DYNA
0012-7353
Universidad Nacional de Colombia
https://doi.org/10.15446/dyna.v87n212.79307

Recibido: 25 de abril de 2019; Revision Received: 20 de agosto de 2019; Aceptado: 5 de diciembre de 2019

Evaluation of a biodegradable color concentrate in bags for coffee seedlings

Evaluación de un concentrado de color biodegradable en bolsas para almacigo de café

A. Parra-Campos, aP. Albán-Bolaños, aH. Villada-Castillo, bH. Portela-Guarín, cL. Palacios, aG. Arboleda-Muñoz, a

Faculty of Agricultural Sciences, Universidad del Cauca, Popayán, Colombia. pacamandis@unicauca.edu.co, pedroalban@unicauca.edu.co, lilymarcelap@unicauca.edu.co, garboleda@unicauca.edu.co Universidad del Cauca Universidad del Cauca Popayán Colombia
Research Vice rectory, Universidad del Cauca, Popayán, Colombia., villada@unicauca.edu.co Universidad del Cauca Universidad del Cauca Popayán Colombia
Faculty of Human Sciences, Universidad del Cauca, Popayán, Colombia., hportela@unicauca.edu.co Universidad del Cauca Universidad del Cauca Popayán Colombia

Abstract

The aim of this study was to evaluate different formulations of a biodegradable black concentrate obtained from cassava starch and carbon black, on the mechanical properties, color, and water absorption of a film destined to the production of biodegradable bags for coffee seedlings. The modulus of elasticity, tensile strength and elongation properties is found to show significant variation due to the pigment, plasticizer, and lubricant concentration, both longitudinally and transversely of the film, the treatment being 40% pigment with the absence of plasticizer and lubricant for the pigment, which presented greater integrity in the mechanical properties evaluated in both directions. It is also noticeable that the different masterbatch formulations had an influence on the changes in the color parameters and weight gain of the film by the influence of water absorption.

Keywords:

masterbatch, color, biodegradable, seedlings, coffee.

Resumen

El objetivo del presente trabajo fue evaluar distintas formulaciones de un concentrado de color negro biodegradable obtenido a partir de almidón de yuca y negro de humo, sobre las propiedades mecánicas, color y absorción de agua de una película destinada a la elaboración de bolsas biodegradable para almacigo de café. Se encontró que las propiedades de módulo de elasticidad, resistencia a la tensión y elongación presentaron variación significativa por efecto de la concentración de pigmento, plastificante y lubricante, tanto en sentido longitudinal como en el transversal de la película, siendo el tratamiento 40% de pigmento con ausencia de plastificante y lubricante para el pigmento, el que presentó mayor integridad en las propiedades mecánicas evaluadas en los dos sentidos. También se encontró que las diferentes formulaciones de masterbatch tuvieron influencia sobre los cambios en los parámetros de color e incremento de peso de la película debido a la absorción de agua.

Palabras clave:

masterbatch, color, biodegradable, almácigos, café.

1. Introduction

Masterbatch are pigment concentrates or additives, usually consisting of a base polymer, pigments, dispersing agents and other additives. Masterbatch confer specific properties and facilitate the addition of pigments and additives to polymers. In addition, they offer other advantages such as protection against moisture and contamination with foreign substances, avoid possible spillage of pigments or additives and facilitate the cleaning of process equipment, allow a more precise dosage and greater dispersion due to the use of a resin that serves as a vehicle. To optimize the production processes, it is recommended that the masterbatch have a size and shape similar to the polymer that is desired to pigment or confer certain properties and that the resin matches this polymer [1,2].

Masterbatch are widely used to improve the processing characteristics, physical properties of the compounds, and to disperse fillers uniformly concentrated in the polymer matrix [3,6]. In different studies, the masterbatch technique has been used to obtain uniform dispersions of carbon nanotubes in polymers such as polycarbonate and polypropylene [7]; to increase the dispersion of carbon black in ethyl poly terephthalate (PET) and polypropylene (PP) [6,8] and to provide color to polymers such as polyethylene (PE) [9].

Masterbatch production is carried out by the extrusion technique using double screw extruders, due to the large cutting efforts that are required to separate the agglomerates and obtain high dispersion and color strength [5,10,11].

As for studies conducted on obtaining color concentrates from renewable sources, those reported in the literature are very scarce, however there is an invention patent [12] and some references of biodegradable masterbatch in the market obtained from base polymers such as polylactic acid (PLA), polyhydroxyalkanoate (PHA), polyhydroxybutyrate (PHB), among others, with the use of conventional non-biodegradable pigments and additives [11,13,14] providing the alternative to work with natural polymers such as thermoplastic starch (TPS) and pigments such as carbon black.

Carbon black is an organic pigment, composed of about 97-99% elemental carbon, which can provide color, thermal conductivity, and protection against ultraviolet degradation [8,15]. Carbon black is of great interest due to its wide use in the rubber, plastic, and composite materials industry [16]. Common plastics such as polyethylene and polypropylene with adequate carbon black pigmentation are used to absorb solar radiation [17,18]. Carbon black is also widely used and in great demand in obtaining masterbatch for applications in polymers, as long as the pure pigment tends to form agglomerates, due to the electrostatic and Van der Waals forces of its fine particles [8]. It has been employed in PP matrices [6,7], PET [8] and PE [9,19], among others. The most important characteristics in determining the performance of black carbon in polymer applications are particle size, porosity, and particle structure, as well as concentration and dispersion in the polymer matrix [10,15,20]. For the production of color concentrates, 25 to 40% by weight and 0,5 to 3% are generally applied in the mixture for obtaining the final product for tone and UV protection applications [15].

Additionally, among natural polymers, starch is considered with great potential as long as it is a biodegradable and biocompatible polymer, low cost, wide availability, total compostability without toxic residue formation and film formation capacity [21,23]. In particular, cassava starch is considered due to its odorless, tasteless, colorless, non-toxic and biodegradable characteristics [22]. In this sense, the objective of this study was to evaluate different concentrations of masterbatch obtained from cassava starch and carbon black and determine its effect on the mechanical properties, color, and water absorption in films intended for the production of biodegradable bags for coffee seedlings.

2. Materials and methods

2.1. Materials

Cassava starch (Manihot esculenta Crantz) was used in the native state, supplied by the Agricultural Products Processing Company CPA, (Caaguazú, Paraguay); polylactic acid (PLA) in the form of pellets, supplied by the company NatureWorks (United States) under reference 2003-D; glycerol analytical grade (99,7% purity) as plasticizer, in the presence of colorless liquid of medium viscosity, acquired by DISAN S.A. (Cali, Colombia); Stearic acid was used as lubricant, supplied by Merck KGaA (Darmstadt, Germany) and carbon black as a dye, purchased from Químicos JM S.A. (Medellin Colombia).

2.2. Process to obtain the masterbatch

To obtain the masterbatch or color concentrate, the native cassava starch was dried to a humidity of less than 1%. Afterward, it was mixed with the plasticizer in a 70:30 ratio. Additionally, the lubricant and an additional portion of glycerin (corresponding to the pigment) were added, as shown in Table 1. This premix was allowed to stand for 48 hours. Subsequently, carbon black was added to the premix (see Table 1). Finally, the mixture was processed by extrusion at an average temperature profile of 136°C and a screw rotation speed of 80 rpm. The color concentrate was obtained in the form of a cord, which was pelletized and stored in bags for further testing.

Table 1: Masterbatch Formulation

Source: The Authors.

The biodegradable flexible film was obtained based on the process conditions established by Arboleda et al [24], with some modifications. It began with the obtaining of the binary mixture (MB), for this native cassava starch (moisture<11%) was pre-mixed with the plasticizer (glycerin) in a 70:30 ratio, in addition, the lubricant (Stearic acid) was added in a 95:05 relationship, and left at rest for 48 hours. Then the polylactic acid (PLA) and the coupling (maleic anhydride) were added to the premix. This mixture was processed by extrusion at an average temperature of 165,25 °C and a screw rotation speed of 45 rpm. The cord so obtained was pelletized and reserved for the next operation.

To obtain the film, the MB and masterbatch pellets were mixed at a 95:05 ratio in a single screw extruder (ThermoScientific 19/25 OS), at an average temperature of 144 °C and screw rotation speed of 40 rpm. The obtained film was stored in an environmental chamber, for a period of 8 days at a temperature of 23+2 °C and constant relative humidity 50+10%.

2.3. Sample characterization

The evaluation of variables took place as follows:

2.3.1. Evaluation of mechanical properties of tension

We proceeded in accordance with ASTM D-882-10 guidelines [25], which establishes the procedure to run the tension test on films. The maximum tensile strength (MPa), the maximum elongation at the breaking point (%) and the modulus of elasticity (MPa) of the film obtained were determined. The module was calculated as the slope of the linear portion of the stress curve v/s deformation. A universal testing machine (Shimadzu model EZ-L) was used and the process took place under the following operating conditions: 500 N cell, spindle speed 25 mm/min and a distance between the jaws of 50 mm. Five specimens were cut in triplicate in a longitudinal and transverse direction with the following dimensions: 90 mm long by 20 mm wide and a micrometer was used to determine thicknesses.

2.3.2. Color

The color measurement was obtained by means of a CM-5 Konica-Minolta spectrophotometer which allows measuring the amount of light absorbed and the intensity of the light when a light beam passes through a solid or liquid body. The SCI reflectance method was used with a specular included, a D65 illuminant and a measuring diameter of 30 mm, according to the CIELab scale, L* (luminosity), a* (red-green) and b* (yellow-blue). Three measures were taken for each treatment [26].

2.3.3. Water absorption

Water absorption was performed under ASTM D570-98 [27]. Samples with dimensions 76, 2 mm long by 25,4 mm wide were dried at a temperature of 50±3°C for 24 hours. After this time, the initial weight was recorded on an analytical balance and immersed in distilled water at 23±1°C for 2± 0,07 hours. Then, its surface was dried and weighed again (wet weight). The water absorption value was determined as the sum of the immersion weight gain [28].

2.3.4. Statistical analysis

The statistical analysis was performed using Minitab Statistical Package (version 17). The results obtained were initially subjected to a normality test, finding that these results were due to a normal distribution (P>0,05), therefore, an analysis of variance (ANOVA) and multiple comparisons (Tukey) was carried out to evaluate the effect of treatments on response variables.

3. Results and discussion

The following is a narrative of the analysis of the data obtained from the evaluation of the mechanical properties of tensile strength, color, and water absorption.

3.1. Mechanical properties of tensile strength

Table 2 shows the average values and standard deviation obtained from the evaluation of the mechanical properties of maximum tensile strength, modulus of elasticity, and elongation at the point of breakage of the film intended for the manufacture of bags for coffee seedlings.

Table 2: Results obtained from the evaluation of the mechanical properties in the longitudinal direction.

Values are reported as the mean ± standard deviation. P, pigment concentration (% w/w). G, Glycerol concentration (% w/w). E, Stearic acid (% w/w). Level of statistical significance: different letters on the superscripts of the same column indicate significant differences according to the comparison of Tukey means (P <0,05)

Source: The Authors

The experimental design yielded a total of 18 treatments, to which the respective evaluation of the mechanical properties of tensile strength was performed. These measurements were performed longitudinally and transversely.

According to the analysis of variance, the pigment, plasticizer, and lubricant factors had a significant effect (P<0,05) on the mechanical properties of the film. The pigment is the one that presented the greatest influence (F = 4,31). Table 2 and Fig. 1 show that the 40% pigment treatment, with the absence of plasticizer and lubricant (40P0G0E), presented a high modulus of elasticity, high maximum tensile strength, and high maximum elongation at the breaking point, compared to the other treatments, according to the Tukey test in subgroup a (higher property value). This indicates that the pigment has an important effect on the behavior of the mechanical properties of the film.

Mechanical properties of tensile strength treatment.

Figure 1: Mechanical properties of tensile strength treatment.

Source: The Authors.

It has been reported that the presence of carbon black pigment in polymers increases their durability and resistance and has a mechanical chemical stabilizing effect by increasing the concentration of carbonyl groups (C=O) [20]. However, the variation found in the mechanical properties between the treatments can be attributed to a non-homogeneous dispersion and distribution of the pigment in the mixture, allowing a possible formation of aggregates, agglomerates, and particle-particle interactions [29]. Pircheraghi et al [9] also report a great variation in the mechanical properties of a pigmented PE100 material, using between 5,75 and 6,60% of a masterbatch containing between 35 and 40% (w/w) of carbon black but they also mention that it is difficult to corroborate this finding due to lack of previous studies focused on evaluating the effect of carbon black on these materials.

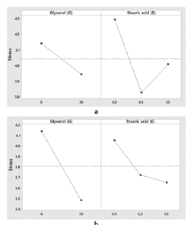
Additionally, the selected plasticizer is generally used to convert starch into thermoplastic (TPS), since it allows to create intermolecular bonds with starch chains, conferring greater molecular mobility, generating a flexible polymeric material suitable for film making [30]. However, such interactions do not appear to take place between the plasticizer and carbon black, which is an inorganic and stable molecule [20], leading to the loss of mechanical properties, due to a possible excess plasticizer in starch because, according to the literature, the plasticizing effect of glycerol in the amylose and amylopectin chains reduces the tensile strength and stiffness of the films [31], as shown in Fig. 2. Similarly, Dos Santos Caetano et al [32] found that at a low concentration of glycerol, high tensile strength values were obtained but with the increased addition of glycerol, the resistance decreased, since this plasticizer makes the starch flexible as long as it causes changes in its structure.

Main effects graph for Tensile Strength in longitudinal (A) and transverse (B) directions

Figure 2: Main effects graph for Tensile Strength in longitudinal (A) and transverse (B) directions

Source: The Authors.

Other studies have reported that the mechanical properties of starch-based films decrease with the increase in the concentration of fatty acids [33], this behavior can also be evidenced in Fig. 2, where the tensile strength fell so much in longitudinal as transverse direction, with the increase of Stearic acid. In this case, Schmidt et al [34] report that the addition of this organic acid had a negative effect on the mechanical properties of starch-based films, decreasing tensile strength, possibly due to the weakening of the polymer network by the effect of the fatty acid. Dos Santos Caetano et al, [32] found that adding oregano essential oil to a film obtained from cassava starch negatively impacted tensile strength compared to the control film.

Furthermore, the mechanical properties measured in longitudinal and transverse direction of the treatments were compared by means of a t-test, finding that there was no significant difference (P<0,05), which indicates that the polymeric chains of the film have a balanced orientation, as shown in Fig. 3, which can favor high impact resistance and a tendency not to tear easily in the direction of the extrusion flow (longitudinal direction) [35].

Stress curve vs. longitudinal and transverse deformation of treatment 30P0G0E

Figure 3: Stress curve vs. longitudinal and transverse deformation of treatment 30P0G0E

Source: The Authors.

3.2. Color

The film was pigmented black in order to prevent the passage of light and UV radiation to ovoid its possible harmful effects on the roots of coffee seedlings. It has been reported that light affects the morphology and behavior of roots and that these are better adapted to grow in the dark [36]. In this sense, it was deemed important to evaluate the color of the film.

The color was evaluated by measuring the CIE-Lab coordinates, where: L, which stands for luminosity, takes values between 0 and 100 (0 (black) and 100 (white), values (+) indicate red and (-) green, b (+) values indicate yellow and b (-) blue. The C values represent the color saturation of the sample and vary from the "dull" colors, less saturated (low values), to the vivid colors of maximum saturation (high values). The value of h is defined as a circle of color, with red-violet at an angle of 0°, yellow at 90° and green-blue at 270° [26]. Table 3 shows the experimental results obtained from the evaluation of color in the film for storage using CIE-Lab coordinates.

Table 3: Results obtained from the evaluation of color and weight gain in the film for seedlings.

Values are reported as the mean ± standard deviation. P, pigment concentration (% w/w). G, Glycerol concentration (% w/w). E, Stearic acid (% w/w). Level of statistical significance: different letters on the superscripts of the same column indicate significant differences according to the comparison of Tukey means (P <0,05)

The luminosity (L) varied between 24,14 ± 0,06 and 26,56 ± 0,54, being closer to 0 (black) than 100 (white), a* presented positive values close to zero, b* values negative tending to blue, but close to zero, C* low saturation values between 0,34 and 1, corresponding to a dull color and h* values between 270,94 ± 0,59 and 279,55 ± 6,57 (green blue).

According to the analysis of variance, the luminosity (L*) showed statistically significant differences (p<0,05) among treatments, due to the effect of pigment concentration, plasticizer and lubricant, and the interaction between factors. The color coordinates a* also presented significant influence by the action of the three factors, b* due to the effect of the pigment and glycerol and the interaction between them, as well as the color coordinate C* thus obtaining several homogeneous subgroups according to Tukey’s test. Souza et al. [26], report that the observed optical changes can be attributed to the formation of crystals of the incorporated compounds, which interfere with the reflection of light. It has also been reported that the amount of reflected light and chroma depends on the ratio and uniformity of the film thicknesses and that, in industrial practice, it is difficult to achieve a uniform color effect throughout the film, due to slight variations in thickness that lead to the formation of color patches [37]. In this test, the film thicknesses varied between 0,067 and 0,1311 mm and may have interfered with the color coordinates evaluated.

3.3. Water absorption

Water absorption was measured because the film is going to be used to make bags for coffee seedlings, which will be exposed to a high amount of water from irrigation and rain.

Table 3 shows the results obtained from the evaluation of water absorption, where the treatments evaluated presented a percentage of increase in weight between 20 and 60%, with treatments 20P0G0E and 30P0G0E, which presented a higher increase percentage and treatment 40P0G1E, which presented less water absorption, corresponding to a concentration of 40% pigment and 1% Stearic acid. According to the analysis of variance, the differences in weight gain between treatments are due to the effect of the concentration of pigment and lubricant (Stearic) and the interaction among the three factors evaluated.

These results can be attributed to the fact that water absorption increases with the increase in starch content as long as the molecules of this carbohydrate have a large number of free hydroxyl groups, which are related to water [38,39]. It has also been reported that plasticization with fatty acids may decrease water absorption by sealing the pores of the surface of the films and prevent swelling [40]. Additionally, the inclusion of oils or hydrophobic compounds in the films reduces permeability and water absorption, probably due to the development of internal processes of cross-linking and formation of a microstructure [32].

Some other studies have also reported that an increase in the addition of glycerol in starch-based films increases water absorption because this plasticizer interacts strongly with starch forming hydrogen type bonds, causing a decrease in inter and intramolecular interactions, which also increases the movement and reorganization of chains facilitating water absorption [32,41].

4. Conclusions

The mechanical properties, modulus of elasticity, tensile strength, and elongation of the film showed variation due to the concentration of pigment, plasticizer, and lubricant in the masterbatch, these changes being significant both in the longitudinal and in the transverse direction of the film. It was established that the increase in lubricant (0, 0,5, 1%) and plasticizer (0,30%) generated a decrease in the mechanical properties of the films. In this sense, the treatment 40P0G0E, with 40% pigment, absence of plasticizer, and lubricant, showed a high value of mechanical properties of tension and integrity in both longitudinal and transverse directions.

The different masterbatch formulations evaluated had a significant influence on changes in CIELab color parameters. These variations were subject to film thickness and pigment dispersion.

The increase in film weight due to water absorption was affected by the interaction between the concentration of the pigment and the lubricant present in the masterbatch.

References

  1. [1] Li, Y., Wu, D. and Chen, G., Preparation and characterization of high-density polyethylene/expanded graphite conducting masterbatch. J. Appl. Polym. Sci., 105(5), pp. 3119-3124, 2007. DOI: 10.1002/app.25842 [DOI] 🠔
  2. [2] Lei, C., Chen, D., Huang, R., Li, G. and Lu, Y., Time-dependent rheological behavior of low-density polyethylene white color masterbatches under dynamic stress field. J. Appl. Polym. Sci., 85(14), pp. 2793-2799, 2002. DOI: 10.1002/app.10817 [DOI] 🠔
  3. [3] Ma, L., Zhang, Y., Meng, Y., Anusonti-Inthra, P. and Wang, S., Preparing cellulose nanocrystal/acrylonitrile-butadiene-styrene nanocomposites using the master-batch method. Carbohydr. Polym., 125, pp. 352-359, 2015. DOI: 10.1016/j.carbpol.2015.02.062 [DOI] 🠔
  4. [4] Joo, M., Auras, R. and Almenar, E., Preparation and characterization of blends made of poly(l-lactic acid) and β-cyclodextrin: improvement of the blend properties by using a masterbatch. Carbohydr. Polym., 86(2), pp. 1022-1030, 2011. DOI:10.1016/j.carbpol.2011.05.058 [DOI] 🠔
  5. [5] Kossman, F.S.N., Evaluación del uso de mezclas de polietileno en la elaboración de concentrados de color. Tesis, Universidad Simon Bolivar, Venezuela, 2010, 99 P. 🠔
  6. [6] Lee, S.H., Kim, M.W., Kim, S.H. and Youn, J.R., Rheological and electrical properties of polypropylene/MWCNT composites prepared with MWCNT masterbatch chips. Eur. Polym. J., 44(6), pp. 1620-1630, 2008. DOI:10.1016/j.eurpolymj.2008.03.017 [DOI] 🠔
  7. [7] Zhong, J., Isayev, A.I. and Huang, K., Influence of ultrasonic treatment in PP/CNT composites using masterbatch dilution method. Polym. (United Kingdom), 55(7), pp. 1745-1755, 2014. DOI: 10.1016/j.polymer.2014.02.014 [DOI] 🠔
  8. [8] Jiang, Z., Jin J., Xiao, C. and Li, X., Effect of surface modification of carbon black (CB) on the morphology and crystallization of poly(ethylene terephthalate)/CB masterbatch. Colloids Surfaces A Physicochem. Eng. Asp., 395, pp. 105-115, 2012. DOI: 10.1016/j.colsurfa.2011.12.013 [DOI] 🠔
  9. [9] Pircheraghi, G., Sarafpour, A., Rashedi, R., Afzali, K. and Adibfar, M., Correlation between rheological and mechanical properties of black PE100 compounds - effect of carbon black masterbatch. eXPRESS Polymer Letters, 11(8), pp. 622-634, 2017. DOI: 10.3144/expresspolymlett.2017.60 [DOI] 🠔
  10. [10] Donnet, J., Carbon black_ science and technology. 2nd Ed., CRC Press, New York, USA, 1993, 449 P. DOI: 10.1201/9781315138763 [DOI] 🠔
  11. [11] Markarian, J., Back-to-basics: adding color to plastics. Plast. Addit. Compd., 11(4), pp. 12-15, 2009. DOI: 10.1016/S1464-391X(09)70106-0 [DOI] 🠔
  12. [12] Guisheng, Y. and Jueliang, Y., Universal fully-biodegradable color masterbatch and preparation method thereof CN104109349 (A), 2014. 🠔
  13. [13] s.a., Compounds and masterbatches at K 2007. Plastic Additives and Compounding, 9(5), pp. 38-42, 2007. DOI: 10.1016/S1464-391X(07)70126-5 [DOI] 🠔
  14. [14] Ureña-Castro, F., Diseñando para el reciclado. Los plasticos compostables más llenos de color que nunca. Masterbatches de color y aditivos para bioplasticos Revista Plastico, [en línea]. 1(11), pp. 1-24, 2011. Disponible en: aciplast.org/aciplast/images/Revistas/revista-11.pdf [URL] 🠔
  15. [15] Ram Charan Company., Carbon blacks in plastics applications, performance & selection criteria. Ram Charan Product Development Information., [online]. 2(6), pp. 1-4, 2012. Available at: www.ramcharan.org/pdf/Ramcharan Plastic News Letter Issue 6_ September 2012.pdf [URL] 🠔
  16. [16] Sharif-Sh, M., Golestani-Fard, F., Khatibi, E. and Sarpoolaky, H., Dispersion and stability of carbon black nanoparticles, studied by ultraviolet-visible spectroscopy. J. Taiwan Inst. Chem. Eng., 40(5), pp. 524-527, 2009. DOI:10.1016/j.jtice.2009.03.006 [DOI] 🠔
  17. [17] Povacz, M., Wallner, G.M. and Lang R.W., Black-pigmented polypropylene materials for solar thermal absorbers - Effect of carbon black concentration on morphology and performance properties. Sol. Energy, 110, pp. 420-426, 2014. DOI:10.1016/j.solener.2014.09.024 [DOI] 🠔
  18. [18] Kurzböck, M., Wallner, G.M. and Lang, R.W. Black pigmented polypropylene materials for solar absorbers. Energy Procedia, 30(1), pp. 438-445, 2012. DOI: 10.1016/j.egypro.2012.11.052 [DOI] 🠔
  19. [19] Deveci, S., Antony, N. and Eryigit, B., Effect of carbon black distribution on the properties of polyethylene pipes part 1: degradation of post-yield mechanical properties and fracture surface analyses. Polym. Degrad. Stab., 148(1), pp. 75-85, 2018. DOI:10.1016/j.polymdegradstab.2018.01.011 [DOI] 🠔
  20. [20] Liu, M. and Horrocks, A.R., Effect of carbon black on UV stability of LLDPE films under artificial weathering conditions. Polym. Degrad. Stab., 75(3), pp. 485-499. 2002. DOI: 10.1016/S0141-3910(01)00252-X [DOI] 🠔
  21. [21] Abreu, A.S. et al., Antimicrobial nanostructured starch-based films for packaging. Carbohydr. Polym., 129(1), pp. 127-134, 2015. DOI:10.1016/j.carbpol.2015.04.021 [DOI] 🠔
  22. [22] Luchese, C.L., Garrido, T., Spada, J C., Tessaro, I.C. and De la Caba, K., Development and characterization of cassava starch films incorporated with blueberry pomace. Int. J. Biol. Macromol., 106, pp. 834-839, 2018. DOI: 10.1016/j.ijbiomac.2017.08.083 [DOI] 🠔
  23. [23] Assis, R.Q., Lopes, S.M., Costa, T.M.H., Flôres, S.H. and de Oliveira Rios, A., Active biodegradable cassava starch films incorporated lycopene nanocapsules. Ind. Crops Prod., 109, pp. 818-827, 2017. DOI: 10.1016/j.indcrop.2017.09.043 [DOI] 🠔
  24. [24] Arboleda, G.A., Montilla C.E., Villada, H.S. and Varona, G.A., Obtaining a flexible film elaborated from cassava thermoplastic starch and polylactic acid. Int. J. Polym. Sci., 2015, pp. 1-9, 2015. DOI: 10.1155/2015/627268 [DOI] 🠔
  25. [25] American Society for Testing and Materials - ASTM, Standar test method for tensile properties of thin plastic sheeting. ASTM D882-10, Reapproved. West Conshohocken Pennsylvania, USA, 2010, pp. 1-9. 🠔
  26. [26] Souza, V.G.L., Fernando, A.L., Pires, J.R.A., Rodrigues, P.F., Lopes, A.A.S. and Fernandes, F.M.B., Physical properties of chitosan films incorporated with natural antioxidants. Ind. Crops Prod., 107, pp. 565-572, 2017. DOI: 10.1016/j.indcrop.2017.04.056 [DOI] 🠔
  27. [27] American Society for Testing and Materials - ASTM,, Standard test method for water absorption of plastics, vol. 98, no. Reapproved. 2010, pp. 1-4. 🠔
  28. [28] Paz, S.P., Alban, P. y Villada, H.S., Efecto de aditivo masterbatch en película biodegradable de almidón termoplástico de yuca y ácido poliláctico. Biotecnoloía en el Sect. Agropecu. y Agroindustrial, 14(1), pp. 110-118, 2016. DOI: 10.18684/BSAA(14)110-118 [DOI] 🠔
  29. [29] Jovanović, V., Samaržija-Jovanović, S., Budinski-Simendić, J., Marković, G. and Marinović-Cincović, M., Composites based on carbon black reinforced NBR/EPDM rubber blends. Compos. Part B Eng., 45(1), pp. 333-340, 2013. DOI: 10.1016/j.compositesb.2012.05.020 [DOI] 🠔
  30. [30] Fengwei, X., Peng, L., and Long, Y., Processing of plasticized starch-based materials: state of the art and perspectives. In: Halley, P.J. and Avérous, L.R., (Eds), Starch Polymers: from genetic engineering to green applications, Elsevier, Burlington, MA, USA, 2014, pp. 257-289. DOI: 10.1016/B978-0-444-53730-0.00024-5 [DOI] 🠔
  31. [31] Soares, F.C., Yamashita, F., Müller, C.M.O. and Pires, A.T.N., Thermoplastic starch/poly(lactic acid) sheets coated with cross-linked chitosan. Polym. Test., 32(1), pp. 94-98, 2013. DOI: 10.1016/j.polymertesting.2012.09.005 [DOI] 🠔
  32. [32] Dos Santos Caetano, K. et al., Characterization of active biodegradable films based on cassava starch and natural compounds. Food Packag. Shelf Life, 16, pp. 138-147, 2018. DOI: 10.1016/j.matdes.2015.12.083 [DOI] 🠔
  33. [33] Thakur, R. et al., Characterization of rice starch-ι-carrageenan biodegradable edible film. Effect of stearic acid on the film properties. Int. J. Biol. Macromol., 93, pp. 952-960, 2016. DOI: 10.1016/j.ijbiomac.2016.09.053 [DOI] 🠔
  34. [34] Schmidt, V.C.R., Porto, L.M., Laurindo, J.B. and Menegalli, F.C., Water vapor barrier and mechanical properties of starch films containing stearic acid. Ind. Crops Prod., 41(1), pp. 227-234, 2013. DOI: 10.1016/j.indcrop.2012.04.038 [DOI] 🠔
  35. [35] Pérez, R.A., Torres, A. y Candal, M.V., Efecto de las variables del proceso de extrusión sobre la relación estructura-propiedades de películas tubulares de PEBD. Rev. Iber. Polímeros, 14(5), pp. 257-274, 2013. 🠔
  36. [36] Yokawa, K., Kagenishi, T. and Baluška, F., Root photomorphogenesis in laboratory-maintained Arabidopsis seedlings. Trends Plant Sci., 18(3), pp. 117-119, 2013. DOI: 10.1016/j.tplants.2013.01.002 [DOI] 🠔
  37. [37] Maile, F.J., Pfaff, G. and Reynders, P., Effect pigments - Past, present, and future. Progress in Organic Coatings, 54(3), pp. 150-163, 2005. DOI: 10.1016/j.porgcoat.2005.07.003 [DOI] 🠔
  38. [38] Azahari, N.A., Othman, N. and Ismail, H., Biodegradation studies of polyvinyl alcohol/corn starch blend films in solid and solution media. J. Phys. Sci., 22(2), pp. 15-31, 2011. 🠔
  39. [39] Bergel, B.F., Dias-Osorio, S., Da Luz, L.M. and Santana, R.M.C., Effects of hydrophobized starches on thermoplastic starch foams made from potato starch. Carbohydr. Polym., 200(15), pp. 106-114, 2018. DOI: 10.1016/j.carbpol.2018.07.047 [DOI] 🠔
  40. [40] Budi-Santosa, F.X. and Padua, G.W., Tensile properties and water absorption of zein sheets plasticized with oleic acid and linoleic acid. J. Agric. Food Chem., 47(5), pp. 2070-2074, 1999. DOI: 10.1021/jf981154p [DOI] 🠔
  41. [41] Merchan, J.P., Ballesteros, D., Jimenez, I.C., Medina, J.A. y Álvarez, O., Estudio de la biodegradación aerobia de almidón termoplástico (TPS), Memorias del Congreso: X Iberoamericano de Metalurgia y Materiales (X IBEROMET). Cartagena, Colombia, 2008. Suplemento Rev. Latinoam. Metal. y Mater., S1(1), pp. 39-44, 2009. 🠔
she is the BSc. in Agroindustrial Engineer in 2014, from the Universidad del Cauca, Colombia. She is a member of the CYTBIA Research Group at the Universidad del Cauca, where she has mainly worked on research projects in the area of biodegradable materials derived from renewable sources. She is currently completing her Master’s degree in Agroindustrial Engineering in the Universidad Nacional de Colombia, sede Palmira. ORCID: 0000-0001-7247-7949
he is BSc. in Agroindustrial Engineer in 2014, from the Universidad del Cauca, Colombia. He is a member of the CYTBIA Research Group at Universidad del Cauca, where he has worked on research projects in the area of biodegradable materials derived from renewable sources. He is currently completing his Master’s degree in Food Engineering at Universidad del Valle, Colombia. ORCID: 0000-0001-6473-0756
he is BSc. in Agroindustrial Engineer in 1991, from the Universidad Gran Colombia. Sp. in the Area of Education and Administration in 1999, from the Universidad de Santander, Colombia. Lecturer at Universidad del Cauca in 1999. MSc. in Education from Pontificia Universidad Javeriana in 2003. Is Dr. in Engineering with Emphasis on Food in 2005, from the Universidad del Valle, Colombia. Vice-Chancellor for Research at Universidad del Cauca in 2017. His main lines of research are production, characterization, and development of bioplastics from biomolecules of agroindustrial interest and science and technology of biomolecules of agroindustrial interest. ORCID: 0000-0002-5557-3215
is PhD, in Anthropology and his MSc. in Linguistics, all of them from the University of Cauca, Colombia. Dr. in Anthropology from the University of Montreal, Canada. He is professor of different bachelor, master and doctorade programs. He is Antropos Research Group director. He has an extensive experience in environment sciences. ORCID: 0000-0002-5369-0848
is a BSc. in Agroindustrial Engineer in 2011, from the Universidad del Cauca, Colombia. Master's student in management for social innovation. Member of the CYTBIA research group of the same university where he has worked on research projects in the area of biodegradable materials, social appropriation of knowledge and social innovation. ORCID: 0000-0001-5788-6541
is BSc. in Agroindustrial Engineer in 2014, from the Universidad del Cauca, Colombia. Member of the CYTBIA research group of the same university. He has worked in biodegradable package development. He is currently a Master's in Organizations and Project Management at Universidad del Cauca. ORCID: 0000-0003-2900-880X
Parra-Campos, A, Albán-Bolaños, P, Villada-Castillo, H.S, Portela-Guarín, H, Palacios, L.M. and Arboleda-Muñoz, G.A, Evaluation of a biodegradable color concentrate in bags for coffee seedlings. DYNA, 87(212), pp. 31-37, January - March, 2020.