DYNA
0012-7353
2346-2183
Universidad Nacional de Colombia
https://doi.org/10.15446/dyna.v87n215.83688

Recibido: 23 de noviembre de 2019; Revision Received: 17 de julio de 2020; Aceptado: 3 de agosto de 2020

Chemical characteristics and identification of PM10 sources in two districts of Lima, Peru

Caracterización química e identificación de fuentes PM10 en dos distritos de Lima, Perú

G. Ilizarbe-Gonzáles, a J. Rojas-Quincho, b R. Cabello-Torres, a C. Ugarte-Alvan, a P. Reynoso-Quispe, c L. Valdiviezo-Gonzales, a

Escuela profesional de Ingeniería Ambiental, Universidad César Vallejo, San Juan de Lurigancho-Lima, Perú. ilizarbego@gmail.com, rcabello@ucv.edu.pe, cugartea@ucv.edu.pe, lvaldiviezo@ucv.edu.pe Universidad César Vallejo Universidad César Vallejo Lima Peru
Servicio Nacional de Meteorología e Hidrología del Perú, Lima, Perú. jprojas@senamhi.gob.pe Servicio Nacional de Meteorología e Hidrología del Perú Lima Perú
Universidad de Ingeniería y Tecnología, Lima, Perú. preynoso14@gmail.com Universidad Ingeniería & Tecnología Universidad de Ingeniería y Tecnología Lima Peru

Abstract

This study evaluates the concentration of PM10 and PM2.5 andidentifies the sources of pollution in the districts of San Juan de Lurigancho (SJL) and Puente Piedra (PPD) located in the eastern and northern zones of the Metropolitan area of Lima,Peru. The samples were collected between April and May 2017 by the National Meteorology and Hydrology Service of Peru (SENAMHI). The concentrations of PM10 and PM2.5, measured using gravimetric techniques, exceeded the international (WHO) and national reference values; with maximum values for PM10 and PM2.5 of 160 and 121.56 µg/ m3 in PPD and 295.06 and 154.58 µg/ m3 in SJL respectively. Pollution sources were identified using the Positive Matrix Factorization Model (PMF 5.0) and Principal Component Analysis (PCA), and showed similar sources for both districts. In SJL, sources were determined to be a combination of vehicular traffic and the resuspension of soil dust, marine aerosols and iron and steel industry by-products, while in PPD they consisted of the resuspension of soil dust, vehicular traffic, industrial activity and marine aerosols.

Keywords:

air quality, chemical species, identification of source, PMF, PCA.

Resumen

El presente estudio evalúa la concentración de PM10 y PM2.5 e identifica las fuentes contaminantes en los distritos de San Juan de Lurigancho (SJL) y Puente Piedra (PPD), ubicados en la zona este y norte del área metropolitana de Lima, en Perú. Las muestras fueron colectadas por el servicio nacional de Meteorología e Hidrología del Perú en abril a mayo del 2017. La concentración de PM10 y PM2.5, registradas a través de técnicas gravimétricas, excedieron el estándar internacional (OMS) y nacional; encontrándose valores máximos para PM10 y PM2.5 de 160 y 121.56 µg/ m3 en PPD y 295.06 y 154.58 µg/ m3 en SJL. La identificación de fuentes contaminantes para PM10 y PM2.5, obtenidas mediante el Modelo de Factorización de Matriz Positiva (PMF v. 5.0) y análisis por componentes principales (ACP), mostraron fuentes similares para ambos. En SJL se determinó la combinación de tráfico vehicular + resuspensión de polvo de suelo, aerosol marino e industria de hierro y acero; mientras que, en PPD se logró identificar la resuspensión de polvo del suelo, fuente vehicular, actividad industrial y aerosol marino.

Palabras clave:

calidad del aire, especies químicas, identificación de fuentes, FMP, ACP.

1. Introduction

Atmospheric aerosols represent a major global concern, mainly due to their effects on atmospheric chemistry, hydrological cycles, climate, and public health [1,2]. In 2016, according to the World Health Organization (WHO, air pollution caused the deaths of 4.2 million people worldwide, with children being especially vulnerable [3,4].

The Metropolitan area of Lima (which includes the contiguous port city of Callao) is considered one of the 10 most polluted urban areas in the world, with a relative risk of cardiopulmonary death for its inhabitants calculated at 1.25. In addition, the excessive level of PM2.5 causes approximately 2,300 premature deaths annually [5].

Particulate matter (PM) is a mixture of organic and inorganic compounds of non-specific chemical composition [6], PM10 (particles with aerodynamic diameter ≤ 10 μm), can enter the human body through the respiratory tract and consequently have adverse effects on health. PM2.5 (particles with aerodynamic diameter ≤ 2.5 μm) can become lodged in the pulmonary alveoli, cross the pulmonary barrier and enter the blood system, leading to cardiovascular and respiratory diseases as well as lung cancer [7-9]. Currently, the WHO’s air quality guidelines set a threshold for particulate matter of 50 μg m-3 for PM10 and 25 μg m-3 for PM2.5 [3]. Peruvian air quality standards (ECA), however, state maximum values for PM10 and PM2.5 of 100 μg m-3 and 50 μg m-3 24-hour mean [10].

Numerous sources of air pollution have been identified in Lima and Callao, among them vehicular traffic, the industrial sector, gas stations and restaurants. These sources are associated with SO2, NO2, PM2.5 and PM10 emissions [11]. In addition, the prevailing anticyclonic weather conditions throughout the year, and Lima’s abrupt topography, give rise to a temperature inversion layer over the city, resulting in stable atmospheric conditions [12], that do little to disperse pollutants.

Fig. 1 shows the Lima and Callao monitoring network, which includes: San Juan de Lurigancho (SJL), San Borja (SBJ), Villa Maria del Triunfo (VMT), Jesús María (campo de marte, CDM), San Martín de Porres (SMP), Carabayllo (CRB) Puente Piedra (PPD), Huachipa (HCH) Santa Anita (STA), and Ate (ATE) districts.

Air quality monitoring stations, Lima and Callao.

Figure 1: Air quality monitoring stations, Lima and Callao.

Source: The authors

Table 1, shows monthly historical information (2015-2018) of PM10 and PM2.5 for both districts [13]. The reported concentrations of PM10 and PM2.5 have consistently exceeded the WHO reference values of 25 µg/m3 for PM2.5 and 50 µg/m3 for PM10 [3].

Table 1: Historical monitoring report for PM10 and PM2.5, (µg m-3), for the SJL and PPD stations.

Source: The Authors.

In 2017, the Universidad César Vallejo (SJL campus) collaborated with the air quality-monitoring program developed by the National Meteorology and Hydrology Service of Peru (SENAMHI), in order to evaluate PM10 and PM2.5 particulate matter for both districts, as well as to identify the principal pollution sources.

The need to combat exposure to polluted air and thus reduce impact on the health of inhabitants requires the sources or activities that contribute to high levels of pollution to be identified. It is in this regard that this study aims to evaluate the chemical composition of atmospheric aerosols PM10 and PM2.5, and then identify the main sources of PM10 pollution, using information collected by SENAMHI air quality stations in both districts. The research employed EPA PMF 5.0 (Positive Matrix Factorization) Software and the Principal Component Analysis statistical procedure (PCA), using SPSS v. 25 software.

2. Material and methods

2.1. Area of study

In 2018 Lima and Callao had 9,320,000 inhabitants, representing 41.2% of Peru’s urban population. SJL is the most populated district in Peru, with 1,100,000 inhabitants, while PPD district, with 383,000 inhabitants, is representative of the population in the north of the city [14]. The PPD air quality monitoring station is located Lat. 11º 51`47.71” S Long. 77º 4`26.88” W Alt. and 180 m a.s.l. while SJL station located at Lat. 11º 58`53.89” S Long. 76º 59`57.29” W Alt. 240 m a.s.l. [15].

2.2. Data collection and analysis

2.2.1. Sampling

SENAMHI set up its sampling procedures according to WHO guidelines, using four low-volume Thermo Scientific Partisol™ 2000i Air Samplers (two per district, one for each particulate matter size) installed in the PPD and SJL stations. Pre-calibrated, this equipment permitted 24-hour continuous sampling for 25 consecutive days during the period April-May 2017. The sample was collected in 37.5 mm diameter quartz and Teflon filters. The filters were changed according to the following SENAMHI schedule: Teflon filters 09:00 am - 08:00 am and quartz filters 09:00 am - 1:00 pm and 5:00 pm - 10:00 pm.

The reduced times for the quartz filter ensured that the sample did not become saturated, thus making physical analysis easier. The volumetric air sampling was carried out at 25° C and 1 atmosphere.

2.2.2. Data analysis

The concentration of particulate matter, expressed in μg m-3, was obtained by dividing the net mass of the sample, m (µg) by the volumetric flow rate of the sampler, Q (m3 h-1) and time, t (h). It is given by the equation (1).

The samples were chemically analyzed using inductively coupled plasma mass spectrometry (ICP-MS) and the data generated subsequently analyzed using the freely available Software PMF 5.0, approved by the Environmental Protection Agency (EPA), in order to identify the type of polluting source and the contribution of each. Note that, due to the number of samples obtained in this study, the identification of sources using PMF and principal components analysis (PCA) was carried out only for PM10.

The PMF receptor model is a statistical tool developed by Paatero in 1997 and is extensively used to determine source contributions in the composition of measurements taken from pollutants by establishing a relationship between each source and the samples obtained over a period of time [16,17]. In the PMF receptor model, the data set is represented as a matrix X of i by j dimensions, where:

Xij is the concentration of the j th chemical species measured in sample I; f kj s the concentration of the j th chemical species from source factor k; g ik is the relative contribution of the k th source factor in sample I; and e ij is the PMF receptor model error for the j th chemical species measured in sample i.

A chemical mass balance analysis must be applied to receptor models in order to solve eq. (2) for the given chemical species and the source factors:

The models available to solve this equation are EPA-CMB, EPA-Unmix and EPA-PMF [18]; the PMF model has become a frequently used tool in recent years, with more than 1,000 papers reporting this application [2,19-26].

Equation (3) was used to calculate uncertainty [21]:

Where DLij is the lower limit of detection of the j chemical species in sample i.

In addition, the use of PCA has been reported, for source identification probably due to the ease of application in many statistical software [21-25,27]. Thus, in this study the results obtained using PMF were corroborated by PCA.

3. Results and discussion

3.1. Concentration of PM10 y PM 2.5

According to Figs. 2a and 2c, the highest concentration of PM10 was observed in PPD, with an average of 150.9 µg m-3 compared to the highest value (110.08 µg m-3) recorded in SJL. Considering average values, both districts exceeded the national (100 µg m-3) and international thresholds (WHO, 50 µg m-3) for 24 hours means. Figs. 2b and 2d show the concentrations of PM 2.5. The values obtained are very similar for both districts and are on average lower than the national standard (50 µg m-3), though higher than the WHO threshold (25 µg m-3) [3,10]. Thus, the high concentrations reported have their origin in the different sources identified later in this study, intensified by local meteorological conditions that retard the dispersion of pollutants and promote their transport to the east and north of the city. SENAMHI reported that in the Southern Hemisphere summer and autumn months (February, March and April) the base of the inversion layer is at its lowest, causing the concentrations of particulate contaminants to reach their highest levels within the annual cycle [28].

PM10 Concentrations in the PPD (a, b) and SJL (c, d) districts.

Figure 2: PM10 Concentrations in the PPD (a, b) and SJL (c, d) districts.

Source: The Authors.

3.2. Wind roses

Fig. 3 shows some of the automatic stations belonging to the SENAMHI observational network as well as the wind roses based on two months of hourly wind data (April-May 2017). It may be observed that the predominant winds blow towards the north, the northeast and the east.

SENAMHI Monitoring Network, wind roses for April-May 2017. D, N= daytime and night.

Figure 3: SENAMHI Monitoring Network, wind roses for April-May 2017. D, N= daytime and night.

Source: The Authors.

Therefore, the pollution generated in downtown Lima is transported to the district of SJL to the East. Similarly, pollutants generated in the south of the city are transported to the north, where PPD is located, contributing to increasing the PM10 and PM2.5 values observed in this study.

3.3. Chemical composition of particulate matter and Identification of sources

Table 2 shows the chemical composition of PM10 and PM2.5 in both districts and compares them with national and international thresholds. In the case of PM10 in SJL, the highest concentrations of metals expressed in µg/m-3 were obtained for calcium (Ca), sodium (Na), iron (Fe), silicon (Si) and aluminum (Al) with values of 3.63, 3.07, 2.19, 1.92 and 1.09 µg m-3 respectively, while magnesium (Mg), manganese (Mn), potassium (K) and zinc (Zn) were found in lower concentrations.

Table 2: Comparison of chemical species concentration ECA-Peru; United States; OMS-Europe.

Source: The Authors.

The chemical composition of PM10 particulate material in PPD showed slightly higher compositions of Ca, Na, Si, Al and Mg and lower concentrations of Fe; the presence of Zn with 0.21 and lead (Pb) with 0.16 µg m-3 should be noted.

Regarding the chemical composition of PM2.5 in both districts, the presence of Ca, Fe, K, Na and Zn is evident, while in PPD lead concentrations of 0.11 µg m-3, stand out.

A comparison of the concentration of metals with the international standards shows that in SJL, for PM2.5, the concentration of arsenic (As) and nickel (Ni) surpass the WHO thresholds for Europe [28-30].

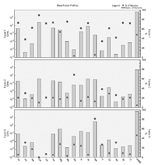
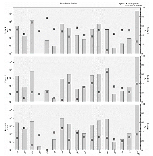
In terms of source identification, in order to obtain the optimal number of sources for PM10, between four and six factors were evaluated, using the FMP model and basing the analysis on the most reasonable results. Three factors were chosen for each district.

The sources identified in PPD were: the resuspension of soil dust + tire wear associated with vehicular traffic (factor 1), vehicular + industrial activity (factor 2) and marine aeroso (factor 3). The factors for the SJL district for PM10 were: brake and tire wear (vehicular traffic) sea salt and anthropogenic emissions + industrial activity (iron and steel industry). Similar results were found using PCA. The factors and groups for the PPD and SJL districts are shown in Figs. 3 and 4, while the elements found and the emission sources for each district are presented in Tables 3 and 4.

Table 3: Rotated component matrix for PM10 in PPD

Note. 'varimax' rotation was used, KMO= 0.667.

Source: The Authors,

Table 4: Rotated component matrix for PM10 in SJL

Note. 'varimax' rotation was used, KMO= 0.518.

Source: The Authors.

Below is an analysis of the main sources identified.

3.3.1. Vehicular traffic

According to Figs. 4 and 5 (factors 1 and 2), for both of the districts evaluated, the presence of a representative factor linked to brake and tire wear (vehicular traffic) is evident. In Fig. 4, and factor 2, Zn and Pb are observed, both related to vehicular traffic. The presence of Pb, cadmium (Cd), Zn, copper (Cu), Ni, vanadium (V) and antimony (Sb), has been reported as the principal elements associated with the burning of fossil fuels [31].

Source factors for PM10 in the PPD district.

Figure 4: Source factors for PM10 in the PPD district.

Source: The Authors.

Source factors for PM10 in the SJL district.

Figure 5: Source factors for PM10 in the SJL district.

Source: The Authors.

In addition, vehicular emissions are correlated with the presence of elements such as Fe, barium (Ba), and Si, specifically associated with brake and tire wear [32]; other studies also consider the presence of Zn, Ba, Sb, Cu and Fe to be linked to brake and tire wear. The presence of V is associated with petroleum combustion and Ca and Mn with additives added to fuel, mainly diesel [33]. Emissions from diesel vehicles are the main cause of the high levels of particulate matter in urban areas [34,35].

In the same way, in SJL (Fig. 5 and factor 1), Cu (80%), Mn (60%) and Pb (43%) are also associated with brake and vehicular traffic (tire wear).

Vehicular traffic contributes 21% of PM10 air pollution and 16 % of PM2.5 pollution [25].

The effect of vehicular traffic emissions on healthy humans is strongly correlated with pulmonary inflammation, resulting from short-term acute exposure to diesel exhaust [36], and with increases in the occurrence of bronchitis and childhood asthma in locations near to main roads [37].

Metropolitan Lima has more vehicles circulating on its roads than any other region of the country [38], with the average age of public transport vehicles being 22.5 years compared to 15.5 years for private vehicles [39]. According to the Peruvian National Institute of Statistics and Informatics, the vehicle fleet in the country has, on average, grown 7% per year since 2012, reaching 2,462,321 vehicles circulating in Lima in 2017 [40].

The PCA permitted the authors to corroborate the presence of such sources for PM10, as shown in Tables 3 and 4.

3.3.2. Mineral factor

For both districts, characteristic elements of soil resuspension or mineral factor were found for factor 1 (see Figs. 4 and 5). In PPD the presence of Al, Ca, Si, Fe and K was observed; while in SJL, Al, Si and Ca were found. It has been reported that high concentrations of Al, Si, Ca, Ti and Fe are soil characteristics [41].

The mineral factor is characterized by the contribution of Ca, Zn, K, Mg, Fe and Mn, with a high correlation of these elements and compounds with PM10 levels [42]. The construction and soil resuspension sectors contribute more than 20% to PM10 air pollution [32] and 4.4 % to PM2.5 pollution [35]. Other studies reported that soil dust is the main component of particulate matter, contributing 54% in air pollution. In addition, most of the metallic elements measured in particles depend on seasonal variations of the place; the contribution of this factor is also associated with paved and unpaved areas, so greater contributions are expected in times when there is very little rain [25,43,44,].

3.3.3. Marine aerosols

Fig. 4, factor 3 (for the PPD district), shows Na and traces of Mg and K, characteristic elements of a natural source, demonstrating that marine aerosols contribute to the presence of PM10. Similarly, Na, Mg and K were found in PM10 in SJL. The results are similar to those reported by Satsangi et al. (2014) [45]; where the contribution of marine components such as Na, K, Cl and Mg was dominant in both sizes of particulate matter, with 58% for PM10 and 49% for PM2.5. Other studies report contributions of 7% to PM10 and 6% to PM2.5 pollution [25]. When considering wind direction during the months of April and May (Fig. 3) the predominance of winds towards the east and north is observed. This explains the presence of sea salts in SJL and PPD. These results demonstrate the transport of particulate matter from the south and west to the north and east of Lima.

3.3.4. Industrial factors

Fig. 4, factor 1, in PPD, illustrates a clear presence of factors characteristic of industry, the predominant chemical elements for PM10 being Zn and Fe. Furthermore, in Fig. 5 (factor 3), corresponding to SJL, the presence of Fe, Zn and Ba in PM10 is clear. These are indicators of industrial activity, and in particular of metal smelting. However, for other authors, heavy metals such as As, Cd, Pb, Cu, As and Zn are are more frequently attributed to this factor [25, 46].

During the smelting process, the emission of PM in the form of powder, metallic materials and metal oxide fumes varies depending on the type of furnace and fuel used, the metal to be smelted, and melting properties [46]. The contribution of this source is consistent with the numerous informal foundries that operate in both districts.

4. Conclusion

PM10 and PM2.5 particulate matter pollution was verified in the districts of PPD and SJL. In the case of PM2.5, there is an increase in particulate matter values in a discrete but permanent manner, with PPD being the district with the highest aerosol reception, due to the geomorphology of the area and the direction of the winds that concentrate these pollutants in the district. Likewise, the analysis of the chemical composition, using PFM and PCA, allowed the main pollutant sources to be identified, vehicular traffic, resuspension of soil dust, industrial activity and marine salts being the main sources for both districts.

References

  1. [1] Bhuyan, P., Deka, P., Prakash, A., Balachandran, S. and Hoque, R.R., Chemical characterization and source apportionment of aerosol over mid Brahmaputra Valley, India. Environmental Pollution, (234), pp. 997-1010, 2018. DOI: 10.1016/j.envpol.2017.12.009 [DOI] 🠔
  2. [2] Alleman, L.Y., Lamaison, L., Perdrix, E., Robache, A. and Galloo, J.C., PM10 metal concentrations and source identification using positive matrix factorization and wind sectoring in a French industrial zone. Atmospheric Research, 96(4), pp. 612-625, 2010. DOI: 10.1016/j.atmosres.2010.02.008 [DOI] 🠔
  3. [3] Organización Mundial de la Salud (OMS)., Calidad del aire ambiente (exterior) y salud. 2018a [Online]. [date of reference Octuber 20th of 2019]. Available at: Available at: https://www.who.int/es/news-room/fact-sheets/detail/ambient-(outdoor)-air-quality-and-health#.Xa3WxFFqdl0.link [URL] 🠔
  4. [4] Organización Mundial de la Salud (OMS)., Contaminación atmosférica y salud infantil: prescribir aire limpio. Resumen. Ginebra: 2018b (WHO/CED/ PHE/18.01). Licencia: CC BY-NC-SA 3.0 IGO [Online]. [date of reference Octuber 28th of 2019] Available at: Available at: https://apps.who.int/iris/bitstream/handle/10665/275548/WHO-CED-PHE-18.01-spa.pdf?ua=1 [URL] 🠔
  5. [5] Gonzales, G. and Steenland K., La salud ambiental en el Perú. Revista Peruana de Medicina Experimental y Salud Pública, 31(2), pp.393-401, 2014. DOI: 10.17843/rpmesp.2014.312.71 [DOI] 🠔
  6. [6] Reiss, R., Anderson, E.L., Cross, C.E., Hidy, G., Hoel, D., McClellan, R. and Moolgavkar, S., Evidence of health impacts of sulfate-and nitrate-containing particles in ambient air. Inhalation Toxicology. 19(5), pp. 419-449, 2007. DOI: 10.1080/08958370601174941 [DOI] 🠔
  7. [7] Stanek, L.W., Brown, J.S., Stanek, J., Gift, J. and Costa, D.L., Air pollution toxicology-a brief review of the role of the science in shaping the current understanding of air pollution health risks. Toxicological Sciences 120(1), pp. S8-S27, 2010. DOI: 10.1093/toxsci/kfq367 [DOI] 🠔
  8. [8] Valavanidis, A., Vlachogianni, T., Fiotakis, K. and Loridas, S., Pulmonary oxidative stress, inflammation and cancer: respirable particulate matter, fibrous dusts and ozone as major causes of lung carcinogenesis through reactive oxygen species mechanisms. International Journal of Environmental Research and Public Health. 10(9), pp. 3886-3907, 2013. DOI: 10.3390/ijerph10093886 [DOI] 🠔
  9. [9] Ruzer, L and Harley, N., Health effects of aerosols: mechanism and epidemiology in aerosols Handbook, second Ed., Press. Taylor & Francis Group, Charper 23, 2013, 565 P. 🠔
  10. [10] Ministerio de Ambiente (MINAM)., Aprueban Estándares de Calidad Ambiental (ECA) para Aire y establecen disposiciones complementarias. Normas legales. 2017 [Online]. [Consulta, 28 de Diciembre 2018]. Available at: Available at: http://www.minam.gob.pe/wp-content/uploads/2017/06/DS-003-2017-MINAM.pdf [URL] 🠔
  11. [11] Ministerio de Ambiente (MINAM)., Informe nacional de calidad del aire 2013-2014. 2014. [Online]. [Consulta, 20 de Diciembre 2018]. Available at: Available at: http://www.minam.gob.pe/calidadambiental/wp-content/uploads/sites/22/2014/07/Informe-Nacional-de-Calidad-del-Aire-2013-2014.pdf [URL] 🠔
  12. [12] Silva, J., Rojas, J.S., Norabuena, M., Molina, C., Toro, R.O. and Leiva, G.M., Particulate matter levels in a South American megacity: the metropolitan area of Lima-Callao, Peru. Environmental Monitoring and Assessment, 189, art. 635, 2017. DOI: 10.1007/s10661-017-6327-2 [DOI] 🠔
  13. [13] Instituto Nacional de Estadística e Informática de Peru. (INEI) Estadisticas ambientales. 2018. [Online]. [date of reference November 21th of 2019] Available at: Available at: https://www.inei.gob.pe/biblioteca-virtual/boletines/estadisticas-ambientales/1/ [URL] 🠔
  14. [14] Instituto Nacional de Estadística e Informática (INEI). Lima alberga 9 millones 320 mil habitantes al 2018. 2018. [en línea]. [consultado en: Noviembre 29 de 2019]. Disponible en: Disponible en: https://www.inei.gob.pe/prensa/noticias/lima-alberga-9-millones-320-mil-habitantes-al-2018-10521/ [URL] 🠔
  15. [15] Sánchez, C.O.R. y Ordoñez, A.C.C., Evaluación de la calidad en Lima Metropolitana 2015. [en línea]. [consultado en: noviembre 27 de 2019] Disponible en: Disponible en: https://www.senamhi.gob.pe/load/file/01403SENA-7.pdf [URL] 🠔
  16. [16] Paatero, P., Least squares formulation of robust non-negative factor analysis. Chemometrics and Intelligent Laboratory Systems. 37(1), pp. 23-35, 1997. DOI: 10.1016/S0169-7439(96)00044-5 [DOI] 🠔
  17. [17] Paatero, P., The multilinear engine-A table-driven, least squares program for solving multilinear problems, including the n-Way parallel factor analysis mode. Journal of Computational and Graphical Statistics. 8(4), pp. 854-888, 1999. DOI: 10.1080/10618600.1999.10474853 [DOI] 🠔
  18. [18] United States Environmental Protection Agency (EPA). EPA Positive Matrix Factorization (PMF) 5.0 Fundamentals and User Guide, 2014. [en línea]. [date of reference May 20th of 2019]. Available at: Available at: https://www.epa.gov/sites/production/files/2015-02/documents/pmf_5.0_user_guide.pdf , (accessed November 20, 2018). [URL] 🠔
  19. [19] Hopke, P.K., Review of receptor modeling methods for source apportionment. Journal of the Air & Waste Management Association, 66(3), pp. 237-259, 2016. DOI: 10.1080/10962247.2016.1140693 [DOI] 🠔
  20. [20] Pandolfi, M., Gonzalez-Castanedo, Y., Alastuey, A. et al., Source apportionment of PM10 and PM2.5 at multiple sites in the strait of Gibraltar by PMF: impact of shipping emissions. Environmental Science and Pollution Research. 18(2), pp. 260-269, 2011. DOI: 10.1007/s11356-010-0373-4 [DOI] 🠔
  21. [21] Ito, K., Xue, N. and Thurstona, G., Spatial variation of PM2.5 chemical species and source-apportioned mass concentrations in New York City. Atmospheric Environment, 38(31), pp 5269-5282, 2004. DOI: 10.1016/j.atmosenv.2004.02.063 [DOI] 🠔
  22. [22] Camero, S., Source identification of environmental pollutants using chemical analysis and Positive Matrix Factorization. PhD dissertation. Facoltà di Scienze Matematiche, Fisiche e Naturali Dipartimento di Scienze della Terra “Ardito Desio”, Milan University, Milan, Italy, 2011. 🠔
  23. [23] Zhang, H., Cheng, S., Li, H., Fu, K. and Xu, Y., Groundwater pollution source identification and apportionment using PMF and PCA-APCA-MLR receptor models in a typical mixed land-use area in Southwestern China. Science of the total environment, 741, 2020, 140383. DOI: 10.1016/j.scitotenv.2020.140383. [DOI] 🠔
  24. [24] Salim, I., Sajjad, R.U., Paule-Mercado, M.C., Memon, S.A., Lee, B.-Y., Sukhbaatar, C. and Lee, C.-H., Comparison of two receptor models PCA-MLR and PMF for source identification and apportionment of pollution carried by runoff from catchment and sub-watershed areas with mixed land cover in South Korea. Science of The Total Environment, 663, pp. 764-775, 2019. DOI: 10.1016/j.scitotenv.2019.01.377 [DOI] 🠔
  25. [25] Jain, S., Sharma, S.K., Vijayan, N. and Mandal, T.K., Seasonal characteristics of aerosols (PM2.5 and PM10) and their source apportionment using PMF: a four year study over Delhi, India. Environmental Pollution, 262, art. 114337. 2020. DOI: 10.1016/j.envpol.2020.114337 [DOI] 🠔
  26. [26] Padoan, S., Zappi, A., Adam, T., Melucci, D., Gambaro, A., Formenton, G. and Zimmermann, R., Organic molecular markers and source contributions in a polluted municipality of north-east Italy: extended PCA-PMF statistical approach. Environmental Research, 186, art. 109587, 2020. DOI: 10.1016/j.envres.2020.109587 [DOI] 🠔
  27. [27] Gupta, S., Gadi, R., Sharma, S. K. and Mandal, T. K.. Characterization and source apportionment of organic compounds in PM10 using PCA and PMF at a traffic hotspot of Delhi. Sustainable Cities and Society, 39, pp. 52-67.2018. DOI: 10.1016/j.scs.2018.01.051 [DOI] 🠔
  28. [28] Servicio Nacional de Meteorología e Hidrología del Perú (SENAMHI). Boletín Mensual Vigilancia de la Calidad del Aire Lima Metropolitana MAYO 2017: [en línea]. [date of reference November 20th of 2019] Available at : Available at : https://www.senamhi.gob.pe/load/file/03201SENA-48.pdf [URL] 🠔
  29. [29] United States Environmental Protection, (EPA) Agency. Criteria Air Pollutants. 2014b [Online]. [date of reference October 29th of 2019] Available at : Available at : https://www.epa.gov/criteria-air-pollutants [URL] 🠔
  30. [30] World Health organization Regional Office for Europe Copenhagen. WHO. Air Quality Guidelines for Europe Second Edition. [Online]. [date of reference July 28th of 2019] Available at : Available at : http://www.euro.who.int/__data/assets/pdf_file/0005/74732/E71922.pdf [URL] 🠔
  31. [31] Gao, Y; , Nelson, E. D; Field, M. .; Ding, Q; Li, H.; Sherrell, R.M; Gigliotti, C.l; Van Ry, D.A; Glenn, T.R; Eisereich, S.J. Characterization of atmospheric trace elements on PM2.5 particulate matter over the New York-New Jersey harbor estuary. Atmospheric Environment. 36(6), pp.1077-1086, 2002. DOI: 10.1016/S1352-2310(01)00381-8 [DOI] 🠔
  32. [32] Amato, F; Pandolfi, M; Viana, M.; Querol,X; Alasteuy, A.; Moreno, T. Spatial and chemical patterns of PM10 in road dust deposited in urban environment. Atmospheric Environment. 43(9), pp. 1650-1659, 2009. DOI: 10.1016/j.atmosenv.2008.12.009 [DOI] 🠔
  33. [33] Jorquera, G.H. Introducción a la contaminación atmosférica. 1st ed; Santiago de Chile. Ediciones UC. 2015. 🠔
  34. [34] Ho, K. F; Lee S .C; Chan, C. K; Yu, C.J; Chow, C. J; Yao, X.H. Characterization of chemical species in PM2.5 and PM10 aerosols in Hong Kong. Atmospheric Environment. 37(1), pp. 31-39, 2003. DOI: 10.1016/S1352-2310(02)00804-X [DOI] 🠔
  35. [35] Esmaeilirad, S., Lai, A., Abbaszade, G., Schnelle-Kreis, J., Zimmermann, R., Uzu, G. and El Haddad, I., Source apportionment of fine particulate matter in a middle eastern metropolis, Tehran-Iran, using PMF with organic and inorganic markers. Science of the Total Environment, 705, art. 135330, 2019. DOI: 10.1016/j.scitotenv.2019.135330 [DOI] 🠔
  36. [36] Salvi, S., Blomberg, A., Rudell, B., Kelly, F., Sandström, T., Holgate, S.T. and Frew, A., Acute inflammatory responses in the airways and peripheral blood after short-term exposure to diesel exhaust in healthy human volunteers. American Journal of Respiratory and Critical Care Medicine. 159, pp. 702-709, 1999. DOI: 10.1164/ajrccm.159.3.9709083 [DOI] 🠔
  37. [37] Lee, J.Y., Leem, J.H., Kim, H.C., et al., Effects of traffic-related air pollution on susceptibility to infantile bronchiolitis and childhood asthma: a cohort study in Korea. Journal of Asthma 55, pp. 223-230, 2018. DOI: 10.1080/02770903.2017.1313270. [DOI] 🠔
  38. [38] Posada, C., Aumento continuo del parque automotor, un problema que urge solucionar. Cámara de Comercio de Lima, Comercio exterior. 2018. [en línea]. [Consultado en: junio 29 de 2019] Disponible en: Disponible en: https://www.camaralima.org.pe/repositorioaps/0/0/par/posada_816/posada%20816_final_aumento%20continuo%20del%20parque%20automotor.pdf [URL] 🠔
  39. [39] Ministerio de Transporte y Comunicaciones (MTC). Plan estratégico nacional de seguridad vial Perú 2017-2021. 2017. [en línea]. Diario el Peruano. [Consultado en: julio 30 de 2019] Disponible en: Disponible en: https://www.mtc.gob.pe/cnsv/documentos/PlanEstrategico.PDF [URL] 🠔
  40. [40] Instituto Nacional de Estadística e Informática (INEI.). Instituto Nacional de Estadística 2019. [en línea]. [Consultado en: julio 30 de 2019] Disponible en: Disponible en: https://www.inei.gob.pe/buscador/?tbusqueda=PARQUE+AUTOMOTOR+NACIONAL . [URL] 🠔
  41. [41] Ramadan, Z., Song, X.-H. and Hopke, P.K., Identification of sources of Phoenix aerosol by positive matrix factorization. Air & Waste Management Association. 50(8), pp. 1308-1320, 2000. DOI: 10.1080/10473289.2000.10464173 [DOI] 🠔
  42. [42] Minguillón, B.M., Composición y fuentes del material particulado atmosférico en la zona cerámica de Castellón. Impacto de la introducción de las mejores técnicas. PhD Tesis, Departament d'Enginyeria Química. Universitat Jaume I., Spain, 2007. 🠔
  43. [43] Alolayan, M.A., Brown, K.W., Evans, J.S., Bouhamra, W.S. and Koutrakis, P., Source apportionment of fine particles in Kuwait City. Science of the Total Environment. 448(15), pp. 14-25, 2013. DOI: 10.1016/j.scitotenv.2012.11.090 [DOI] 🠔
  44. [44] Owoade, K.O., Hopke, P. Olise, F.S., et al., Chemical compositions and source identification of particulate matter (PM2.5 and PM2.5-10) from a scrap iron and steel smelting industry along the Ife-Ibadan highway, Nigeria. Atmospheric Pollution Research. 6(1), pp. 107-119, 2015. DOI: 10.5094/APR.2015.013 [DOI] 🠔
  45. [45] Satsangi, G.P., Chavan, S.P., Rao, P.S.P. and Safai, P.D., Chemical characterization of particulate matter at Sinhagad, a high altitude station in Pune, India. Indian Journal of Radio and Space Physics [Online]. 43(4-5), pp. 284-292, 2014. [date of reference July 25th of 2018]. Available at: Available at: https://pdfs.semanticscholar.org/8322/2061dbd1dc2bca8bc41192b2eae64cdda095.pdf [URL] 🠔
  46. [46] International Finance Corporation (IFC), (Grupo del Banco Mundial). Guías sobre medio ambiente, salud y seguridad para fundiciones 2007. [en línea]. [consultado en: junio 28 de 2019] Disponible en: Disponible en: https://www.ifc.org/wps/wcm/connect/47cf767d-cb80-4799-b0b4-8905b03e2cf2/0000199659ESes+Foundries.pdf?MOD=AJPERES&CVID=jkD2zCX [URL] 🠔
received her BSc. Eng in Environmental Engineering in 2018 from the Universidad Cesar Vallejo, Peru. She specializes in integrated management systems, water quality monitoring and treatment of industrial and domestic wastewater, and is currently focusing on compensation and environmental impact studies. Her research interests include: water treatment, air quality and environmental management.ORCID: 0000-0001-6700-9059
is a MSc. candidate in Environmental Sciences with Management and Pollution Control from the Universidad Nacional Mayor de San Marcos, Peru. He is currently an environmental specialist in the Meteorology and Atmospheric Environmental Assessment Department of the National Meteorology and Hydrology Service (SENAMHI). His research is focused on explaining the influence of local meteorology on air quality.ORCID: 0000-0002-5382-7218
is a MSc. in Environmental and Fundamental Chemistry in 2010, from the Universidade Da Coruña, Spain, and PhD student in Engineering and Environmental Sciences at the Universidad Nacional Agraria la Molina, Peru, from 2016 until today She was awarded her BSc. Eng in Chemical Engineering in 1992 from the Universidad Nacional Mayor de San Marcos, Peru. From 1994 to 2009 she worked on marine and continental conservation and pollution at the Institute of the Sea in Peru, within the fishing sector, and since 2013 has taught at Peruvian universities, specializing in engineering and environmental sciences. Currently, she is a full professor in the environmental engineering Department, Facultad de Ingeniería, Universidad Cesar Vallejo, Peru. Her research interests include: environmental quality studies and technological alternatives for water and soil remediation ORCID: 0000-0002-9965-9678
is a MSc. in Food Science and Technology from the Université Catholique de Lovain la Neuve, Belgium and a BSc. Eng in Chemistry from the Universidad Nacional San Antonio Abad del Cusco, Peru. He has worked as an environmental consultant and is currently a full professor in the Environmental Engineering Department, in the Facultad de Ingeniería, at the Universidad Cesar Vallejo. His research interests include simulation, modeling and indoor air quality.ORCID: 0000-0001-6017-1192
is a MSc. in Materials Engineering and Chemical and Metallurgical Processes, from the Pontifícia Universidade Católica do Rio de Janeiro, Brazil in 2010. She was a PhD student in Engineering and Environmental Sciences from the Universidad Nacional Agraria la Molina, Peru, from 2016 until today She was awarded a BSc. in Mathematics from the Universidade Santa Úrsula, Brazil. Her principal training has been in mathematical analysis, modern algebra, ordinary and partial differential equations and numerical analysis. She has experience in the field of computing, physics, and process and environmental engineering. she works principally in the following areas: power series solutions to linear differential equationsand mathematical and environmental modeling.ORCID: 0000-0002-9202-475X
was awarded his PhD and MSc. in Materials Engineering and Chemical and Metallurgical Processes, with a specialization in effluent treatment, from the Pontifícia Universidade Católica do Rio de Janeiro. He is a BSc. Eng. in Metallurgical Engineer from the Universidad Nacional de Trujillo, Peru, in 2003. He has more than 10 years research experience, and has lectured on topics related to air quality and water treatment. He is currently research professor at the Universidad César Vallejo, Lima, Peru.ORCID: 0000-0002-8200-4640
Ilizarbe-Gonzáles, G.M, Rojas-Quincho, J.P, Cabello-Torres, R.J, Ugarte-Alvan, C.A, Reynoso-Quispe, P. and Valdiviezo-Gonzales, L.G, Chemical characteristics and identification of PM10 sources in two districts of Lima, Peru. DYNA, 87(215), pp. 57-65, October - December, 2020.