DYNA
0012-7353
Universidad Nacional de Colombia
https://doi.org/10.15446/dyna.v86n209.77527

Recibido: 27 de enero de 2019; Aceptado: 15 de abril de 2019; Aceptado: 29 de abril de 2019

Storage allocation optimization model in a Colombian company

Modelo de optimización de la asignación de espacios de almacenamientos en una empresa colombiana

F. Ballesteros-Riveros, a M. Arango-Serna, b W. Adarme-Jaimes, a J. Zapata-Cortes, c

Facultad de Ingeniería, Universidad Nacional de Colombia, Bogotá, Colombia. faballesterosr@unal.edu.co, wadarmej@unal.edu.co Universidad Nacional de Colombia Facultad de Ingeniería Universidad Nacional de Colombia Bogotá Colombia
Facultad de Minas, Universidad Nacional de Colombia, Medellín, Colombia. mdarango@unal.edu.co Universidad Nacional de Colombia Facultad de Minas Universidad Nacional de Colombia Medellín Colombia
Escuela de Administración, Institución Universitaria CEIPA, Sabaneta, Colombia. julian.zapata@ceipa.edu.co Institución Universitaria Ceipa Escuela de Administración Institución Universitaria CEIPA Sabaneta Colombia

Abstract

Storage allocation in the warehouse consists in deciding the corresponding areas in which the products must be allocated. It can be made using different techniques to establish a specific position for the products. Some applications provide solutions and evaluate results independently, allowing the identification of its potential in warehouses. This paper presents the application of a storage allocation model in a food company considering several products in a defined time horizon. The algorithm identifies the operation area and the corresponding spaces that are required for the allocation of the products, aimed to reduce holding and material handling costs. As a result, the application of the algorithm produces a complete product allocation in each period and improves cost efficiency in the warehouse.

Keywords:

storage allocation, performance indicators, warehouse, management, CPLEX.

Resumen

Para la asignación de espacio en el almacén se utilizan técnicas de ubicación de diversos ítems en espacios determinados. Algunas aplicaciones proporcionan soluciones y evalúan resultados en forma independiente, lo que permite identificar su potencial de implementación en almacenes. En este trabajo se presenta un caso de una empresa de productos alimenticios que maneja diversos tipos de productos, para la cual se propone un algoritmo en el que se pretende realizar una adecuada disposición de los productos en la bodega a lo largo de un horizonte de tiempo definido. Este algoritmo identifica las diferentes áreas operacionales y la cantidad de espacios requeridos en los cuales los productos deber ser ubicados, buscando la reducción de los costos de mantener y manipular los productos. Como resultado, la aplicación de este algoritmo asegura una asignación completa de los productos en cada periodo con una alta eficiencia en costos.

Palabras clave:

asignación de espacios, indicadores de desempeño, almacenes, administración, CPLEX.

1. Introduction

Today businesses evolve fast making it necessary for companies to compete in different aspects of globalization. According to Tompkins et al. [1], around 20% and 50% of the total operating expenses in manufacturing companies are attributed to goods storage and handling. An efficient facility planning can reduce around 10% to 30% of those costs [1,2]. In that way, facilities and operation design is a very important activity for which companies should develop sophisticated systems to ensure fast and effective responses to customers’ needs and permanent improvement of internal processes [3].

One important decision in facility and operation planning is the design and dynamic allocation of storage spaces, which can be done using mathematical techniques that establish the allocation of the different items in specific spaces into warehouses [1]. The quadratic allocation method is used to model the allocation of the products, which consists in the assignment of a set of elements into a set of spaces when the distances between all locations and the flow of the products are known [4].

This article presents the application of a storage allocation model for five different types of products in a six-period time horizon in a Colombian company dedicated to the distribution and commercialization of food products. To do this, an optimization model and its solution algorithm are presented, which is in charge of defining the correct product allocation in the different areas of the warehouse in each period. The optimization model is developed and applied using GAMS © software. The article starts with a literature review about storage allocation models and methodologies, followed by the model formulation and the solution procedure. The data obtained from the company for the model application is later presented, to finally report the results and conclusions of the paper.

2. Literature review

According to some authors, there are few publications about the design of storage systems [5] and there is not a literature synthesis about those techniques [6]. This lack in the literature is evidenced by the absence of systematic procedures and the scope on a few particular aspects of the allocation design.

Kostrzewski [7] mentions that warehouse system planning can be classified into four types: design and distribution of storage space, order preparation, technology, and equipment selection for material handling and warehouse location. This work focuses on the first two activities. Behnamian & Eghtedari [8] characterized the allocation storage problem and verified different criteria for that. Within these applications, the multi-level warehouse layout problem is highlighted, from which various solution strategies have been explored, using metaheuristics techniques such as genetic algorithms [9,10], ant colony [11], and tabu search [12]. Other authors have considered some restrictions such as operability [13], compatibility between products [14], replenishment policies [15], routes for order preparation [16], worker efficiency in order preparation [17] and technology usage [18]. Bottani et al. [19] consider the simultaneous storage allocation and the preparation of the orders through a metaheuristic based on genetic algorithms. Heragu et al. [20] consider product allocation and the warehouse sizing through a heuristic based on a branch and bound algorithm.

Faber et al. [21] proposed the use of management indicators to evaluate the operational performance of storage systems. Roodbergen et al. [22] proposed an inventory-policies analysis to determine the most appropriate warehouse design. Abdoli & Kara [23] structured the warehouse elements and described five major processes: reception, storage, order preparation, product classification and order fulfillment. Adarme et al. [24] evaluated the application of a warehouse design model in a shipyard trying to minimize the design, material handling and warehousing costs.

When using shelves, several possibilities can be considered to minimize movements through the aisles. Meller & Gue [25] presented and characterized different aisle configurations in warehouses. Pohl et al. [26] compared and qualified aisle configurations, highlighting the performance of the fishbone configuration. Cardona et al. [27] also analyzed the fishbone configuration, highlighting optimization conditions for movements in warehouses.

One important aspect to be considered in warehouses is the possibility to store products without using shelves, which is known as block stacking. There are some models that can be used to minimize allocation activities when using this kind of warehousing [28]. Buil & Piera [29] applied dynamic programming to solve the reallocation problem in block stacking. Caserta et al. [30] proposed a binary coding to quickly identify and assign the state of a space for block stacking. Kim & Hong [31] suggested two methods for block relocation: the first based on a branch and bound algorithm and the other using a heuristic procedure.

There are some recent literature reviews that can lead to a better understanding of the mentioned areas, such as the work of Gu et al. [32], which focuses on warehouse design and operations evaluation, and the work of Da Cunha Reis [6], which reviews the issues of storage design, space allocation, routing and order preparation. Several metrics can be used to determine warehouse performance. Staudt [33] made a literature review about warehouse performance metrics and showed the calculation technique for some indicators which were classified into four dimensions: cost, time, productivity and quality [34].

3. Model formulation and solution procedure

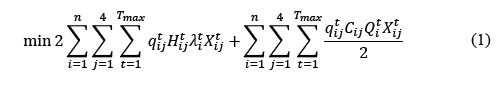
The following model is developed to assign the amount of several products to be located in different areas inside warehouses, aimed to reduce both holding and material handling cost in a defined time horizon. Three typical operations areas were selected to be part of the model formulation: product reception, storage in reserve area and order preparation in the shipment area. This formulation is based in the works of [20] and [35], and the products are denoted by set I={1,2,…,n}, each having a material flow J={1,2,3,4}, which are: 1-Crossdocking flow, 2-warehouse operation flow in which only the products with long storage times are moved, 3- warehouse operation in which the products are kept in the reserve area and then moved to the shipping area until their requirement, 4- allowed crossdocking in the shipping area for very short storage times. The model assumes a dynamic behavior of the products making necessary the establishment of different policies in each period T={1,2,…, according to the formulation proposed by [36].

The objective function is presented in eq. (1), in which is the product demand in period ,is the ordering cost for product in period , , is the cost of every loaded unit of product is the percentage of the total time that every product requires to be assigned to flow 3 in period is an integer variable equal to 1 if product is assigned to material flow j=1, 2 or 4 in period ; if the product is assigned to flow j=3, is , in which is the size relation of the load unit in the reserve and the shipment area in period .

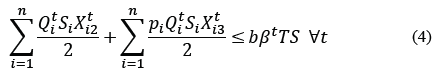
a, b and c represent the percentage of the total available space for the operation areas: a-crossdocking, b-reserve and c-shipment. is the holding cost of every single load of product associated to the material flow in period , is the material handling cost for a unit load of product with the material flow , is the required space to keep a unit of product , TS is the total warehouse space, is the amount of product ordered in period , is the maximum available space in the crossdocking area, is the maximum available space in the shipping area, and is the maximum available space in the reserve area. The decision variables are , which is a binary variable equal to 1 if product belongs to material flow in period or 0 otherwise. and are the assigned space for every area in the warehouse in period , with -cross-docking assigned area, reserve assigned area and =shipping assigned area.

subjected to,

Eq. (2) assures that only a single material flow is assigned to product i∈𝐼. Eq. (3) to (5) correspond to the available space restriction in period . Eq. (6) assures that the space assigned to each area in every period is less or equal to the available space. Eq. (7) to (9) define the upper limit of space that can be assigned to each operation area, and Eq. (10) to (11) define the decision variables.

The following algorithm was proposed for the design and allocation of the areas required for the warehouse activities, which is composed of the steps presented in Fig. 1.

Solution algorithm for the storage allocation problem.

Figure 1: Solution algorithm for the storage allocation problem.

Source: The Authors.

The algorithm starts with the acquisition of the operation information, mainly referring to product data and warehouse spaces. Afterward, the products are classified according to the flow required for each product inside the warehouse. This is determined mainly for the expiration date and the affinity requirements of every product. Then the storage allocation model presented above is used. After that, the costs are evaluated and verification of the assignment of all products has to be done. The algorithm finishes when all products are assigned.

4. Company description

The allocation problem in a Colombian food company was considered for the application of the model presented. The operation inside the company’ warehouse is complex since different products with different expiration dates have to be kept there. There are products that have to be kept for around six months, products with more prolonged storage time and other products with shorter warehousing requirements, generally due to their immediate consumption. This behavior is frequent in distribution centers of large companies that supply a large number of sales points on a daily basis, in the distribution of massive-consumption products and even in companies with models of shared warehouses [37].

For the analysis, the five most important products due to their volume were selected for the storage allocation problem. The demand of every product in load units is showed in Table 1 for the time horizon of six periods.

Table 1: Product demand in units

Source: The Authors.

The total holding cost for each product in every period was calculated considering the corresponding costs of the storage space, public services, taxes, insurances, breakdowns, etc. Those costs are presented in Table 2 and expressed in Colombian pesos ($COP).

Table 2: Unitary holding cost ($COP).

Source: The Authors.

The maximum percentage of the total space that can be used to store the products in every functional area is defined in the company and equal to: a=65%, b=65% and c=65%. The requirement time of each product as a percentage of the total keeping time in the storage spaces is presented in Table 3 for each period.

Table 3: Assignment time of products as a percentage.

Source: The Authors.

5. Results

The proposed model for solving the design and dynamic storage allocation problem was programmed using the GAMS © software (version 24.4) and solved using the CPLEX 12.6 solver with the default parameters. All the computational tests were run on an Intel Core 2 Duo (2.2 GHz 4.0 GB) PC and the instances were generated from the operation of the studied food company. The results of the area assignment produced by the model are presented in Table 4.

Table 4: Assignation area percentage for every operation

Source: The Authors.

The total storage cost for the five products in the six periods is equal to COP$ 843,345,908. The flow assignment to the products in each period is presented in Table 5.

Table 5: Material flow assignation by product and period

Source: The Authors.

The above results show the feasibility of the proposed model with the established restrictions, which effectively allocates the corresponding operation area and the material flow for the 5 products in the 6-period time horizon. This assignation corresponds to the minimal cost of the product assignment to each operational area in the warehouse, which is not easy to calculate without using the proposed model. As it is normal, the reserve space in the warehouse is the widest, since it is the operation area with the highest assigned area (the one with the highest percentage) in all periods. However, in other real operations, as can be the case of the mass consumption industry, this situation could be different, in which the larger areas could be assigned to cross-docking operations.

6. Conclusions

This paper presented a model for the successful storage allocation of several products to different operation areas in a warehouse in a defined time horizon aimed to reduce the holding and material handling cost for a food company. The model was applied in a Colombian food company for a storage system composed of 5 products, 3 different areas, 4 material flows and a time horizon of 6 periods. The model allows the simultaneous assignment of the products to the different areas (crossdocking, reserve, and shipping) and the dynamic assignation of the spaces in the warehouse in the several time horizons, in which the demands and the costs change.

For the solution of the storage allocation problem, an algorithm was proposed, which assures that all products are correctly assigned to a single operational area. This model is very important for companies that have large warehouses and lots of operations since the product allocation to the different areas looking for the minimization of the total cost is almost impossible without using mathematical approaches, such as the model presented in this paper.

As future research lines, it is expected to include stochastic demands in order to test the model performance and also consider other elements in warehouse design, such as the layout of the operation areas, as well as different warehousing systems.

  1. [1] Tompkins, J.A., White, J.A., Bozer, Y.A. and Tanchoco, J.M.A., Facilities planning (4th Ed.), John Wiley & Sons, New York, 2010. 🠔
  2. [2] Arango-Serna, M.D., Zapata-Cortes, J.A . Pemberthy, J.I,., Reestructuración del layout de la zona de picking en una bodega industrial, Revista Ingeniería Universidad de los Andes, 32, pp. 54-61, 2010. DOI: 10.16924%2Friua.v0i32.194 [DOI] 🠔
  3. [3] Kouvelis, P., Kurawarwala, A.A. and Gutiérrez, G.J., Algorithms for robust single and multiple period layout planning for manufacturing systems. European Journal of Operational Research 63, pp. 287-303, 1992. DOI: 10.1016/0377-2217(92)90032-5 [DOI] 🠔
  4. [4] Stützle, T., Iterated local search for the quadratic assignment problem. European Journal of Operational Research 174, pp. 1519-1539, 2006. DOI: 10.1016/j.ejor.2005.01.066 [DOI] 🠔
  5. [5] Baker, P. and Canessa, M., Warehouse design: a structured approach. European Journal of Operational Research 193, pp. 425-436, 2009. DOI: 10.1016/j.ejor.2007.11.045 [DOI] 🠔
  6. [6] Da Cunha-Reis, A., Gomes-de Souza, C. and Nogeira-da Costa, N., Warehouse design: a systematic literature review. Brazilian Journal of Operations & Production Management 14, pp 542-555, 2017. DOI: 10.14488/BJOPM.2017.v14.n4.a10 [DOI] 🠔
  7. [7] Kostrzewski, M., The procedure of warehouses designing as an integral part of the warehouses designing method and the designing software. International Journal of Mathematical Models and Methods in Applied Sciences, 6(4), pp. 535-543, 2012. 🠔
  8. [8] Behnamian, J. and Eghtedari, B., Storage system layout. In facility location. Physica-Verlag HD, pp. 419-450, 2009. DOI: 10.1007/978-3-7908-2151-2_18 [DOI] 🠔
  9. [9] Matić, D., Filipović, V., Savić, A. and Stanimirović, Z., A genetic algorithm for solving multiple warehouse problem. Kragujevac Journal of Mathematics, 35(1), pp. 119-138, 2011. 🠔
  10. [10] Zhang, L., Combining path relinking and genetic algorithms for multiple-level warehouse layout problem. European Journal of Operational Research 169, pp. 413-425, 2006. DOI: 10.1016/j.ejor.2004.08.007 [DOI] 🠔
  11. [11] El Koury, C. and Arnaut, J.P., Metaheuristic for the multiple level warehouse layout problem, in: Engemann, K.J., Gil-Lafuente, A.M., Merigo, J.M., Eds, Modeling and simulation in engineering, economics and management, Proceedings International Conference, MS 2012, New Rochelle, NY, USA, 115, pp. 240-248, 2012. DOI: 10.1007/978-3-642-30433-0_24 [DOI] 🠔
  12. [12] Zhang, L., Tabu search approaches for the multi-level warehouse layout problem with adjacency constraints. Engineering Optimization, 42(8), pp. 775-790, 2010. DOI: 10.1080/03052150903456477 [DOI] 🠔
  13. [13] Sanei, O., Nasiri, V., Marjani, M.R. and Moattar, S.M., A heuristic algorithm for the warehouse space assignment problem considering operational constraints: with application in a case study. In: 2011 International Conference on Industrial Engineering and Operations Management, Kuala Lumpur, Malaysia , 2011. 🠔
  14. [14] Guerriero, F., Musmanno, R., Pisacane, O. and Rende, F., A mathematical model for the multi-levels product allocation problem in a warehouse with compatibility constraints. Applied Mathematical Modelling, 37, pp. 4385-4398, 2013. DOI: 10.1016/j.apm.2012.09.015 [DOI] 🠔
  15. [15] Buil, R. and Piera, M.A., Warehouse redesign to satisfy tight supply chain management constraints. WSEAS Transactions on Information Science and Applications, 5(3), pp. 286-291, 2008. DOI: 10.5555/1467006.1467016 [DOI] 🠔
  16. [16] Roodbergen, K.J. and Vis, I.F., A model for warehouse layout. IIE Transactions 38(10), pp. 799-811, 2006. DOI: 10.1080/07408170500494566 [DOI] 🠔
  17. [17] Pan, J.C.H., Shih, P.H. and Wu, M.H., Storage assignment problem with travel distance and blocking considerations for a picker-to-part order picking system. Computers & Industrial Engineering, 62, pp. 527-535, 2012. DOI: 10.1016/j.cie.2011.11.001 [DOI] 🠔
  18. [18] Gagliardi, J.P., Renaud, J. and Ruiz, A., Models for automated storage and retrieval systems: a literature review. International Journal of Production Research 50(24), pp. 7110-7125, 2012. DOI: 10.1080/00207543.2011.633234 [DOI] 🠔
  19. [19] Bottani, E., Cecconi, M., Vignali, G. and Montanari, R., Optimisation of storage allocation in order picking operations through a genetic algorithm, International Journal of Logistics Research and Applications: A Leading Journal of Supply Chain Management, 15(2), pp. 127-146, 2012. DOI: 10.1080/13675567.2012.694860 [DOI] 🠔
  20. [20] Heragu, S.S., Du, L., Mantel, R.J. and Schuur, P.C., Mathematical model for warehouse design and product allocation. International Journal of Production Research, 43(2), pp. 327-338, 2005. DOI: 10.1080/00207540412331285841 [DOI] 🠔
  21. [21] Faber, N., De Koster, M.B.M. and Smidts, A., Organizing warehouse management. International Journal of Operations and Production Management, 33(9), pp. 1230-1256, 2013. DOI: 10.1108/IJOPM-12-2011-0471 [DOI] 🠔
  22. [22] Roodbergen, K.J., Vis, I.F. and Taylor Jr, G.D., Simultaneous determination of warehouse layout and control policies. International Journal of Production Research, 53(11), pp. 3306-3326, 2015. DOI: 10.1080/00207543.2014.978029 [DOI] 🠔
  23. [23] Abdoli, S. and Kara, S., Designing warehouse logical architecture by applying object oriented model based system engineering. Procedia CIRP, 50, pp. 713-718, 2016. DOI: 10.1016/j.procir.2016.04.108 [DOI] 🠔
  24. [24] Adarme, W., Otero, M.A., Rodríguez, T.A. and Tejeda, L., Optimization of a warehouse layout used for storage of materials used in ship construction and repair. Ship Science & Technology, 5(10), pp. 59-70, 2012. DOI: 10.25043/19098642.59 [DOI] 🠔
  25. [25] Meller, R.D. and Gue, K.R., The application of new aisle design for unit-load warehouses. Proceedings of 2009 NSF Engineering Research and Innovation Conference, Honolulu, Hawaii, pp. 1-8, 2009. 🠔
  26. [26] Pohl, L.M., Meller, R.D. and Gue, K.R., An analysis of dual-command operations in common warehouse designs. Transportation Research Part E, 45, pp. 367-379, 2009. DOI: 10.1016/j.tre.2008.09.010 [DOI] 🠔
  27. [27] Cardona, L.F., Rivera, L. and Martínez, H.J., Analytical study of the Fishbone warehouse layout. International Journal of Logistics Research and Applications: A Leading Journal of Supply Chain Management, 15(6), pp. 365-388, 2012. DOI: 10.1080/13675567.2012.743981 [DOI] 🠔
  28. [28] Yang, J.H. and Kim, K.H., A grouped storage method for minimizing relocations in block stacking systems. Journal of Intelligent Manufacturing, 17, pp. 453-463, 2006. DOI: 10.1007/s10845-005-0018-5 [DOI] 🠔
  29. [29] Caserta, M., Voss, S. and Sniedovich, M., Applying the corridor method to a blocks relocation problem. OR Spectrum, 33, pp. 915-929, 2011. DOI: 10.1007/s00291-009-0176-5 [DOI] 🠔
  30. [30] Caserta, M., Schwarze, S. and Voss, S., A new binary description of the blocks relocation problem and benefits in a look ahead heuristic. 9th European Conference on Evolutionary Computation in Combinatorial Optimisation (EvoCOP), Tubingen, Germany, pp. 37-48, 2009. DOI: 10.1007/978-3-642-01009-5_4 [DOI] 🠔
  31. [31] Kim, K.H. and Hong, G.P., A heuristic rule for relocating blocks. Computers & Operations Research, 33, pp. 940-954, 2006. DOI: 10.1016/j.cor.2004.08.005 [DOI] 🠔
  32. [32] Gu, J., Goetschalckx, M. and McGinnis, L.F., Research on warehouse design and performance evaluation: a comprehensive review. European Journal of Operational Research, 203, pp. 539-549, 2010. DOI: 10.1016/j.ejor.2009.07.031 [DOI] 🠔
  33. [33] Staudt, F.H., Alpan, G., Di Mascolo, M. and Rodriguez, C.M.T., Warehouse performance measurement: a literature review. International Journal of Production Research, 53(18), pp. 5524-5544, 2015. DOI: 10.1080/00207543.2015.1030466 [DOI] 🠔
  34. [34] Staudt, F.H., Di Mascolo, M., Alpan, G. and Rodriguez, C.M.T., Warehouse performance measurement: classification and mathematical expressions of indicators. 5th International Conference Information Systems, Logistics and Supply Chain . August, 2014. 🠔
  35. [35] Ene, S. and Öztürk, N., Storage location assignment and order picking optimization in the automotive industry. The International Journal of Advanced Manufacturing Technology, 60(5-8), pp. 787-797, 2012. DOI: 10.1007/s00170-011-3593-y [DOI] 🠔
  36. [36] Chen, G.Y.H., A new data structure of solution representation in hybrid ant colony optimization for large dynamic facility layout problems. International Journal of Production Economics, 142(2), pp. 362-371, 2013. DOI: 10.1016/j.ijpe.2012.12.012 [DOI] 🠔
  37. [37] Makaci, M., Reaidy, P., Evrard-Samuel, K., Botta-Genoulaz, V. and Monteiro, T., Pooled warehouse management: an empirical study. Computers & Industrial Engineering, 112, pp. 526-536, 2017. DOI: 10.1016/j.cie.2017.03.005 [DOI] 🠔
Ballesteros-Riveros, F.A., Arango-Serna, M.D., Adarme-Jaimes, W. and Zapata-Cortes, J.A., Storage allocation optimization model in a Colombian company.DYNA, 86(209), pp. 255-260, April - June, 2019.
is BSc. in Industrial Engineer (2003) from the Universidad de los Andes, Colombia, with a MSc. in Logistics from the Université d'Amiens - Amiens, France, PhD candidate in Engineering - Industry and Organizations at the Universidad Nacional de Colombia. He is a member of the SEPRO research group in logistics and supply chain management. Currently, he is a professor at the Universidad Militar Nueva Granada, Bogotá, Colombia. Professor Ballesteros-Riveros has more than 10 years of professional, teaching and research experience. His areas of interest are optimization, warehouse management systems and supply chain management. ORCID: 0000-0002-3869-1957
graduated as BSc. in Industrial Engineering in 1991 from the Universidad Autónoma Latinoamericana, Colombia, Sp. in Finance, Formulation and Evaluation of Projects in 1993 by the University of Antioquia, Colombia, Sp. in University Teaching in 2007 by the Polytechnic University of Valencia, Spain, MSc. in Systems Engineering in 1997 by the Universidad Nacional de Colombia - Medellín Campus, PhD in Industrial Engineering in 2001 from the Polytechnic University of Valencia, Spain. He is a full-time professor assigned to the Department of Engineering of the Organization, Faculty of Mines, Universidad Nacional de Colombia, Medellín. He is a senior researcher according to Colciencias 2015 classification. Director of the Industrial-Organizational Logistics R&D+I Research Group "GICO". Professor Arango-Serna works on topics related to logistics processes in the supply chain, operations research, plant design, industrial-organizational optimization techniques, among others. ORCID: 0000-0001-8448-8231
is BSc. in Industrial Engineer in 1993 from the Universidad Industrial de Santander (UIS) - Colombia, MSc. in Engineering with emphasis in logistics in 2007 from Universidad del Valle -Colombia and PhD. in Engineering - Industry and Organizations in 2011 from the Universidad Nacional de Colombia. He is a senior researcher of Colciencias and associate professor at the Universidad Nacional de Colombia. Professor Adarme-Jaimes is a recent member of the SEPRO research group and directs research and extension projects in regional, national and international contexts. He has more than 20 years of professional, teaching and research experience. His areas of interest include the coordination of actors, public policies and optimization in logistics and Supply Chain Management. ORCID: 0000-0001-7401-223X
is BSc. in Chemical Engineer in 2006, as MSc. in Administrative Engineering in 2011 and as PhD. in Engineering - Industry and Organizations in 2017, all of them from the Universidad Nacional de Colombia, Medellín. He currently works as a researcher in the Orygen and Engineering and Quantitative Methods for Administration - IMCA research groups of CEIPA Business School. Professor Zapata-Cortes’ subjects of interest are logistic networks optimization, information and communication technologies applied to the supply chain and the administration of business processes, among others. ORCID: 0000-0002-1270-3577