DYNA
0012-7353
Universidad Nacional de Colombia
https://doi.org/10.15446/dyna.v86n211.80375

Recibido: 12 de julio de 2019; Revision Received: 17 de julio de 2019; Aceptado: 2 de septiembre de 2019

Dynamics of physicochemical variables of the northern Colombian Caribbean coastal waters

Dinámica de variables fisicoquímicas de las aguas costeras del Caribe norte colombiano

J. Vega-Sequeda, a C. Polo-Silva, a A. Franco-Herrera, a J. Paramo-Granados, b A. Sanjuan-Muñoz, a

Grupo de Investigación Dinámica y Manejo de Ecosistemas Marinos Costeros (DIMARCO), Programa de Biología Marina, Facultad de Ciencias Naturales e Ingeniería, Universidad de Bogotá Jorge Tadeo Lozano, Santa Marta, Colombia. johannac.vegas@utadeo.edu.co, carlosj.polos@utadeo.edu.co, andres.franco@utadeo.edu.co, adolfo.sanjuan@utadeo.edu.co Universidad de Bogotá Jorge Tadeo Lozano Facultad de Ciencias Naturales e Ingeniería Universidad de Bogotá Jorge Tadeo Lozano Santa Marta Colombia
Grupo de Investigación Ciencia y Tecnología Pesquera Tropical (CITEPT). Universidad del Magdalena, Santa Marta, Colombia. jparamo@unimagdalena.edu.co Universidad del Magdalena Grupo de Investigación Ciencia y Tecnología Pesquera Tropical (CITEPT) Universidad del Magdalena Santa Marta Colombia

Abstract

This study explored oceanographic dynamics related to high productivity processes in the northern Colombian Caribbean. Four scientific expeditions were carried out between May and December 2018, where selected physicochemical variables were measured using a CTDO (conductivity, temperature and dissolved oxygen sensor system), and transparency with a Secchi disc. May and December showed typical upwelling waters, while August and November showed waters characteristic of the rainy season. Spatial dynamics were related to temperature and salinity. Thus, northeastern stations showed colder and saltier surface waters compared to those located to the southwest. Vertical readings were taken and the Caribbean Surface Water mass was identified, and below it the subtropical subsurface water mass, which emerges at the beginning of the year. The results suggest that upwelling and freshwater runoff have a direct impact on the hydrographic structure of the region.

Keywords:

upwelling, physicochemical variables, water masses, northern Colombian Caribbean.

Resumen

Se evaluó la dinámica oceanográfica relacionada con los procesos de alta productividad en el Caribe norte colombiano. Se realizaron cuatro cruceros científicos entre mayo y diciembre de 2018, en los que se midieron la temperatura, la salinidad y el oxígeno con una sonda CTDO y transparencia con un disco Secchi. Mayo y diciembre presentaron aguas típicas de afloramientos con menor intensidad, mientras que agosto y noviembre tuvieron aguas características de la época lluviosa. La dinámica espacial estuvo relacionada con la temperatura y la salinidad. Las estaciones del noreste presentaron aguas superficiales más frías y salinas, en relación con las localizadas hacia el suroeste. A nivel vertical, se identificó la masa de agua superficial del Caribe, y debajo la masa de agua subsuperficial subtropical que aflora a inicios de año. Los resultados sugieren que la surgencia y los aportes de agua dulce tienen un impacto directo sobre la estructura hidrográfica de la región.

Palabras clave:

surgencia, variables fisicoquímicas, masas de agua, Caribe norte colombiano.

1. Introduction

The northern Colombian Caribbean has one of the most productive ocean systems, where oceanographic and meteorological processes are key to the understanding of the functioning of marine communities [1,22,23].

This region is influenced by the upwelling event, in which masses of cold deep waters enriched with nutrients used by phytoplankton emerge, increasing the sea’s productivity [2] and sustaining fisheries [4,39]. This event is present and frequent off the La Guajira Peninsula and near the Tayrona National Park [10,16,20,29].

In socioeconomic terms, activities such as ports, industry (e.g., mining, oil, coal), tourism and fishing converge in this area. Actions associated with these operations such as construction, ballast water, coal particles and wastewater, among others, may have an impact on marine environmental conditions and the water quality of the region [7,11,24,30]. Therefore, the evaluation of the dynamics of physicochemical variables facilitates the control and monitoring of water quality, guarantying the continuity of natural resources and of all trophic dynamics [6,42]. Additionally, it provides important information for environmental emergency responses. The characteristics of oceanographic conditions in the northern Colombian Caribbean have been widely described [2,4,8,20,28,29,32,37,38] but few investigations have been carried out on a wide spatial scale. Also, most studies have focused solely on the department of Magdalena [5,7,21,22,23,25,30] and the information has not recently been updated. Information on the dynamics of the most important physicochemical variables within the northern Colombian Caribbean is presented to a maximum depth of 150 m.

2. Materials and methods

2.1. Study area

The northern Colombian Caribbean coast covers the departments of Magdalena and La Guajira, between the mouth of the Magdalena River (11° 06’ 44.0’’ N; 74° 50’ 27.5’’ W) and Punta Gallinas (12° 33’ 00.7’’ N; 72° 13’ 20.1’’ W). The department of Magdalena has a narrow continental shelf, with rocky coasts, due to the mountainous relief of the Sierra Nevada de Santa Marta. On the other hand, La Guajira has a wide continental shelf of between 8 and 17 km, where a sandy bottom predominates [2,9,17,18].

The climate of the region is seasonal, and determined by the north-south movement of the Intertropical Convergence Zone (ITCZ) and the presence of trade winds from the NE [10,21]. Two climatic periods have been defined: (i) the dry season (December-April), in which the trade winds from the NE have the greatest influence, there is a decrease in water temperature (20-25 °C) and an increase in salinity (36) and wave action; and (ii) the rainy season (May-November) when trade winds weaken, Panama’s counter current dominates, water is warmer (29 °C), rains are frequent and continental discharges increase, mainly from the Magdalena River and from the Ciénaga Grande de Santa Marta (CGSM) [3,9,19,21,34].

The upwelling event varies throughout the year along with the wind velocity; both increase during the dry season [3,34].

2.2. Sample collection

In 2018, four scientific voyages were undertaken (May, August, November and December) and samples were taken from the 17 stations located in the water column between the mouth of the Magdalena River and Manaure (La Guajira) (Fig. 1). Places near the coast (4 km) at a maximum depth of 50 m and those further from the coast (8-10 km) at a maximum depth of 150 m were evaluated. Due to the fact that a sailing permit was denied, in August only five stations (E2A-E6A) located in the department of Magdalena were evaluated. Considering the oceanographic characteristics of the Caribbean Sea described by Chollett et al. [12], the study area includes two regions: 1) The first (Region 1) has heterogeneous, murky waters with low salinity and direct influence of rivers and the CGSM, corresponding to the stations located from the mouth of the Magdalena River to Santa Marta Bay (E1-E6A), and 2) the second (Region 2) is influenced by upwelling events, so the average sea temperature is colder, corresponding to the stations located from Tayrona National Park to Manaure (E7-E21).

Location of sampling stations in research voyages conducted between May and December 2018. Region 1: E1-E6A. Region 2: E7-E21.

Figure 1: Location of sampling stations in research voyages conducted between May and December 2018. Region 1: E1-E6A. Region 2: E7-E21.

Source: Created by Shirly Bello-Escobar.

At each station, salinity, dissolved oxygen, dissolved oxygen saturation and sea temperature were measured at every meter of depth, using a CTDO EXO1 (YSI) probe from the surface down to 150 m or 1 m from the bottom when water was shallower. Water transparency was determined using a Secchi disk. The pH was measured with a WTW 3210 probe, but due to a device malfunction, the data for this variable was not considered.

2.3. Analysis of the information

Hydrographic profiles of the variables measured were constructed for each voyage, showing the behavior of the water column. For water transparency, the light extinction coefficient k was calculated with equation (1):

where d is the depth of the Secchi disk [40]. The lower the value, the greater the light penetration. The characterization of the water mass was carried out by calculating measures of central tendency (arithmetic mean) and measures of variability (standard error, maximum, minimum, coefficient of variation). The principal component analysis (PCA) was performed with the software PAST v. 3.25, prior to standardization of the variable data [13]. Due to the different depths of the stations, this analysis used the average of the data down to the depth recorded at all of the stations each voyage: May down to 21 m, August down to 55 m and November and December down to 7 m. For each voyage, TS curves were made with the information from the stations located at a depth of more than 80 m. To determine the climate in which each sample was taken, the study used rainfall information and the ambient temperature measured by the 2018 IDEAM report from its coastal stations located in the Magdalena and La Guajira departments.

3. Results

The hydrographic profiles of the variables measured with the CTDO probe (Fig. 2-5) were taken into account in order to establish, with greater certainty, the climate in which each sample was carried out. In this way, samples from May and December were taken in the dry season. Samples from November and August were taken in the rainy season.

Profiles of sea temperature depth (°C) down to a depth of 150 m on the four research voyages.

Figure 2: Profiles of sea temperature depth (°C) down to a depth of 150 m on the four research voyages.

Source: The Authors.

Salinity profiles down to a depth of 150 m on the four research voyages.

Figure 3: Salinity profiles down to a depth of 150 m on the four research voyages.

Source: The Authors.

Depth profiles of dissolved oxygen (mg / L) down to a depth of 150 m on the four research voyages.

Figure 4: Depth profiles of dissolved oxygen (mg / L) down to a depth of 150 m on the four research voyages.

Source: The Authors

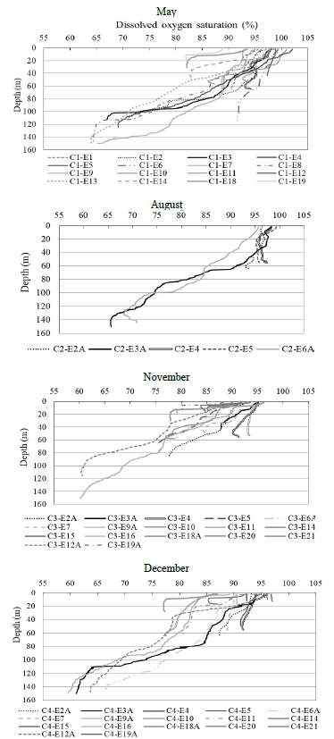
Depth profiles of the percentage of dissolved oxygen saturation (%) down to a depth of 150 m on the four research voyages.

Figure 5: Depth profiles of the percentage of dissolved oxygen saturation (%) down to a depth of 150 m on the four research voyages.

Source: The Authors

For the hydrographic profiles it is necessary to take into account that stations E15 and E18A, located in Region 2 in La Guajira, are the shallowest, with a depth of 7 and 10 m respectively. Table 1 summarizes the descriptive statistics of the variables evaluated by region during the study period. The temperature, dissolved oxygen and oxygen saturation values were higher on the surface and decreased slightly with depth. The salinity showed an opposite pattern, these values increased with depth until they reached a maximum between 50 and 100 m, and from there the gradient of salinity was reversed, decreasing slightly.

Table 1: Descriptive measurements by region of the physicochemical variables between May and December 2018 in the northern Colombian Caribbean.

Source: The Authors.

The temperature ranged between 18.9 and 28.5 °C, being colder during the dry season, especially in May. In general, in the water column the warmest layers were found in the first 40 m of depth and from 100 m down, colder waters below 22 °C (Fig. 2) were found. Spatially, Region 2 recorded the coldest surface waters, particularly between stations E16 and E21, whose values were lower than 26.1 °C. In Region 1 there was greater variability, with warmer surface waters in November.

Salinity varied between 34.8 and 38.2. In the first 10 m of depth the lowest values were recorded, particularly in Region 1, in August and November, with values between 34 and 36. Spatially, the values of surface salinity were lower in Region 1. In Region 2, the values were more stable (CV <0.5%) and were always higher than 36 (Fig. 3, Table 1).

The dissolved oxygen was between 4.4 and 6.6 mg / L. Below 80 m deep, the lowest values of oxygen concentration were found. Spatially, Region 2 registered the greatest dynamics of this variable over time (Table 1). In all voyages there were high saturation levels on the surface, with values ranging between 86.2 and 102.0%. The dynamics of this variable are similar to those observed for dissolved oxygen, in which subsatured waters predominated in both vertical and spatial distribution, except in May at stations E11 and E12 (Region 2) where supersaturated waters were detected (Figs. 4 and 5, Table 1).

The values of the light extinction coefficient k ranged from 0.04 m-1 in May (E2) to 0.97 m-1 in December (E11). The lowest values were recorded in the dry season and the highest in the rainy season (Fig. 6). In general, the stations closest to the river mouth such as E2A, E5, E10 and E11 registered higher values.

Light extinction coefficient (m-1) at each of the stations during the research voyages carried out between May and December 2018.

Figure 6: Light extinction coefficient (m-1) at each of the stations during the research voyages carried out between May and December 2018.

Source: The Authors.

All of the TS curves presented a high salinity of 37.5, located between 80 and 90 m deep, between the surface and intermediate water layers. Likewise, the curves showed the presence of two bodies of water (Fig. 7). The first was found to a depth of close to 60 m, with temperatures between 27 and 29 °C and salinity between 34.8 and 37.0. The second body of water had a temperature of between 21 and 24 °C and maximum salinity values of close to 37.6. Temporary changes were observed in the first body of water; in the rainy season lower salinity was measured in a layer approximately 10 m deep.

TS curves of the evaluations carried out between May and December 2018 at stations with a depth greater than 80 m. CSW: Caribbean Surface Water

Figure 7: TS curves of the evaluations carried out between May and December 2018 at stations with a depth greater than 80 m. CSW: Caribbean Surface Water

Source: The Authors.

According to the PCA, the first component (PC1) explained more than 48.4% of the variance, with temperature being the most characteristic variable in the first 20 m of depth, followed by salinity. In Fig. 8, station segregation of the first factor is seen, due to the variations in both variables. The stations were distributed into three broad groups, although this may change somewhat throughout the year according to the influence of upwelling and continental discharges: the first group was characterized by warmer waters, with temperatures higher than 26.9 °C, and were located closer to freshwater runoff; this applies to most of the stations in Region 1. The second group showed intermediate temperature and salinity values; stations from both regions were categorized in this group. The third group showed colder waters, with temperatures of less than 25.9 °C and with higher salinity (37.4). This group brought together stations located further east (Region 2) and further away from freshwater sources.

Main component analysis of the physicochemical variables. The X (Region 1) and circles (Region 2) show the distribution of the stations and the arrows show the vectors of the variables included in the analysis. Temp: temperature. Salt: salinity. OD: dissolved oxygen. k: light extinction coefficient. C1: May. C2: August. C3: November. C4: December.

Figure 8: Main component analysis of the physicochemical variables. The X (Region 1) and circles (Region 2) show the distribution of the stations and the arrows show the vectors of the variables included in the analysis. Temp: temperature. Salt: salinity. OD: dissolved oxygen. k: light extinction coefficient. C1: May. C2: August. C3: November. C4: December.

Source: The Authors.

4. Discussion

Oceanographic conditions in the northern Colombian Caribbean are associated with the wind regime and the movement of the ITCZ [4, 10, 21]. In general, it was evidenced that the dynamics and hydrographic structure of the region were linked to upwelling events in the dry season and to the greater fluvial runoff due to heavy rainfall in the rainy season.

May and December showed features of the dry season, in response to less intense upwelling reflected in lower surface temperatures, higher salinities, clearer waters and low rainfall, especially in Region 1. Also, August and November presented features of the rainy season, with warmer surface waters and more frequent and intense rainfall that lead to a greater supply of fresh water (Fig. 2-6). All recorded values were similar to those found in other studies for the dry and rainy season [4,7,8,21,25,30,34,38].

The dynamics of the variables in the hydrographic profiles showed the typical structure of the tropical oceans, measuring larger values on the surface and decreasing slightly with depth, except for salinity, which showed an opposite pattern [27,39]. This behavior demonstrates the effect of depth on physicochemical variables, especially on temperature and dissolved oxygen.

The upwelling in the dry season usually implies a lower concentration of dissolved oxygen [9,21,23]. Contrary to this, in the dry season, high oxygen saturation values were recorded on the surface (88.9-102.0%), coinciding with values of higher transparency (Figs. 4, 6). According to Mancera et al. [30], this could be associated with an incursion of oceanic waters that are rich in oxygen. Similarly, the action of the winds could have a positive effect on the dissolved oxygen saturation. However, it must be considered that the concentration of this gas depends on several factors such as temperature, salinity, oxidation activities, photosynthesis, respiration, decomposition of organic matter and winds [21,33,35].

The results of the PCA (Fig. 8), showed a general spatial sectorization, grouping the western, central and eastern stations of the northern Colombian Caribbean together, as all presented dynamics that were regulated by variations in temperature and salinity, with temperature being most relevant. Similar results were obtained by Mancera-Pineda et al. [30] in Santa Marta bay, where both variables explained more than 50% of the data behavior. According to Knaus [27], these two variables can vary locally depending on continental runoff, evaporation and precipitation. The western stations (Region 1) recorded the strongest surface variations, particularly salinity (34-36) and higher temperatures of above 27 °C. The sea off the coast of the department of Magdalena is influenced by the discharges of the Magdalena River and the CGSM [29]. Therefore, its fluctuation is due to the proximity of these rivers’ contributions, which are greater during the rainy season [3,9,21]. The stations located in the east which are further away from the river runoff, especially between E16 and E21 (Region 2), recorded the coldest surface waters, which may indicate that a permanent upwelling condition occurs in this area. This condition coincides with other studies [4,38] which mention that colder surface waters in La Guajira can persist throughout the year.

The central sector, which brings together stations from both regions, recorded intermediate temperature and salinity values, since they receive waters with features recorded at the eastern and western stations. They are also influenced by river discharges from some of smaller rivers such as Manzanares, Mendihuaca Don Diego and Buritaca in Magdalena, and the Jerez, Tapias, Palomino and Ranchería rivers in La Guajira, whose flow rates are less than 0.06 L / s [36].

According to the TS curves, stations with depths greater than 80 m are constituted of two water masses (Fig. 7). The characteristics of the first water mass, only for the August and November assessments, coincide with the Caribbean Surface Waters (CSW) that have temperatures between 27 and 30 °C and salinities between 34.5 and 36.0 [4,26,29,31,32,41]. These waters with high temperatures and low salinities are the result of the seasonal displacement of the ITCZ, ocean-atmosphere events and the contribution of river runoff in the rainy season [8,29,31].

However, in the dry season, a surface mass which is slightly colder (26-27 °C) and considerably more saline (36.4-37.0) than the CSW was observed, which may be associated with a major upwelling of subsurface water mixed with surface waters. This noticeable variation in salinity was also found by Beier et al. [8] and Correa-Ramírez et al. [14] in this area. It should also be considered that in the dry season, the northern Colombian Caribbean presents colder and more saline waters in relation to the rest of the Colombian basin [8]. These results demonstrate the high variability of surface water bodies.

The second water mass has low temperatures (21-24 °C) and the maximum subsurface salinity value (37.6), which corresponds to subtropical subsurface waters (SSW). These waters have a core of maximum salinity (> 37) and derive from the waters of the Central Tropical Atlantic, where evaporation exceeds precipitation [26,31]. This body of water emerges in the upwelling events in the northern Colombian Caribbean [15], at which time the exchange of nutrients and even organisms [29] takes place.

5. Conclusions

In the northern Colombian Caribbean, the water features of the May and December 2018 voyages coincided with the dry season and those of August and November 2018 with the rainy season. Spatially, a general sectorization of the waters regulated by variations in temperature and salinity was evident. Therefore, the dynamics of the stations located further west (Region 1) were linked to their proximity to river discharges, while the variations of the stations farther east of Region 2 were linked to upwelling, which is persistent throughout the year.

In the stations with depths greater than 80 m, the presence of two types of water mass was identified: the first corresponds to the Caribbean Surface Waters, but with the influence of the upwelling in the dry season; and the second to subtropical subsurface waters. The behavior of physicochemical variables shows the great influence that the upwelling and continental discharges have on the hydrographic structure of the region.

Acknowledgements

Acknowledgements

This research is part of a project titled “Productividad y calidad ambiental marina del Caribe norte colombiano como ejes para el desarrollo regional de los departamentos de La Guajira y el Magdalena: análisis a partir del acople de los componentes atmosférico, oceanográfico y biológico”, implemented by the research groups DIMARCO (Universidad Jorge Tadeo Lozano) and CITEPT (Universidad del Magdalena), supported by the governorates of Magdalena and La Guajira, and operated and supervised by COLCIENCIAS (Code: 120274859287, CT-075-2017, del Magdalena). The authors would especially like to thank Carlos Linero, for his collaboration in the operating of the CTDO and GPS, and also Margui Almario García, Nireth Sierra Sabalza, Shirly Bello Escobar, Luisa Díaz Vela, Leidy Hernández Rivera and Mayra Morales Gutiérrez, and the crews of the boats Yoyi and Nina Beatriz. Thank you to Pedro Orlando Lecompte (Universidad de Bogota Jorge Tadeo Lozano) for his valuable comments and editing services.

J. Paramo also thanks to COLCIENCIAS and the University of Magdalena, for the financial, technical and logistical support received through the project "Marine recreational fishing as alternative for the development of ecological and socioeconomic tourism in Santa Marta” code 074-2017.

References

  1. [1] Álvarez, F., Introducción a la ecología del mar, Fascículos de Ecología II, Mejoras, Colombia, 1981, 90 P. 🠔
  2. [2] Álvarez-León, R., Aguilera-Quiñónez, J., Yrade-Maya, C.A. y Nowak, P., Caracterización general de la zona de surgencia en La Guajira colombiana, Rev. Acad. Colomb. Cienc., 49(75), pp. 679-694, 1995. 🠔
  3. [3] Andrade, C.A. and Barton, E.D., The Guajira upwelling system, Cont. Shelf. Res., 25(9), pp. 1003-1022, 2005. DOI: 10.1016/j.csr.2004.12.012 [DOI] 🠔
  4. [4] Andrade, C.A., Oceanografía dinámica de la Cuenca de Colombia. Escuela Naval de Cadetes Almirante Padilla, Cartagena de Indias, 2015, 202 P. 🠔
  5. [5] Arévalo-Martínez D. y Franco-Herrera, A., Características oceanográficas de la surgencia frente a la ensenada de Gaira, departamento de Magdalena, época seca menor de 2006, Bol. Invest. Mar. Cost., 27(2), pp. 131-162, 2008. 🠔
  6. [6] Barrenechea, A., Aspectos fisicoquímicos de la calidad del agua. Tratamiento de agua para consumo humano. Plantas de filtración rápida. Manual I: Teoría, 1, pp. 2-56, 2004. 🠔
  7. [7] Bastidas, M., Ordóñez S. y Ricaurte, C., Eventos de intensificación y relajación del viento en la bahía de Santa Marta (Caribe colombiano): implicaciones oceanográficas, Bol. Invest. Mar. Cost., 45(2), pp. 181-196, 2016. DOI: 10.25268/bimc.invemar.2016.45.2.682 [DOI] 🠔
  8. [8] Beier, E., Bernal, G., Ruiz-Ochoa, M. y Barton, E., Freshwater exchanges y surface salinity in the Colombian basin, Caribbean Sea, PLoS ONE, 12(8), 2017, DOI: 10.1371/journal.pone.0182116 [DOI] 🠔
  9. [9] Blanco, J., Las variaciones ambientales estacionales en las aguas costeras y su importancia para la pesca de la región de Santa Marta, Caribe colombiano, Tesis de Maestría, Universidad Nacional de Colombia, Santa Marta, 1988, 62 P. 🠔
  10. [10] Bula-Meyer, G., Oceanografía, en: Jimeno, M.J. (Ed.), Caribe colombiano, Bogotá, Fondo FEN, Universidad Nacional de Colombia, 1990, pp. 100-114. 🠔
  11. [11] Cárdenas, S.C., Bedoya, J., Robledo, G.L. y Pareja, C.L., Guía ambiental transporte de carbón. Ministerio de Minas y Energía, Ministerio de Transporte, Ministerio de Ambiente, Vivienda y Desarrollo Territorial, Colombia, Editorial Marín Vieco Ltda, 2004, 103 P. 🠔
  12. [12] Chollett, I., Mumby, P., Müller-Karger F. y Hu, C. Physical environments of the Caribbean Sea, Limnol. Oceanogr., 57(4), pp. 1233-1244, 2012. DOI: 10.4319/10.2012.57.4.1233 [DOI] 🠔
  13. [13] Clarke, K.R., Gorley, R.N., Somerfield, P.J. and Warwick, R.M., Change in marine communities: an approach to statistical analysis and interpretation, 3rd ed., Plymouth, Primer-E Ltd, Reino Unido, 2014, 256 P. 🠔
  14. [14] Correa-Ramírez, M., Ramírez-Santana, A., Ricaurte-Villota, C. and Páramo, J., Water masses y mixing processes in the Southern Caribbean upwelling system off Colombia, Ocean. Sci. Discuss., 2019. DOI: 10.5194/os-2019-17 [DOI] 🠔
  15. [15] Corredor, J.E., Phytoplankton response to low level nutrient enrichment through upwelling in the Colombian Caribbean basin, Deep Sea Research Part A, 26, pp. 731-741, 1979. DOI: 10.1016/0198-0149(79)90010-4 [DOI] 🠔
  16. [16] Corredor, J.E., Apuntes sobre la circulación costera en el Caribe noroccidental colombiano, Bol. Cient. CIOH, 3, pp. 3-8, 1981. DOI: 10.26640/22159045.9 [DOI] 🠔
  17. [17] Cuignon, R., Estudio de la plataforma del Caribe colombiano. Fase Guajira. Bol. Cient. CIOH, 7, pp. 53-72, 1987. DOI: 10.26640/22159045.23 [DOI] 🠔
  18. [18] Díaz, J.M., Perfil ambiental del Caribe colombiano, ecosistemas litorales del Caribe colombiano, en Consejo Regional de Planificación de la Costa Atlántica (CORPES). Perfil ambiental del Caribe colombiano, Santa Marta, Documentos de Trabajo. Tomo No 1, 1991, pp. 1-34. 🠔
  19. [19] Díaz-Pulido, G. and Garzón-Ferreira, J., Seasonality in algal assemblages on upwelling-influenced coral reefs in the colombian Caribbean, Bot. Mar., 45, pp. 284-292, 2002. DOI: 10.1515/BOT.2002.028 [DOI] 🠔
  20. [20] Fajardo, G., Surgencia costera en las proximidades de la península colombiana de La Guajira, Bol. Cient. CIOH, 2, pp. 7-19, 1979. DOI: 10.26640/22159045.6 [DOI] 🠔
  21. [21] Franco-Herrera, A. Oceanografía de la ensenada de Gaira -El Rodadero-, más que un centro turístico en el Caribe colombiano, Santa Marta, Universidad de Bogotá Jorge Tadeo Lozano, 2005, 58 P. 🠔
  22. [22] Franco-Herrera, A., Castro, L. and Tigreros, P., Plankton dynamics in the south-central Caribbean sea: strong seasonal changes in a coastal tropical system, Caribbean J. Sci., 42(1), pp. 24-38, 2006. 🠔
  23. [23] Franco-Herrera, A., Torres, C.A., Sanjuan-Muñoz, A., García, L.M., Ramírez, S. y López, D.A., Variabilidad oceanográfica en la zona costera del departamento del Magdalena, Caribe colombiano: un sistema de alto valor trófico, en: Niño, L.M. y de León, J. (Ed.), Gestión ambiental de las zonas costeras, Cartagena de Indias, Universidad de Bogotá Jorge Tadeo Lozano, 2011, pp. 26-37. 🠔
  24. [24] Franco-Herrera, A., Grijalba-Bendeck, M., Ibañez, J. y Daza, J., Carbón, clima, playas y peces: el caso de la zona costera del departamento del Magdalena, Santa Marta, Universidad de Bogotá Jorge Tadeo Lozano , 2013, 176 P. 🠔
  25. [25] García-Hoyos, L., Franco-Herrera, A., Ramírez-Barón, J. y López-Cerón, D., Dinámica océano-atmósfera y su influencia en la biomasa fitoplanctónica, en la zona costera del departamento del Magdalena, Caribe colombiano, Bol. Invest. Mar. Cost., 39(2), pp. 307-335, 2010. DOI: 10.25268/bimc.invemar.2010.39.2.152 [DOI] 🠔
  26. [26] ; Hernández-Guerra, A. and Joyce, T.M., Water masses y circulation in the surface layers of the Caribbean at 66°W, Geophys. Res. Lett., 27(21), pp. 3497-3500, 2000. DOI: 10.1029/1999GL011230 [DOI] 🠔
  27. [27] Knauss, J.A., Introduction to Physical Oceanography, Nueva York, Prentice-Hall, 1978, 338 P. 🠔
  28. [28] Lonin, S.A., Hernández, J.L. and Palacios, D.M., Atmospheric events disrupting coastal upwelling in the south western Caribbean, J. Geophys. Res., 115, 2010. DOI: 10.1029/2008JC005100 [DOI] 🠔
  29. [29] Lozano-Duque, Y., Medellín-Mora, J. y Navas. G., Contexto climatológico y oceanográfico del mar Caribe colombiano, en INVEMAR. Biodiversidad del margen continental del Caribe colombiano, Santa Marta, Serie de Publicaciones Especiales, INVEMAR No. 20, 2010, pp. 53-84. 🠔
  30. [30] Mancera-Pineda, J.E., Pinto, G. y Vilardy, S., Patrones de distribución estacional de masas de agua en la bahía de Santa Marta, Caribe colombiano: importancia relativa del upwelling y outwelling, Bol. Invest. Mar. Cost., 42(2), pp. 329-360, 2013. DOI: 10.25268/bimc.invemar.2013.42.2.55 [DOI] 🠔
  31. [31] Morrison, J.M. and Nowlin, W.D., General distributions of water masses within the Eastern Caribbean Sea during the winter of 1972 y fall of 1973, J. Geophys. Res., 87(C6), pp. 4207-4229, 1982. DOI: 10.1029/JC087iC06p04207 [DOI] 🠔
  32. [32] Páramo, J., Correa, M. y Nuñez, S., Evidencias de desacople físico-biológico en el sistema de surgencia en La Guajira, Caribe colombiano, Rev. Biol. Mar. Oceanogr., 46(3), pp. 421-430, 2011. DOI: 10.4067/S0718-19572011000300011 [DOI] 🠔
  33. [33] Pond, S. and Pickard, G.L., Introductory dynamical oceanography, Oxford, Butterwotrh Heinemann, 1983, 329 P. DOI: 10.1016/B978-0-08-057054-9.50007-9 [DOI] 🠔
  34. [34] Ramírez, G., Características fisicoquímicas de la bahía de Santa Marta (agosto 1980-julio 1981), An. Inst. Inv. Mar. Punta Betín, 13, pp. 111-121, 1983. DOI: 10.25268/bimc.invemar.1983.13.0.485 [DOI] 🠔
  35. [35] Riley, J.P. y Chester, R., Introducción a la química marina, México, AGT editor, 1989, 459 P. 🠔
  36. [36] Rueda, M., Escobar, F., Gómez-León, J., Viloria, E., Viaña, J., Girón, A., Rodríguez, A., Arbeláez, N., Franco, J., Garcés, O., Bayona, M., Vivas- Aguas, L., Ríos-Mármol, M., Escobar, M., Mejía J. y Rojas, X., Causas y tensores del cambio en los ecosistemas marinos y costeros y sus servicios: indicadores de presión, en INVEMAR. Informe del estado de los ambientes y recursos marinos y costeros en Colombia, 2016, Santa Marta, Serie de Publicaciones Periódicas No. 3, 2017, pp. 70-131. 🠔
  37. [37] Ruiz-Ochoa, M., Beier, E., Bernal G. and Barton, E.D., Sea surface temperature variability in the Colombian Basin, Caribbean Sea. Deep-Sea research Part I: Oceanographic Research Papers, 64, pp. 43-53, 2012. DOI: 10.1016/j.dsr.2012.01.013 [DOI] 🠔
  38. [38] Sarmiento-Devia, R., López-Escobar, A., Mejías, M., Dávila P. y Franco-Herrera, A., Variabilidad intra-anual del régimen climático en regiones de surgencia en el sudeste del Mar Caribe, usando ERA Interim, Revista de Biología Marina y Oceanografía, 48(3), pp. 471-485, 2013. DOI: 10.4067/S0718-19572013000300006 [DOI] 🠔
  39. [39] Stewart, R., Introduction to physical oceanography, EE.UU, Texas A&M University, 2008, 345 P. 🠔
  40. [40] Tait, R.V., Elementos de ecología marina, Acribia Ed., Zaragoza, España, 1987, 44 P. 🠔
  41. [41] Urbano, J., Masas de agua en el Caribe colombiano, Bol. Cient. CIOH, 14, pp. 3-30, 1993. DOI: 10.26640/22159045.58 [DOI] 🠔
  42. [42] Zapata, P., Londoño, C., González, C., Idárraga, J. y Poveda, A., Metodología general para la presentación de estudios ambientales, Bogotá, D.C., Ministerio de Ambiente, Vivienda y Desarrollo Territorial, Colombia. 2010, 72 P. 🠔
received the MSc. in Biology Sciences, Marine Biology Line from the Universidad Nacional de Colombia, Sede Caribe. Is assitant researcher of the Universidad Jorge Tadeo Lozano, Santa Marta, Colombia. ORCID: 0000-0003-2507-8560
received the PhD. in Marine Sciences and Limnology from the Universidad Nacional Autónoma de México. Currently, is a full-time professor of the Universidad Jorge Tadeo Lozano, Santa Marta, Colombia. ORCID: 0000-0001-5541-8226
received the PhD. in Oceanography from the Universidad de Concepción, Chile. He is director of the Biological and Environmental Sciences Department in the Universidad Jorge Tadeo Lozano, Colombia. ORCID: 0000-0002-9809-8151
received the PhD. in Marine Ecology from the Bremen University, Germany. Currently, is a full-time professor of the Universidad del Magdalena, Colombia. ORCID: 0000-0002-8380-2716
received the MSc. in Environmental Management in Coastal Areas from the Pontificia Universidad Javeriana en Colombia, and MSc. degree in Animal Biodiversity from the Universidad de Barcelona, Spain. Currently, is a full-time professor of the Universidad Jorge Tadeo Lozano, Santa Marta, Colombia. ORCID: 0000-0002-4786-862X
Vega-Sequeda, J, Polo-Silva, C.J, Franco-Herrera, A, Páramo-Granados J. and Sanjuan-Muñoz, A, Dynamics of physicochemical variables of the northern Colombian Caribbean coastal waters. DYNA, 86(211), pp. 17-25, October - December, 2019.