DYNA
0012-7353
Universidad Nacional de Colombia
https://doi.org/10.15446/dyna.v86n209.72958

Recibido: 18 de junio de 2018; Revision Received: 20 de febrero de 2019; Aceptado: 3 de noviembre de 2019

Influence of storage conditions on the quality of two varieties of native potato (Solanum Tuberosum group phureja)

Influencia de condiciones de almacenamiento sobre la calidad de dos variedades de papa nativa (Solanum Tuberosum grupo phureja)

L. Valencia-Flórez, aD. Trejo-Escobar, aL. Latorre-Vásquez, aD. Mejía-España, aA. Hurtado-Benavides, a

Facultad de Ingeniería Agroindustrial, Universidad de Nariño, Pasto, Colombia. lfvalenciaf@udenar.edu.co; dmtrejoe@udenar.edu.co; lilatorrev@udenar.edu.co; diegomejiaes@udenar.edu.co; ahurtado@udenar.edu.co Universidad de Nariño Facultad de Ingeniería Agroindustrial Universidad de Nariño Pasto Colombia

Abstract

Native varieties present the opportunity to recover biodiversity and contribute to food security in regions of low development. These varieties, however, have not been studied sufficiently. The varieties of native Curiquinga and Ratona Morada potatoes cultivated in the department of Nariño are subjected to different storage temperatures to observe the behavior of characteristics such as moisture, weight loss, glucose content and ascorbic acid. The Ratona Morada variety better conserved its characteristics in refrigeration, deteriorating faster in incubation, while the Curiquinga presented greater deterioration in refrigeration than in room temperature and incubation. Further studies of post-harvest storage in native varieties is recommended in order to link production with processing that generates additional value to agroindustrial chains, conserve these genetic resources, and provide alternatives for small producers.

Keywords:

native potatoes, post-harvest, storage.

Resumen

Las variedades nativas presentan la oportunidad para recuperar la biodiversidad y contribuir a la seguridad alimentaria en algunas regiones de bajo desarrollo, sin embargo no han sido estudiadas lo suficiente. Se someten a diferentes temperaturas de almacenamiento las variedades de papa nativa Curiquinga y Ratona Morada cultivadas en el departamento de Nariño para observar el comportamiento de características como humedad, pérdida de peso, contenido de glucosa y ácido ascórbico. La variedad Ratona Morada conserva mejor sus características en refrigeración, deteriorándose más rápido en incubación, la Curiquinga en cambio presenta mayor deterioro en refrigeración que en temperatura ambiente e incubación. Se recomienda profundizar los estudios de almacenamiento pos cosecha en variedades nativas para enlazar la producción con el procesamiento que permita generar cadenas agroindustriales de valor agregado, conservar estos recursos genéticos y brindar alternativas a pequeños productores.

Palabras clave:

papas nativas, pos cosecha, almacenamiento..

1. Introduction

Native potatoes, also known as Andean potatoes (Solanum tuberosum andigenum), have the potential to become highly valued products of agro-industrial interest. These potatoes are tubers of various colors and pleasant organoleptic qualities [1] that can be grown under different environmental conditions than commercial varieties, allowing for diversification of production as well as food security in low-resource areas [2].

In the Andean region of South America, native potato cultivars have been preserved ancestrally by indigenous people and small farmers, mainly for household consumption. These products, in a lesser sense, are also used for trade in local markets and squares [3]. In spite of its favorable characteristics, cultivated area has been reduced and some varieties have been lost due to both the lack of knowledge of consumers and the introduction of improved varieties [4].

There is growing interest in the study and conservation of these potato varieties for many reasons, including: to understand of their evolutionary process in a certain region [5], to contribute to the conservation of biodiversity and reduction of the loss of genetic diversity in native or introduced varieties [6], to generate technological innovations in production and post-harvest, to introduce them in value chains and fortify producers [7], to increase the visibility of native potatoes, and highlight their characteristics to promote greater consumption [8,9].

To improve competitiveness in the potato value chain, an investigation into post-harvest behavior is required [10], and changes that occur during storage prior to processing must be understood. Potato tubers in storage present physiological and chemical changes due to their metabolism, which directly impact the shelf life and quality traits of potatoes and their products [11].

This study records changes during post-harvest storage of two native potato varieties from the department of Nariño, exposed to three temperature conditions, to evaluate changes in weight, moisture, glucose and ascorbic acid. The two potato varieties were stored for 52 days in refrigerated storage (4°C), room temperature (18°C), and incubation (27°C).

This research aims to provide methods to improve the storage processes of a tuber like the potato, which is a very important food in the national trade and domestic consumption. The adequate conservation of this vegetable, based on the results of this research, will significantly help to minimize the post-harvest losses of this starch.

2. Materials and methods

In this investigation, two potato tubers varieties were considered: UdenarST Cr29 (common name Curiquinga or CUR), cultivated in the experimental farm Botana of the University of Nariño, and UdenarST Cr16 (common name Ratona Morada or RM), grown in the Obonuco Research Center of the Colombian Corporation of Agricultural Research (AGROSAVIA). Both farms are located in the city of Pasto, capital of the department of Nariño, Colombia.

CUR according to [5, 12] is characterized as compressed, round-shaped tubercle with very thick, dark purple and yellow skin. The pulp is white and violet with scattered spots. Storage time at room temperature lasted until the detection of deterioration signs such as rot, softening and/or sprouting is about 23 days. This variety is ideal for frying, has floury consistency and good flavor. In addition to being used for chips it can be served as mashed potatoes, soups and for stewing.

The RM has an elliptical shape, its skin is thick, deep purple, and the color of the pulp is cream with purple in scattered areas. Its storage period is 15 days, it has good aptitude for frying as chips, in addition to possible culinary uses in soups, purées, stewing and lapingachos (potato tortillas typical of the region). Its consistency is also floury, and it is flavorful.

All tests were carried out in the Food Conservation and Quality Research Laboratory of the Faculty of Agroindustrial Engineering of the University of Nariño, seat Torobajo, in Pasto, which is located at an altitude of approximately 2527 masl and has an average summer temperature above 18ºC. The tubers were specifically selected so that they would not present evident damages or diseases. After the harvesting, they were cleaned with a brush, and for curing and pre-conditioning [13], they were kept at room temperature in a dark, ventilated environment for 3 days. Prior to storage under controlled conditions, they were washed, and the surface water was removed. Five control tubers of the sample were randomly selected, their weight was then recorded during the experiment for each storage condition.

A ventilated and dark cabinet inside the laboratory was used for storage at room-temperature conditions, a laboratory fridge with automatic temperature control for cooling conditions, and an incubator with temperature control was used to simulate high temperature conditions. Together with the control samples, 60 tubers were stored at each temperature. Approximately every 4 days, the control samples were taken to determine their weight loss with an analytical balance (Ohaus, Pioneer PA214). Another 5 tubers were selected at random from each storage condition in order to perform moisture measurements with a moisture analyzer balance (Radwag, PMR 50) and to determine the glucose and ascorbic acid content by means of the Reflectoquant® system (Merck, Darmstadt, Germany). The environmental conditions were registered with a Datalogger thermo-hygrometer (CEM, DT-172).

An unrestricted random sampling (URS) was used with a factorial arrangement of 12x3x2, where the first factor corresponded to the Day of measurement (D), with 12 levels (0, 2, 7, 10, 14, 17, 21, 29, 31, 35, 48 and 52). The second factor consisted of the storage temperature (S), whose levels were 4°C, 18°C and 27°C. The third factor (C) were the cultivars of native potatoes Curiquinga and Ratona Morada, for a total of 72 treatments with 5 repetitions; 360 experimental units were counted. An analysis of variance was performed by means of the F-test (at 5% probability) for each of the response variables (moisture, weight loss, glucose and ascorbic acid content), and in the case of statistical differences between treatments, the Tukey multiple means comparison test was applied at a 95% confidence level.

The determinations made were total weight loss with respect to the initial weight, expressed as a percentage [14]. For this determination, a record of the weight of each of the five control tubers in each storage environment was taken on the days where the analyses were performed. The moisture content was determined through drying about 2g of potato (with peel) cut into thin slices at 105°C on a moisture analyzer.

The method used to determine the content of glucose and ascorbic acid is based on the principle of reflectometry (reflectance photometry), where diffuse reflected light is measured on a test strip using the Reflectoquant system tests on an RQFlex plus10 Reflectometer. As in classical photometry, the difference in the intensity of the emitted and reflected light allows the quantitative determination of the concentration of specific analytes. In glucose quantification the method recommended by the manufacturer is used [15, 16]. Through the catalytic action of glucose oxidase on the test strips, the glucose is transformed to gluconic acid lactone. The hydrogen peroxide formed here reacts in the presence of peroxidase with an organic redox indicator, producing a bluish green dye that is determined reflectometrically.

The analysis of ascorbic acid content was carried out through the extraction of the material in the potato juice using trichloroacetic acid. The hydrogenation of dehydroascorbic acid takes place on the test strips, and through the action of the ascorbic acid, the yellow molybdophosphoric acid is reduced to phosphomolybdenenum blue analyzed by reflectometry [17].

3. Results and discussion

The tests were carried out during the second semester of 2017, and due to both the availability of the plant material and the capacity of the equipment, the cultivar CUR was first worked on, followed by the RM. Situations were presented during the first trial, making measurements difficult between days 21 to 29 and 35 to 48. As a result, the RM variety was treated following the same measurement scheme. The environmental conditions registered in each state of storage indicated an average temperature in refrigeration, room-temperature, and incubation of 4°C, 18°C and 27°C respectively, the average humidity level recorded was 62%.

According to the analysis of variance (ANOVA), significant differences were found (p <0.001 and p <0.05) for the simple effects of storage time or day, storage temperature and variety, in the same way for their double and triple interactions, as seen in Table 1. The analysis of each of the evaluated variables was carried out according to three-way interaction.

Table 1: Sum of Squares and Averages of the variables Moisture, Weight Loss, Glucose and Ascorbic Acid, of the influence of storage conditions on the quality of two native potato varieties.

* = Significant Differences (p-value <0.05); ** = Highly Significant Differences (p-value <0.01); VC = Variation Coefficient; R2 = Determination Coefficient; SD = Standard Deviation; Min = Minimum Value; Max = Maximum Value.

Source: The Authors.

It is observed that the varieties presented a general average of 75.88% moisture throughout the trial. The variety CUR presents an initial value of 82.09% while RM has 76.99%. A minimum value of 57.88% is found in CUR in one of the repetitions made on day 35 of the test in refrigerated storage. CUR also presented a maximum value of 84.05% after 2 days of incubation testing. For weight loss of the tubers, a maximum of 66.67% was recorded at 48 days of testing at 4°C in CUR. The maximum glucose value is reached with CUR at 4°C after 17 days of storage.

Ascorbic acid content reaches a maximum value of 199.6mg/L for the cultivar RM in refrigerated storage at 9 days of testing, and in CUR the minimum is recorded at 21 days and at 27°C when it is no longer detectable by the analysis method.

The adjustment, according to the calculation of the percentage of the coefficient of determination (R2) for the models is greater than 85%, which means that the models explain more than 85% of the real variables.

3.1. Effect of storage at different temperatures on moisture and weight loss of two potato cultivars

Fig. 1 show the averages of moisture variation; for the CUR variety, the moisture at 4°C decreases from 82% to 67%, at 18°C storage there are no statistical differences, while slight differences are shown at 27°C. The change in moisture in CUR shows a descending order of 4°C> 27°C> 18°C.

Effect of storage conditions on cultivars. (A) Change in moisture content in CUR; (B) Change in moisture content in RM; (C) Percentage of weight loss in CUR and (D) Percentage of weight loss in RM.

Figure 1: Effect of storage conditions on cultivars. (A) Change in moisture content in CUR; (B) Change in moisture content in RM; (C) Percentage of weight loss in CUR and (D) Percentage of weight loss in RM.

Source: The Authors.

For RM there are no significant changes in the average moisture in refrigeration. At 18°C and 27°C moisture goes from 77% to 71% and 68% respectively. This indicates a change in the moisture in RM in a descending order of 27°C > 18°C > 4°C.

The interaction of the three factors is observed, indicating that CUR at 18°C and RM at 4°C present similar behaviors, where there is no significant change in moisture.

The percentage of weight loss is shown in Fig. 1; at 4°C, CUR reaches 45%, without presenting major statistical differences from day 21 to 52. At room temperature, a weight loss of 22% is reached and in incubation 23%. The behavior of this response variable at the end of the test is similar in both conditions. A descending order is presented for weight loss of 4°C > 27°C ≥ 18°C.

In the RM variety, the values of means of percentage of weight loss were 6% at 4°C. It can be said that there is no significant difference between the start and end of the test. At 18°C, the percentage reaches 18% and there are no significant differences from the beginning until day 17. At 27°C, a stable behavior is noted, without differences from day 0 to 17, reaching a maximum of 33% at the end. A descending order of 27°C> 18°C> 4°C is observed, which corresponds to the change in moisture. It is observed that the CUR variety has an opposite behavior to RM in moisture content and weight loss in the different storage conditions.

Some authors [13, 18] consider that the loss of water and weight in storage are related to differences in the physiological characteristics of the varieties, location, crop conditions, post-harvest management and the state of maturity of the tubers in harvest. Due to the potato's metabolism, the physiological activity continues in storage causing biochemical changes that affect the quality of the tubers and the temperature can affect characteristics such as moisture, dry matter, reducing sugars, among others [19].

The processes of respiration and transpiration during storage influence weight loss, loss of moisture and spoilage of the potato [20]. The conversion of starch into sugar and vice versa are catalyzed by enzymatic action that can be regulated by temperature [21] as well as by other factors. As a result, different treatments have been studied to prolong the life of the tubers, that include pre-curing, conditions of controlled atmospheres in temperature, humidity and CO2 content, bud break inhibitors and reconditioning for processing [13,21,22-25].

3.2. Effect of storage at different temperatures on the glucose and ascorbic acid content of two potato cultivars

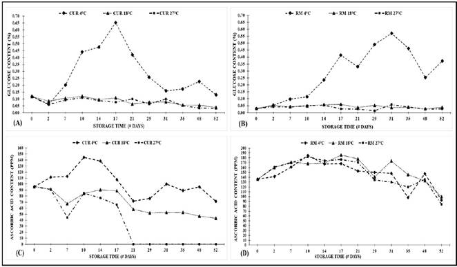
Table 2 and Fig. 2 show the averages of the results for variation in glucose content of the CUR and RM cultivars at the storage conditions established during the test.

Table 2.: Glucose Content Averages in two native potato cultivars under different storage conditions.

Different letters in the same column imply differences between averages, according to Tukey's test at 95% confidence. Comparator DMS = 0.03.

Source: The Authors.

Effect of storage conditions on cultivars. (A) Change in glucose content in CUR; (B) Change in glucose content in RM; (C) Change in ascorbic acid content in CUR and (D) Change in ascorbic acid content in RM.

Figure 2. : Effect of storage conditions on cultivars. (A) Change in glucose content in CUR; (B) Change in glucose content in RM; (C) Change in ascorbic acid content in CUR and (D) Change in ascorbic acid content in RM.

Source: The Authors.

For CUR at 4°C, glucose levels increase until day 17 to 0.65% and then return to the initial value of 0.12%. At 18°C and 27°C, it drops to values of 0.04% and 0.03% respectively. Although the tendency shown is a decrease in levels, there is much variation in the results.

In addition, for cold-induced sweetening processes [11], an order of glucose variation of 4°C > 18°C ≥ 27°C can be established.

In refrigeration, the RM reaches maximum glucose content on day 31 (0.58%). In the other storage conditions, several variations are recorded although, graphically, it is observed that it remains relatively close to the initial value.

In this case, the variation of the glucose content is similar to CUR, 4°C > 18°C ≥ 27°C, but the maximum value is reached 14 days later at 4°C.

The averages of the ascorbic acid content and its variations during storage under the different conditions are detailed in Table 3 and Fig. 2. In CUR, it decreases from 96mg/l to 44mg/l at 18°C. At 27°C, it decreases faster and it is not detected after day 21, while at 4°C it increases until day 10, reaching 144mg/l and then decreases to 72mg/l by the end of the trial. The decrease in ascorbic acid content can be organized decreasingly as 27°C > 18°C > 4°C.

Table 3.: Average Ascorbic Acid Contents in two native potato cultivars under different storage conditions.

Different letters in the same column imply differences between averages, according to Tukey's test at 95% confidence. Comparator DMS = 20.95.

Source: The Authors.

The ascorbic acid graph shows similar behavior for RM in the three storage conditions, although the differences are significant. Levels start at 136mg/l and reach their maximum on day 17, followed by a decrease until the end of the test. The decrease in content can be arranged in a decreasing order: 27°C > 4°C > 18°C.

The CUR variety shows similar tendencies to RM in its glucose content; cold-induced sweetening is comparable with studies carried out in other varieties [11,13,23,26-28]. The physiological and varietal differences influence behavior and it was noted that RM shows longer resistance time to cold sweetening than CUR. Minimum weight loss and moisture at low temperature, as well as ascorbic acid content also decreases at a higher rate at 4°C in RM than in CUR.

On the other hand, moisture and to some extent deterioration, is lower at room temperature in the CUR cultivar. The weight loss is also lower at 18°C than at 4°C and the content of ascorbic acid at 18°C indicates lower losses than at 27°C, though higher than at 4°C, exhibiting behaviors similar to those reported by [29].

The metabolic processes that affect the response variables and their behavior can vary for each variety crop [23]. As such, it is recommended that the most promising genotypes of each region are identified, and that factors of both crop management and post-harvest treatment are standardized in order to obtain potatoes with desirable agro-industrial characteristics. These factors include: genotype, environmental growth factors such as temperature, soil moisture, mineral nutrition, tuber maturity, mechanical stress during harvest and transport, and storage conditions such as temperature, oxygen concentration, carbon dioxide, dormancy and sprouting [26,27]

The levels of reducing sugars, related to glucose, ideal for processing are around 0.1%; to obtain chips of acceptable colors, levels above 0.33% are unacceptable. Vitamin C, or ascorbic acid, is the vitamin with the greatest presence in the potato. Its initial content along with the maturity and variety of the crop determine losses during storage [13].

The post-harvest storage and treatment of the tubers is the key to successfully connect production and agro-industry. This implies detailed engineering studies to supply the abundant demand of processed and fresh potato products, guarantee their potential added value and reduce the losses that occur in these operations [30,31].

Deepening the study on the post-harvest behavior of these and other native varieties to achieve longer storage possibilities can be useful to organize transformation processes that generate added value, contribute to the conservation of biodiversity and food security. In addition, the characteristics studied can be considered in genetic improvement processes with other varieties.

4. Conclusions

There are significant differences in behavior of Curiquinga and Ratona Morada potato varieties during storage. The results of the investigation outline the necessary conditions for post-harvest management that allow for the introduction of these varieties in a new value chain.

The RM variety tolerates cold storage and its qualities are not affected significantly in such conditions. On the other hand, CUR conserves its characteristics better at temperatures above 4°C; at 18°C it presents less variation in the response variables.

The physiological differences between CUR and RM varieties along with the differences in sowing, growth, maturity and harvest, have an effect on the behavior of the tubers during storage. The results of this study outline the conditions necessary to prolong the life of these varieties for later commercialization or processing. The recommendation is made to continue studies that include the aforementioned factors, applying this knowledge to other native varieties in order to improve the conditions of these tubers and generate alternatives for small farmers.

Storage conditions can be adjusted to minimize moisture and weight loss, in addition to maintaining the content of glucose and ascorbic acid at certain levels so as not to affect their subsequent processing. In the RM cultivar, cold storage becomes a viable alternative, while for CUR, conditions between 4°C and 18°C must be considered.

Acknowledgements

Acknowledgments

To the Sistema General de Regalías, to the Government of Nariño and to the University of Nariño for financing the Technological and Productivity Improvement Project of the Potato System in the Department of Nariño.

References

  1. [1] Ritter, E., Ruiz de Galarreta, J., Barandalla, L., López, R., Huarte, M., Capezzio, S. y Bonierbale, M., Papas nativas - Un cultivo con potencial de alto valor añadido para la agricultura sostenible, en: Congreso Internacional de Investigación y Desarrollo de Papas Nativas, PapaNat 2010 (1er, 2010, Quito) . Revista Latinoamericana de La Papa, pp. 58-60, 2009. 🠔
  2. [2] Villacrés, E., Quilca, N., Muñoz, R., Monteros, C. y Reinoso, I. Caracterización física, nutricional y funcional de papas nativas (Solanum tuberosum ssp.) para orientar sus usos en Ecuador, en: Congreso Internacional de Investigación y Desarrollo de Papas Nativas, PapaNat 2010 (1er, 2010, Quito). Revista Latinoamericana de La Papa ,Quito , pp. 52-55, 2009. 🠔
  3. [3] Moreno, J.D., Cerón, M. del S. y Valbuena, R.I. Papas nativas Colombianas. Catálogo de 60 Variedades, 1a ed., Tibaitatá, Colombia: Corporación Colombiana de Investigación Agropecuaria (CORPOICA), 2009, pp. 5-6. 🠔
  4. [4] Monteros, C. y Reinoso, I., Biodiversidad y oportunidades de mercado para las papas nativas ecuatorianas. Quito, INIAP, 2010, 11 P. 🠔
  5. [5] Tinjacá, S. y Rodríguez, L., Catálogo de papas nativas de Nariño, Colombia, 1a ed., Bogotá, D.C., Universidad Nacional de Colombia, 2015, pp. 5-10. 🠔
  6. [6] Ruiz-de Galarreta J.I. y Ríos, D.J . Variedades de patata y papas españolas, 1a ed., Vitoria-Gasteiz, Neiker, 2008, pp. 7-25. 🠔
  7. [7] Monteros, C. y Reinoso, I. Informe final del Proyecto FTG-353/05 Innovaciones tecnológicas y mercados diferenciados para productores de papas nativas, Quito, Ecuador, Fondo Regional de Tecnología Agropecuaria (FONTAGRO), 2011, 90 P. 🠔
  8. [8] Monteros, C., Yumisaca, F., Andrade-Piedra, J. y Reinoso, I., Papas nativas de la Sierra Centro y Norte del Ecuador: catálogo etnobotánico, morfológico, agronómico y calidad, Quito, Ecuador, Instituto Nacional Autónomo de Investigaciones Agropecuarias (INIAP), 2011, pp. 5-39. 🠔
  9. [9] Calliope, S.R., Lobo, M.O. and Sammán, N.C., Biodiversity of Andean potatoes: morphological, nutritional and functional characterization. Food Chemistry, 238, pp. 42-50, 2018. DOI: 10.1016/j.foodchem.2016.12.074 [DOI] 🠔
  10. [10] Manrique, K., Post-harvest research to respond to constraints in the potato value chain: the experience of Papa Andina, Peru, in: Cromme, N. et al. Strengthening potato value chains: technical and policy options for developing countries, Rome, The Food and Agriculture Organization of the United Nations and the Common Fund for Commodities, 2010, pp. 77-83. 🠔
  11. [11] Singh, J., McCarthy, O., Singh, H. and Moughan, P., Low temperature post-harvest storage of New Zealand Taewa (Maori potato): effects on starch physico-chemical and functional characteristics. Food Chemistry, 106(2), pp. 583-596, 2008. DOI: 10.1016/j.foodchem.2007.06.041 [DOI] 🠔
  12. [12] Mejía-España, D., Trejo-Escobar, D., Latorre-Vásquez, L., Chaves-Morillo, D., Córdoba-Solarte, L. y Valencia, L., Características agroindustriales de 32 variedades de papas nativas de Nariño. Pasto, Colombia , Universidad de Nariño, 2017, 30 P. 🠔
  13. [13] Pinhero, R.G., Coffin, R. and Yada, R.Y., Chapter 12 - Post-harvest storage of potatoes, in: Singh, J. and Kaur, L. (Eds). Advances in potato chemistry and technology, 1ra Edit, United States of America, Elsevier Ltd, 2009, pp. 339-370. DOI: 10.1016/B978-0-12-374349-7.00012-X [DOI] 🠔
  14. [14] Chávez-Oviedo, A., Suárez-Morales, J. y Cruz-Viera, L., Conservación de papa a diferentes temperaturas. Ciencia y Tecnología de Alimentos, 25(2), pp. 16-21, 2015. 🠔
  15. [15] MERCK. Application: glucose in potatoes. Reflectometric determination after reaction with glucose oxidase and peroxidase. Darmstadt, Germany, 2012. 🠔
  16. [16] Helgerud, T., Knutsen, S.H., Afseth, N.K., Stene, K.F., Rukke, E.O. and Ballance, S., Evaluation of Hand-Held instruments for representative determination of glucose in potatoes. Potato Research, 59(2), pp. 99-112, 2016. DOI: 10.1007/s11540-015-9310-8 [DOI] 🠔
  17. [17] MERCK. Application: ascorbic acid (total) in plant material. hydrogenation of dehydroascorbic acid, reaction of the produced ascorbic acid with molybdo-phosphoric acid to phosphomolybdenum blue followed by a reflectometric determination. Darmstadt, Germany , 2012. 🠔
  18. [18] Golmohammadi, A. and Afkari-Sayyah, A.H., Long-term storage effects on the physical properties of the potato. International Journal of Food Properties, 16, pp. 104-113, 2013. DOI: 10.1080/10942912.2010.529978 [DOI] 🠔
  19. [19] Wang, X., Sun, H., Sun, J., Zhu, X., Zhang, K., Shen, J. and Cai X ., Effects of different storage temperature on nutritional quality of potato cultivar kexin No.1. Agricultural Science & Technology, 16(4), pp. 810-814, 2015. 🠔
  20. [20] Dandago, M.A., Gungula, D.T., Effects of various storage methods on the quality and nutritional composition of sweet potato (Ipomea batatas L.), in: Yola N., International Food Research Journal, 18(1), pp. 271-278, 2011. 🠔
  21. [21] Martínez-Hernández, C.M. y Alemán-Pérez, R., Papa (Solanum tuberosum Sw.), cosecha, beneficio, y almacenamiento. Caso cubano. Revista Centro Agrícola, 32(3), pp. 5-11, 2005. 🠔
  22. [22] Khanbari, O.S. and Thompson, A.K., Effect of different controlled atmospheres on processing quality of potatoes. Control applications in post-harvest and processing technology 1995, Pergamon, pp. 143-148, 1995. DOI: 10.1016/B978-0-08-042598-6.50025-4 [DOI] 🠔
  23. [23] Wang, Y., Brandt, T.L. and Olsen, N.L., A historical look at russet burbank potato (Solanum tuberosum L.) quality under different storage regimes. American Journal of Potato Research, 93(5), pp. 474-484, 2016. DOI: 10.1007/s12230-016-9524-6. [DOI] 🠔
  24. [24] Olsen, N., Potato storage management: a global perspective. Potato Research, 57(3-4), pp. 331-333, 2014. DOI: 10.1007/s11540-015-9283-7 [DOI] 🠔
  25. [25] Kumar, A., Left out in the cold: the case of potato cold stores in West Bengal. IUP Journal of Supply Chain Management, 11(2), pp. 7-20, 2014. 🠔
  26. [26] Kumar, D., Singh, B.P. and Kumar, P., An overview of the factors affecting sugar content of potatoes. Annals of Applied Biology, 145(3), pp. 247-256, 2004. DOI: 10.1111/j.1744-7348.2004.tb00380.x [DOI] 🠔
  27. [27] Amer, F.S., Reddivari, L., Madiwale, G.P., Stone, M., Holm, D.G. and Vanamala, J., Effect of genotype and storage on glycoalkaloid and acrylamide content and sensory attributes of potato chips. American Journal of Potato Research, 91(6), pp. 632-641, 2014. DOI: 10.1007/s12230-014-9393-9 [DOI] 🠔
  28. [28] Galani, Y.J., Gupta, P.H., Patel, N.J., Shah, A. and Talati, J., Effect of storage temperature on carbohydrate metabolism and development of cold‐induced sweetening in indian potato (Solanum Tuberosum L.) Varieties. Journal of Food Biochemistry, 40, pp. 71-83, 2016. DOI: 10.1111/jfbc.12190 [DOI] 🠔
  29. [29] Bandana, V.S., Sharma, V., Raigond, P., Singh, B. and Kaushik, SK., Ascorbic acid losses during storage of potato tubers. Potato Journal, 42(1), pp. 76-79, 2015. 🠔
  30. [30] Sun, J., Wang, X., Huang, Z., Sun, H., Cheng, Q. and Zhu, M., Classification and integration of storage and transportation engineering technologies in potato producing areas of China. Agricultural Science & Technology, 18(4), pp. 710-718, 2017. 🠔
  31. [31] Sakare, P., Design of cold storage structure for thousand tonne potatoes. International Journal of Agriculture and Food Science Technology, 5(3), pp. 171-178, 2014. 🠔
Valencia-Flórez, L., Trejo-Escobar, D., Latorre-Vásquez, L., Mejía-España, D., and Hurtado-Benavides, A., Influence of storage conditions on the quality of two varieties of native potato (Solanum Tuberosum group phureja). DYNA, 86(209), pp. 49-55, April - June, 2019.
is a BSc. in Chemist of the Universidad de Ciencias Aplicadas y Ambientales U.D.C.A., Bogotá, Colombia. Sp. Project Management of the Universidad del Cauca in 2016. He has worked with the project: Technological and Productive Improvement of the Potato System in the Department of Nariño, Mejoramiento Tecnológico y Productivo del Sistema Papa en el Departamento de Nariño, since 2016. ORCID: 0000-0002-2364-8227
is a BSc. in Agro-industrial Eng. of the University of Nariño, Colombia, MSc. in Food Sciences and Technology of the Universidad Nacional de Colombia, sede Medellin. He has worked in research since 2013 and has more than five years of professional experience in the food sector. He is currently part of the research project: Technological and Productive Improvement of the Potato System in the Department of Nariño, (Mejoramiento Tecnológico y Productivo del Sistema Papa en el Departamento de Nariño). His research work topics include enzymatic inactivation in vegetables, emerging technologies in the industrialization of potatoes, determination of toxic substances in potatoes. ORCID: 0000-0002-5651-8453
is a BSc. in Agroindustrial Eng. and MSc. in Agricultural Sciences from the University of Nariño, Colombia, has been working in research since 2012 and has more than six years of professional experience in the food sector. She is currently part of the research project: Technological and Productive Improvement of the Potato System in the Department of Nariño, (Mejoramiento Tecnológico y Productivo del Sistema Papa en el Departamento de Nariño). Her research work topics include thermal inactivation of enzymes in sisal juice, post-harvest handling and peel life kinetics, physicochemical and morphological characterization of potato and lulo. ORCID: 0000-0002-6816-7793
is a BSc. in Agro-Industrial Eng. and holds a MSc. in Agricultural Sciences from the University of Nariño, Colombia. He has extensive experience in research; his lines of work have been in obtaining bio-inputs from plant extracts, enzymatic inactivation, physical properties of food, and the integral use of agricultural products. He is currently a full-time professor at the University of Nariño, coordinator of the project: Program for the genetic improvement of uchuva (Physallis peruviana) in the high Andean region of the department of Nariño, (Programa de Mejoramiento Genético de Uchuva (Physallis peruviana) en la zona alto andina del Departamento de Nariño), and coordinator of the third objective of the project: Technological and productive improvement of the potato system in the department of Nariño, (Mejoramiento Tecnológico y Productivo del Sistema Papa en el Departamento de Nariño) financed by the General System of Royalties (Sistema General de Regalías). ORCID: 0000-0002-6707-5803
is a BSc. in Chemical Eng. from the Universidad Nacional de Colombia and holds a PhD. in Food Science and Technology and Engineering from Autonomous University of Madrid, Spain. His main lines of research are design of processes and products with supercritical fluids, natural ingredients for the food, cosmetic and pharmaceutical industries, emerging conservation techniques for fruits and vegetables, design of agroindustrial prototypes, processes and products, obtaining bioactives compounds from plant extracts and valorization of by-products of the agroindustry. Currently, he is linked to the University of Nariño, Colombia, as a full-time professor and as director of the Emerging Technologies Research Group of the Agroindustrial Engineering Faculty. ORCID: 0000-0002-8898-8804