DYNA
0012-7353
Universidad Nacional de Colombia
https://doi.org/10.15446/dyna.v86n210.72880

Recibido: 14 de junio de 2018; Revision Received: 28 de marzo de 2019; Aceptado: 19 de mayo de 2019

Evaluation of the effect of different factors on the ultrasound assisted extraction of phenolic compounds of the pea pod

Evaluación del efecto de diferentes factores sobre la extracción asistida por ultrasonido de compuestos fenólicos de la vaina de arveja

Y. Pinchao-Pinchao, a L. Ordoñez-Santos, a O. Osorio-Mora, b

Facultad de Ingeniería y Administración, Universidad Nacional de Colombia, Palmira, Colombia, yapinchaop@unal.edu.co leordonezs@unal.edu.co Universidad Nacional de Colombia Facultad de Ingeniería y Administración Universidad Nacional de Colombia Palmira Colombia
Facultad de Ingeniería Agroindustrial, Universidad de Nariño, Nariño, Colombia, osorio_oswaldo@udenar.edu.co Universidad de Nariño Facultad de Ingeniería Agroindustrial Universidad de Nariño Nariño Colombia

Abstract

The pea pod is a by-product that has several bioactive compounds. The effect of temperature, time, solid-liquid ratio and ethanol concentration on the ultrasonic assisted extraction of phenolic compounds were studied. A 2K factorial design was used and through ANOVA analysis the effect of each process variable was determined. Total phenols were analyzed by the Folin Ciocalteu method. The results showed that the temperature did not affect significantly the extraction of total phenols, however extraction time, ethanol concentration and solid-liquid ratio affected the extraction yield. The maximum concentration of the total phenols for each of the factors was recorded at 20 minutes, a 50% ethanol concentration and a liquid solid ratio of 1:40. These results provide useful information to optimize the ultrasound-assisted extraction process of the phenolic compounds of the pea pod according to the factors studied.

Keywords:

agroindustrial potential, by-product, extraction process, factorial design, high added value, natural sources.

Resumen

La vaina de arveja es un subproducto que posee diversos compuestos bioactivos. Se estudió el efecto que ejercen la temperatura, el tiempo, la relación sólido-líquido y la concentración de etanol sobre la extracción de fenoles totales asistida por ultrasonido. Se empleó un diseño factorial 2K y mediante análisis ANOVA se determinó el efecto de cada variable de proceso. Los fenoles totales se cuantificaron mediante el método de Folin Ciocalteu. Los resultados mostraron que la temperatura no tuvo efecto significativo sobre la extracción de fenoles, sin embargo, el tiempo, la relación sólido-líquido y la concentración de etanol si ejercen efecto sobre la extracción. La mayor concentración de fenoles totales para cada factor se alcanzó a 20 min, relación solido-liquido de 1: 40, y etanol al 50%. Estos resultados proveen información útil para optimizar el proceso de extracción asistido por ultrasonido de fenoles totales en vaina de arveja.

Palabras clave:

potencial agroindustrial, subproducto, proceso de extracción, diseño factorial, alto valor agregado, fuentes naturales.

1. Introduction

Legumes are one of the most important crops worldwide; they are an economic source of many regions around the world [1]. Global production of green peas for 2014 was 17.42 million tons, whose main producers are China and India, Colombia ranked 20th among the 88 fresh pea producing countries [2]. During the commercialization process of this legume, important volumes of residues are generated represented in the pods that reach between 40% and 50% of the initial weight of the fruit [3]. This by-product is undervalued due to that the compounds like phenolics, sugars, chlorophylls, etc. present in the plant tissue have not been analysed and used, that is, there is a lack of use of the pea pod. Additionally, recent studies report hepatoprotective activities, antioxidant, and important concentrations of phenolic compounds [4,5], making this residue a material of great agroindustrial potential. Phenolic compounds play an important role in the prevention of diseases such as arteriosclerosis and cancer [6]. For this reason, there is a growing interest in separating these vegetable antioxidants and using them as natural antioxidants [4,7].

Preliminary results (unpublished data) showed that the extraction of total phenols from the pea pod with soxhlet, maceration and assisted by ultrasound showed no statistically significant differences. In this sense, despite the fact that the most widely used conventional methods of extraction of phenolic compounds, are soxhlet extraction and maceration, these techniques have cost-effective disadvantages, because high temperatures are applied, extraction times are long, and high amounts of solvent are required which are generally toxic causing a decrease in final extraction yield [7,8]. For this reason, the current trend is to use techniques like high pressure extraction, ultrasound, microwave, use of enzymes, among others, that are more environmentally friendly and which contribute to the reduction of loss of phenolic and bioactive compounds during extraction [6,9].

In this sense, given the costs of implementation at the laboratory level, ultrasound results in an excellent alternative for the extraction of bioactive compounds [10]. Among the applications of ultrasound in food processing, it can be highlighted its application in the inactivation of enzymes and microorganisms, extraction of boactive compounds, dehydration, filtration, crystallization, emulsification, homogenization, and depolymerization, among others [11]. This technique, is generally used to promote an efficient, and rapid dissolution of solutes present in the samples in the solvent by the cavitational, effect caused by the entrance of the ultrasonic waves that in turn cause a disruption of the cellular walls of the biological matrix, which facilitates the extraction of the solute [10,12]. Authors such as [12-14], have investigated the extraction of phenolic compounds from natural sources and suggest that the factors that exert effects on yield in extraction are time, temperature, solvent concentration and the solid-liquid ratio mainly.

Therefore, the aim of this research was to study the influence of the process variables (ethanol concentration, temperature, time, and solid-liquid ratio on the extraction of total phenols from the powder residue of the pea pod, which can be a potential raw material of low cost, from which substances, chemical, biological, bioactive compounds with high added value could be extracted [16,17].

2. Experimental procedure

2.1. Materials and reagents

The Andean variety pea pod (Pisum sativum) from the municipality of Ipiales (Nariño), was collected in the Santa Elena market in the city of Cali, Colombia. Folin-Ciocalteau reagent (Panreac ITW Companies), gallic acid 97.5-102.5% (Sigma Aldrich Co.), sodium carbonate (Yequim Ltd.), 2,2-diphenyl-1-picrylhydrazyl (DPPH), ethanol and methanol for analysis (Merk Darmstadt).

2.2. Preparation of the sample

The pea pod, was washed and disinfected with sodium hypochlorite in 50 ppm concentration, allowed to dry at room temperature, cooled for 3 hours to finally freeze for 12 hours at -80 ° C and then to freeze drying in a FreeZone 4.5 (Liter Benchtop Freeze Dry System) freeze drier. The process was carried out under the following conditions: temperature of -55 ° C, surface of the condenser 13.6 dm2, and pressure of 0.12 mbar for 24 hours [18]. The freeze dried sheath was crushed in a hammer mill (IKA WERKE M20), finally sieved with an 80 mesh and packed in glass flasks with plastic cap, covered with aluminum foil and stored under refrigeration until various analyzes [18,19].

2.3. Phenol extraction

The freeze dried powder from the pea pod was subjected to ultrasonic assisted extraction (Ultrasonic Branson 1510 sonication bath was used; Branson Ultrasonics Corp. Danbury, USA). About 0.25 g of the pea pod powder was weighed, and ethanol was added at 50 and 80% concentrations and in volumes between 5 and 10 mL. The samples, were subjected to ultrasonic-assisted extraction during times between 20 and 50 min and at temperatures between 30 and 50 ºC. Finally, the samples were filtered through Whatman No 4 paper and the filtrate was used for the quantification of total phenols.

2.4. Quantification of total phenols

They were quantified by the method of Folin-Ciocalteu [20] with slight modifications [21,22]. 500 μL of each extract, 5 mL of distilled water and 500 μL of the Folin reagent, were added to the spectrophotometry reading tubes covered with aluminum foil and allowed to stand for 3 min. 1 mL of Na2CO3 to 1N was then added and left standing for 2 hours. Finally, the absorbance was read on a Jenway 6320D spectrophotometer at 765 nm. The results were expressed as mg of gallic acid equivalents (GAE) / g dry weight.

2.5. Experimental design

It was developed in two phases, the first one used a 2k factorial design to identify which variables influence on the yield of total phenolic compounds, with 4 process variables described in Table 1. The design was composed of 48 experiments including three replicates of each experiment.

Table 1.: Process variables and the levels used in the factorial design for the extraction of total phenols.

Source: The Authors.

Low and high values for each factor were determined based on previous studies on the extraction of phenolic compounds in different plant materials [14,15, 23-27]. The second phase, was to determine the central points where the extraction process of the total phenolic compounds could be optimized. For this purpose, total phenolic compounds concentration graphs were drawn versus each of the variables that had significant effects. The variation of each of the process variables was performed while the others remained constant.

2.6. Experimental analysis

An ANOVA analysis of variance was applied to evaluate the significance of each factor and graphic of main effects. All analyzes were performed using the Minitab 17 statistical software.

3. Results and discussion

3.1. Total phenols results extracted from the pea peel and

analysis of variance ANOVA

The total phenols that were extracted in the experimental runs of the pea pod presented values ​​between 3.98 ± 0.012 and 5.66 ± 0.115 (mg EAG/g freeze dried sample). In the ANOVA analysis (R-square = 96.72%, R-sq (adj) = 96.72%, R-sq (pred) = 94.97%, S = 0.0891692) and Fig. 1, It is evident that only the ethanol concentration (%) and the SL (g/mL) with P-Value = 0.000 have significant effects on the yield of total phenolic compounds, while temperature (ºC) and time (min) with P-Value of 0.882 and 0.866 did not show significant effects on the extraction.

According to the ANOVA analysis, the time did not show significant effects on the extraction however, with respect to the time it was decided in the second phase of the experiment to work in a range of 5-20 minutes, since it is possible that the maximum extraction of phenolic compounds would be below 20 minutes, as other investigators have previously reported in extracting this bioactive compound [13,28,29]. In the case of temperature, it was decided to fix it at 30 °C since different researchers commented that at higher temperatures,

Main effects on the extraction of total phenols

Figure 1. : Main effects on the extraction of total phenols

Source: The Authors.

the surface tension of the solvent and the vapor pressure of the cavitation bubbles decrease, negatively affecting the cavitation intensity, reducing the output power of the ultrasound equipment [12,30]. In addition, the set of: sample-ultrasound-concentration of ethanol contributes to increase the solubility of the total phenols, which facilitated their extraction without the need to apply high temperatures [31].

According to the results, the values that were used to analyze the variation of each of the process variables were established: Concentration of ethanol at 50%, time 20 min and S-L ratio of 0.25 g/10 mL, these values, were taken because they are the points where the experimental greatest extraction of total phenols, was achieved and for temperature the value was based on the literature.

3.2. Effect of time

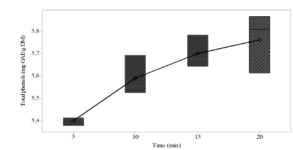
Fig. 2 shows the results obtained for concentration of total phenols versus time, there were values between 5.40 ± 0.01 and 5.75 ± 0.11 (mg EAG/g freeze dried sample).

Extraction of phenolic compounds vs time, constants: T º = 30 ºC, 50% Ethanol, Volume of ethanol = 10 mL and 0.25 g of sample.

Figure 2. : Extraction of phenolic compounds vs time, constants: T º = 30 ºC, 50% Ethanol, Volume of ethanol = 10 mL and 0.25 g of sample.

Source: The Authors.

In the Fig. 2 can be observed that as the exposure time to the sonication process increases, also, the concentration of extracted total phenols increases. Similar results report studies by [8,13,29], who found that the optimal extraction times were 10, 11, and 7 min respectively, this allows us to infer that times close to 20 min are sufficient for the ultrasound to provoke the cavitation phenomenon as previously commented by [12], this mechanical energy, breaks the cellular structures and in turn allows the solvent to enter the material and extract the intracellular compounds from the pea powder samples, finally according to Fig. 2, it is suggested to use a time of 20 min to achieve the highest yield in extracting phenolic compounds from the pea pod.

3.3. Effect of the S-L relationship

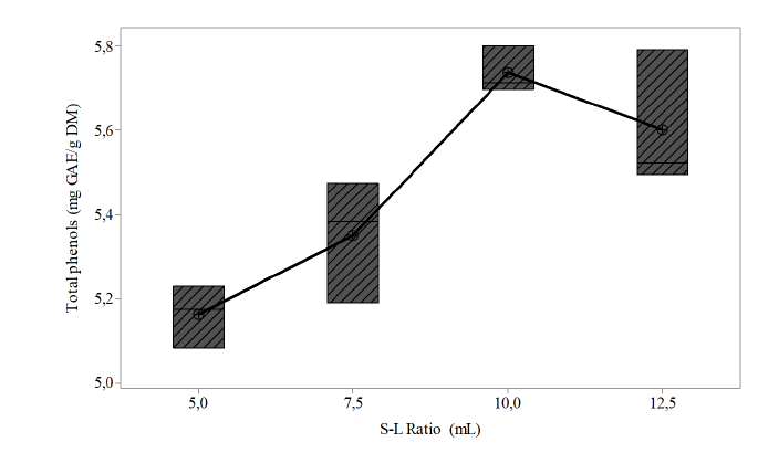
As shown in Fig. 3 the highest concentration of phenols was extracted using a solid-liquid ratio of 1:40, that is to say, 0.25 g of sample per 10 mL of ethanol.

Extraction of phenolic compounds vs S-L ratio (1: 20 (0.25 g / 5 mL), 1:30 (0.25 g / 7.5 mL), 1:40 (0.25 g / 10 ML) and 1:50 (0.25 g / 12.5 mL)), remaining constant: T ° = 30 ° C, 50% Ethanol, time = 20 min.

Figure 3. : Extraction of phenolic compounds vs S-L ratio (1: 20 (0.25 g / 5 mL), 1:30 (0.25 g / 7.5 mL), 1:40 (0.25 g / 10 ML) and 1:50 (0.25 g / 12.5 mL)), remaining constant: T ° = 30 ° C, 50% Ethanol, time = 20 min.

Source: The Authors.

In the Fig. 3 the ratio of 1: 40 agree with [29], who reported an optimal extraction ratio of 1: 50, of the antioxidant compounds of Jatropha integérrima flowers, similarly [32] found the best solid-liquid ratio is 1:35 (m/v) for extraction of polyphenols from leaves of Moringa oleifera, likewise.

[28] report, that the best solid-liquid ratio is 1: 31 in the extraction of phenolic compounds from Euryale Ferox seed pods. The results, are consistent with the principle of mass transfer, where the concentration gradient between the material and the solvent increase is the driving force of mass transfer [30].

A greater amount of solvent improves its extraction capacity, avoiding the early saturation of the same allowing to reach a higher concentration of the compound of interest [32]. On the other hand, the possible explanation for the reduction of phenolic compounds in ratios greater than 1:40 in the present study, is the extraction of impurities such as polysaccharides and proteins that can be dissolved in the medium, affecting the dissolution of the phenols [33]. Therefore, the 1:40 ratio is recommended as the central point in extracting phenolic compounds from the pea pod in future optimization experiments.

3.4. Effect of ethanol concentration

In Fig. 4 the highest phenolic content was achieved by using 50% ethanol, and as the ethanol concentration was increased to 80% the phenol concentration decreases.

Extraction of phenolic compounds by varying the concentration of ethanol, and maintaining constant: Tº = 30ºC, time = 20 min, Volume of ethanol = 10 mL and 0.25 g of sample.

Figure 4. : Extraction of phenolic compounds by varying the concentration of ethanol, and maintaining constant: Tº = 30ºC, time = 20 min, Volume of ethanol = 10 mL and 0.25 g of sample.

Source: The Authors.

The results shown in the Fig. 4 are in accordance with those reported by [34] in the extraction of piceid, resveratrol and emodin in Polygonum cuspidatum with 50, 59, and 71% ethanol concentrations as extraction solvents. [28] also found that using 52% ethanol allowed the best extraction of phenolic peel compounds from Euryale ferox seeds. [10] reported that polyphenols, are easily solubilized in |hydroalcoholic mixtures (protic polar medium), and maintains that specific fractions or compounds of interest can be recovered depending on the polarity that is obtained by adjusting the variation in alcohol concentration. Consequently, a concentration of 50% ethanol as the central point in the extraction of phenolic compounds from the pea pod in future optimization experiments is recommended.

4. Conclusion

In this study we can conclude that the time factors, S-L ratio, and ethanol concentration significantly affected the ultrasonic-assisted extraction of the total phenolic compounds present in the pea pod. The extraction of the total phenols in the pea pod by ultrasound increased significantly when the extraction time was 20 minutes, the ethanol concentration corresponded to 50%, and an S-L ratio of 1:40 was used. These results provide useful information to optimize the ultrasonic assisted extraction process of the phenolic compounds of the pea pod according to the factors studied.

References

  1. [1] Daryanto, S., Wang, L. and Jacinthe, P.-A., Global synthesis of drought effects on food legume production. PLoS One, 10(6), pp. e0127401, 2015. DOI: 10.1371/journal.pone.0127401 [DOI] 🠔
  2. [2] FAO, Food and Agriculture Organization of the United Nation, Production statistics, Crops, Green peas, 2017. [Online]. Available at: http://www.fao.org/faostat/en/#data/QC. [URL] 🠔
  3. [3] Noboa-Cárdenas, A., Caracterización, física, química y nutricional de la arveja (Pisum sativum L.) cultivada en Ecuador, como un aporte y base de estudio para la creación de una norma técnica Ecuatoriana (NTE 2010) por parte del Instituto Ecuatoriano de Normalización (INEN), Universidad Tecnológica Equinoccial, Ecuador, 2010. 🠔
  4. [4] Babbar, N., Oberoi, H.S., Sandhu, S.K. and Bhargav, V.K., Influence of different solvents in extraction of phenolic compounds from vegetable residues and their evaluation as natural sources of antioxidants. J. Food Sci. Technol., 51, pp. 1-8, 2012. DOI: 10.1007/s13197-012-0754-4 [DOI] 🠔
  5. [5] Seida, A.A., El Tanbouly, N.D., Islam, W.T., Eid, H.H., El Maraghy, S.A. and El Senousy, A.S., Bioassay-guided fractionation of a hepatoprotective and antioxidant extract of pea by-product. Nat. Prod. Res., 29(16), pp. 1578-1583, 2015. DOI: 10.1080/14786419.2014.986123 [DOI] 🠔
  6. [6] Vorobiev, E. and Chemat, F., Principles of physically assisted extractions and applications in the food, beverage and nutraceutical industries, in: Rizvi, SS.H ,., Separation, extraction and concentration processes in the food, beverage and nutraceutical industries Woodhead Publishing, Elsevier Eds , 2013, pp. 71-108. 🠔
  7. [7] Azmir, J. et al., Techniques for extraction of bioactive compounds from plant materials: A review. J. Food Eng., 117(4), pp. 426-436, 2013. DOI: 10.1016/j.jfoodeng.2013.01.014 [DOI] 🠔
  8. [8] Dent, M., Dragović-Uzelac, V., Garofulić, I.E., Bosiljkov, T., Ježek, D. and Brnčić, M., Comparison of conventional and ultrasound-assisted extraction techniques on mass fraction of phenolic compounds from sage (Salvia officinalis L.). Chem. Biochem. Eng. Q., 29(3), pp. 475-484, 2015. DOI: 10.15255/CABEQ.2015.2168 [DOI] 🠔
  9. [9] Briones-Labarca, V., Plaza-Morales, M., Giovagnoli-Vicuña, C. and Jamett, F., High hydrostatic pressure and ultrasound extractions of antioxidant compounds, sulforaphane and fatty acids from Chilean papaya (Vasconcellea pubescens) seeds: effects of extraction conditions and methods. LWT - Food Sci. Technol., 60(1), pp. 525-534, 2015. DOI: 10.1016/j.lwt.2014.07.057 [DOI] 🠔
  10. [10] Roselló-Soto, E. et al., Clean recovery of antioxidant compounds from plant foods, by-products and algae assisted by ultrasounds processing. Modeling approaches to optimize processing conditions. Trends in Food Science and Technology, 42(2), pp. 134-149, 2015. DOI: 10.1016/j.tifs.2015.01.002 [DOI] 🠔
  11. [11] Misra, N.N., Martynenko, A., Chemat, F., Paniwnyk, L., Barba, F.J. and Jambrak, A.R., Thermodynamics, transport phenomena, and electrochemistry of external field-assisted nonthermal food technologies. Crit. Rev. Food Sci. Nutr., 58(11), pp. 1832-1863, 2018. DOI: 10.1080/10408398.2017.1287660 [DOI] 🠔
  12. [12] Chemat, F., Rombaut, N., Sicaire, A.-G., Meullemiestre, A., Fabiano-Tixier, A.-S. and Abert-Vian, M., Ultrasound assisted extraction of food and natural products. Mechanisms, techniques, combinations, protocols and applications. A review. Ultrason. Sonochem., 34, pp. 540-560, 2017. DOI: 10.1016/j.ultsonch.2016.06.035 [DOI] 🠔
  13. [13] Kazemi, M., Karim, R., Mirhosseini, H. and Abdul-Hamid, A., Optimization of pulsed ultrasound-assisted technique for extraction of phenolics from pomegranate peel of Malas variety: Punicalagin and hydroxybenzoic acids. Food Chem., 206, pp. 156-166, 2016. DOI: 10.1016/j.foodchem.2016.03.017 [DOI] 🠔
  14. [14] Ghitescu, R., Volf, I., Carausu, C., Bühlmann, A., Andrei, I. and Popa, V.I., Optimization of ultrasound-assisted extraction of polyphenols from spruce wood bark. Ultrason. Sonochem., 22, pp. 535-541, 2015. DOI: 10.1016/j.ultsonch.2014.07.013 [DOI] 🠔
  15. [15] Ghasemzadeh, A., Jaafar, H., Juraimi, A. and Tayebi-Meigooni, A., Comparative evaluation of different extraction techniques and solvents for the assay of phytochemicals and antioxidant activity of hashemi rice bran. Molecules, 20(6), pp. 10822-10838, 2015. DOI: 10.3390/molecules200610822 [DOI] 🠔
  16. [16] Ezejiofor, T.I.N., Enebaku, U.E. and Ogueke, C., Waste to wealth- value recovery from agro- food processing wastes using biotechnology: a review. Journal, Br. Biotechnol., 4(4), pp. 418-481, 2014. DOI: 10.9734/BBJ/2014/7017 [DOI] 🠔
  17. [17] Mateos-Aparicio, I . Redondo-Cuenca A. , , Villanueva-Suárez M.J., , Zapata-Revilla M.A , and Tenorio-Sanz M.D , ., Pea pod, broad bean pod and okara, potential sources of functional compounds. LWT - Food Sci. Technol., 43(9), pp. 1467-1470, 2010. DOI: 10.1016/j.lwt.2010.05.008 [DOI] 🠔
  18. [18] Mateos-Aparicio, I., Redondo-Cuenca, A. and Villanueva-Suárez, M.J., Broad bean and pea by-products as sources of fibre-rich ingredients: potential antioxidant activity measured in vitro. J. Sci. Food Agric., 92(3), pp. 697-703, 2012. DOI: 10.1002/jsfa.4633 [DOI] 🠔
  19. [19] Zhao, Y. et al., Optimization of ultrasonic extraction of phenolic compounds from Epimedium brevicornum maxim using response surface methodology and evaluation of its antioxidant activities in vitro. J. Anal. Methods Chem., vol. 2014, Article ID 864654, 7 P,. DOI: 10.1155/2014/864654 [DOI] 🠔
  20. [20] Singleton, V.L., Orthofer, R. and Lamuela-Raventós, R.M., Analysis of total phenols and other oxidation substrates and antioxidants by means of folin-ciocalteu reagent. Methods Enzymol., 299(1974), pp. 152-178, 1998. DOI: 10.1016/S0076-6879(99)99017-1 [DOI] 🠔
  21. [21] Ballard, T.S., Mallikarjunan, P., Zhou, K. and O’keefe, S.F., Optimizing the extraction of phenolic antioxidants from peanut skins using response surface methodology. J. Agric. Food Chem., 57(8), pp. 3064-3072, 2009. DOI: 10.1021/jf8030925 [DOI] 🠔
  22. [22] Ordóñez-Santos, L.E., Vázquez-Odériz, M.L. and Romero-Rodríguez, M.A., Micronutrient contents in organic and conventional tomatoes (Solanum lycopersicum L.). Int. J. Food Sci. Technol., 46(8), pp. 1561-1568, 2011. DOI: 10.1111/j.1365-2621.2011.02648.x [DOI] 🠔
  23. [23] Jerman, T., Trebše, P. and Mozetič Vodopivec, B., Ultrasound-assisted solid liquid extraction (USLE) of olive fruit (Olea europaea) phenolic compounds. Food Chem., 123(1), pp. 175-182, 2010. DOI: 10.1016/j.foodchem.2010.04.006 [DOI] 🠔
  24. [24] Murugan R. and Parimelazhagan , T ., Comparative evaluation of different extraction methods for antioxidant and anti-inflammatory properties from Osbeckia parvifolia Arn. - An in vitro approach. J. King Saud Univ. - Sci., 26(4), pp. 267-275, 2013. DOI: 10.1016/j.jksus.2013.09.006 [DOI] 🠔
  25. [25] Chen, M., Zhao, Y. and Yu, S., Optimisation of ultrasonic-assisted extraction of phenolic compounds, antioxidants, and anthocyanins from sugar beet molasses. Food Chem., 172, pp. 543-550, 2015. DOI: 10.1016/j.foodchem.2014.09.110 [DOI] 🠔
  26. [26] Jain, A., Singh, A., Chaudhary, A., Singh, S. and Singh, H.B., Modulation of nutritional and antioxidant potential of seeds and pericarp of pea pods treated with microbial consortium. Food Res. Int., 64, pp. 275-282, 2014. DOI: 10.1016/j.foodres.2014.06.033 [DOI] 🠔
  27. [27] Saikia, S., Mahnot, N.K. and Mahanta, C.L., Optimisation of phenolic extraction from Averrhoa carambola pomace by response surface methodology and its microencapsulation by spray and freeze drying. Food Chem., 171, pp. 144-152, 2015. DOI: 10.1016/j.foodchem.2014.08.064 [DOI] 🠔
  28. [28] Liu, Y., Wei, S. and Liao, M., Optimization of ultrasonic extraction of phenolic compounds from Euryale ferox seed shells using response surface methodology. Ind. Crops Prod., 49, pp. 837-843, 2013. DOI: 10.1016/j.indcrop.2013.07.023 [DOI] 🠔
  29. [29] Xu, D.-P., Zhou, Y., Zheng, J., Li, S., Li, A.-N. and Li, H.-B., Optimization of ultrasound-assisted extraction of natural antioxidants from the flower of Jatropha integerrima by response surface methodology. Molecules, 21(1), pp. 1-12, 2015. DOI: 10.3390/molecules21010018 [DOI] 🠔
  30. [30] Tao Y . and Sun D.-W ,., Enhancement of food processes by ultrasound: a review. Crit. Rev. Food Sci. Nutr., 55(4), pp. 570-594, 2015. DOI: 10.1080/10408398.2012.667849 [DOI] 🠔
  31. [31] Syed-Jaapar, S.Z., Morad, N.A. and Iwai, Y., Effect of sonication on the dielectric constant of water and water + ethanol in ginger extraction, in: 2nd Asia-Oceania Sonochemical Society Conference (AOSS 2), pp. 25-28, 2015. 🠔
  32. [32] Valdés-hernández, G.V., Cruz-viera, L. Y Comet-Rodríguez R , ., Influencia de las condiciones de operación en la extracción de polifenoles a partir de hojas de Moringa oleifera Lam. Rev. CENIC Ciencias Químicas, 46, pp. 135-145, 2015. 🠔
  33. [33] Yang, L., Cao, Y.L., Jiang, J.G., Lin, Q.S., Chen, J. and Zhu, L., Response surface optimization of ultrasound-assisted flavonoids extraction from the flower of Citrus aurantium L. var. amara Engl. J. Sep. Sci., 33(9), pp. 1349-1355, 2010. DOI: 10.1002/jssc.200900776 [DOI] 🠔
  34. [34] Kuo C.H. et al., Optimized ultrasound-assisted extraction of phenolic compounds from Polygonum cuspidatum. Molecules, 19(1), pp. 67-77, 2013. DOI: 10.3390/molecules19010067 [DOI] 🠔
Pinchao-Pinchao, Y.A., Ordoñez-Santos, L.E. and Osorio-Mora, O., Evaluation of the effect of different factors on the ultrasound assisted extraction of phenolic compounds of the pea pod. DYNA, 86(210), pp. 211-215, July - September, 2019.
received the BSc. Eng in Agroindustrial Engineering in 2012 at the Universidad de Nariño, San Juan de Pasto, Colombia. He is a MSc. in Agroindustrial Engineering in 2018 at the Universidad Nacional de Colombia, Sede Palmira. He worked on a research project which studied the extraction and microencpasulation of phenolics compouds from pea pod. His research topics include thermal process, ultrasound assisted extraction, uses of by-products, among others. ORCID: 0000-0003-3460-5801
is an associate professor of the Universidad Nacional de Colombia, Sede Palmira. Is BSc. in Agroindustrial Engineer, PhD in Food Science and Technology. Leader of the research Group on Agroindustrial Processes (GIPA). More than forty publications in national and international journals on fruit and vegetable processing, ultrasound processing, food color evaluation, extraction and quantification of bioactive compounds such as carotenoids, anthocyanins, phenolic compounds, vitamin C, among others. ORCID: 0000-0002-8958-027X
is a BSc. in Agroindustrial Engineering (1993), Sp. in food technology (1994), Sp. in University Teaching (2000), PhD. in Science and Food Technology (2008). Since 1998 he is full professor in the department of Industrial Processes of the Universidad de Nariño Pasto, Colombia. His research topics include development of tecnics and termic treatments in juices and other foods, agro-industrial wastes valuation and in general food science and technology. ORCID: 0000-0002-0160-1815