DYNA
0012-7353
Universidad Nacional de Colombia
https://doi.org/10.15446/dyna.v86n210.75092

Recibido: 24 de septiembre de 2018; Revision Received: 15 de mayo de 2019; Aceptado: 29 de mayo de 2019

Desarrollo de un modelo dinámico para módulos y arreglos fotovoltaicos

Development of a dynamic model for photovoltaic modules and arrays

R. Arias-García, a I. Pérez-Abril, b

Empresa COPEXTEL, SA División Villa Clara , , Santa Clara, Cuba. rodolfoag@vc.copextel.com.cu Empresa COPEXTEL, SA División Villa Clara Santa Clara Cuba
Facultad Ingeniería Eléctrica, Universidad Central de Las Villas, Santa Clara, Cuba. iperez@uclv.edu.cu Universidad Central Marta Abreu de las Villas Facultad Ingeniería Eléctrica Universidad Central de Las Villas Santa Clara Cuba

Resumen

En este trabajo, se propone un modelo dinámico en Simulink para simular el comportamiento de los módulos fotovoltaicos. Una metodología novedosa, basada en el teorema de Tellegen, se presenta para obtener con precisión los cinco parámetros del modelo de diodo simple, a través de los datos proporcionados por el fabricante en la hoja de datos. El modelo obtenido considera, en el cálculo de la curva Volt-Ampere, las condiciones ambientales de irradiación solar and temperatura ambiente. También se modelan los efectos de segundo orden, como la influencia de la temperatura en la corriente fotoeléctrica y en el voltaje del circuito abierto, así como los efectos espectrales y ópticos. La precisión del modelo propuesto se prueba comparando sus resultados, con curvas y datos experimentales de la hoja de datos del fabricante.

Palabras clave:

celdas solares, módulo fotovoltaico, arreglo fotovoltaico, simulación, modelación, determinación de parámetros.

Abstract

In this work, a dynamic model in Simulink is proposed to simulate the behavior of photovoltaic modules. A novel methodology, based in the Tellegen's theorem, is presented to obtain with accuracy the five parameters of the simple diode model, through the data provided by the manufacturer in the data sheet. The obtained model considers, in the calculation of the Volt-Ampere curve, the environmental conditions of solar irradiance and ambient temperature. The second-order effects, such as the influence of the temperature on the photocurrent and on the open circuit voltage, as well as the spectral and optical effects are also modelled. The accuracy of the proposed model is tested by comparing its results, with curves and experimental data from the manufacturer's data sheet.

Keywords:

solar cells, photovoltaic module, photovoltaic array, simulation, modeling, determination of parameters.

1. Introduction

El impacto negativo que están causando las fuentes tradicionales de energía, responsables del calentamiento global y los cambios climáticos, ha motivado la necesidad de reorientar el enfoque energético de la humanidad. Como consecuencia de ello, la producción de energías limpias no es una cultura o un intento de mejorar el medio ambiente, sino una necesidad a la que el ser humano se ha visto abocado, independientemente de su opinión, gustos o creencias.

La energía solar constituye una fuente de energía limpia e inagotable. Entre las tecnologías que en la actualidad se expande de una manera vertiginosa se encuentra la fotovoltaica, por ser una tecnología que posibilita la generación de electricidad en cualquier parte del planeta [1,2].

La celda fotovoltaica es el dispositivo que realiza la conversión de la radiación solar en electricidad. Las celdas se agrupan, en las fábricas, para conformar los módulos fotovoltaicos comerciales, los que a su vez se agrupan, por los proyectistas, en serie y/o paralelo para formar arreglos fotovoltaicos, que constituyen los denominados generadores fotovoltaicos [3]. Los voltajes y corrientes disponibles en los terminales de los módulos y/o arreglos, pueden alimentar directamente cargas eléctricas de corriente directa. Sin embargo, las aplicaciones más sofisticadas requieren de convertidores electrónicos, para procesar la electricidad proveniente del generador fotovoltaico [3]. Estos convertidores pueden ser usados para regular la tensión y la corriente en las cargas, para controlar el flujo de potencia en los sistemas conectados a las redes eléctricas y para seguir el punto de máxima potencia (del inglés MPPT) del generador fotovoltaico y lograr una mayor eficiencia del sistema.

Los sistemas fotovoltaicos formados por arreglos fotovoltaicos y convertidores electrónicos, constituyen inversiones relativamente caras. Por ello, la predicción del comportamiento del sistema fotovoltaico, desde la etapa de diseño, es vital para desarrollar estudios de factibilidad y para lograr los mejores índices de explotación.

Los módulos fotovoltaicos iluminados sobre la superficie de la tierra, dan una respuesta que depende de la calidad e intensidad de la radiación recibida, de la temperatura de la celda y de las pérdidas por efectos espectrales y ópticos [1, 4,5], aspectos que influyen decisivamente en la conversión de la energía radiante en electricidad. De otro lado, formando parte del sistema fotovoltaico, se encuentran los convertidores electrónicos encargados de procesar la energía eléctrica y de lograr que el sistema fotovoltaico sea eficiente. Por tal motivo, para contar con simuladores que permitan realizar estudios dinámicos en sistemas fotovoltaicos, el primer paso es contar con un modelo dinámico del módulo fotovoltaico que simule lo más exactamente posible el comportamiento real de los módulos y/o arreglos fotovoltaicos, lo que constituye el objetivo fundamental de este trabajo.

El comportamiento eléctrico del módulo fotovoltaico, bajo determinadas condiciones de operación, se caracteriza por sus parámetros eléctricos y por la curva Volt-Ampere (I = f(V)), que describe su operación. Desde el siglo XX y lo que va del XXI, se han desarrollado diferentes circuitos equivalentes para caracterizar las celdas y los módulos fotovoltaicos. El circuito equivalente más usado para modelar el módulo fotovoltaico, es el modelo de simple diodo con cinco parámetros, por garantizar elevada precisión y desempeño en estudios de sistemas fotovoltaicos. En todos los casos los parámetros de los módulos, se calculan a partir de los datos y curvas aportados por el fabricante. Sin embargo estos parámetros no son fáciles de obtener, y normalmente se realizan consideraciones para determinarlos que van en detrimento de los resultados, tales como: se estima el factor de idealidad del diodo [3,6,7], se considera la fotocorriente igual a la corriente de cortocircuito [1-3,6-12], se desprecia la corriente de saturación inversa para el cálculo de la fotocorriente [2,3,13], se desprecia la resistencia paralelo para calcular la corriente de saturación inversa [3,6,8,10], y en la mayoría de los casos la carga computacional para el cálculo de los parámetros es elevada.

En este artículo se presenta una metodología que permite calcular con exactitud los cinco parámetros del circuito equivalente de simple diodo del módulo fotovoltaico. El modelo dinámico desarrollado toma en consideración durante el proceso de simulación la variación de las condiciones ambientales, la irradiación, la temperatura, los efectos espectrales y los ópticos. Con esto se logra una representación precisa del comportamiento módulo fotovoltaico en condiciones reales de operación.

2. Metodología de cálculo de los parámetros del circuito equivalente

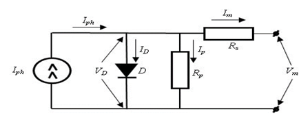
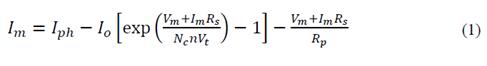
La Fig. 1, muestra el circuito equivalente del modelo de simple diodo del módulo fotovoltaico donde: I ph es la fotocorriente generada por del módulo, I D es la corriente que circula a través del diodo, I p es la corriente que circula por la resistencia paralelo (R p ), R s es la resistencia serie y V m e I m son la tensión y corriente de salida del módulo.

Circuito equivalente del módulo fotovoltaico.

Figura 1. : Circuito equivalente del módulo fotovoltaico.

Fuente: Los Autores.

Aplicando las leyes de Kirchoff y utilizando el modelo matemático del diodo Schockley para representar la corriente I D del diodo [10], la característica Volt-Ampere del circuito I m =f(V m ), queda expresada mediante la ec. (1).

Donde, I o es la corriente de saturación inversa del diodo, N c es el número de celdas del módulo fotovoltaico y n es el factor de idealidad del diodo.

El valor de n para celdas de silicio se encuentra comprendido en el intervalo 1≤ n ≤2 [3] y su elección tiene una marcada incidencia en la forma que adopta la característica I m = f(V m ) [3]. La mayoría de los modelos toman para este factor un valor arbitrario dentro de dicho intervalo [3,8]. Sin embargo, en la metodología propuesta en este trabajo, este valor se calcula de manera automática, garantizando el mejor ajuste de la característica I m =f(V m ) a partir de los datos suministrados por el fabricante en condiciones de operación estándar del módulo [3].

Finalmente V t , es la tensión térmica del diodo, una constante que depende de la temperatura T(K), la constante de Boltzman (K=1.3806503x10-23 J/K), y la carga del electrón (q=1.60217646x10-19 C). La dependencia de V t de estos parámetros se expresa como V t =KT/q.

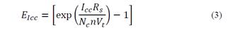
La ec. (1) contiene cinco parámetros desconocidos: I ph , R s , R p , I o y n, cuyos valores se determinan a partir de los datos aportados por el fabricante en la hoja de datos. Estos datos representan tres puntos de la característica I m = f(V m ): el punto de cortocircuito (0, I cc ), el de circuito abierto (V oc , 0), y el de máxima potencia (V max , I max ). Los datos de estos tres puntos corresponden a condiciones estándar de irradiancia de 1000W/m2, temperatura de la celda de 25º C, y una masa de aire de 1.5 (AM=1.5) [3].

2.1. Método de cálculo de las corrientes Iph e Io a partir de lascondiciones estándar

Para el caso de las tres condiciones estándar (circuito abierto, cortocircuito y potencia máxima) se pueden plantear los tres circuitos que aparecen en la Fig. 2, donde el valor de cada magnitud eléctrica para cada condición, se muestra en la Tabla 1.

Circuito equivalente, para condiciones estándar.

Figura 2. : Circuito equivalente, para condiciones estándar.

Fuente: Los Autores.

Tabla 1. : Valores de las magnitudes eléctricas en condiciones estándar.

Fuente: Los Autores.

Donde E Voc , E Icc y E Pmax se determinan por las ec. (2)-(4).

El teorema de Tellegen [14], constituye un teorema de excepcional valor y versatilidad, es simple y general. Para su aplicación solo se requiere que dos circuitos contengan igual matriz de incidencia, aunque los elementos de cada una de las ramas sean diferentes. Si cumpliendo esta condición I 1 ˈ,I 2 ˈ,…,I m ˈ, son las corrientes de rama de una red de m ramas y V 1 ”, V 2 ”, …,V m , son las tensiones de rama de una red N” de m ramas, se cumple la condición planteada en la ec. (5).

Los circuitos a, b y c de la Fig. 2, cumplen esta condición, por lo que son factibles a la aplicación del teorema de Tellegen. Mediante simples operaciones algebraicas con las ecuaciones lineales formuladas por el teorema, se obtiene un sistema de dos ecuaciones lineales que no contiene la variable R p y cuya solución determina las corrientes I ph e I o según:

Donde,

y V Dmax es la tensión en el diodo en la condición de máxima potencia.

2.2. Método de cálculo de la resistencia Rp, a partir de las condiciones estándar

El valor de la resistencia paralelo se calcula despejando R p en la ec. (1), y evaluando en los datos del fabricante en el punto de máxima potencia. De esta forma, se obtiene para su cálculo la ec. (10), que queda expresada en función de los restantes cuatro parámetros del circuito equivalente R p =f(I ph ,I o ,n,R s ).

2.3. Método de cálculo de la pendiente de la característica Volt-Ampere del módulo fotovoltaico

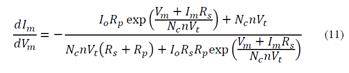
En condiciones estándar la curva de potencia del módulo solo contiene un máximo local, que coincide con el máximo global. El punto de máxima potencia se encuentra cuando se cumple que la derivada dI m /dV m = -(I max /V max ) [8, 13].

Utilizando la ec. (1), se obtiene la derivada dI m /dV m mediante la ec. (11).

Cuando se cumple que dI m /dV m =-(I max /V max ), se garantiza la pendiente correcta de la característica Volt-Ampere en el punto de máxima potencia. Para este caso particular la derivada dI m /dV m (V max ,I max ) = f(I o ,n,R s ,R p ) depende de cuatro de los parámetros del circuito equivalente.

2.4. Procedimiento de cálculo de Iph, Io, n, Rs y Rp

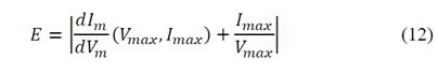
El procedimiento de cálculo de los cinco parámetros se realiza explorando el intervalo en que puede variar n. Para cada valor de n, asumiendo inicialmente el valor de R s igual a cero (R s =0), se calculan en el siguiente orden los restantes parámetros, I ph , I o y R p . Para cada valor de n se incrementa R s en un valor ΔR s y se va calculando el valor de la pendiente y el error absoluto de la pendiente (E), mediante la ec. (12).

Cuando el error sea menor a un error mínimo (E min ), definido por el usuario, quedan calculados los restantes cuatro parámetros del circuito equivalente, válidos para el valor de n asumido.

Así se calculan de manera sucesiva los valores de los parámetros del circuito equivalente para cada nuevo valor de n, explorando el intervalo con un incremento Δn. Cada vez que se realiza un cálculo se compara el resultado del error absoluto E, con el objetivo de que en caso de que sea menor, se desechan los resultados anteriores y se admiten como más precisos los valores recién calculados.

De esta manera, al final de la exploración realizada, se obtiene el mejor ajuste y la mejor forma de la curva Volt-Ampere. La Fig. 3 muestra una descripción simplificada del procedimiento de cálculo de los cinco parámetros.

Algoritmo simplificado del procedimiento de cálculo de los parámetros.

Figura 3. : Algoritmo simplificado del procedimiento de cálculo de los parámetros.

Fuente: Los Autores.

3. Ecuaciones de cálculo de I phx , I ox y V ocx en condiciones reales de operación

Es poco probable el trabajo del módulo fotovoltaico en condiciones estándar de operación. Las magnitudes eléctricas relacionadas en la ec. (1), poseen una dependencia con la variación de la radiación y la temperatura. La fotocorriente (I ph ) posee elevada dependencia de la irradiancia (G) y en menor medida de la temperatura. La corriente de saturación inversa (I o ) y el voltaje de circuito abierto V oc, poseen una elevada dependencia de la temperatura. A efecto de los cálculos para condiciones de operación real, el valor de estas magnitudes eléctricas (I phx , I ox , V ocx ), se obtiene a partir de las ecuaciones ec. (13)-(15) [2,3,7,9,12].

Donde, ΔT=T x -T (T x y T son las temperaturas de la celda en la condición real y la estándar respectivamente en K), K i (A/K), representa el factor de variación de la fotocorriente por grado Kelvin, K v (V/K), representa el factor de variación de la tensión de circuito abierto con la temperatura, G x y G representan las correspondientes irradiancias en condiciones real y estándar. Por su parte E g es la energía de activación de la banda prohibida del semiconductor, para el silicio cristalino E g =1.12 eV y para el silicio amorfo E g =1.7 eV [5].

La temperatura de operación de la celda (T x ), es rigurosamente proporcional a la irradiancia incidente [5], su cálculo se realiza mediante la ec. (16).

Donde la constante C t , se calcula mediante la ec. (17).

En que las siglas NOCT, representan la temperatura de operación nominal de la celda en ºC. Este valor de temperatura y otras las magnitudes eléctricas del módulo fotovoltaico bajo estas condiciones de operación, aparecen en la hoja de datos del fabricante.

3.1. Método de cálculo de Iox a partir del circuito equivalente

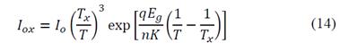
La ec. (14), representa la ecuación de cálculo de la corriente de saturación inversa en condiciones no estándar, sin embargo hay varias referencias que difieren en la representación de esta ecuación. Estas referencias afectan el exponente de la relación de temperaturas por el factor de idealidad del diodo. Además esta ecuación, no está directamente relacionada con las magnitudes del circuito equivalente.

Sin embargo, esta corriente puede ser obtenida a partir del circuito equivalente del modelo, aplicando el teorema de Telleguen [14]. Considerando el circuito bajo la condición estándar de circuito abierto y el propio circuito considerando la variación de la temperatura en un valor T x , aplicando el teorema y utilizando las ecuaciones ec. (13) y ec. (15), I ox se obtiene a partir de la ec. (18).

4. Método de cálculo de la irradiancia G x

La irradiancia en condiciones reales, también conocida como irradiancia efectiva, que participa del proceso fotovoltaico en las celdas solares del módulo fotovoltaico, es solo una parte de la irradiancia que incide sobre la superficie de este. Esta última se ve afectada por los procesos de trasmisión y reflexión de los rayos solares (efectos ópticos), y por cambios en la composición de la atmosfera y en la distancia a la cual viajan los rayos solares a través de la misma (efectos espectrales).

La irradiancia efectiva en condiciones reales se calcula a través de la ec. (19), donde B x , D x y R x representan las componentes directa, difusa y de albedo de la irradiancia solar efectiva, respectivamente.

Donde:

B, D y R, representan las componentes directa, difusa y de albedo respectivamente, que inciden sobre el modulo fotovoltaico. FT B s ), FT D (β) y FT R (β), representan las respectivas transmitancias relativas normalizadas de la componente directa, difusa y de albedo de la irradiancia incidente. f B , f D y f R , consideran independientemente el espectro de cada una de las irradiancias.

4.1. Efectos ópticos

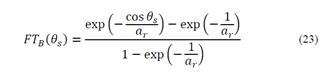
La reflexión y la transmisión de los materiales ópticos dependen del ángulo de incidencia (θ s ). El cristal que cubre los módulos fotovoltaicos no es una excepción y por tanto la entrada óptica de los módulos fotovoltaicos es afectada por su orientación con respecto al sol, debido a que la reflexión del cristal varía con el ángulo de incidencia de los rayos solares. Una fórmula, con buenos resultados, para el cálculo del factor de transmitancia de la irradiancia directa es la ec. (23) [4,5].

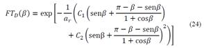
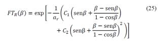
Las perdidas angulares para irradiancia difusa isotrópica y de albedo, dependen del ángulo de elevación del panel (β), de C 1 =4/3π y de C 2 que está relacionada linealmente con a r . Las ec. (24)-(25), permiten calcular de manera aproximada los factores de pérdidas para la irradiancia difusa isotrópica y de albedo respectivamente.

Los valores recomendados de los parámetros para el cálculo de las pérdidas angulares (T Sucio (0)/T Limpio (0), a r y C 2 ), aparecen tabulados [5] para los diferentes grados de suciedad (Limpio, Bajo, Medio, Alto), a los que puede estar expuesto el módulo fotovoltaico.

4.2. Efectos espectrales

El cálculo de estos efectos, se realizan a través de un modelo que realiza una parametrización de la atmosfera mediante el índice de claridad (K T ) y la masa de aire (AM), considerando de manera independiente el espectro de cada una de las componentes de la irradiancia [5]. La ec. (26), permite realizar el cálculo de cada una de las componentes (f).

Donde a, b y c son factores de ajustes empíricos, para cada tipo de modulo y cada tipo de irradiancia. Las constantes 0.74 y 1.5, corresponden con los parámetros atmosféricos en condiciones estándar [3]. Los valores de estos parámetros, para el silicio cristalino (c-Si) y el amorfo (a-Si), aparecen tabulados en la bibliografía [5]. Para extender el cálculo a otros tipos de materiales, se realiza una interpolación entre las energías de activación de la banda prohibida y se calculan los factores de ajuste.

5. Descripción del modelo dinámico implementado

La Fig. 4 muestra la concepción del modelo implementado en MATLAB/Simulink, conformando en un subsistema. Dicho subsistema está compuesto por: el bloque de inicialización de parámetros, el bloque de variables de entrada, una función Matlab (Matlab Function), y un circuito eléctrico elaborado en el Tool book Power System del Simulink. Este último bloque propicia el cálculo de las magnitudes eléctricas del módulo y/o arreglo fotovoltaico. El modelo también cuenta con una ventana de entrada de datos del subsistema.

Esquema en bloque del modelo implementado.

Figura 4. : Esquema en bloque del modelo implementado.

Fuente: Los Autores.

5.1. Ventana de entrada de datos

La ventana de entrada de datos, se presenta en la Fig. 5, donde se muestran los datos del módulo fotovoltaico KC200GT, del fabricante Kyocera [15].

Ventana de entrada de datos al modelo.

Figura 5. : Ventana de entrada de datos al modelo.

Fuente: Los Autores.

En esta ventana se introducen los datos de la hoja de datos del fabricante, el nivel de suciedad al que se expone el módulo fotovoltaico en el lugar de instalación del sistema (Limpio, Bajo, Medio o Alto) y el nivel de rigor deseado al realizar el análisis (Sin considerar efectos ópticos y espectrales, Considerando efectos ópticos, Considerando efectos espectrales, o Considerando efectos ópticos y espectrales). Para el caso en que los cálculos se realizan para un arreglo fotovoltaico existen dos entradas de datos: una para colocar la cantidad de módulos fotovoltaicos conectados en serie y la otra para colocar la cantidad de ramas del arreglo fotovoltaico conectadas en paralelo.

5.2. Bloque de inicialización de parámetros

El bloque de inicialización de parámetros realiza el cálculo de los cinco parámetros del circuito equivalente a partir del procedimiento de cálculo de la Fig. 3. El valor de Δn y ΔR se asumen igual a 0.01 (Δn=0.01 y ΔR=0.01), y el valor del error máximo de pendiente Emax igual a 10-5 (Emax=10-5). Además en función del nivel de suciedad a que se expone el módulo en el lugar de instalación y del nivel de rigor de los análisis a realizar, se aplican los procedimientos descritos en 4.1 y 4.2. El cálculo de los cinco parámetros y de los coeficientes de efectos ópticos y espectrales, se realiza cada vez que se cambia un dato en la ventana de entrada de datos, o cuando se inicia la simulación.

5.3. Bloque de variables de entrada

Las variables de entrada del bloque del modelo, aparecen representadas en la Fig. 6, donde se muestra el bloque Simulink del modelo propuesto.

La irradiancia que incide en la superficie del módulo con un ángulo de elevación (β) y un ángulo de acimut (Ψ), en las coordenadas del lugar de emplazamiento, es un vector que contiene de forma separada las tres componentes de la irradiancia (G=[ B D R]). La irradiancia G que incide sobre la superficie del módulo fotovoltaico, así como el índice de claridad K T, son valores que durante el proceso de simulación pueden ser obtenidos de un modelo de estimación de radiación. El ángulo de incidencia (θ s ) y la masa de aire (AM), dependen de factores puramente geométricos, que de igual forma se pueden obtener durante el proceso de simulación, mediante un modelo de cálculo del trayecto solar. La temperatura también se puede obtener mediante un modelo de estimación, según época del año y hora del día. Los datos mostrados en la Fig. 6 corresponden a los valores estándar de las pruebas [3] para determinar los parámetros de la hoja de datos del fabricante.

Bloque Simulink del Arreglo fotovoltaico.

Figura 6. : Bloque Simulink del Arreglo fotovoltaico.

Fuente: Los Autores.

5.4. Bloque de la función Matlab

La función Matlab (MATLAB FUNCTION), implementa el algoritmo que permite calcular bajo condiciones reales de irradiancia y temperatura, considerando los efectos ópticos y espectrales, la magnitud de la corriente I ox , según ec. (18), así como la corriente del módulo fotovoltaico a través de la ec. (1) en condiciones reales de operación. La ec. (1) es una ecuación implícita que se resuelve mediante el método de Newton-Raphson, implementado en la propia función. Finalmente se obtiene el valor de la ecuación mostrada en el bloque MATLAB FUNCTION, de la Fig. 4, el que se corresponde con el valor de la corriente de salida que se introduce a la fuente de corriente controlada por corriente, del arreglo fotovoltaico.

5.5. Bloque Power System

El bloque POWER SYSTEM de la Fig. 4, está compuesto por una fuente controlada de corriente y dos resistores que representan el valor de la resistencia serie del arreglo fotovoltaico (R sa ) y el valor de la resistencia paralelo (R pa ). A la salida del bloque se encuentra la tensión del arreglo fotovoltaico (V a ), que puede ser conectado a una carga eléctrica o a un convertidor electrónico. Esta tensión es también retroalimentado a través del voltímetro (V), a la función Matlab, para realizar los cálculos de los siguientes valores de corriente. El valor de la corriente de salida y de tensión realimentada, son afectados respectivamente por el número de ramas paralelo (N rp ), para obtener el valor de la corriente del arreglo fotovoltaico y por el número de módulos conectados en serie (N ms ), para obtener la magnitud de la tensión del módulo fotovoltaico, a partir del voltaje calculado para el arreglo.

Considerando i módulos conectados en serie y j ramas en paralelo para el arreglo fotovoltaico, proponiendo para el arreglo fotovoltaico el mismo circuito equivalente, aplicando las leyes de Kirchoff y haciendo un balance de potencia en el circuito, las ec. (27) - (28) permiten realizar los cálculos de R sa y R pa respectivamente a partir de los correspondientes valores del módulo fotovoltaico.

Finalmente la Fig. 6 muestra las magnitudes eléctricas de voltaje, corriente y potencia, instantáneas y promedio, que facilita el bloque del modelo al usuario, para realizar sus lecturas. También muestra los puntos de conexión de la carga eléctrica o para realizar la conexión de otros bloques de igual naturaleza con parámetros de entrada diferentes para realizar disimiles estudios.

6. Análisis y discusión de resultados

La Fig. 7, muestra el experimento en Simulink para obtener la curva en condiciones estándar del módulo fotovoltaico KC200GT [15]. Se emplean: el bloque del arreglo fotovoltaico, un bloque capaz de calcular las magnitudes eléctricas en el punto de máxima potencia, una carga eléctrica variable, que permite el trazado de las curvas del módulo fotovoltaico, así como la instrumentación requerida para la visualización de resultados durante el proceso de simulación y para graficar las magnitudes eléctricas en el espacio de trabajo del Matlab.

Experimento en Simulink para la validación del modelo.

Figura 7. : Experimento en Simulink para la validación del modelo.

Fuente: Los Autores.

En la Fig. 8 se presentan las características, para condiciones estándar y de NOCT, obtenidas en el osciloscopio del modelo de la Fig. 7. Se han superpuesto los marcadores que señalizan los puntos característicos calculados de: cortocircuito, potencia máxima y circuito abierto en ambas características.

Curvas y puntos experimentales del módulo KC200GT en condiciones estándar y de NOCT.

Figura 8. : Curvas y puntos experimentales del módulo KC200GT en condiciones estándar y de NOCT.

Fuente: Los Autores.

Los valores experimentales de tensión y corriente en estos puntos característicos para ambas condiciones vienen especificados en la hoja de datos del fabricante.

La Tabla 2 presenta una comparación entre los puntos experimentales y los valores obtenidos en la simulación para dichos puntos. En la misma se puede comprobar que la respuesta del modelo es casi exacta en los puntos característicos, solo observándose un error de solo 0.018 A en la determinación de la corriente máxima en la condición de NOCT.

Tabla 2. : Datos del fabricante y resultados de la simulación del módulo KC200GT.

Fuente: Los Autores.

Las Figs. 9 y 10 muestran las características obtenidas mediante la simulación del modelo, determinadas a las irradiancias y temperaturas de las distintas curvas mostradas por el fabricante en la hoja de datos.

Curvas y puntos experimentales del módulo KC200GT a diferentes irradiancias para una temperatura de 25º C.

Figura 9. : Curvas y puntos experimentales del módulo KC200GT a diferentes irradiancias para una temperatura de 25º C.

Fuente: Los Autores.

Curvas y puntos experimentales del módulo KC200GT a diferentes temperaturas para una irradiancia de 1000W/m2.

Figura 10. : Curvas y puntos experimentales del módulo KC200GT a diferentes temperaturas para una irradiancia de 1000W/m2.

Fuente: Los Autores.

La Fig. 9 muestra las características a irradiancias desde 200 - 1000 W/m2 para una temperatura de trabajo de 250C, mientras que la Fig. 10 presenta tres características a temperaturas 25, 50 y 750C cuando la irradiancia es de 1000 W/m2. Los marcadores en ambas figuras, representan los puntos experimentales obtenidos por el fabricante.

Como se puede observar, en todos los casos los puntos experimentales se encuentran sobre las curvas obtenidas. El error, respecto a los puntos experimentales, de la corriente calculada en el punto de máxima potencia ε-Pmax, así como los errores máximo ε-max y medio-cuadrático ε-rms de cada característica, expresados en por ciento de la corriente para máxima potencia de cada característica, según el fabricante, se muestran en la Tabla 3.

Tabla 3. : Errores de las diferentes características obtenidas.

Fuente: Los Autores.

Como se comprueba en la Tabla 3, los errores son muy pequeños en todos los casos. El ajuste de las características es mejor para los mayores valores de irradiancia, detectándose los mayores errores (ε-Pmax = 0.99%, ε-max = 1.29% y ε-rms = 0.79%) en la característica de irradiancia 200 W/m2.

El método de cálculo de los cinco parámetros del modelo del módulo fotovoltaico garantiza una gran precisión en los tres puntos característicos del módulo en condiciones estándar, incluyendo el punto de máxima potencia.

Como se puede comprobar en la Tabla 3, el error en el punto de máxima potencia a diferentes irradiancias y temperaturas es muy pequeño en todos los casos. Esto es de gran importancia, ya que los convertidores electrónicos trabajan prácticamente en estos puntos al tener reguladores MPPT incorporados, por lo que el uso de este modelo en simuladores con inversores de inyección red y reguladores de carga MPPT de sistemas autónomos, garantiza resultados muy precisos.

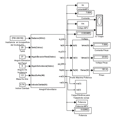
La Fig. 11 muestra el experimento realizado en Simulink con el objetivo de ilustrar la incidencia de los efectos ópticos y espectrales en la respuesta del modelo. Con este fin se realiza una simulación del módulo fotovoltaico KC200GT [15], sometido a una condición hipotética de los valores de irradiancia y de los factores geométricos del trayecto solar.

Experimento en Simulink para evaluar la influencia de los efectos ópticos y espectrales.

Figura 11. : Experimento en Simulink para evaluar la influencia de los efectos ópticos y espectrales.

Fuente: Los Autores.

Curvas P
 
 m
 
 =f(V
 
 m
 
 ), considerando efectos ópticos y espectrales.

Figura 12. : Curvas P m =f(V m ), considerando efectos ópticos y espectrales.

Fuente: Los Autores.

La irradiancia incidente sobre la superficie del módulo, se encuentra formada por un vector que incluye las tres componentes con un valor G x =[750 250 50], un ángulo de incidencia θ= 5º, una masa de aire AM=1.5, y un índice de claridad K T =0.74. Además, se considera que el módulo fotovoltaico está expuesto a un nivel medio de suciedad en el lugar de emplazamiento. El resto de los datos se pueden visualizar en la Fig. 11.

La Fig. 2 muestra las curvas de potencia del módulo en función del voltaje (P m =f(V m )), obtenidas para los diferentes niveles de rigor del análisis que permite considerar el modelo propuesto.

En las curvas obtenidas se puede apreciar el error que introduce en los cálculos, el hecho de no considerar estos efectos ópticos y espectrales. En este ejemplo, estos efectos reducen la potencia máxima en 10.6W y la no consideración de los mismos provoca un error de 6.16% en la estimación de la potencia.

En la medida que el generador fotovoltaico esté compuesto por una mayor cantidad de módulos fotovoltaicos, estos errores aumentan y la potencia y la energía que se dejan de considerar en los resultados puede ser significativa. Esto resta precisión a la evaluación técnico-económica realizada por los diseñadores y proyectistas.

7. Conclusiones

El presente trabajo presenta el desarrollo de un modelo Simulink que permite determinar de forma muy precisa el comportamiento de los módulos y arreglos fotovoltaicos en condiciones reales de operación.

Los cinco parámetros del modelo de simple diodo del módulo fotovoltaico se determinan mediante una metodología propia, basada en la aplicación del teorema de Tellegen, que evita la estimación a priori del factor de idealidad del diodo y conduce a resultados precisos de dichos parámetros.

Se introduce una nueva ecuación para el cálculo de la corriente de saturación inversa del módulo en condiciones reales, que se obtiene directamente del circuito equivalente, sin realizar consideraciones, ni aproximaciones.

El modelo calcula de manera exacta la fotocorriente generada en condiciones estándar y reales, lo que permite obtener excelentes resultados en su cálculo ante la variación de la irradiancia y la temperatura.

Se incorporan al modelo los efectos ópticos y espectrales, que inciden directamente en la producción de energía eléctrica de los módulos fotovoltaicos. Esto eleva la precisión de los resultados.

El modelo dinámico propuesto es la base para implementar un simulador de sistemas fotovoltaicos. Este simulador puede estimar la generación fotovoltaica para realizar estudios de factibilidad y evaluar el comportamiento del sistema desde la etapa de diseño y proyecto.

Referencias

  1. [1] Dongue, S.B., Njomo. D ., Tamba, J.G . and Ebengai L ,., Modeling of electrical response of illuminated crystalline photovoltaic modules using four-and five-parameters models. International Journal of Emerging Technology and Advanced Engineering (IJETAE), 2(11), pp. 612-619, 2012. 🠔
  2. [2] Cubas, J., Pindado, S. and Manuel, C., Explicit expressions for solar panel equivalent circuit parameters based on analytical formulation and the Lambert W-Function. Energies,(7), pp. 4098-4115, 2014. DOI: 10.3390/en7074098. [DOI] 🠔
  3. [3] Villalva, M.G., Gonzali, J.R. and Filho, E.R., Comprehensive approach to modeling and simulation of photovoltaic arrays. IEEE Transactions on Power Electronics, 24(5), pp. 1198-1208, 2009. DOI: 10.1109/TPEL.2009.2013862 [DOI] 🠔
  4. [4] Martin, N. and Ruiz, J.M., Calculation of the PV modules angular losses underfield conditions by means of an analytical model. Solar Energy Materials & Solar Cells, 70 pp. 25-38, 2001. 🠔
  5. [5] Lorenzo, E., Handbook of Photovoltaic Science and Engineering, Cap.20, Energy collected and delivered by PV modules. [online], 1st, ed., John Wiley & Sons, Spain,2005, [acceded: August 16th, 2018], Available at: Available at: http://onlinelibrary.wiley.com . [URL] 🠔
  6. [6] Ma, J., Man, K.L., Ting, T.O., Zhang, N., Guan, S.U. and Wong, P.W.H., Approximate single-diode photovoltaic model for efficient I-V characteristics estimation. The Scientific World Journal, pp. 1-7, 2013. DOI: 10.1155/2013/230471 [DOI] 🠔
  7. [7] Bellia, H., Youcef, R. and Fatima, M., A detailed modeling of photovoltaic module using MATLAB. NRIAG Journal of Astronomy and Geophysics, 3, pp. 53-61, 2014. DOI: org/10.1016/j.nrjag.2014.04.001 [DOI] 🠔
  8. [8] El Tayyan, A.A., PV system behavior based on datasheet. Journal of Electron Devices, 9(1), pp. 335-341, 2011. 🠔
  9. [9] Bastidas, J.D., Ramos, C.A. and Franco, E., Modeling and parameter calculation of photovoltaic field in irregular weather conditions. Ingeniería, 17(1), pp. 37-48, 2012. 🠔
  10. [10] Bonkoungou, D., Koalaga, Z. and Njomo, D., Modelling and simulation of photovoltaic module considering single-diode equivalent circuit model in MATLAB. International Journal of Computer Technology and Electronics Engineering (IJCTEE), 3(3), pp. 493-502, 2013. 🠔
  11. [11] Salmi, T., Bouzguenda, M., Gastli, A. and Masmoundi, A., MATLAB/Simulink based modelling of solar photovoltaic cell. International Journal of Renewable Energy Research, 2(2), pp. 213-218, 2012. 🠔
  12. [12] Ma, J., Ting, T.O., Man,K.L. Zhang, N ., Guan, S.U . and Wong, P.W.H ., Parameter estimation of photovoltaic models via cuckoo search. Journal of Applied Mathematics, (1), pp. 1-8, 2013. DOI: org/10.1155/2013/362619 [DOI] 🠔
  13. [13] Mohamed, M.A. and Osman, M.H., Evaluation of a PV model based on a novel parameter estimation procedure for different manufacturers module. International Journal of Engineering Research & Technology (IJERT), 3(1), pp. 1-7, 2014. 🠔
  14. [14] Penfield, J., Spence, R. and Duinkes, S., A generalized form of Tellegenʾs theorem. IEEE Transaction on Circuit Theory, 17(3), pp. 302-305, 1970. DOI: 10.1109/TCT.1970.1083145 [DOI] 🠔
  15. [15] KC200GT., High efficiency multicristal photovoltaic module [online]. Datasheet Kyocera. Available at: http://www.kyocera.com.sg/products/solar//pdf/kc200gt.df. [URL] 🠔
Arias-García, R.M. and Pérez-Abril, I., Development of a dynamic model for photovoltaic modules and arrays. DYNA, 86(210), pp. 292-301, July - September, 2019.
es graduado de Ingeniero Electricista en el año 1987, en la Universidad Central “Marta Abreu” de Las Villas, Cuba. De 1987-2003, profesor del departamento de Electroenergética de la Universidad Central “Marta Abreu” de las Villas, durante esta etapa obtuvo la categoría docente de profesor auxiliar, desarrolló las labores de jefe de departamento por espacio de cuatro años y fue miembro del consejo científico de la facultad de Ingeniería Eléctrica por igual periodo de tiempo. En el año 2000 obtuvo la categoría científica de MSc. en Ingeniería Eléctrica, otorgada por la Universidad Central “Marta Abreu” de Las Villas. Desde el año 2003 hasta la fecha trabaja en la Corporación COPEXTEL, SA., División Villa Clara, como especialista principal en la rama de la energía. Desde el año 2004 es miembro del comité de expertos de la corporación. ORCID: 0000-0002-3732-2631
es graduado de Ingeniero Electricista en el año 1984, en la Universidad Central “Marta Abreu” de Las Villas, Cuba. De 1984-1990, profesor del departamento de Electroenergética y de 1990 hasta la fecha profesor del Centro de Estudios Electroenergéticos de la Universidad Central “Marta Abreu” de las Villas, del cual es director desde 2006. Dr. en Ciencias Técnicas en 1995 en la Universidad Central “Marta Abreu” de las Villas y profesor titular desde 2000. Desde 2016 es Presidente del Tribunal Nacional de Grado Científico de Ingeniería Eléctrica de Cuba. Ha recibido dos premios nacionales de la Academia de Ciencias de Cuba en los años 2014 y 2018. Se dedica a la optimización de sistemas eléctricos y la calidad de la energía. ORCID: 0000-0001-9547-661