DYNA
0012-7353
Universidad Nacional de Colombia
https://doi.org/10.15446/dyna.v86n210.78860

Recibido: 3 de abril de 2019; Revision Received: 17 de junio de 2019; Aceptado: 26 de julio de 2019

Determination of the factors of variation of mean velocity in natural channels at steady state

Determinación de los factores de variación de la velocidad media en cauces naturales en estado estable

A. Constaín-Aragón, a G. Peña-Otero, a C. Peña-Guzmán, b

FLUVIA, Bogotá, Colombia. alfredoconstain@fluvia.co ginapeña@fluvia.co FLUVIA Bogotá Colombia
Profesor del programa de ingeniería ambiental, Universidad Santo Tomas, Bogotá, Colombia. carlos.pena@usantotomas.edu.co Universidad Santo Tomás Profesor del programa de ingeniería ambiental Universidad Santo Tomas Bogotá Colombia

Abstract

From the Chezy-Manning equation, considered valid for the "steady state" of a natural channel, as an extension of the condition of "uniform flow," it is interesting to determine the degree of variation of the average flow velocity, depending on the variations of the factors involved. That is why this article presents a theoretical analysis which yields a first approximation of the sensitivity of the variation of the magnitude of the average speed to changes in the geometry or geomorphology of a section of the channel. It is found that the concept of "stable state" for the thermodynamic state of a natural channel can be assimilated to that of "dynamic equilibrium," in which the values of the state parameters vary slowly, in a "regional" sense.

Keywords:

stream dynamics, uniform flow, steady state, flow velocity.

Resumen

A partir de la ecuación de Chezy-Manning, considerada válida para el estado estable de un cauce natural, como una ampliación de la condición de flujo uniforme, es interesante determinar el grado de variación de la velocidad media del flujo en el tramo de estudio, en función de las variaciones de los factores involucrados. Es por esto que este artículo, presenta un análisis teórico el cual permite en una primera aproximación establecer la sensibilidad en la variación de la magnitud de la velocidad media frente a los cambios de la geometría o la geomorfología del tramo. Encontrando que el concepto de estado estable para el estado termodinámico de un canal natural puede asimilarse al de equilibrio dinámico, en el que los valores de los parámetros de estado varían lentamente, en un sentido "regional".

Palabras clave:

dinámica de cauces, flujo uniforme, estado estable, velocidad del flujo.

1. Introduction

Given the great importance of understanding the phenomena associated with the movement of water in natural flows, especially for the correct application of hydraulic models [1,2], infrastructure [3,4], watershed management [5], [6] or water quality [7-9], deepening the knowledge of their hydrodynamics and the semi-empirical relationships that define their mutual connections is an important issue for the modern practice of river engineering.

These models depend essentially on two concepts associated with the movement of water: advection, i.e., the relative translation of the water as a whole, and dispersion, i.e., the heterogeneous expansion of its particles, mainly due to the cutting effect, which in turn depends on the flow patterns derived from the initial advection [9,10].

Therefore, a crucial issue for the development of the subject is the approximate definition of the average velocity of flow in open channels, proposed by Antoine Chezy in 1769 and complemented by Robert Manning for uniform flow.

Here U is the average velocity of the flow, R is the hydraulic radius, n is the Manning Number, and S is the slope of the energy line.

While the average velocity is associated with the average advection of the traveling mobile cross section associated with the center of mass of a reference flow plot, the hydraulic radius is defined as the spatial coordinate associated with the effective depth, and represents the physical capacity to move flow. The roughness, i.e., Manning's Number, represents all the factors that retard the flow, either by frictional losses, by losses due to changes in the geometry, by losses associated with the exchange of energy, and in general any process that produces a decrease in speed. The slope is the longitudinal gradient that implies the acting force (inclined plane) that moves the mass of the considered plot. The exponents of the different magnitudes in Eq. (1) imply their degree of proportional participation. The magnitudes that operate in the numerator favor an increase of the velocity, while the one that operates in the denominator favors a decrease of this velocity. The condition of "uniform flow" basically implies that the geometry and the speed are constant in the measurement section.

In this article, the definition of average speed will be given in a broader sense than in uniform flow, indicating that its stability is statistical, that is, at some points the flow will be varied, in others delayed, but on average its value will be preserved. This situation of "dynamic equilibrium" can be seen as a process tending to a "stable state" whose average does not vary over time [11,12].

On the other hand, since the middle of the last century, new ideas have been incorporated into the field of fluvial dynamics, such as, for example, the thermodynamics of irreversible processes and the theory of open systems [13]. In these new disciplines, the constancy of the local system, considered as a whole, is observed in certain circumstances, although there is a flow of energy and substance across its borders.

2. Evolution of the geometry and the slope of the energy

line in a natural stream

2.1. The alometry of natural streams

The alometry of a channel, that is, the study of the mutual proportions of its geometry, has been related for a long time with dynamic factors that occur in its conformation. In particular, the mutual control exercised between the mechanism of erosion and that of sedimentation has been identified from the beginning, which through opposing actions of extraction, Δmo, and addition of substance, Δmi, on the bed, manage to stabilize and conform an optimal perimeter of the cross section of the flow.

In general, the geomorphological processes of formation of a channel are extended over time, but their stability can be affected in the short term, both by natural events (climate, catastrophes, etc.), and by the action of man. The terrestrial relief is in permanent transformation, since the internal (tectonic) activity of the earth's crust causes some areas to sink and others to emerge. Climate, water, soil and vegetation are also factors of change. Fluvial, wind, glacial and marine erosion are the agents that structurally oppose the orogenesis derived from plate tectonics.

Equilibrium between erosion and sedimentation.

Figure 1. : Equilibrium between erosion and sedimentation.

Source: The Authors.

It is also necessary to note that the equilibrium by mutual action (in any system acting through mechanisms of the "Le Chatelier" type) between opposing factors in physical processes, in general, is a property of near equilibrium, closed systems, in which fluctuations are attenuated by loss forces, preventing an "avalanche" process [14]. This last is typical of open systems, far from equilibrium, where there are several positive feedback mechanisms, associated with nonlinear behavior [15].

2.2. The slope of the energy line

The slope, as a factor that gives a gravitational impulse to water masses in surface waters, has also been seen as a significant regulating agent of the energy expenditure of the waterways themselves. This energetic adjustment is made in conjunction with the curvilinear (meander) path of the currents [16]. But in addition, and in line with what was said in the previous section, the slope as a simplified expression of what "relief" means has a deep, dynamic and alternating connection with tectonic, climatic and geological factors. This relation is complex and changing, which implies somehow perceiving that there are two time scales implicit in its evolution: a scale of large times in which the relief takes a soft downward form, and another scale of small times in which there is a mixture of tectonic and climatic events whose effect can be considered as random, from point to point [17].

3. Mean velocity by the Chezy-Manning equation

considered as acting in a non-point trajectory

Although the Chezy-Manning equation for the average speed of the flow is defined basically as a punctual event (on a cross section), authors such as Leopold locate the own speed acting on an ideal prism, that is to say with a "longitudinal meaning [8].

Thus, in long stretches (ones, tens or hundreds of kilometers), systematic patterns of the relations between these various factors can be established. For example, when as the channel evolves over, its contributing basin progressively adds more water, which in principle implies an increase in flow, and also its hydraulic radius to achieve the corresponding transport. Also, as the development of the channel progresses, its slope becomes progressively smaller due to the profile of the mountain-valley transition.

4. Variations of the factors in the Chezy-Manning

equation.

4.1. Definition of local and regional variations of factors

that affect the mean velocity in a stream

Based on this sequence of variations of the factors studied, if the channel develops, then the flow increases, and then increases the hydraulic radius, but also decreases the slope, and these two variations, which are factors in the numerator of Eq. (1), tend in principle to cancel each other because they have opposite effects.

In general, the roughness of the surface of the bed partially depends on the dimensions of the particles that resist friction (granulometry), and these decrease as the slope decreases. Therefore the roughness depends on the slope, decreasing simultaneously for long stretches of the flow. Fig. 2.Fig. 3.

Relations between river parameters.

Figure 2. : Relations between river parameters.

Source: The Authors.

Slope and roughness relations.

Figure 3.: Slope and roughness relations.

Source: The Authors.

In addition, apart from the "soft" long-term variations, which can be called "regional," small local variations of the roughness appear, superimposed on the former. This is a manifestation of the dynamic and random nature of the formation of the relief described in Section 1.2, as shown in Fig. 4

Local and regional variations of roughness.

Figure 4. : Local and regional variations of roughness.

Source: The Authors.

It is interesting now, in particular, to study the variation of the average speed through the course of the channel. While in the proposed model, the regional variations are smooth and predictable, the local variations are essentially random, since in principle they depend on changing aspects from point to point, related to the geology, lithology, hydrography, etc., that can be considered independent and short range.

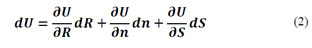
4.2. Exact differential interpretation of mean velocity variation as a function of variations of factors in the Chezy-Manning equation

An (approximate) analytical way of incorporating both types of variation for the average velocity of a channel is to determine the total differential of this average velocity in the section under study, according to the long and short variations, assuming that locally all the variables are relatively independent:

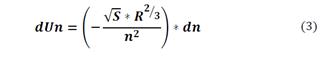
For example, for the second summand, taking the partial derivative of Eq. (1) with respect to n, we have

Thus, the short, random local variations are involved in the differential dn, while the slow variation, of regional tendency, is involved in the function within the parentheses, which varies for different points where n takes on different values.

In the same way, the expressions of the local and regional variation for dUR and dUS is obtained:

It is now necessary to establish an approximate numerical estimate of the variations of the factors associated with the definition of the average speed according to the Chezy-Manning equation.

5. Example of application of proposed model

5.1. Practical ranges of Chezy-Manning factors

It is necessary in the first instance to define the usual ranges of the different factors: the hydraulic radius, the roughness, and the slope of the power line.

The hydraulic radius can have a range of values ​​from fractions of meters up to ones or tens of meters (0.1 m-10.0 m).

For the slope there are absolute values ranging from 0.00001 to 0.1. For the roughness or Manning Number, there is a range of values ​​ranging from 0.020 to 0.4 in various types of resistance factors.

Consider the following example: A transition channel in which the following values ​​are found at an upstream point (1):

n 1 ~ 0.070

S 1 ~ 0.005

R 1 ~ 0.7 m

The speed of Chezy-Manning for this point is

U1≈0.80 m / s

For the point downstream (2):

n 2 ~ 0.065

S 2 ~ 0.0049

R 2 ~ 0.75 m

The speed of Chezy-Manning for this point is

U2≈0.89 m / s

The differentials for section 2-1 will be

dn ~ (0.065-0.070) ~ -0.005

dS ~ (0.0049-0.005) ~ -0.0001

dR ~ (0.75-0.70) m ~ +0.05 m

and the average speed in the stretch is <U> ≈ (0.80 + 0.89) /2≈0.85 m / s.

5.2. Calculation of (U/(R, (U/(S and (U/(n

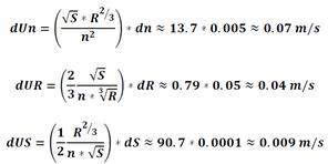
Therefore, at the point downstream, in absolute value, we have

5.3. Calculation of errors of partial velocities dUR, dUS and dUn

For this calculation, the corresponding absolute values, previously estimated for each factor, are used:

Although these are particular results, it is nevertheless clear that the most significant speed error is that associated with the slope error, since it is affected by two small divisors that disproportionately elevate its value [18]. But nevertheless, using very small values of slope difference (making the sequential measurements very near in distance) we may obtain small errors in this calculation. A first consideration is that choosing properly the measurement points we may modulate the weight of each sort of velocity error. This is a very important issue when we use dye tracer methods.

A second reflection on this type of velocity error analysis, is that since they are random in principle, they will change from one point to another, as shown by the red curve superimposed in Figure 5. It is expected then that a way to estimate the mean velocity is to take several measurements at different points in such a way that statistics can be applied, foreseeing that the slopes are as uniform as possible to reduce the dispersive effect of the individual measurements, due to the effect of this parameter.

In this way, we examine the influence of each variable (hydraulic radius and roughness) on the velocity of the stream.

Local and regional variations of mean velocity.

Figure 5. : Local and regional variations of mean velocity.

Source: The Authors.

6. Natural streams in steady state

6.1. Leopold´s principle on constancy of longitudinal mean

velocity in steady state

A steady state for an open physical system (in which there is an exchange of energy and substance with the external environment) is one in which its the parameters which define it do not change with time.

For the case of geomorphology applied to natural channels, Gilbert defined it as the adjustment or balance between erosion and deposition in a section of the flow that leads to a constancy of the forms, while Leopold and Langbein defined it as the process of permanent adjustment of energy conditions, in such a way that the entropy reaches a maximum compatible with the restrictions imposed by the external environment, and a more probable state is reached [19]. The flow progresses adjusting in a process of dynamic equilibrium and finally reaches a steady state. According to different observations, this state is obtained quickly once the energy balance starts up [11], as shown in Fig. 6.

Dynamic equilibrium and steady state.

Figure 6. : Dynamic equilibrium and steady state.

Source: The Authors.

Mass balance in an open system.

Figure 7. : Mass balance in an open system.

Source: The Authors.

According to nonequilibrium linear thermodynamics [20], a stable state is characterized by the constancy of its forms at the statistical level, compatible with the uniformity of the probabilities in the volume of the system that is with the minimum production of entropy. This state of no change is maintained as long as the external conditions are constant, for example the flow.

Today the Gilbert and Leopold-Langbein approaches are considered equivalent. One of the theoretical assumptions of these last two authors allows us to arrive at the concept of equiprobability (according to Boltzmann) for the energy events in the fluvial system in equilibrium, which allows establishing the typical shape of the slope and the condition of constancy of the mass transport rates in the system [19,21].

Leopold himself has established that in general terms the average velocity of a flow is a quantity that shows a certain constancy in the longitudinal sense [16], which in principle may be due to the constancy of the mass transport rates in a flow in a stable state.

6.2. Thermodynamic aspects that apply in natural streams

Closed systems are nearer to equilibrium as they receive less influence than open systems, which tend naturally to imbalance. Natural channels are normally open systems that receive and deliver energy and substance and whose evolution depends essentially on this exchange. Thus, if the internal (irreversible) production of entropy, σ is counteracted by the heat rate per unit volume dQ / dt, which is expelled from the system in isothermal condition, the tendency of this is to decrease the imbalance; likewise if the mass that enters the system, mi, is countered by the mass that leaves, mo, the system simulates one of a closed condition, and the imbalance will remain without growing. The entropy in this case tends to a certain maximum value, different from the absolute maximum obtained in thermodynamic equilibrium.

It must be taken into account, however, that this state is a dynamic equilibrium (or quasi-equilibrium) since the fact of having an internal production of entropy, which implies an irreversible regime in the evolution of the system, prevents a thermodynamic global equilibrium.

On the other hand, an irreversible system close to equilibrium, in which there is a linear regime, is always going to be stable and its entropy production will be a constant value, close to zero, and its entropy close to a maximum value. If this applies to the natural channels, the principle of equiprobability will then hold when there is constancy of the average speed along the longitudinal stretch.

6.3. Quantification of discharge effect on regional

variations of mean velocity

Leopold and Maddock have extensively studied data from a multitude of channels in North America in which both the average velocity, U, and the average depth, h, have been set as a function of the flow [19]:

Soft variation of mean velocity with discharge.

Figure 8. : Soft variation of mean velocity with discharge.

Source: The Authors.

You can see in their models the depth changes with a greater exponent than that with which the speed changes. On the other hand, the equation helps us to estimate the changes in the average speed as a function of the flow.

It can be seen that, in principle, the average speed increase as a function of the increase in flow is relatively small in the "flat" region of the curve, from 2.03 m / s to 88 m3 / s, to 2.5 m / s to 700 m3 / s. This means in an approximate way that the constancy of the average speed derived from the Leopold hypothesis will not be significantly altered by the change of flow.

7. Values of slope in natural streams and its relation to

the measurement of velocity

The slope of the energy line, by virtue of what has been analyzed above, is a crucial factor when considering the process of measuring the average speed in a flow section. It is therefore important to analyze the distances for which the slope differentials are small.

According to the corresponding bibliography, the slopes are generally from 0.1 to 0.00001, which means that for mountain rivers the distances used to measure speed must be small, while for more developed channels the distances can be greater. In general terms, it can be seen that for slopes of 0.1 in distances of 20 meters the slope difference can be 0.001.

8. Conclusions

  1. The geomorphology of a natural flow depends not only on dynamic relations (for example the Chezy-Manning equation), but also on thermodynamic relations (for example the equiprobability of events derived from the Boltzmann definition of entropy), which are valid as long as the channels are in a condition of "dynamic equilibrium." Basically, the flow does not change. This means that dynamic aspects are constantly considered (Chezy-Manning equation), therefore one tends to put geomorphological factors before the definition of velocity; but if thermodynamic aspects are also taken into account, it is the velocity that conditions the other aspects.

  2. The strict concept of steady state for the thermodynamic state of a natural channel can be assimilated to that of dynamic equilibrium, in which the values ​​of the state parameters vary slowly, in a "regional" (trend) sense. These stable states are the result of the opposite action of two effects that are mutually controlled, according to the principle of Le Chatelier.

  3. According to the theory of nonequilibrum thermodynamics, in states close to equilibrium, there is a linear regime, in which entropy tends to a maximum compatible with the restrictions of mass and energy exchange from and to the surrounding medium. In this circumstance, the considered system satisfies the principle of equiprobability for its energy events, which can be reflected in the fact that the average speed is a constant (Leopold hypothesis).

  4. Superimposed on the regional trend curve of the average speed, "local" variations appear, generated by the erratic nature of the large tectonic, climatic and geological factors that shape the relief, which act pointwise and discretely. These local variations in speed will depend significantly on the local changes in slope.

  5. The measurements of average velocity in natural channels, tending to characterize the advection and the dispersion of the flows, must be done on a statistical basis, which tends to suffer the least interference from the random variations, and the representative average value can be extracted.

  6. Since the local deviations of speed depend strongly on the slope deviations, it is recommended to make the different measurements in nearby points in which the slope variation is the lowest possible. As was explained, under normal conditions, the variations of flow will not interfere greatly in the velocity values.

References

  1. [1] Horritt, M.S. and Bates, P.D., Evaluation of 1D and 2D numerical models for predicting river flood inundation, J. Hydrol., 268(1), pp. 87-99, 2002, DOI: 10.1016/S0022-1694(02)00121-X [DOI] 🠔
  2. [2] Kondolf, G.M., Larsen, E.W. and Williams, J.G., Measuring and modeling the hydraulic environment for assessing instream flows, North Am. J. Fish. Manag. 20(4), pp. 1016-1028, 2000. DOI: 10.1577/1548-8675(2000)020<1016:MAMTHE>2.0.CO;2 [DOI] 🠔
  3. [3] Demuzere, M. et al., Mitigating and adapting to climate change: multi-functional and multi-scale assessment of green urban infrastructure, J. Environ. Manage., 146, pp. 107-115, 2014, DOI: 10.1016/j.jenvman.2014.07.025 [DOI] 🠔
  4. [4] Rojas-Sigala, D. and González-Pérez, M.G., Incertidumbre en los modelos hidrológicos y planeación de obras hidráulicas en México, Ing. Hidráulica Ambient., 36(2), pp. 69-83, 2015. 🠔
  5. [5] González-Pérez, M.G. and López-Lara, L.F., Entropía del crecimiento habitacional en el río Blanco de la metrópoli de Guadalajara, México, Ing. Hidráulica Ambient., 39(2), pp. 100-111, 2018. 🠔
  6. [6] Stewardson, M.J. and Gippel, C.J., Incorporating flow variability into environmental flow regimes using the flow events method, River Res. Appl., 19(5-6), pp. 459-472, 2003. DOI: 10.1002/rra.732 [DOI] 🠔
  7. [7] Sharma, D. and Kansal, A., Assessment of river quality models: a review, Rev. Environ. Sci. Biotechnol., 12(3), pp. 285-311, 2013. DOI: 10.1007/s11157-012-9285-8 [DOI] 🠔
  8. [8] Ji, Z., Hydrodynamics and water quality: modeling rivers, lakes, and estuaries, Eos, 89(39), pp. 366-366, 2008. DOI: 10.1029/2008EO390008 [DOI] 🠔
  9. [9] Chapra, S., Surface water-quality modeling. McGraw-Hill, 1997. 🠔
  10. [10] Wallis, S.G., Young, P.C. and Beven, K.J., Experimental investigation of the aggregated dead zone model for longitudinal solute transport in stream channels, in: Proceedings of the Institution of Civil Engineers, London, 87(1), 1989, pp. 1-22. DOI: 10.1680/iicep.1989.1450 [DOI] 🠔
  11. [11] Abrahams, A.D., Distinguishing between the concepts of steady state and dynamic equilibrium in geomorphology, Earth Sci. J., 2(2), pp. 160-166, 1968. 🠔
  12. [12] Christofoletti, A., La noción de equilibrio en geomorfología fluvial, Rev. Geogr. Norte Gd., 8, pp. 69-86, 1981. 🠔
  13. [13] Von Bertalanffy, L., The theory of open systems in physics and biology, Science, 111(2872), pp. 23-29, 1950. DOI: 10.1126/science.111.2872.23 [DOI] 🠔
  14. [14] Kirillin, V.A., Sichev, V.V., Sheindlin, A.E. and García, A.M., Termodinámica técnica. MIR, 1986. 🠔
  15. [15] Prigogine, I. and Nicolis, G., La estructura de lo complejo. Alianza, 1994. 🠔
  16. [16] Rubio, T.O., Hidráulica de ríos y procesos morfológicos. Ecoe Ediciones, 2011. 🠔
  17. [17] Lugo, J., El relieve de la Tierra y otras sorpresas. Fondo de Cultura Económica, 2014. 🠔
  18. [18] Prigogine, I., El fin de las certidumbres. Andres Bello, 1996. 🠔
  19. [19] Leopold, L.B. and Langbein, W.B., The concept of entropy in landscape evolution. US Government Printing Office , Washington, DC, 1962. DOI: 10.3133/pp500A [DOI] 🠔
  20. [20] Sheliepin, L.A., Lejos del equilibrio: sinergetica, auto organización y teorías de catástrofes. Editorial URSS, 2005. 🠔
  21. [21] Aragón, A.J.C. y Rivera, J.L.C., Equivalencia de tasas de transporte de masa en los cauces naturales bajo la condición de ‘equilibrio dinamico’: un nuevo método de estudio de sus características mediante trazadores, Ing. Civ., 180, pp. 85-100, 2015. 🠔
Constaín-Aragón, A.J., Peña-Otero, G.A. & Peña-Guzmán, C., Determination of the factors of variation of mean velocity in natural channels at steady state. DYNA, 86(210), pp. 240-246, July - September, 2019
received the BSc. an Engineering and certification as telecommunication Sp. in 1977, from Universidad del Cauca, Popayan, Colombia. He has worked as a professor in the fields of physics, electronic instrumentation and feedback processes. His research interests include: electrolysis design and construction of disinfection cells, and dye tracer theory and applications. He has written several books and scientific articles. A leader in FLUVIA technology developments in Colombia, he obtained the gold medal of WIPO (Switzerland) for best invention, also the Brigard & Castro patent competition, and the INNOVA prize given by the Colombian government. ORCID: 0000-0001-6442-0715
received the BSc. as Environmental Engineer in 2016, from Universidad Distrital, Bogota, Colombia. She obtained an Sp. Environmental in 2017, and is currently a student working on an MSc. from Los Andes University in water science. Her current position is environmental coordinator in FLUVIA tech, in Bogota, Colombia. She is also the co-author of some international papers on the application of tracers to stream research. ORCID: 0000-0002-8727-9088
received the BSc. as Environmental Engineer in 2007, from Universidad Autónoma de Colombia, Bogota, Colombia. He obtained an Sp. In Urban Water Management in 2008, from the Universidad de los Andes, Colombia, is MSc. in Hidrosistemas in 2012 from the Pontificia Universidad Javeriana and his PhD. in Water and Sustainable Development in 2017 from the Alicante University, Spain. Currently, he is working at the Universidad Santo Tomas in the Environmental Engineering program. ORCID: 0000-0003-0496-9612