DYNA
0012-7353
Universidad Nacional de Colombia
https://doi.org/10.15446/dyna.v86n209.74839

Recibido: 13 de septiembre de 2018; Revision Received: 1 de marzo de 2019; Aceptado: 22 de marzo de 2019

Delineation of special economic zones using integer linear programming

Delimitación de zonas económicas especiales utilizando programación lineal entera

N. Cid-Garcia, aN. Alvarez-Jarquin, aL. Ruvalcaba, aG. Correa-Medina, b

CONACYT - Centro de Investigación en Ciencias de Información Geoespacial, Aguascalientes, Mexico. ncid@centrogeo.edu.mx, nalvarez@centrogeo.edu.mx, lruvalcaba@centrogeo.edu.mx CONACYT - Centro de Investigación en Ciencias de Información Geoespacial Aguascalientes Mexico
Centro de Investigación en Ciencias de Información Geoespacial, Aguascalientes, Mexico. gcorrea@centrogeo.edu.mx Centro de Investigación en Ciencias de Información Geoespacial Aguascalientes Mexico

Abstract

Special Economic Zones (SEZs) are delimited geographic areas located within the borders of a country with the objective of stimulating the local economy of a specific region. SEZs have multiple labor and fiscal benefits that allow them to enhance the economic level of the region through the generation of quality jobs, export growth, government investment, and technology transfer, just to name a few. China and other countries have demonstrated the benefits of SEZs and their economic impact on the local region. This article proposes a method based on Integer Linear Programming to delineate SEZs in a way that takes into account the population of the region, the distance and travel time between municipalities, the infrastructure of the region, and the Federal Laws imposed by the government. Experimental results based on real instances concerning the Isthmus of Tehuantepec, México, validate the method and enable a graphical visualization of the solution.

Keywords:

special economic zones, integer linear programming, mathematical modeling.

Resumen

Las Zonas Económicas Especiales (ZEEs) son áreas geográficas delimitadas ubicadas dentro de las fronteras de un país con el objetivo de impulsar la economía local de una región específica. Las ZEEs tienen múltiples beneficios laborales y fiscales que les permiten mejorar el nivel económico de la región a través de la generación de empleos de calidad, crecimiento de las exportaciones, inversión gubernamental y transferencia de tecnología, solo por nombrar algunos. China y otros países han demostrado los beneficios de las Zonas Económicas Especiales y su impacto económico para la región local. El objetivo de este artículo es proponer una metodología basada en Programación Lineal Entera para generar ZEE tomando en consideración la población de la región, la distancia y el tiempo de viaje entre los municipios, la infraestructura de la región y las Leyes Federales impuestas por los gobiernos. Los resultados experimentales basados en instancias reales del Istmo de Tehuantepec, México, validan el método y permiten una visualización gráfica de la solución.

Palabras clave:

zonas económicas especiales, programación lineal entera, modelación matemática.

1. Introduction

Special Economic Zones (SEZs) are delimited geographic areas contained within a country's national boundaries, with natural and logistical advantages suitable for high productivity. SEZs provide an exceptional business environment to attract investment, develop international trade, generate quality jobs, as well as offering fiscal and labor benefits, a world-class infrastructure and support programs (human capital, financing, and innovation). SEZs promote the economic activity within the zone and the industrial zones that focus mainly on specific economic activities [1].

The World Bank considers that the concept of an SEZ includes a wide variety of types of economic zone. Among the most important are Free Trade Zones (FTZs) which re-export goods enjoying certain customs advantages, and Export Processing Zones (EPZs), which promote economic growth by attracting foreign investment and producing exports [2,3].According to Zeng [4], in the last three decades, China has been an example for other countries in the creation of SEZs, because these have contributed significantly to the generation of employment, exports, gross domestic product and attraction of foreign investment.

In 1980, the first four SEZs of China were created: Shenzhen, Zhuai, and Shantou belong to Guangdong Province and Xiamen belongs to Fujian Province. These two provinces are strategically located in coastal areas close to Hong Kong, Macao, and Taiwan. Of all these zones, Shenzhen is the most developed, probably because of its location at the delta of the Pearl River and immediately north of Hong Kong where capitalist modes of economic growth and management have flourished [5]. Several studies are still assessing the great economic achievement of this region, in order to replicate it [6].

The success of SEZs inside China has inspired other countries, such as Honduras, Taiwan, South Korea, Madagascar, India, El Salvador and Bangladesh, to create their own. This has provided multiple benefits, such as employment generation, export growth and diversification, government revenue and technology transfer [1,7-10]. For instance, India is one of the many countries where, thanks to the establishment of SEZs, the jewelry and electronics industry has grown rapidly and this has contributed to creating quality jobs [11,12]. Through a three-sector Harris-Todaro type model it has been established that agriculture and SEZs can grow at the same time if the government provides support for projects that benefit and boost land efficiency [13].

The main contribution of this paper is to propose a tool for delineating SEZs based on mathematical modeling. Our method is applied in a case study of the Isthmus of Tehuantepec, Mexico.

2. SEZs and mathematical modeling

For a decision maker, designing an SEZ is not an easy task, mainly due to two reasons: defining the spatial unit to use (province, state, town, etc.), and determining its area of influence. Mathematical tools, in particular, Integer Linear Programming (ILP), have been used to solve several complex real-life problems where the decision maker does not find it easy to make a decision.

The problem of the delineation of SEZs is similar to the territory design problem (TDP), where small geographic basic units (municipalities) are grouped into larger geographic clusters called territories (economic zones), which are acceptable or optimal according to the relevant planning criteria [14]. The TDP has several applications in political districting [15-20], sales territory design [14,21-23], agricultural zones [24,25] and public services [26]. Some surveys of the methods and algorithms used in the TDP can be found in [27-29] for districting problems; in [26] for sales districting and; in [30] for political districting.

The originality of the present paper lies in the way to treat the delineation of SEZs. To the best of our knowledge, there are no studies using an Integer Linear Programming approach to delimiting these zones and their areas of influence. In this article, we propose two mathematical formulations to delineate SEZs and their areas of influence. The first one is based on the assignment problem and, the second one on the facility location problem.

3. Methodology

Some specific characteristics that have been of great importance when creating an SEZ are a) the internal characteristics of the zone, b) its relative location and, c) its interactions with areas of intense commercial activity [4]. Taking into account these characteristics we propose a new method to delineate SEZs by using ILP. We present two mathematical formulations. In the first one, we consider the time and distance between the municipalities, their popula-tion, any extreme poverty, and the infrastructure of the region. A particularity of this model is that some munici-palities are fixed previously as the center of each economic zone. In the second model, the same considerations are taken, but the center of each SEZ is optimally chosen by the model considering a set of potential sites, given previously, where the center of each SEZ can be determined.

3.1. Model A

In this model, the minimum number of SEZs is previously computed according to the population density and the restrictions on population imposed by the government. Then, the center for each SEZ is established a priori considering the potential of each municipality. Finally, the model selects the best way of assigning municipalities to an SEZ.

To formalize this problem, let I be the set of municipalities where I={1,…,m}, and let J be the set of SEZs where J={1,…,n} computed by Eq. (1), where; p i is the population of municipality i, and UP is the maximum population allowed in an SEZ. Therefore, the minimum number of zones is initially given by the following equation:

The objective is to minimize the distance Dij from a municipality i to an SEZ j. The model must satisfy the bounds of minimum and maximum population (LP and UP, respectively) previously established. The decision variables for this formulation are:

The resulting mathematical model is:

subject to:

The objective function is represented by (2), where the total distance between municipalities and SEZs is minimized. Constraints (3) ensure that each municipality is assigned to only one economic zone. Constraints (4) and (5) ensure that the population for each economic zone must satisfy the local specifications. Finally, in (6) the nature of the variables is declared.

Version 2 of this formulation minimizes the time instead of the distance. Replacing the objective function (2) we have

where T ij is the travel time from municipality i to potential SEZ j.

An important reason to consider the travel time instead of the distance is that often the available infrastructure, official speed limits, historical traffic speed data, and others, have shown that the distance and travel time are not proportional; in some cases, the travel time can be bigger in shorter distances than in larger distances. Therefore, it is very important to consider the time.

3.2. Model B

This model is based on the facility location problem, which has practical importance in problems where the objective is to choose the location of facilities, such as industrial plants or warehouses, in order to minimize the costs or maximize the profit of satisfying the demand for some commodity (see [31]).

For this model the same parameters are considered as in model A. However, in this case, the selection of each center of an SEZ is chosen by the model instead of being fixed previously. To formalize this, we consider a set of municipalities I={1,…,m} each one with a specific population p i , and a set of potential sites J={1,…,ZONES} where the center of the economic zone can be established. In this case, the potential municipalities in the region define the number of zones, denoted by ZONES, which differs from model A to model B. The distance from municipality i to potential site j is denoted by D ij . The variables for the integer linear programming formulation are:

The mathematical formulation is:

subject to:

In the objective function (8) the aim is to minimize the total distance between the municipalities and the SEZs. Constraints (9) ensure that each municipality is assigned to only one economic zone, which means a municipality cannot be in two economic zones simultaneously. Constraints (10) and (11) ensure that the population for each SEZ must be satisfactory if it is selected. Constraints (12) ensure that a municipality is going to be assigned to a special economic zone only if it is selected. Constraint (13) limits the number of special economic zones with the minimum number required according to Eq. (1). Finally, in (14) and (15) the nature of the variables is declared.

As in model A, version 2 of this formulation consists in considering the time instead of distance as in (8), and then we have:

3.3. Case study: Special Economic Zones in Mexico

The area of interest for the creation of these SEZs is located in the region of the Isthmus of Tehuantepec in Mexico that includes three states: Veracruz, Oaxaca, and Chiapas (see Fig. 1). This area is considered as a way of transisthmian communication between the Atlantic Ocean and the Pacific Oceans, which impacts on the transportation of goods destined for national and international markets.

The Isthmus of Tehuantepec, Mexico (black zone).

Figure 1: The Isthmus of Tehuantepec, Mexico (black zone).

Source

Data obtained from the Mexican National Institute of Statistics and Geography (INEGI).

Table 1 shows the municipalities of each state that will be considered when creating the SEZs. The first eighteen municipalities belong to the state of Veracruz and the rest belong to the state of Oaxaca. The first and fourth columns show the ID, the second and fifth columns show the names, and the third and sixth columns show the population for each municipality.

Table 1: Population for each municipality of the Isthmus of Tehuantepec, Mexico.

Source: The Authors.

According to the Mexican Federal Law for the creation of SEZs, these will be established with the aim of boosting through investments the economic growth of the country's regions. They must meet the following requirements:

a) They must be located among the ten states with the highest incidence of extreme poverty.

b) These zones should be established in geographic areas that have a strategic hub with access to large infrastructures such as airports, railways, ports and inter-oceanic highways in order to increase productivity.

c) Each SEZ can be integrated with at least one municipality. Each zone must have a population between 50000 and 500000 inhabitants.

Oaxaca has the second highest incidence of extreme poverty of the states of Mexico, while Veracruz is in sixth place; therefore, the first requirement mentioned above is fulfilled. The objective of creating SEZs in these two states is to exploit their strategic location.

Table 2 shows the infrastructure of the potential munici-palities that are candidates to be the center of an SEZ. The first and second columns indicatae the municipality; the third to seventh columns show the available infrastructure (a ‘1’ means the municipality has a highway (H), train (T), airport (A), port (P) or refinery (R)). The last column shows the total number of elements (T).

Table 2: Infrastructure for municipalities that can be the center of an SEZ

Source: The Authors.

4. Results

Experimental results based on real data of the Isthmus of Tehuantepec, México, validate the method and enable a graphical visualization of the solution. In this section, the integer programming formulations for the SEZ problem are validated. The mathematical models were solved using CPLEX version 12.7.0.1 executed on a workstation equipped with 64 GB of RAM and 8 Intel(R) Xeon(R) E5-2609 v4 Processors @ 1.7 GHz.

4.1. Model A

For this model, we first compute the minimum number of SEZs required for partitioning the region of the isthmus using Eq. (1). In this case, the minimum number of zones was equal to 4.

Then, we generate 136 instances considering combinations of 4 municipalities using the potential municipalities given in Table 2.

Taking into account the port infrastructure of Coatzacoalcos (1) and Salina Cruz (38), they were fixed as the centers of the first two SEZs. The number between parentheses means the ID given in Table 2. The other two centers of SEZs were combined with the other potential municipalities, i.e., Cosoleacaque (2) and Jaltipan (5), Cosoleacaque (2) and Texistepec (6), Cosoleacaque (2) and Oluta (7), and so on to Cosoleacaque (2) and San Pedro Tapanatepec (58). The same was done with the rest of the potential municipalities.

Tables 3 and 4 show the experimental results for the 136 instances considering the version 1 of model A (distance). The first and ninth columns present the IDs of the instance; the second to fifth and tenth to thirtieth columns present the IDs of the municipalities established as a center of an SEZ (see Table 1); the sixth and fourteenth columns are the distance in km obtained by the model; the seventh and fiftieth columns are the travel time in minutes computed with Table A1 and using the solution obtained by the model; the eighth and last columns are the solution time in seconds taken by the solver.

Table 3: Experimental results for version 1 of model A. Part I.

Source: The Authors.

Tables 5 and 6 are very similar to Tables 3 and 4, just that these results are from version 2 of model A (time). The travel time in minutes is the solution of the model, and the distance is computed with a table similar to A1 but considering distance instead of time.

Table 4: Experimental results for version 1 of model A. Part II

Source: The Authors.

Table 5: Experimental results for version 2 of model A. Part I

Source: The Authors

Table 6: Experimental results for version 2 of model A. Part II

Source: The Authors.

Fig. 2 presents the solution for the 136 instances comparing the distance for both versions of model A. The distance for the first version (circles) is the value of the objective function (column distance of Tables 3 and 4). The distance for the second version (rectangles) is the computed value considering the solution obtained by the model (column distance of Tables 5 and 6). The X-axis represents the instance number and the Y-axis is the value in km of the objective function. In this case, 11.76% of the instances have the same value for both versions while 88.24% have a smaller value in version 1. Note that in no instance does version 2 wins. This behavior is normal because the priority of version 1 is minimizing the distance instead of the time.

Solutions for the 136 instances comparing the distance in both versions of model A.

Figure 2: Solutions for the 136 instances comparing the distance in both versions of model A.

Source: The Authors.

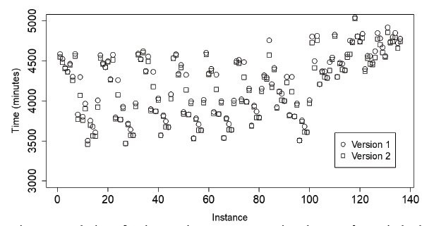
Fig. 3 shows the solution for the 136 instances comparing the travel time for both versions of model A. The travel time for the first version (circles) is the computed value using the solution of the model in joint with Table 8 (column travel time of Tables 3 and 4). The time for the second version (rectangles) corresponds to the value of the objective function (column travel time of Tables 5 and 6). The X-axis represents the instance number and the Y-axis is the value in minutes of the objective function. As in version 1, 11.76% of the instances have the same value for both versions of the model, while 88.24% of the instances have a smaller value in version 2. Note that in no instance does version 1 wins. This behavior is normal because the priority of the version 2 is minimizing the time.

Solutions for the 136 instances comparing the travel time in both versions of model A.

Figure 3: Solutions for the 136 instances comparing the travel time in both versions of model A.

Source: The Authors.

Fig. 4 shows the configuration for version 1 of model A. The left side is the instance with the least distance, which takes Coatzacoalcos, Salina Cruz, Jaltipan, and H. Ciudad de Juchitan de Zaragoza as the centers of the SEZs. The right side is the instance with the greatest distance, which takes Coatzacoalcos, Salina Cruz, San Pedro Tapanatepec, and Santo Domingo Tehuantepec as the centers of the SEZs.

Configuations of SEZs minimizing the distance in version 1 of model A. The left side is the configuration with the least distance, and the right side is the configuration with the greatest distance.

Figure 4: Configuations of SEZs minimizing the distance in version 1 of model A. The left side is the configuration with the least distance, and the right side is the configuration with the greatest distance.

Source: The Authors.

The configuration for version 2 of model A is presented in Fig. 5. The left side is the instance with the smallest time, fixing Coatzacoalcos, Salina Cruz, Cosoleacaque and Ciudad Ixtepec as centers of the SEZs. The right side is the instance with the greatest time fixing, Coatzacoalcos, Salina Cruz, Santo Domingo Tehuantepec and Asuncion Ixtaltepec as the centers of the SEZs.

Configuration of SEZs minimizing the travel time in version 2 of model A. The left side is the configuration with the least time, and the right side is the configuration with the greatest time.

Figure 5: Configuration of SEZs minimizing the travel time in version 2 of model A. The left side is the configuration with the least time, and the right side is the configuration with the greatest time.

Source: The Authors.

4.2. Model B

The results for both versions of model B are shown in Table 7. The first column gives the version of the model. From the second to fifth columns are the municipalities which were established as the centers of the SEZs (ID of Table 2). The sixth column represents the objective of the version: distance or time. The seventh column is the value of the objective function in km or minutes. The last column is the time in seconds needed to obtain the optimal solution.

Table 7: Experimental results for both versions of model B.

Source: The Authors.

Fig. 6 shows the configuration given by both versions of model B. The left side is the result of version 1, which takes Coatzacoalcos, Jaltipan, Santo Domingo Tehuantepec and Union Hidalgo as the centers of the SEZs. The right side is the result for version 2, which takes Jaltipan, Minatitlan, Matias Romero Avedaño and Santo Domingo Tehuantepec as the centers of the SEZs.

Configurations of SEZs for both versions of model B.

Figure 6: Configurations of SEZs for both versions of model B.

Source: The Authors.

5. Conclusions

In this article, we presented a new approach for the delineation of Special Economic Zones (SEZs). This approach relies on two mathematical models of Integer Linear Programming which consider the federal laws imposed by the government and the natural and logistical characteristics of the region. In the first model, the centers of the SEZs are pre-established according to the minimum number of zones required considering the population and infrastructure of the region. The second model considers the same parameters as the first one, but chooses all the centers of the SEZs. Each model has two versions, the first one minimizes the distance between municipalities and SEZs, and the second one minimizes time.

Experimental results applied to the region of the Isthmus of Tehuantepec, Mexico, validate the method and show several configurations for the design of SEZs, which allows the establishment of negotiations between the municipalities and therefore the support of the local government in the implementation of these zones.

Some extensions of this approach to more complex model such as a bi-objective mathematical formulation are currently under study.

Acknowledgements

Acknowledgments

This work was supported by the Chairs Program of the Mexican National Council of Science and Technology CONACYT.

References

  1. [1] Farole, T. and Akinci, G., Special economic zones: progress, emerging challenges and future directions. The World Bank, Washington D.C., 2015. DOI: 10.1596/978-0-8213-8763-4 [DOI] 🠔
  2. [2] Akinci, G. and Crittle, J., Special economic zones: performance, lessons learned, and implications for zone development, The World Bank, Washington D.C., , 2008. 🠔
  3. [3] Zeng, D., How do special economic zones and industrial clusters drive China’s rapid development? , The World Bank, Washington D.C , ., 2011. DOI: 10.1596/1813-9450-5583 [DOI] 🠔
  4. [4] Fan, C. and Scott, A.J., Industrial agglomeration and development: a survey of spatial economic issues in East Asia and a statistical analysis of Chinese regions. Economic Geography, 79(3), pp. 295-319, 2003. DOI: 10.1111/j.1944-8287.2003.tb00213.x [DOI] 🠔
  5. [5] Yeung, J.L. and Kee, G., China's special economic zones at 30. Eurasian Geography and Economics, 50(2), pp. 222-240, 2009. DOI: 10.2747/1539-7216.50.2.222 [DOI] 🠔
  6. [6] Zhong, J., The course, achievements and inspirations of the reform and opening-up of the shenzhen special economic zone. In: Studies on China’s special economic zones, Springer Singapore, Ch. 3, 2017, pp. 23-39. DOI: 10.1007/978-981-10-3704-7_3 [DOI] 🠔
  7. [7] Nel, E. and Rogerson, C., Special economic zones in South Africa: reflections from international debates. Urban Forum Springer, 24(2), pp. 205-217, 2013. DOI: 10.1007/s12132-012-9184-7 [DOI] 🠔
  8. [8] Palit, A. and Bhattacharjee, S., Special economic zones in India: myths and realities. Anthem Press, New Delhi, 2008, pp. 107-111. 🠔
  9. [9] Aggarwal, A., Hoppe, M. and Walkenhorst, P., Special economic zones in South Asia: industrial islands or vehicles for diversification? The World Bank, Washington D.C , ., 2008. 🠔
  10. [10] Wang, J., The economic impact of special economic zones: evidence from Chinese municipalities. Journal of Development Economics, 101, pp. 133-147, 2013. DOI: 10.1016/j.jdeveco.2012.10.009 [DOI] 🠔
  11. [11] Aggarwal, A., Special economic zones: revisiting the policy debate. Economic and Political Weekly, 41(43/44), pp. 4533-4536, 2016. 🠔
  12. [12] Mukherjee, A., Pal, P., Deb, S., Ray, S. and Goyal, T.M., Special economic zones in india: status, issues and potential. Berlin: Springer Verlag, 2016. 🠔
  13. [13] Chaudhuri, S. and Yabuuchi, S., Formation of special economic zone, liberalized DFI policy and agricultural productivity. International Review of Economics and Finance, 19(4), pp. 779-788, 2010. DOI: 10.1016/j.iref.2010.02.004 [DOI] 🠔
  14. [14] Ríos-Mercado, R.Z. and Escalante, H.J., GRASP with path relinking for commercial districting. Expert Systems with Applications, 44(201), pp. 102-113, 2016. DOI: 10.1016/j.eswa.2015.09.019 [DOI] 🠔
  15. [15] Pukelsheim, F., Ricca, F., Simeone, B., Scozzari, A. and Serafini, P., Network flow methods for electoral systems. Networks, 59(1), pp. 73-88, 2012. DOI: 10.1002/net.20480 [DOI] 🠔
  16. [16] Ricca, F. and Simeone, B., Local search algorithms for political districting. European Journal of Operational Research, 189(3), pp. 1409-1426, 2008. DOI: 10.1016/j.ejor.2006.08.065 [DOI] 🠔
  17. [17] Bozkaya, B., Erkut, E. and Laporte, G., A tabu search heuristic and adaptive memory procedure for political districting. European Journal of Operational Research, 144(1) 2003, pp. 12-26,. DOI: 10.1016/S0377-2217(01)00380-0 [DOI] 🠔
  18. [18] Forman, S.L. and Yue, Y., Congressional districting using a tsp-based genetic algorithm. In: Genetic and Evolutionary Computation Conference, , Springer-Verlag, Berlin 2003, pp. 2072-2083. DOI: 10.1007/3-540-45110-2_104 [DOI] 🠔
  19. [19] Mehrotra, A., Johnson, E.L. and Nemhauser, G.L., An optimization based heuristic for political districting. Management Science, 44(8), pp. 1100-1114, 1998. 🠔
  20. [20] Browdy, M.H., Simulated annealing: an improved computer model for political redistricting. Yale Law and Policy Review, 8(1), pp. 163-179, 1990. 🠔
  21. [21] Zoltners, A.A. and Sinha, P., The 2004 ISMS practice prize winner-sales territory design: thirty years of modeling and implementation. Marketing Science, 24(3), pp. 313-331, 2005. DOI: 10.1287/mksc.1050.0133 [DOI] 🠔
  22. [22] Zoltners, A.A. and Sinha, P., Sales territory alignment: a review and model. Management Science, 29(11), pp. 1237-1256, 1983. DOI: 10.1287/mnsc.29.11.1237 [DOI] 🠔
  23. [23] Drexl, A. and Haase, K., Fast approximation methods for sales force deployment. Management Science, 45(10), pp. 1307-1323, 1999. DOI: 10.1287/mnsc.45.10.1307 [DOI] 🠔
  24. [24] Albornoz, V.M., Cid-Garcia, N.M., Ortega, R. and Rios-Solis, Y.A., A hierarchical planning scheme based on precision agriculture. In: Handbook of Operations Research in Agriculture and the Agri-Food Industry, Berlin: Springer-Verlag, 2015, pp. 129-162. DOI: 10.1007/978-1-4939-2483-7_6 🠔
  25. [25] Cid-Garcia, N.M., Albornoz, V., Rios-Solis, Y.A . and Ortega, R ., Rectangular shape management zone delineation using integer linear programming. Computers and Electronics in Agriculture, 93, pp. 1-9, 2013. DOI: 10.1016/j.compag.2013.01.009 [DOI] 🠔
  26. [26] Muyldermans, L., Cattrysse, D.D., Oudheusden, V. and Lotan, T., Districting for salt spreading operations. European Journal of Operational Research, 139(3), pp. 521-532, 2002. DOI: 10.1016/S0377-2217(01)00184-9 [DOI] 🠔
  27. [27] Kalcsics, J., Districting problems. In: Location Science, Springer-Verlag, Berlin , 2015, pp. 595-622. DOI: 10.1007/978-3-319-13111-5_23 [DOI] 🠔
  28. [28] Kalcsics, J., Nickel, S., and Schröder, M., Towards a unified territo-rial design approach applications, algorithms and GIS integration. Top 13(1), pp. 1-56, 2005. DOI: 10.1007/BF02578982 [DOI] 🠔
  29. [29] Duque, J.C., Ramos, R. and Suriñach, J., Supervised regionalization methods: a survey. International Regional Science Review, 30(3), pp. 195-220, 2007. DOI: 10.1177/0160017607301605 [DOI] 🠔
  30. [30] Ricca, F., Scozzari, A. and Simeone B ., Political districting: from classical models to recent approaches.Annals of Operations Research, 204 (1), pp. 271-299, 2013. 🠔
  31. 31Cornuéjols, G., Nemhauser, G.L. and Wolsey, L.A ., The uncapacitated facility location problem, Tech. rep., DTIC Document, 1983. 🠔
Cid-Garcia, N.M., Alvarez-Jarquin, N., Ruvalcaba, L. and Correa-Medina, G., Delineation of special economic zones using integer linear programming. DYNA, 86(209), pp. 141-150, April - June, 2019.
received the PhD. degree in Systems Engineering in 2016 from the Autonomous University of Nuevo Leon, Mexico. Since 2016 he has been a full researcher with the Chairs Program of the Mexican National Council of Science and Technology (CONACYT) in the National Laboratory of Geointelligence, CentroGeo, Aguascalientes, Mexico. His research interests include mathematical modeling; application and theory of operations research techniques; and the design, development, and analysis of efficient approximate and exact algorithms. Some application areas include delineation of site-specific management zones, agricultural production planning, special economic zones, and 2D packing problems. ORCID: 0000-0003-0793-073X
received the PhD in Physics from the University of Paris-Sud 11, France in 2015. Since 2016 she has been a full researcher with the Chairs Program of the Mexican National Council of Science and Technology (CONACYT) in the National Laboratory of Geointelligence, CentroGeo, Aguascalientes, Mexico. Her research interests include switched systems, dynamical systems, implicit systems, the stability of nonlinear time-varying systems, and the Internet of Things. ORCID: 0000-0003-3367-5517
received the PhD. degree in Logistics and Supply Chain Management from UPAEP, Puebla, Mexico in 2011. She has worked as a professor for several universities. Currently, she is a full researcher with the Chairs Program of the Mexican National Council of Science and Technology (CONACYT) in the National Laboratory of Geointelligence, CentroGeo, Aguascalientes, Mexico. Her research interests include software engineering, discrete simulation, computational optimization and algorithms of approximation for logistics, supply chain, and industrial problems and statistical methods. ORCID: 0000-0002-4225-9032
received the PhD. degree in Logistics and Supply Chain Management from UPAEP, Puebla, Mexico in 2011. From 2003 through 2015, he worked as a professor for several universities. Currently, he works as a full researcher on Mobility and Logistics in the National Laboratory of Geointelligence, CentroGeo, Aguascalientes, Mexico. His research interests include heuristics and metaheuristics for optimization, supply chain and logistics, mobility, facility location, territorial design, and computer viruses. ORCID:0000-0003-0059-1931

Appendix 1

Table A1.: Time in minutes from municipalities (rows) to potential centers of SEZs (columns). The IDs correspond to those ID given in Table A1.

Source: The Authors