DYNA
0012-7353
Universidad Nacional de Colombia
https://doi.org/10.15446/dyna.v86n208.73401

Recibido: 9 de julio de 2018; Revision Received: 12 de diciembre de 2018; Aceptado: 21 de enero de 2019

Hacia la reducción de los efectos de la fatiga muscular en el control mioeléctrico de prótesis de miembro superior

Towards the reduction of the effects of muscle fatigue on myoelectric control of upper limb prostheses

R. Díaz-Amador, aM. Mendoza-Reyes, b

Informatic Research Center, Universidad Central Marta Abreu de Las Villas, Santa Clara, Cuba. rdamador@uclv.edu.cu Universidad Central Marta Abreu de las Villas Informatic Research Center Universidad Central Marta Abreu de Las Villas Santa Clara Cuba
Departamento de Telecomunicaciones y Electrónica, Universidad Central Marta Abreu de Las Villas, Santa Clara, Cuba. mmendoza@uclv.edu.cu Universidad Central Marta Abreu de las Villas Departamento de Telecomunicaciones y Electrónica Universidad Central Marta Abreu de Las Villas Santa Clara Cuba

© The author; licensee Universidad Nacional de Colombia.

Resumen

Este artículo presenta una investigación centrada en el impacto de la fatiga muscular en un esquema de reconocimiento de patrones para el control mioeléctrico que utiliza tres conjuntos de características y un clasificador de análisis discriminante lineal. Los cambios en las características mientras se inducía la fatiga muscular se evalúan mediante la separabilidad y la repetibilidad entre las clases. Los resultados muestran que mientras la fatiga muscular aumenta con el tiempo, tanto la separabilidad como la repetibilidad disminuyen. Finalmente se evaluaron, mediante tasa de error total (TER), dos esquemas de entrenamiento que usan datos adquiridos bajo fatiga: entrenamiento multicondición y clasificación selectiva. Los resultados indican que, utilizando entrenamiento multicondición, el TER disminuyó para fatiga moderada y fatiga, pero aumentó para no-fatiga. Por otro lado, al usar clasificación selectiva, TER disminuyó a 9.26 % y 11 % en casos fatiga moderada y fatiga, mientras que la condición no-fatiga no se vio afectada.

Palabras clave:

electromiografía, control mioeléctrico, prótesis de miembro superior, reconocimiento de patrones.

Abstract

This paper presents a research centered on the impact of muscle fatigue on a pattern recognition scheme for myoelectric control that uses three features sets and a Linear Discriminant Analysis classifier. Separability and repeatability between classes were used to evaluate the features changes while muscle fatigue was induced. Results show that while muscle fatigue is increasing over time, both separability and repeatability of the classes decrease. Finally two training schemes that use data acquired under fatigue, multiconditional training and selective classification, were evaluated using the Total Error Rate (TER). Results indicate that, when LDA classifier was trained whit no-fatigue, moderated fatigue and fatigue data, TER decreased for moderated and fatigue data, but increased for no-fatigue data. On the other hand, using three LDA classifiers for each of the condition, TER decreased to 9.26 % and 11 % in moderated fatigue and fatigue cases, while no-fatigue cases were not affected.

Keywords:

electromyography, myoelectric control, muscle fatigue, upper limb prostheses, pattern recognition.

1. Introduction

The surface electromyogram, sEMG, has been for decades one of the major neural control sources for powered upper limb prostheses [1]. Various sEMG signal processing methods have been used to disclose the user’s intended movement. Conventional myoelectric control schemes employ measures such as the root mean square or mean absolute value of the EMG to quantify the strength of contraction in the underlying muscles [2], controlling a prosthetic device with one or two degree of freedom (DOFs). On the other hand, pattern recognition-based myoelectric control is an advanced signal processing technique that can potentially be used to control multiple DOFs. In this approach, a set of features containing spatial and temporal information related to the acquired signals are extracted to form a pattern that is input to a classifier which determines the user’s intended movement [3].

Although pattern recognition-based control of myoelectric prostheses has deserved great attention in research environments [4,5], it has not been widely used in clinical scenarios. According to scientific literature, myoelectric classification for prosthetic control is not only possible but also highly accurate [4-6]. This conclusion heavily collides with the clinical practice and the existing functional devices [7-9]: amplitude-based myoelectric control (and not pattern classification) has been used in most of commercial devices and only a quarter of patients with upper limb amputations use myoelectric prosthesis [3]. A possible explanation for that could be that researches usually were done under very controlled conditions and some external common factors that exist during daily activities have rarely been considered. In contrast, the changes in pattern during daily activities (caused by electrode displacements, muscular fatigue, variability of muscle contraction effort, limb positions, and many others) can affect the performance and robustness over time of Automatic Control of Myoelectric Prostheses [11]. All of these factors are currently challenges for the clinical use of prosthetic devices. Some newer studies have shown the particular effects caused by electrode displacements [12,13], variability of muscle contraction effort [11], and limb positions [14], however researches on the effects of muscle fatigue have been relatively limited [15]. The focus of this study is to reveal the effects of muscle fatigue on the performance of pattern classification. Muscle fatigue is a major cause of sEMG changes during repetitive contractions performed for long periods of time [16]. It is well known that muscle fatigue changes the recruitment of motor units contributing to muscle contraction, which in turn changes the nature of any sEMG signal measured at that muscle. In muscle physiology, it has been proposed that sustained static isometric contractions may cause an increase in EMG signal amplitude along with a shift of the spectrum toward the low frequencies [17]. For example, on [18], Park and Meek proposed a fatigue compensator preprocessor to reverse the effects of muscle fatigue on the frequency spectrum of an EMG signal. On the other hand, Song et al. [19] found that pattern recognition based systems, such as those that perform the classification using signals from a variety of EMG channels, are especially susceptible to the effects of fatigue.

In this work, we induced muscle fatigue in six non-disabled subjects and studied the effects of EMG patterns modification on LDA classifiers. We found, during muscle fatigue, a decrease in the separability between classes and an increase in the classification error rate. Finally, we compared classification error rate using different training strategies allowing us to claim that an adequate strategy can reduce the effects of muscle fatigue in pattern recognition-based myoelectric control.

2. Materials and methods

2.1. Data acquisition and preprocessing

Surface EMG signals were collected from six healthy, normally-limbed subjects, including three male and three female, with ages ranging from 24 to 36 years. All experiments were approved by UNB Research Ethics Board and all subjects were sufficiently informed about the procedure. Subjects were fitted around the dominant forearm with an elastic band containing six wireless electrodes equally spaced using a Trigno Wireless System (Delsys Inc., USA). The electrodes were placed approximately at one third of the length of the forearm at the area of largest muscle bulk. Data were acquired using a sampling frequency of 2000 Hz with a 16-bit analog-to-digital converter. In order to reduce low frequency motion artifacts, digital data were filtered with a high-pass 3th order Butterworth digital filter with cutoff at 20 Hz and with the Transference Function

Subjects were asked to maintain the contraction of each of eight classes of motion: wrist flexion/extension, wrist pronation/supination, hand close/open, pinch grip and no motion. In order to induce muscle fatigue, sixteen repetitions of each contraction were collected increasing the duration of the contraction: eight repetitions of 3 seconds of duration for each contraction, four repetitions of 10 seconds of duration for each contraction, and finally four repetitions of 30 seconds of duration for each contraction. In all cases 2 seconds of rest were given between each contraction. Fig. 1 is an illustration of how spectral characteristics of EMG signal changed while time of contraction were increased. Note the spectrum shifts toward low frequencies (17.3 Hz in the figure), which is characteristic of muscle fatigue.

Finally, the overall data set included eight repetitions of 3 seconds (no muscle fatigue), four repetitions of 10 seconds (assuming a moderate muscle fatigue) and four repetitions of 30 seconds (assuming muscle fatigue). These data sets were clustered according to the total acquisition time and were named as baseline data, moderate fatigue data and fatigue data respectively.

All the data were collected using a version of the software described in [20]. The program shows the subject the movement to do, control the number of repetitions and duration of each exercise and matches data collected and desired contraction. EMG data were digitally notch filtered at 60 Hz using a 3rd order Butterworth filter in order to reduce power line interference. Data were segmented before feature extraction by applying a 200 ms analysis window [21] with 100 ms of overlap between adjacent segments.

An illustration of how muscle fatigue was induced by increasing the contraction time.

Figure 1: An illustration of how muscle fatigue was induced by increasing the contraction time.

Source: The authors

2.2. Feature extraction and classification

Data were described using three different feature sets: Time-Domain feature set (TD) described in [22], 4th order Autoregressive (AR) features [23-25] and a combination of both (TDAR). Pattern classification was performed using a Linear Discriminant Analysis (LDA) classifier. The TD features used are described by eq. (2)-(5).

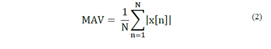
Mean Absolute Value (MAV) [26]

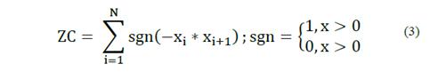
Zero-crossing (ZC) [27]

Waveform Length (WL) [22]

Slope Sign Changes (SSC) [22]

In eq. (2)-(5), xi is the sEMG, N in the length in samples of the analysis window.

AR features were obtained by calculating the coefficients,A =[1A(2)…A(K+1) ], of a 4th order [28] forward linear predictor defined by:

in order to minimize the sum of the squares of the errors

More details on TD and AR features extraction can be found in [22] and [23].

Classification schemes, a) conventional, b) multiple condition training, c) selective classification.

Figure 2: Classification schemes, a) conventional, b) multiple condition training, c) selective classification.

Source: The authors

2.3. Classification methods

In order to analyze the effect of muscle fatigue on EMG features, we conducted three experiments using different classification schemes. First, data collected in no fatigue condition were used in the training phase and data collected in moderate fatigue and fatigue conditions were used in the testing phase. Second, multiple condition training strategies were used. In this approach data collected in no fatigue, moderate fatigue and fatigue conditions were used for both training and testing. Finally, three LDA classifiers were trained, the first one using data collected in no fatigue condition, the second using data collected in moderate fatigue condition and the last one using data collected in fatigue condition. This approach was named selective classification. Fig. 2 shows schemes of each of these classification methods.

In addition, we propose an adaptive mechanism to improve the performance of LDA classifier when sEMG is affected by muscle fatigue. The proposed method can be summarized as follows: if the resulting classification of each new feature vector is correct the oldest feature vector in the training set is replaced and the classifier is retrained. (See Fig. 3)

Flow diagram representing the adaptive LDA approach presented in the current research. Dashed line delimits re-training steps.

Figure 3: Flow diagram representing the adaptive LDA approach presented in the current research. Dashed line delimits re-training steps.

Source: The authors

In this approach, for each subject the data was divided into two subsets: training data and test data. The training data was used to train a LDA classifier, while the test data was used to evaluate the static LDA classifier and to implement and evaluate the Adaptive Linear Discriminant Analysis (ALDA) classifier.

2.4. Analysis of effects of muscle fatigue

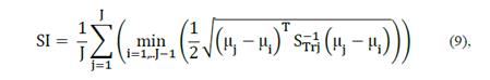
The metrics used to quantify the data characteristics in the feature space were Repeatability Index (RI) and Separability Index (SI), introduced by Bunderson and Kuiken [29].

The RI is a measure of how well a subject is able to reproduce EMG patterns from one trial to the next. The RI is calculated here as one-half the average Mahalanobis distance between the feature vector centroid for a trial (µk,j) and the next trial (µk+1,j), averaged across all the trials and all the active classes as is shown in eq. 8:

Where Sj is the covariance of the data for class j, J is the number of active classes and K is the number of the testing trials. A lower consistency in pattern generation results in a greater RI.

The SI is a measure of interclass distances computed as

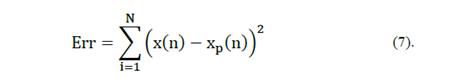
In addition to RI and SI, the Total Error Rate (TER) for each of the three classification schemes described above was evaluated, calculated as follows:

In the adaptive approach, the performance of the classifiers was measured by the offline metric classification Accuracy (Acc), False Positive Rate (FPR), Sensitivity (Se) and F1-score (F1). Expressions are given in eq. (11)-(14)

Accuracy:

False Positive Rate:

Sensitivity:

F1-score:

In all cases I is the number of classes considered, I = 8 in this study. In eq. (12) represents the number of false positive when the classification task for each class is considered as a binary problem. The term is the sum of false positives and true negatives from each class. In eq. (13) represents the number of true positive for each class i and is the sum of true positive and false negative for each class. Equation (14) is a simultaneous measurement of sensitivity and precision. Note that for Acc (eq. (11)), Se (eq. (13)) and F1-Score (F1) (eq. (14)) a higher value indicates a major performance, while in FPR (eq. (12)) the best performance corresponds to the lowest value.

3. Results and discussions

Fig. 4 shows the effects of induced muscle fatigue in Repeatability Index (Fig. 4a) and Seperability Index (Fig. 4b). The graphs show the mean value of the index for each feature set and the vertical error bar indicates the inter-subject variability. Note that for visualization purposes indices were normalized. The results showed that both, Repeatability and Separability Indexes decreased when fatigue level increased. The trend is similar in all of the features set considered, but in AR set, the mean of the Separability is the lowest.

Effects of muscle fatigue measure in a) Repeatability Index, b) Separability Index.Effects of muscle fatigue measure in a) Repeatability Index, b) Separability Index.

Figure 4: Effects of muscle fatigue measure in a) Repeatability Index, b) Separability Index.

Source: The Authors

The more obvious consequence of this trend in RI an SI, is that the accuracy of the classifier decreases in presence of muscle fatigue. Fig. 5 illustrates the TER when classifier was trained only with patterns from no fatigue condition. In this scheme, the classifier can identify test patterns from non-fatigue data with high accuracy (TER ≈7±2.5%), however it is not able to reliably recognize patterns with moderate (TER ≈21±15%) or high muscle fatigue (TER≈39±15%). The best results were obtained with the TDAR dataset.

Classification Error with no-fatigue data set training, and test was performed with fatigue and no fatigue condition.

Figure 5: Classification Error with no-fatigue data set training, and test was performed with fatigue and no fatigue condition.

Source: The Authors

The results of Multiple Condition Training (Fig. 6) showed that TER in moderate and high levels of fatigue decreased to 9.3 ± 1.4% and 11.9 ± 0.95% respectively. This is around 25% better compared to the previous scheme. In contrast, in no fatigue data TER increased to 8.67 ± 2.5%. This trend is similar in all of the features set analyzed. These results suggest the need of a new scheme based on selective classification.

Classification Error when classifier was trained using Multiple Training Scheme and test was performed using data in no fatigue, moderate and high fatigue condition.

Figure 6: Classification Error when classifier was trained using Multiple Training Scheme and test was performed using data in no fatigue, moderate and high fatigue condition.

Source: The Authors

Results for the Selective Classification scheme are showed in Fig. 7. A simple analysis of the figure suggests that the classifier achieved stable results for all data sets with this approach. However, with no fatigue data set the classifier did not increase the accuracy. This is because the data used to train the classifier were the same used in the first training scheme. Using the dataset with moderate level of fatigue the classifier showed a TER of 9.26%, while the data with high level of fatigue showed a TER of 11.06%. It represents an increase in accuracy compared with the traditional approach.

Classification Error when classifiers were trained using Selective Classification Scheme and test was performed using data in no fatigue, moderate and high fatigue condition.

Figure 7: Classification Error when classifiers were trained using Selective Classification Scheme and test was performed using data in no fatigue, moderate and high fatigue condition.

Source: The Authors

Classification results were validated using Accuracy (Acc), False Positive Rate (FPR), Sensitivity (Se) and F1-score (F1). Validation parameters were calculated epoch by epoch in both scenarios: using Adaptive LDA and using non-adaptive LDA. Fig. 8 represents the mean and standard deviation of the parameters for the six subjects. Parameters were obtained from each of the class and combined. The solid lines represent classification results of the adaptive LDA classifier proposed in the current work, whereas the dashed lines represent classification results of the conventional LDA classifier. As shown in Fig. 8, when muscle fatigue increases, the accuracy and sensitivity of the conventional LDA classifier decreases from more than 90 % to less than 58 % in normally-limbed subjects. Fig. 8 (b) shows that False Positive Rate increases from around 9% to 36.2 %. The F1-score (Fig. 8 c) decreases from 0.9 to 0.6. On the other hand, the parameters of the adaptive LDA show stable and higher performance.

Comparison of Adaptive vs. Non-adaptive LDA in normally-limbed subjects a) Accuracy, b) False Positive Rate, c) Sensitivity and d) F1-score. In all cases solid line represents Adaptive LDA while dashed line represents Non-adaptive LDA.

Figure 8: Comparison of Adaptive vs. Non-adaptive LDA in normally-limbed subjects a) Accuracy, b) False Positive Rate, c) Sensitivity and d) F1-score. In all cases solid line represents Adaptive LDA while dashed line represents Non-adaptive LDA.

Source: The Authors

4. Conclusions

In this study we investigated the effects of muscle fatigue on the performance of automatic pattern recognition of eight movements of the arm by using the repeatability and separability indices and the classification rate. It was shown how muscle fatigue affects the feature spaces and also the classification rate. Total Error Rate computation for the schemes addressed demonstrated how the use of a multiple condition training scheme can reduce the classification error in presence of muscle fatigue, but it also degrades the performance of the classifier when data are not affected by fatigue. On the other hand, selective classification improves the performance of classifier in presence of muscle fatigue without affecting the performance in absence of fatigue. Nevertheless, this solution presents two major problems: the first one is the need of training three different classifiers which increases the computational load; the second, and more important, is the need to previously assess the fatigue condition, requiring an additional classifier to determine the fatigue level in a dual-stage classification scheme. In the case of adaptive vs non-adaptive LDA, results show that when muscle fatigue increases, the recognition accuracy and sensitivity of the non-adaptive LDA classifier decreases from more than 90% to less than 58% in normally-limbed subjects, in the same situation False Positive Rate increases from around 9% to 36.2% and the F1-score decreases from 0.9 to 0.6. These parameters showed a more stable behavior and higher performance when adaptive LDA was evaluated. Future work should respond to the question: when it is necessary to adapt the classifier?

References

  1. [1] Reiter, R., Eine neu elecktrokunstand, Grenzgebeite in Medicin, 1(4), pp. 133-135, 1948. 🠔
  2. [2] Jacobson, S.C., Knutti, D.F., Johnson R.T. and Sears, H.H., Development of the Utah artificial arm, IEEE Transaction on Biomedical Engineering, 29(4), pp. 249-269, 1982. DOI: 10.1109/TBME.1982.325033 [DOI] 🠔
  3. [3] Geethanjali, P., Myoelectric control of prosthetic hands: state-of-the-art review, Medical Devices: Evidence and Research, 9, pp. 247-255, 2016. DOI: 10.2147/MDER.S91102 [DOI] 🠔
  4. [4] Yang, D.P., Zhao, J.D., Gu ,Y.K., Wang, Q., Li, N., Jiang, L., Liu, H., Huang, H. and Zhao, D.W., An anthropomorphic robot hand developed based on underactuated mechanism and controlled by EMG signals, Journal of Bionic Engineering, 6(3), pp. 255-263, 2009. DOI: 10.1016/S1672-6529(08)60119-5 [DOI] 🠔
  5. [5] Wang, N., Lao, K. and Zhang, X., Desing and myoelectric control of an anthropomorphic prosthetic hand, Journal of Bionic Engineering, 14(1), pp. 47-59, 2017. DOI: 10.1016/S1672-6529(16)60377-3 [DOI] 🠔
  6. [6] Boschmann, A., Kaufmann, P. and Winkler, M., Towards multi-movement hand prostheses: combining adaptive classification with high precision socket, Proceedings of the 2nd European Conference on Technically Assisted Rehabilitation, 2009. 🠔
  7. [7] Oskoei, M.A. and Hu, H., Support vector machine-based classification scheme for myoelectric control applied to upper limb, IEEE Transaction on Biomedical Engineering, 55(8), pp. 1956-1965, 2008. DOI: 10.1109/TBME.2008.919734 [DOI] 🠔
  8. [8] Yang, D., EMG pattern recognition and grasping force estimation: improvement to the myocontrol of multi-DOF prosthetic hands, Proceedings of the 2009 IEEE/RSJ International Conference on Intelligent Robots and Systems, St. Louis (MO), Piscataway (NJ), 2009, pp. 516-521. 🠔
  9. [9] Matrone, G., Cipriani, C., Secco, E.L., Carrozza, M.C. and Magenes, G., Bio-inspired controller for a dexterous prosthetic hand based on principal components analysis, Proceedings of the Annual International conference of the IEEE Engineering in Medicine and Biology Society, 50, pp. 22-25, 2009. DOI: 10.1109/IEMBS.2009.5333826. [DOI] 🠔
  10. [10] Pons, J.L., Ceres, R., Rocon, E., Levin, S., Markovitz, I., Saro, B., Reynaerts, D., Van Moorleghem, W. and Bueno, L, Virtual reality training and EMG control of the MANUS hand prosthesis, Robotica, 23(3), pp. 311-317, 2005. DOI: 10.1017/S026357470400133X [DOI] 🠔
  11. [11] Scheme, E. and Englehart, K., Electromyogram pattern recognition for control of powered upper-limb prostheses: state of the art and challenges for clinical use, Journal of Rehabilitation Research and Development, 48(6), pp. 643-660, 2011. DOI: 10.1682/JRRD.2010.09.0177 [DOI] 🠔
  12. [12] Hargrove, L., Englehart, K. and Hudgins, B., The effect of electrode displacements on pattern recognition based myoelectric control, Annual International Conference of the IEEE Engineering in Medicine and Biology Society, 2006. DOI: 10.1109/IEMBS.2006.260681 [DOI] 🠔
  13. [13] Hargrove, L., Englehart, K. and Hudgins, B., A training strategy to reduce classification degradation due to electrode displacements in pattern recognition based myoelectric control, Biomed Signal Process Control, 3(2), pp. 175-180, 2008. DOI: 10.1016/j.bspc.2007.11.005. [DOI] 🠔
  14. [14] Radmand, A., Scheme E. and Englehart, K., A characterization of the effect of limb position on EMG features to guide the development of effective prosthetic control schemes, Proceedings of the Annual International conference of the IEEE Engineering in Medicine and Biology Society, 2014, pp. 662-667. DOI: 10.1109/EMBC.2014.6943678 [DOI] 🠔
  15. [15] Lalitharatne, T.D., Hayashi, Y., Teramoto, K. and Kiguchi, K., A study on effects of muscle fatigue on EMG-based control for human upper-limb power-assist, Proceedings of 2012 IEEE 6th International Conference on Information and Automation for Sustainability, 2012, pp. 124-128. DOI: 10.1109/ICIAFS.2012.6419892 [DOI] 🠔
  16. [16] Barszap, A.G., Skavhaug, I.M. and Joshi, S.S., Effects of muscle fatigue on the usability of a myoelectric human-computer interface, Human Movement Science, 49, pp. 225-238, 2016. DOI: 10.1016/j.humov.2016.06.009 [DOI] 🠔
  17. [17] Gonzalez-Izal, M., Malanda, A., Gorostiaga, E. and Izquierdo, M., Electromyographic models to assess muscle fatigue, Journal of Electromyography and Kinesiology, 22(4), pp. 501-512, 2012. DOI: 10.1016/j.jelekin.2012.02.019 [DOI] 🠔
  18. [18] Park, E. and Meek, S., Fatigue compensation of the electromyographic signal for prosthetic control and force estimation, IEEE Transaction on Biomedical Engineering, 40(10), pp. 1019-1023, 1993. DOI: 10.1109/10.247800 [DOI] 🠔
  19. [19] Song, J., Jung, J., Lee, S. and Bien, Z., Robust EMG pattern recognition to muscular fatigue effect for powered wheelchair control, Journal of Intelligent & Fuzzy Systems, 20(1,2), pp. 3-12, 2009. DOI: 10.3233/IFS-2009-0411 [DOI] 🠔
  20. [20] Scheme, E. And Englehart, K ., A flexible user interface for rapid prototyping a advanced real-time myoelectric control scheme, MyoElectric Controls/Powered Prosthetics Symposium, Fredericton, NB, Canada, 2008. 🠔
  21. [21] Smith L. H., Kuiken T.A., Hargrove L.J., Lock B.A., Determining the optimal window length for pattern recognition-based myoelectric control: Balancing the competing effects of classification error and controller delay, IEEE Transaction on Neural Systems and Rehabilitation Engineering., 19 (2), pp. 186-192, 2011. DOI: 10.1109/TNSRE.2010.2100828 [DOI] 🠔
  22. [22] Hudgins B., Parker P. A., and Scott R. N., A new strategy for multifunction myoelectric control, IEEE Transaction on Biomedical Engineering, 40 (1), pp. 82-94, 1993. DOI: 10.1109/10.204774 [DOI] 🠔
  23. [23] Graupe D. and Cline W., Functional Separation EMG Signal via ARMA identification methods for prosthesis control purposes, IEEE Transaction on Systems, Man and Cybernetics, 5(2), pp. 252-259, 1975. DOI: 10.1109/TSMC.1975.5408479 [DOI] 🠔
  24. [24] Doershuk P. C. and Gustafson D. E., Upper extremity limb function discrimination using EMG signal analysis, IEEE Transaction on Biomedical Engineering, 30 (1), pp. 18-29, 1983. DOI: 10.1109/TBME.1983.325162 [DOI] 🠔
  25. [25] Phinyomark, A., Phupattaranond, P. and Limsakul, C., Feature reduction and selection for EMG signal classification, Expert Syst. Appl., 39(8), pp. 7420-7431, 2012. DOI: 10.1016/j.eswa.2012.01.102 [DOI] 🠔
  26. [26] Lee, S. and Saridis, G., The control of a prosthetic arm by EMG pattern recognition, IEEE Transaction on Automatic Control, 29(4), pp. 290-302, 1984. 🠔
  27. [27] Saridis, G. and Gootee, T., EMG pattern analysis and classification for a prosthetic arm, IEEE Transaction on Biomedical Engineering, 29(6), pp. 403-412, 1982. DOI: 10.1109/TBME.1982.324954 [DOI] 🠔
  28. [28] Liu, X,, Zhou, R,, Yang, L. and Li, G., Performance of various EMG features in identifying arm movements for control of multifunctional prostheses, Proceedings of IEEE Youth Conference on Information, Computing and Telecommunication, Beijin, China, 2009. DOI: 10.1109/YCICT.2009.5382366 [DOI] 🠔
  29. [29] Bunderson, N.E. and Kuiken, T.A., Quantification of feature space changes with experience during electromyogram pattern recognition control, IEEE Transaction on Neural Systems and Rehabilitation Engineering, 20(3), pp. 239-246, 2012. DOI: 10.1109/TNSRE.2011.2182525 [DOI] 🠔
Díaz-Amador, R. and Mendoza-Reyes, M.A., Towards the reduction of the effects of muscle fatigue on myoelectric control of upper limb prostheses.. DYNA, 86(208), pp. 110-116, January - March, 2019
received the BSc. Eng in Telecomunications and Electronic Engineering in 2007, and the MSc. degree in Signals and Systems in 2009, all of them from the Universidad Central Marta Abreu de Las Villas, Santa Clara, Cuba. From 2007 to 2015, he worked teaching digital signal and digital image processing in the Faculty of Electrical Engineering and research in the Centro de Estudios de Electrónica y Tecnologías de la Información. Currently, he is a professor in the Computer Sciences Department, Facultad de MFC, and research in the Centro de Investigaciones de la Informática. His research interests include: digital signal processing, biomedical eng., myoelectric prosthesis, digital image processing. ORCID: 0000-0002-4289-9638
BSc. in Engineering, PhD., titular professor at Departamento de Telecomunicaciones y Electrónica, in the Universidad Central Marta Abreu de Las Villas (UCLV), Santa Clara, Cuba. His research interests include: digital signal processing, biomedical eng., myoelectric prosthesis, intelligent devices and IoT. ORCID: 0000-0003-2454-8700