DYNA
0012-7353
Universidad Nacional de Colombia
https://doi.org/10.15446/dyna.v86n210.77022

Recibido: 21 de diciembre de 2018; Revision Received: 5 de junio de 2019; Aceptado: 26 de junio de 2019

Agronomic performance of colored cotton influenced by irrigation with treated domestic sewage and potassium fertilization in semi-arid region of Brazil

Desarrollo agronómico de algodón colorido influenciado por riego con aguas residuales domésticas y fertilización de potasio en la región semiárida de Brasil

B. Lima, a Ê. e Silva, a J. Bezerra, b G. da Silva, a F. Cruz, c P. dos Santos, d L. Campeche, e

Department of Agricultural Engineering, Rural Federal University of Pernambuco, Recife, Brazil. breno.lclima@ufrpe.br enio.fsilva@ufrpe.br geronimo.silva@ufrpe.br Universidade Federal Rural de Pernambuco Department of Agricultural Engineering Rural Federal University of Pernambuco Recife Brazil
National Cotton Research Center, Brazilian Agricultural Research Corporation, Campina Grande, Brazil. jose.cortez-bezerra@embrapa.br Empresa Brasileira de Pesquisa Agropecuária National Cotton Research Center Brazilian Agricultural Research Corporation Campina Grande Brazil
Department of Agronomy, Rural Federal University of Pernambuco, Recife, Brazil. fjrc@bol.com.br Universidade de Pernambuco Department of Agronomy Rural Federal University of Pernambuco Recife Brazil
Department of Geographical Sciences, Federal University of Pernambuco, Recife, Brazil. patricioibimirim@hotmail.com Universidade de Pernambuco Department of Geographical Sciences Federal University of Pernambuco Recife Brazil
Department of Administration and Heritage, Federal Institute of Education Science and Technology of Sertão Pernambucano , , Petrolina, Brazil. luis.campeche@ifsertao-pe.edu.br Instituto Federal de Pernambuco Department of Administration and Heritage, Federal Institute of Education Science and Technology of Sertão Pernambucano Petrolina Brazil

Abstract

This study evaluated the contribution of potassium (K) nutrition and application of wastewater depths to the agronomic performance of colored cotton. Treatments consisted of five irrigation depths (50, 75, 100, 125 and 150% of crop evapotranspiration - ETC) and five K doses (0, 50, 100, 150 and 200% of the recommendation for the crop) and an absolute control irrigated with 100% ETC water depth and fertilized with 100% N-P-K recommendation. Each treatment and the control had four replicates. Plant height, stem diameter, leaf area and shoot dry matter accumulation of cotton were evaluated at 130 days after emergence (DAE), whereas seed cotton weight was evaluated at 135 DAE. Our findings indicate that the use of treated domestic sewage for 100% ETC replacement promotes greater gains of weight and growth in colored cotton without the need for K fertilization, evidencing the potential of wastewater for colored cotton for sustainable agriculture.

Keywords:

Gossypium hirsutum L., leaf area, seed cotton weight, reuse.

Resumen

Este estudio evaluó la contribución de la nutrición con potasio (K) y la aplicación de las láminas de las aguas residuales al rendimiento agronómico del algodón colorido. Los tratamientos consistieron en cinco láminas de riego (50, 75, 100, 125 y 150% de la evapotranspiración del cultivo - ETC) y cinco dosis de K (0, 50, 100, 150 y 200% de la recomendación del cultivo). Fue también utilizado un control absoluto de riego con lámina 100% de la ETC y fertilizado con una recomendación de 100% N-P-K. Así como los tratamientos el control también tuvo cuatro repeticiones. La altura de la planta, el diámetro del tallo, el área de la hoja y la acumulación de materia seca del algodón en los brotes se evaluaron a los 130 días después de la emergencia (DAE), mientras que el peso del algodón semilla, se evaluó a 135 DAE. Los resultados indican que el uso de aguas residuales domésticas tratadas para compensación del 100% de ETC promueve un mayor aumento de peso y crecimiento del algodón colorido sin la necesidad de fertilización con K, lo que evidencia el potencial de las aguas residuales para el algodón colorido para una agricultura sostenible.

Palabras clave:

Gossypium hirsutum L, área de la hoja, peso de algodón de semilla, reutilizar..

1. Introduction

The use of treated domestic wastewater, besides increasing water supply to agriculture, leads to saving of potable water for domestic use, nutrition of plants and nutrient cycling, improves soil fertility, reduces the environmental impacts caused by the disposal of effluents directly into water courses [5,13].

In cotton, studies on the use of treated domestic wastewater have allowed the saving of nutrients applied through mineral fertilization and led to higher growth and biomass accumulation in this species [17,15].

Potassium (K) has recognized importance in plant physiology, being considered as the main inorganic cation due to its role in enzymatic activity, maintenance of ionic balance, osmotic potential and water absorption, and stomatal regulation [14,10].

Cotton has indeterminate growth habit, requiring K concentrations that are sufficient for its growth. Thus, the absorption of this nutrient has impact on the growth and yield of this species [4].

Potassium deficiency may lead to reduction in leaf expansion and photosynthetic capacity, affecting plant growth. In addition, it has been reported as a problem in soils where cotton is cultivated because K reserve is not sufficient to meet the amounts extracted by the crop [4].

Given the above, this study aimed to investigate the agronomic performance of colored cotton under irrigation depths with treated domestic wastewater and K doses in the semi-arid region of Pernambuco, Brazil.

2. Material end methods

2.1. Location and description of the experimental area

The experiment was carried out from April 15 to August 30, 2016, under field conditions, at the Unit for Agricultural Reuse of Domestic Sewage, belonging to the Agricultural Engineering Department of the Federal Rural University of Pernambuco, situated in the municipality of Ibimirim, Pernambuco state, 334 km away from the capital, Recife. The experimental area is located between 8° 32′ 05″ S and 37° 41′ 50″ W, at mean altitude of 408 m.

The climate of the region is classified as BSh (very hot semi-arid) according to Köppen’s classification [3], with mean annual rainfall of 454 mm. Cumulative rainfall of 122 mm and average temperature of 24.6 °C were recorded along the experimental period (Fig. 1).

Rainfall (mm) and daily maximum and minimum air temperature (°C) during the cotton development cycle.

Figure 1. : Rainfall (mm) and daily maximum and minimum air temperature (°C) during the cotton development cycle.

Source: The Authors.

The soil in the experimental area was classified as Neossolo Quartzarênico órtico típico (Entisol), with moderate A horizon, hyperxerophilic Caatinga phase, on a predominantly flat relief. Soil samples were collected in the 0-20 and 20-40 cm layers. The soil had a sandy loam texture with 760, 80 and 160 g kg-1 of sand, silt and clay, respectively, and its chemical characterization is presented in Table 1.

Table 1.: Soil chemical and textural characteristics.

(a) Potential acidity; (b) Sum of bases; (c) Cation exchange capacity; (d) Aluminum saturation; (e) Base saturation. Textural classification: sandy loam.

Source: The Authors.

2.2. Experimental design and treatments

The experimental design was randomized blocks in a (5 x 5) + 1 factorial scheme, forming 26 treatments, with four replicates, totaling 104 experimental plots. Treatments consisted of five irrigation depths (L), corresponding to 50, 75, 100, 125 and 150% of crop evapotranspiration (ETC), using domestic wastewater treated by a UASB (Upflow Anaerobic Sludge Blanket) reactor (Table 2), and five K doses (D), corresponding to 0, 50, 100, 150 and 200% of the dose recommended for cotton, and an absolute control (AC) irrigated with public supply water (PSW) according to crop water need (100% ETC) and fertilized with N-P-K, 100% of the recommendation, based on soil analysis and according to the fertilization recommendation for the Pernambuco State [12]. The experimental plot was 15 m2, comprising three 5.0-m-long single rows spaced by 1.0 m, with 0.20 m distance between plants, and evaluations were carried out in the central row, disregarding 1.0 m on each end.

Table 2.: Physical-chemical characteristics of irrigation water.

(a) Chemical oxygen demand; (b) Biochemical oxygen demand.

Source: The Authors.

2.3. Irrigation management

Irrigation management was carried out according to the climate along the development of the crop. ETC was calculated based on the daily reference evapotranspiration (ETO) estimated by the FAO Penman-Monteith method [2], crop coefficient (KC) proposed by [6] and location coefficient according to [1].

Irrigation depths (L) were characterized by the irrigation time (Ti) established for each treatment on a daily irrigation frequency (IF).

After crop establishment and thinning, 25 days after emergence (DAE), the irrigation depths began to be differentiated by introducing the correction factor “F” in the calculation of Ti, corresponding to 0.50, 0.75, 1.00, 1.25 and 1.50 for the irrigation depths established according to the above-mentioned treatments. At the end of the experiment, 135 DAE, the cumulative irrigation depth was 307.75, 461.62, 615.49, 769.36 and 923.24 mm for the treatments with 50, 75, 100, 125 and 150% ETC, respectively.

A drip system was used for irrigation and the lateral lines had pressure-compensating drip tapes (Dripnet PC 16250, Netafim, Tel Aviv, Israel) with nominal diameter and flow rate of 16 mm and 2.0 L h-1, respectively, and drippers spaced by 0.30 m. A horizontal axis centrifugal pump (Schneider, Rueil-Malmaison, France) of 735.5 W was used for the effluent suction.

2.4. Fertilization management

Fertilization with KCl (60% K2O) was split: 50% of the recommended dose was applied in the planting furrow at 0.10 m depth before sowing, 25% was applied after thinning as top-dressing in a furrow 0.05 m away from the planting row at 0.10 m depth, and the remaining 25% was applied 20 days after the penultimate application, and the fertilizer was manually distributed in the furrows, totaling 0, 20, 40, 60 and 80 kg of K2O ha-1 for 0, 50, 100, 150 and 200% of the recommended dose, respectively.

The same management was carried out for the absolute control, applying the formulation with 90-40-40 kg ha-1 of N, P2O2 and K2O according to the fertilization recommendation for Pernambuco state [12]. Urea (45% N) was used as source of nitrogen, single superphosphate (20% P2O2) as source of phosphorus and potassium chloride (KCl, 60% K2O) as source of potassium. Phosphorus was applied all at once, at planting. For nitrogen and potassium, 50% of the recommended dose was applied at planting and the remaining 50% was split and applied as top-dressing, 25% after thinning and 25% at 20 days after the penultimate application.

2.5. Crop management

Cotton was planted in a furrow at 0.05 m depth, by placing five seeds at each 0.20 m interval in the furrow, leaving 10 plants per linear meter after thinning. Invasive plants were manually controlled using a hoe, keeping the area free from weeds in the period from seedling emergence to 40 DAE, when the crop reached full vegetative stage, entering early flowering.

2.6. Analyzed variables

2.6.1. Morphological responses

At 130 DAE, four plants were evaluated for height (H), considered as the distance from collar to apex, measured with a tape measure; stem diameter (SD), considered as the mean of the largest and smallest diameter measurements, measured with a digital caliper at 2.0 cm from soil surface; leaf area (LA, cm2 plant-1), obtained by the sum of the leaf area (Y) of each leaf, measuring the midrib length (X), according to the methodology proposed by [8], using eq. (1).

2.6.2. Dry matter accumulation

To determine shoot dry matter (SDM, g), leaves and stems were separately dried in a forced-air oven at 65 ºC (±1) until constant weight.

2.6.3. Leaf area ratio

Leaf area ratio (LAR, cm2 g-1) was obtained by the ratio between LA and SDM.

2.6.4. Seed cotton weight

At 135 DAE, the first harvest was carried out when 70% of the fruits were open in four plants. The second harvest was performed as the rest of the fruits opened, and seed cotton weight was estimated (SCW, g plant-1).

2.7. Statistical analysis

The data were subjected to analysis of variance. When there was significant effect of the interaction, the means were fitted with multiple regression models (response surfaces) considering the irrigation depths (L) and doses (D) as independent variables. The statistical package SAS 9.0 for Windows (SAS Institute, Inc., Cary, NC, USA, 2001) was applied, using the procedures PROC GLM for variance analysis, PROC REG for regression analysis and PROC RSREG for response surface analysis [22].

3. Results and discussion

The interaction between irrigation depths with treated domestic wastewater (L) and K doses (D) had significant effect at p < 0.05 on plant height (H) and at p < 0.01 on leaf area (LA), shoot dry matter (SDM), leaf area ratio (LAR) and seed cotton weight (SCW). Stem diameter was only affected by the factor irrigation depth (L) (Tables 3 and 4).

Table 3.: Summary of analysis of variance for cotton height (H), stem diameter (SD), leaf area (LA).

(**), (*) and (NS) significant at 0.01 and 0.05 probability levels and not significant, respectively.

Source: The Authors.

3.1. Morphological responses

Maximum height of colored cotton (H = 83.84 cm) was obtained when the irrigation depth with treated domestic wastewater increased to 146% ETC, combined with 80% of the K2O dose recommended for the crop (Fig. 2a). The absolute control (AC), under the studied conditions, obtained mean height of 69.3 cm.

Higher irrigation depths favored greater water availability in the soil, which under these conditions allowed greater stomatal opening and consequently higher photosynthetic assimilation, contributing to greater plant height. Conversely, irrigation deficit leads to lower growth in height [11].

Evaluating three irrigation regimes, namely: saturation, regular and deficit, i.e., 120, 100 and 80% field capacity, [21] found significant differences for the studied conditions, observing greater plant height at saturation, followed by the regular regime and then deficit irrigation.

[15], evaluating the growth of cotton fertigated with wastewaters in the semi-arid region of Minas Gerais, found that the use of these waters causes higher plant growth compared with the control treatment, irrigated with public-supply water and under mineral fertilization. These authors attribute this effect to the greater supply of nitrogen and phosphorus to the plants, leading to higher growth.

Table 4.: Summary of analysis of variance for shoot dry matter (SDM), leaf area ratio (LAR) and seed cotton weight (SCW).

(**), (*) and (NS) significant at 0.01 and 0.05 probability levels and not significant, respectively.

Source: The Authors.

Plant growth data were described by a quadratic model as a function of K application in the soil. The maximum dose causing maximum height was inferior to the 100% recommended for the crop, which can be attributed to the K concentration available in the treated domestic wastewater.

Cotton growth in height was probably influenced by the K present in the wastewater because K supply modulates various physiological processes in plants, and the main one is the regulation of cell osmotic balance, which allows cell turgor and consequently cell expansion, leading to plant growth [20,9].

SD was only influenced by irrigation depths with treated domestic wastewater and its maximum value (10.71 mm) was obtained with 150% ETC irrigation depth, based on the regression equation obtained. For the absolute control, the mean value of SD was 10.10 mm (Fig. 2 b ).

Plant height (A), stem diameter (B) and leaf area (C) of colored cotton, cv. ‘BRS Rubi’, as a function of the applied treatments. **, * and NS significant at 0.01 and 0.05 probability levels and not significant, respectively. Vertical bar indicates the value of the absolute control.

Figure 2: Plant height (A), stem diameter (B) and leaf area (C) of colored cotton, cv. ‘BRS Rubi’, as a function of the applied treatments. **, * and NS significant at 0.01 and 0.05 probability levels and not significant, respectively. Vertical bar indicates the value of the absolute control.

Source: The Authors.

The 100% ETC irrigation depth led to the same SD as that in the absolute control, which may indicate that the amount of nutrients present in the treated domestic wastewater was sufficient to meet the requirement of the crop along its development, without the need for K nutrition, causing the plant to maintain the same stem diameter.

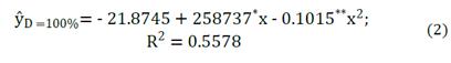
Maximum LA was obtained with the combination of L = 127% ETC and D = 100% of the dose recommended for the crop, equal to 1627 cm2, and was obtained by the eq. (2):

Irrigation depths and K doses above these percentages reduce leaf expansion. The absolute control showed leaf area of 1429 cm2 (Fig. 2c).

Foliar maintenance in cotton plants is associated with adequate K supply because this nutrient has important function in cell osmotic balance. Thus, plants that received the percentages which caused higher LA had higher number of leaves with greater expansion. However, K demand can vary depending on the phenological stage of cotton.

The increase in LA caused by the increment in the levels of the studied factors, up to the maximum combination discussed previously, results from the accumulation of photoassimilates during photosynthesis [19], leading to higher dry matter accumulation in the plants, as indicated in Fig. 3.

Shoot dry matter of colored cotton, cv. ‘BRS Rubi’, as a function of the applied treatments. **, * and NS significant at 0.01 and 0.05 probability levels and not significant, respectively. Vertical bar indicates the value of the absolute control.

Figure 3: Shoot dry matter of colored cotton, cv. ‘BRS Rubi’, as a function of the applied treatments. **, * and NS significant at 0.01 and 0.05 probability levels and not significant, respectively. Vertical bar indicates the value of the absolute control.

Source: The Authors.

3.2. Accumulation of dry mass

SDM increased linearly as a function of the replacement using treated domestic wastewater (L) and quadratically as a function of K fertilization (D). Among the studied levels of each factor, the combination between 150% ETC irrigation depth and 50% of the dose recommended for the crop caused highest SDM accumulation, 46.39 g plant-1 (Fig. 3). The absolute control showed SDM of 34.8 g.

The increase in SDM caused by the factor irrigation depth (L) may result from the accumulation of nutrients present in the treated domestic wastewater such as N, P and K (mean concentrations of 126.0, 13.7 and 43.6 mg L-1, respectively) and of photoassimilates during photosynthesis [17,19].

As observed, greater water availability increases stomatal opening, favoring the entry of CO2 in the mesophyll, thus enhancing photosynthesis [18].

Considering 100% ETC replacement with treated domestic wastewater, SDM was equal to 34.73 g, which is similar to the value accumulated by the AC. This result indicates that only irrigation with 100% ETC caused an accumulation of nutrients with no need for mineral supplementation under the studied conditions. Similar results have also been found by [17] and [15], who observed that irrigation with wastewaters can replace mineral fertilization, because they provide sufficient amounts of nutrients for plants.

In relation to K doses, the quadratic effect observed, combined with the irrigation depths, can be associated with the intensification of the osmotic effect caused by the fertilizer used (KCl) along with the salts present in the wastewater, at concentrations of 74.9, 21.0, 133.1 and 43.6 mg L-1 for calcium, magnesium, sodium and potassium, respectively, with electrical conductivity of 2.1 dS m-1.

3.3. Leaf area ratio

LAR expresses the photosynthetic capacity of the plant and its maximum value (42.0 cm2 g-1) was obtained with 200% of the K dose recommended for the crop and 125% ETc irrigation using treated domestic wastewater (Fig. 4). However, percentages higher than those negatively affect LAR. The absolute control showed LAR of 41.0 cm2 g-1.

Follow-up test of the interaction for leaf area ratio (LAR) of colored cotton, cv. ‘BRS Rubi’, as a function of irrigation depths with treated domestic wastewater (L) and potassium doses (D). **, * and NS significant at 0.01 and 0.05 probability levels and not significant, respectively. Vertical bar indicates the value of the absolute control.

Figure 4. : Follow-up test of the interaction for leaf area ratio (LAR) of colored cotton, cv. ‘BRS Rubi’, as a function of irrigation depths with treated domestic wastewater (L) and potassium doses (D). **, * and NS significant at 0.01 and 0.05 probability levels and not significant, respectively. Vertical bar indicates the value of the absolute control.

Source: The Authors.

Greater K supply in the soil resulted in higher leaf area ratio, which can be associated with the modulation of this nutrient in the osmotic regulation, leading to greater water influx into the cells with consequent increase in leaf turgor and expansion [20,9]. Thus, it increases this quotient since LAR represents the ratio between the assimilatory tissue of the plant (LA) and the shoot dry matter resulting from photosynthesis (SDM).

3.4. Seed cotton weight

Based on the multiple regression equation, maximum physical yield of seed cotton estimated by the SCW was obtained with the combination between L = 150% ETc and D = 100% under the studied conditions, 38.15 g plant-1 (Fig. 5). The absolute control produced 28.87 g plant-1.

Response surface for seed cotton weight (SCW) of colored cotton, cv. ‘BRS Rubi’, as a function of irrigation depths (L) and potassium doses (D). **, * and NS significant at 0.01 and 0.05 probability levels and not significant, respectively.

Figure 5. : Response surface for seed cotton weight (SCW) of colored cotton, cv. ‘BRS Rubi’, as a function of irrigation depths (L) and potassium doses (D). **, * and NS significant at 0.01 and 0.05 probability levels and not significant, respectively.

The results of the present study corroborate those of [23], who observed increase in cotton yield as water replacement increased, and are also consistent with those found by [7], who observed quadratic fit of cotton yield with higher K supply in the soil and in the leaf.

When the crop received only the irrigation necessary to replace 100% ETC using treated domestic wastewater, SCW was equal to 29.0 g plant-1, similar to the value obtained in the absolute control. Thus, it can be noted that irrigation with treated domestic wastewater alone, with no need for K nutrition, leads to satisfactory yield with consequent saving of water and nutrients applied in mineral fertilization.

4. Conclusions

Our findings indicate that the use of treated domestic sewage to replace a depth of 100% ETC promotes greater gains in yield and growth of colored cotton, with 100% saving of drinking water and potassium via mineral fertilization, being a sustainable alternative source of water for the semi-arid region.

Acknowledgements

Acknowledgements

To the National Council for Scientific and Technological Development (CNPq) for the financial support and to the Foundation for the Support of Science and Technology of the State of Pernambuco (FACEPE) for the scholarship.

References

  1. [1] Albuquerque, F.S., Silva, E.F.F., Albuquerque Filho, J.A.C. and Lima, G.S., Necessidade hídrica e coeficiente de cultivo do pimentão fertirrigado, Irriga, 17(4), pp. 481-493, 2012. DOI: 10.15809/irriga.2012v17n4. [DOI] 🠔
  2. [2] Allen, R.G., Pereira, L.S., Raes, D. and Smith, M., Crop evapotranspiration: guidelines for computing crop water requirements, FAO, Rome, 1998. 🠔
  3. [3] Alvares, C.A., Stape, J.L., Sentelhas, P.C., Moraes Gonçalves, J.L. and Sparovek, G., Köppen’s climate classification map for Brazil, Meteorologische Zeitschrift, 22(6), pp. 711-728, 2013. DOI: 10.1127/0941-2948/2013/0507 0941-2948/2013/0507 [DOI] 🠔
  4. [4] Ashfaq, A., Hussain, N. and Athar, M., Role of potassium fertilizers in plant growth, crop yield and quality fiber production of cotton - an overview, FUUAST Journal of Biology, [online]. 5(1), pp. 27-35, 2015. [date of reference: June 23th of 2019]. Available at: Available at: https://fuuast.edu.pk/biology%20journal/images/pdfs/June,%202015/05-%20Athar%20Tariq%2027-35.pdf [URL] 🠔
  5. [5] Aziz, F. and Farissi, M., Reuse of treated wastewater in agriculture: solving water deficit problems in arid areas, Annals of West University of Timişoara, [online]. 17(2), pp. 95-110, 2014. [date of reference: June 23th of 2019]. Available at: Available at: https://biologie.uvt.ro/annals/vol_17_2/AWUTSerBio_December2014_95-110_Farissi.pdf [URL] 🠔
  6. [6] Bezerra, J.R.C., Azevedo, P.V., Silva, B.B. and Dias, J.M., Evapotranspiração e coeficiente de cultivo do algodoeiro BRS-200 Marrom irrigado, Revista Brasileira de Engenharia Agrícola e Ambiental, 14(6), pp. 625-632, 2010. DOI: 10.1590/S1415-43662010000600009 [DOI] 🠔
  7. [7] Freitas, R.J., Leandro, W.M. and Carvalho, M.C.S., Efeito da adubação potássica via solo e foliar sobre a produção e a qualidade da fibra em algodoeiro (Gossypium hirsutum L.), Pesquisa Agropecuária Tropical, [online]. 37(2), pp. 106-112, 2007. [date of reference: June 23th of 2019]. Available at: Available at: https://www.revistas.ufg.br/pat/ article/view/1835/1746 [URL] 🠔
  8. [8] Grimes, D.W. and Carter, L.M., A linear rule for direct nondestructive leaf area measurements, Agronomy Journal, [online]. 3(61), pp. 477-479, 1969. [date of reference: June 23th of 2019]. Available at: Available at: https://dl.sciencesocieties.org/publications/aj/abstracts/61/3/AJ0610030477 [URL] 🠔
  9. [9] Guo, K., Tu, L., He, Y., Deng, J., Wang, M., Huang, H., Li, Z. and Zhang, X., Interaction between calcium and potassium modulates elongation rate in cotton fiber cells, Journal of Experimental Botany, 68(18), pp. 5161-5175, 2017. DOI: 10.1093/jxb/erx346 [DOI] 🠔
  10. [10] Hu, W., Lv, X., Yang, J., Chen, B., Zhao, W., Meng, Y., Wang, Y., Zhou, Z. and Oosterhuis, D.M., Effects of potassium deficiency on antioxidant metabolism related to leaf senescence in cotton (Gossypium hirsutum L.), Field Crops Research, 191, pp. 139-149, 2016. DOI: 10.1016/j.fcr.2016.02.025 [DOI] 🠔
  11. [11] Hu, W., Yang, J., Meng, Y., Wang, Y., Chen, B., Zhao, W., Oosterhuis, D.M. and Zhou, Z., Potassium application affects carbohydrate metabolism in the leaf subtending the cotton (Gossypium hirsutum L.) boll and its relationship with boll biomass, Field Crops Research, 179, pp. 120-131, 2015. DOI: 10.1016/j.fcr.2015.04.017 [DOI] 🠔
  12. [12] IPA, Recomendações de adubação para o estado de Pernambuco, Instituto Agronômico de Pernambuco, Recife, Brasil, 2008. 🠔
  13. [13] Margenat, A., Matamoros, V., Díez, S., Cañameras, N., Comas, J. and Bayona, J.M., Occurrence of chemical contaminants in peri-urban agricultural irrigation waters and assessment of their phytotoxicity and crop productivity, Science of the Total Environment, 599-600, pp. 1140-1148, 2017. DOI: 10.1016/j.scitotenv.2017.05.025 [DOI] 🠔
  14. [14] Oosterhuis, D.M., Loka, D.A., Kawakami, E.M. and Pettigrew, W.T., The physiology of potassium in crop production. Advances in Agronomy, 126, pp. 203-233, 2014. DOI: 10.1016/B978-0-12-800132-5.00003-1 [DOI] 🠔
  15. [15] Santos, S.R., Soares, A.A., Kondo, M.K., Araújo, E.D. and Cecon, P.R., Crescimento e produção do algodoeiro fertirrigado com água residuária sanitária no semiárido de Minas Gerais, Irriga, 21(1), pp. 40-57, 2016. DOI: 10.15809/irriga.2016v21n1p40-57 [DOI] 🠔
  16. [16] Schaer-Barbosa, M., Santos, M.E.P. and Medeiros, Y.D.P., Waste water reuse as a mitigating factor to the effects of droughts in the state of Bahia Semi-Arid Viability study, Ambiente & Sociedade, 17(2), pp. 17-32, 2014. DOI: 10.1590/S1414-753X2014000200003 [DOI] 🠔
  17. [17] Sousa Neto, O.N., Andrade Filho, J., Dias, N.S., Rebouças, J.R.L., Oliveira, F.R.A. and Diniz, A.A., Fertigação do algodoeiro utilizando efluente doméstico tratado, Revista Brasileira de Engenharia Agrícola e Ambiental, 16(2), pp. 200-208, 2012. DOI: 10.1590/S1415-43662012000200011 [DOI] 🠔
  18. [18] Taiz, L., Zeiger, E., Moller, I.M. and Murphy, A., Fisiologia e desenvolvimento vegetal, Artmed, Porto Alegre, Brasil, 2017. 🠔
  19. [19] Tsialtas, I.T., Shabala, S., Baxevanos, D. and Matsi, T., Effect of potassium fertilization on leaf physiology, fiber yield and quality incCotton (Gossypium hirsutum L.) under irrigated mediterranean conditions, Field Crops Research, 193, pp. 94-103, 2016. DOI: 10.1016/j.fcr.2016.03.010 [DOI] 🠔
  20. [20] Wang, L. and Ruan, Y.-L., Regulation of cell division and expansion by sugar and auxin signaling, Frontiers Plant Science, 4(163), pp. 1-9, 2013. DOI: 10.3389/fpls.2013.00163 [DOI] 🠔
  21. [21] Zhang, D., Luo, Z., Liu, S., Li, W., Wei , T . and Dong, H ., Effects of deficit irrigation and plant density on the growth, yield and fiber quality of irrigated cotton, Field Crops Research, 197, pp. 1-9, 2016. DOI: 10.1016/j.fcr.2016.06.003 [DOI] 🠔
  22. [22] Zimmermann, F.J.P., Estatística aplicada à pesquisa agrícola, Embrapa Informação Tecnológica, Brasília, Brasil, 2014. 🠔
  23. [23] Zonta, J.H., Bezerra, J.R.C., Sofiatti, V. and Brandão, Z.N., Yield of cotton cultivars under different irrigation depths in the Brazilian Semi-Arid region, Revista Brasileira de Engenharia Agrícola e Ambiental, 19(8), pp. 748-754, 2015. DOI: 10.1590/1807-1929/agriambi.v19n8p748-754 [DOI] 🠔
Lima, B.L.C., Silva, Ê.F.F., Bezerra, J.R.C., da Silva, G.F., Cruz, F.J.R., Santos, P.R. and Campeche, L.F.S.M., Agronomic performance of colored cotton influenced by irrigation with treated domestic sewage and potassium fertilization in semi-arid region of Brazil. DYNA, 86(210), pp. 74-80, July - September, 2019.
received the BSc. in Agronomy from the Federal Rural University of Semi-Arid, Mossoró, Brazil in 2011, the MSc. in Agricultural Engineering from the Federal University of Ceará, Fortaleza, Brazil in 2014 and the PhD in Agricultural Engineering (Water and Soil Engineering) from the Federal Rural University of Pernambuco, Recife, Brazil in 2018. His research interests include: management of soil and water in agriculture, water reuse, crop tolerance to salinity. ORCID: 000-0001-7630-0542
received the BSc. in Agricultural Engineering from the Federal University of Lavras, Brazil, (1994), MSc. in Agricultural Engineering by Federal University of Paraíba, Brazil, (1997) and PhD in Irrigation and Drainage by Luiz de Queiroz College of Agriculture (ESALQ/USP), Brazil, (2002). He is professor of Department of Agricultural Engineering the Federal Rural University of Pernambuco (UFRPE) e permanent professor at Post Graduate program in Agricultural Engineering at UFRPE. ORCID: 0000-0002-8652-503X
received the BSc. in Agronomy from the Federal Rural University of the Paraíba in 1975, MSc. in Civil Engineering by Federal University of Paraíba, Brazil, (1979) and PhD in Natural Resources by the Federal University of Paraíba (2007), He is currently Researcher II of the National Cotton Research Center of the Brazilian Agricultural Research Corporation. ORCID: 0000-0002-2280-3969
received the BSc. in Agronomy from the Federal University of Paraíba in 2004, MSc. in Management of Soil and Water by Federal University of Paraíba, Brazil, (2008) and PhD in Crop Science by the Federal University of Paraíba (2013). He is professor of Department of Agricultural Engineering the Federal Rural University of Pernambuco and permanent professor at Post Graduate program in Agricultural Engineering. ORCID: 0000-0002-3348-7252
received the BSc. in Agronomy in 2008, MSc. in Agronomy in 2011 all of them from the Federal Rural University of Amazônia, Brazil, and PhD in Agronomy in the Paulista State University, Brazil. He is currently a postdoctoral fellow by the Federal Rural University of Pernambuco. ORCID: 0000-0001-6701-8748
received the Technologist degree in Environmental Management in 2012, from the Federal Institute of Pernambuco, Brazil. He is currently a masters student in environmental. ORCID: 0000-0002-7511-4788
received the BSc in Agronomy from the Federal University of Bahia in 1994, MSc in 1998 and PhD in Irrigation and Drainage in 2002, all of them from the Luiz de Queiroz College of Agriculture (ESALQ/USP), Brazil. He is professor of Federal Institute of Education, Science and Technology of Sertão Pernambucano. ORCID: 0000-0002-6071-4019