-3301
Student (c) PhD in Biology at the University of Antioquia. Received her BSc. in Biotechnological Production Engineering at Francisco de Paula Santander University and she is MSc. of Science in Chemical Engineering at University of Nacional de Colombia. She is part time Professor at the University of Antioquia, School of Microbiology, Industrial and Environmental Microbiology program. Belongs to the biotransformation research group of the University of Antioquia; She has belonged to the biotechnology and biological control research groups of the Biological Research Corporation, the Dynamic Processes Research Group (KALMAN) of the Universidad Nacional de Colombia, all registered in Colciencias. The courses taught are bioprocesses modeling and drying technology in microorganism; in her doctoral research she is studing the protection mechanisms during spray dryer process of lactic acid starter cultures. ORCID: 0000-0002-0128-1188
is the BSc. in Biotechnological Engineer of the Universidad Francisco de Paula Santander, Cúcuta, Colombia in 2015. Diploma in Human Genetics and Clinical, form the Universidad de Pamplona, 2006. Professional practice in the area of Cytogenetics, Genetics and Molecular Biology laboratory LTDA, Bogotá, 2009. Undergraduate degree thesis: Mycorrhization in Guadua: behavior in the field and response to biofertilizers in the nursery Laboratory of Soil-Plant-Microorganism Associations (LAMIC), Pontificia Universidad Javeriana, Bogotá, 2011. Technical Specialization “Preparation of bio-inputs and vegetable extracts for organic farming production”. Servicio Nacional de Aprendizaje (SENA), Cúcuta, 2011. Currently, belongs to the Biotransformation Group of the University of Antioquia, collaborated in the project research production of indigenous enzymes from native strains for the production of fermented milk “Suero Costeño" endorsed by Colciencias. ORCID: 000-0002-0894-9451