DYNA
0012-7353
2346-2183
Universidad Nacional de Colombia
https://doi.org/10.15446/dyna.v88n217.87633

Recibido: 25 de mayo de 2020; Revision Received: 4 de febrero de 2021; Aceptado: 24 de febrero de 2021

Salinity stress and plant growth regulator in basil: effects on plant and soil

Estrés salino y regulador del crecimiento vegetal en la albahaca: efectos sobre las plantas y el suelo

L. Sousa, a T. Silva, b M. Lopes, c M. Leal, c A. Basilio, c J. Filho, c Y. Leal, c T. Dias, d

Departamento de Ciências Agronômicas e Florestais, Universidade Federal Rural do Semi-Árido, Mossoró - RN, Brazil. leoigt@hotmail.com Universidade Federal Rural do Semi-Árido Departamento de Ciências Agronômicas e Florestais Universidade Federal Rural do Semi-Árido Mossoró RN Brazil
Departamento de Fitotecnia, Universidade Federal de Viçosa, Viçosa - MG, Brazil. iarley.toshik@gmail.com Universidade Federal de Viçosa Departamento de Fitotecnia Universidade Federal de Viçosa Viçosa MG Brazil
Departamento de Fitotecnia e Ciências Ambientais, Universidade Federal da Paraíba, Campus II, Areia - PB, Brazil. fatimaqueiroz0@gmail.com, palomalealagro@gmail.com, gabriellab_cg@hotmail.com, sebastiaouepb@yahoo.com.br, ygoragronomo@gmail.com Universidade Federal da Paraíba Departamento de Fitotecnia e Ciências Ambientais Universidade Federal da Paraíba PB Brazil
Departamento de Agricultura, Universidade Federal da Paraíba, Campus III, Bananeiras - PB, Brazil. thiagojardelinodias@gmail.com Universidade Federal da Paraíba Departamento de Agricultura Universidade Federal da Paraíba PB Brazil

Abstract

The water in semiarid regions contains salts in excess. When good quality water is not available it is necessary to use strategies that can make feasible the use of saline water. The aim of this study was to evaluate the effects of the application of the plant growth regulator on the culture of basil stressed with salt. The experiment was carried out in a randomized block design by the matrix “Central Box Compound”. Shoot height, stem diameter, leaf area, dry masses and soil chemical characteristics were evaluated. The salinity of the irrigation water causes reduction of the basil growth parameters, with the exception of the inflorescence dry mass. Plant growth regulator applications have effect on basil growth when plants are irrigated with saline water.

Keywords:

chemical soil properties, Ocimum basilicum L., NaCl.

Resumen

El agua en las regiones semiáridas contiene sales en exceso. Cuando no se dispone de agua de buena calidad, es necesario utilizar estrategias que permitan el uso de agua salina. El objetivo de este estudio fue evaluar los efectos de la aplicación del regulador del crecimiento vegetal en el cultivo de albahaca bajo estrés salino. El experimento se llevó a cabo en un diseño de bloques al azar, en la matriz “Compuesto Central de Box”. Se evaluó la altura de la parte aérea, el diámetro del tallo, el área de la hoja, las masas secas y las características químicas del suelo. La salinidad del agua de riego provoca la reducción de los parámetros de crecimiento de la albahaca, con la excepción de la masa seca de inflorescencia. Las aplicaciones del regulador del crecimiento vegetal tienen efecto sobre el crecimiento de la albahaca cuando las plantas se riegan con agua salina.

Palabras clave:

propiedades químicas del suelo, Ocimum basilicum L., NaCl.

1. Introduction

Basil (Ocimum basilicum L.) is a sub-bush herb of the family Lamiaceae that can be cultivated in annual or perennial systems [11]. The basil leaves have essential oils secretory glands, whose main component is linalool, a substance of great economic value for the cosmetics, pharmaceutical and perfumery industry. It is also used in the aromatization of foods, beverages and environments [3].

The irrigation is one of the technologies that most influences the growth of cultivated plants in the Northeast region of Brazil, since it reduces the adverse effects of irregular rainfalls, typical climatic condition of semiarid regions [20]. However, in addition to the water volume available to the plants, the water quality used in irrigation is another key factor, mainly regarding the salt concentration [10].

Excessive salt concentrations in the soil solution increases the osmotic potential, preventing or hindering the plant's water uptake, and it also causes nutritional imbalance and toxicity on the plant's physiology, negatively affecting its development [9].

Researches have been conducted in order to evaluate the water salinity effects on basil development and the results have shown deleterious effects on plant growth [12,13,27].

Management strategies that might allow the use of saline water in irrigation, without adversely affecting the plants growth and development, have also been studied. The use of plant growth regulators is among the management strategies studied [29]. The use of these substances may be an interesting alternative because they improve the growth and development of plants, stimulating cell division and increasing water and nutrients absorption [16].

Growth regulators may contain in its composition three substances that act as growth promoters: the indolebutyric acid (auxin), kinetin (cytokinin) and gibberellic acid (giberelin), which can mitigate the deleterious effects of salinity stress [5].

Researchers have observed that the beneficial effects of growth regulators can be inhibited by irrigation water salinity [19]; however, their benefits may be influenced by factors such as application, number of applications, concentration of product, time of application and plant species. There is little information in the literature about the use of growth regulators in basil plants, especially under salinity stress conditions.

Considering that the use of saline water in irrigation is a necessity, especially in water scarce regions, the hypothesis was raised that the application of growth regulator can alleviate the effects of the saline stress in basil plants. The aim of this study was to evaluate the effects of the application of a plant growth regulator to basil stressed by salt (Ocimum basilicum L.).

2. Material and methods

The experiment was conducted from January to April, 2018, in a protected environment (greenhouse), in the Department of Plant Science and Environmental Sciences of the Agricultural Sciences Center of the Federal University of Paraíba, Areia, Paraíba, Brazil.

According to Köeppen's climate classification, the region is identified as As' (semi humid tropical climate), with rainfalls concentrated from March to August, average annual rainfall of 1.200 mm, average air temperature of 24 ºC and 87% relative humidity in the rainy season [6]. The greenhouse atmospheric data during the experimental period are shown in Fig. 1.

Maximum, medium and minimum temperatures (A) and maximum, average and minimum values of relative humidity (B) in the greenhouse during the experimental period.

Figure 1: Maximum, medium and minimum temperatures (A) and maximum, average and minimum values of relative humidity (B) in the greenhouse during the experimental period.

Source: The authors.

The basil cultivar Maria Bonita was used. Five to ten seeds were sown per cell in a 200 plastic seedling tray. Following germination, plants were thinned to one plant per cell. At 20 days after sowing, when the seedlings presented 6 definitive leaves, the transplantation was done. After that, the treatments regarding the irrigation management with saline water were started.

The experimental units were represented by 5.0 dm3 capacity plastic pots, containing one plant per pot, at a spacing of 0.6 x 0.4 m. The pots were filled with substrate containing soil classified as Red-Yellow Latosol [24], and tanned cattle manure in the proportion of 3:1. The substrate was sifted in a 2.0 mm mesh sieve and subsequently it was chemically analyzed. The results from the chemical analysis are shown in Table 1.

Table 1: Chemical characteristics of the substrate used in the experiment.

ECs: Electrical conductivity of the saturated extract; OM: Organic matter; V: Base saturation; SB: Sum bases; CEC: Cation exchange capacity.

Source: The authors.

The experiment had a randomized block design, in a factorial 5 × 5 model, combined according to the Box Central Composite experimental matrix, consisting of five electrical conductivities of irrigation water (ECw) and five doses of plant growth regulator (PGR), with minimum (- α) and maximum (α), values of 0.50 and 6.00 dS m-1 and 0.00 and 10.00 mL L-1, respectively, totaling nine treatments with four replicates and four plants per plot (Table 2).

Table 2: Treatments generated through the matrix “Central Box Compound”.

ECw: Electrical conductivities of irrigation water; PGR: Plant growth regulator.

Source: The authors.

Irrigation management was performed through the direct method of drainage lysimetry [1]. The water with the lowest ECw (0.50 dS m-1) came from the UFPB water supply system. To prepare the waters with higher ECw, more of this salt was added to the lower ECw (0.50 dS m-1). The microprocessed portable electrical conductivity meter Instrutherm® (model CD-860) was used to measure the salinities. The water characteristics are presented in Table 3.

Table 3: Chemical characteristics of the waters used in the experiment.

Source: The authors.

The plant growth regulator used was composed of 0.005% indolebutyric acid (auxin), 0.005% gibberellic acid (gibberellin), 0.009% kinetin (cytokinin) and 99.981% of inert ingredients [22].

The growth regulator applications were made via foliar between 4:00 p.m. and 5:00 p.m., at 7; 21; 35 and 49 days after transplanting, applying solution volumes equivalent to 2.4, 7.2, 19.2 and 36.0 mL per plant, respectively. The applications were made with an atomizer spray, and the adjuvant Tween 80® was added to the solution at the concentration of 0.0002%. Plants that did not receive the plant growth regulator were sprayed only with water and adjuvant.

At 57 days after transplanting, during the full flowering period, the following growth variables were evaluated, shoot height: measured from the stem base to the last leaf insertion, using a ruler graduated in cm. Stem diameter: determined at 2 cm from the soil, using a digital caliper graduated in mm. Leaf area: was measured from 50 random leaves with graduated ruler, and applying the formula established by [14]. For dry mass variables (stem, leaf, inflorescence, root and total dry mass): the plant parts were separated and the materials were packed in paper bags and then dried in a forced air oven at 65 °C for 72 hours. Afterwards, they were weighed on a precision scale balance (0.01 g).

At the end of the experiment, soil samples were collected from each pot and homogenized into one composite sample for each plot with a total of 36 samples to evaluate the chemical properties of the soil. The samples were passed through a 2 mm mesh sieve.

K+ and Na+ content were extracted using the Mehlich‐1 extractor and determined by spectrometry of flame emission. The cation exchange capacity (CEC), sum of bases (SB) and base saturation (V) were calculated using the equations proposed by [23]. The electrical conductivity of saturation extraction (EC) were quantified according to the methodology established by [7].

The data were submitted to ANOVA and regression using the SAS University software (SAS Institute, Cary, North Carolina, USA).

3. Results and discussion

There was no interaction between electrical conductivity of irrigation water (ECw) and plant growth regulator (PGR), nor was there any effect between growth regulator doses for most of the variables, except for stem diameter and leaf dry mass. However, differences were observed between the ECw for all variables.

Analyzing the growth variables, it was noticed that there were decreases in the values as the ECw increased, except for the inflorescence biomass, which presented increase in the values.

Shoot height decreased in response to the increase in salinity of irrigation water, with the higher value (46.75 cm) obtained at the ECw of 0.50 dS m-1, representing a compromise of 20%, compared to plants irrigated with water at the ECw of 6.00 dS m-1, where the lowest averages (37.28 cm) were obtained (Fig. 2A). Working in a hydroponic system [2], observed similar behavior up to ECw of 8.48 dS m-1, evidencing reduction in the shoot height of basil plants.

As with shoot height, stem diameter was also negatively affected by increased water salinity. It was observed that the highest stem diameter value (9.48 mm) was obtained at the ECw of 0.50 dS m-1 and the lowest (7.49 mm) at 6.00 dS m-1 (Fig. 2B). Similar effect was observed by [12], who reported decreased stem diameter when study in the behavior of Green and Purple basil cultivars submitted to irrigation with up to ECw of 5.00 dS m-1. The excess salts may have affected nutrients uptake and concentration in the plants, justifying reduction in the growth of plants [18].

Shoot height (A), stem diameter (B) and leaf area (C) in basil (Ocimum basilicum L.) submitted to salinity in the irrigation water (ECw).

Figure 2: Shoot height (A), stem diameter (B) and leaf area (C) in basil (Ocimum basilicum L.) submitted to salinity in the irrigation water (ECw).

Source: The authors.

In Fig. 2C it can be observed that the leaf area was severely affected by the increase in ECw. The maximum (4344.09 cm2) and minimum (2423.36 cm2) values were obtained at the ECw of 0.50 and 5.45 dS m-1, respectively. These results are similar from those found by [13], which observed a reduction of the leaf area in the basil cultivars Genovese and Napoletano irrigated with the same salinity levels.

The decrease of the leaf area is related to the mechanisms of plant adaptation to salinity stress, which reduce the transpiration surface, and thus the traspiration rates, in order to mantain a higher water potential [30].

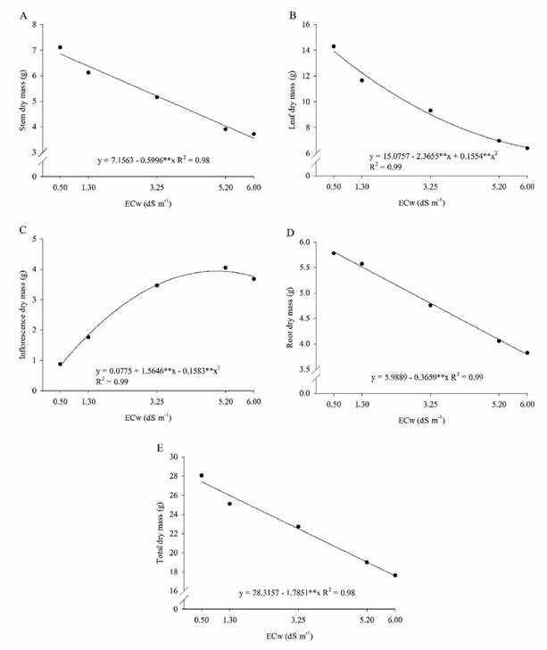
Fig. 3 shows the results of the dry biomass, where a significant effect is verified, influenced by the increased salinity levels of the water used in the irrigation. For the stem dry mass (Fig. 3A) and leaf dry mass (Fig. 3B) the highest and lowest values were found at the ECw of 0.50 dS m-1 and 6.00 dS m-1, representing a reduction of 48 and 53%, respectively. Similar results were found by [26], who obtained a decreasing response with the increase of irrigation water salinity. [15] in studies with basil submitted to irrigation with up to ECw of 8.00 dS m-1, observed reduction of 58 and 88% in stem dry mass and leaf dry mass, respectively.

Stem dry mass (A), leaf dry mass (B), inflorescence dry mass (C), root dry mass (D) and total dry mass (E) in basil (Ocimum basilicum L.) submitted to salinity in the irrigation water (ECw).

Figure 3: Stem dry mass (A), leaf dry mass (B), inflorescence dry mass (C), root dry mass (D) and total dry mass (E) in basil (Ocimum basilicum L.) submitted to salinity in the irrigation water (ECw).

Source: The authors.

For the inflorescence dry mass (Fig. 3C), the highest amplitude was obtained between the ECw of 0.50 and 4.90 dS m-1, obtaining an increase of more than 79%. When studying the inflorescence biomass of the Canela basil cultivar submitted to similar salinity levels, [27] registered a decreasing behavior, a result contrary to that obtained in the present work. According to [17], depending on the genotype, the accumulation of toxic ions may lead to the death of the older leaves of salt stressed plants, compromising the photosynthetically active leaf area, so that the plant anticipates its physiological processes while there are still metabolically active leaves, in order to guarantee the flowering and seed production. Early flowering is one of these physiological processes, which may explain the increase in inflorescence biomass with NaCl concentration increases.

The root dry mass (Fig. 3D) showed a significant effect for the ECw. The maximum root dry mass value was obtained at the electrical conductivity of 5.00 dS m-1. When comparing the maximum root dry mass value to the average values of the plants irrigated with the highest electrical conductivity (6.0 dS m-1), a 35% decrease is observed. [4], studying salinity levels ranging from 0.40 to 8.00 dS m-1, observed reduction of 57%.

The total dry mass (Fig. 3E) presented decreasing values as the ECw increased. The highest total dry mass value (27.42 g) was obtained at the concentration of 0.50 dS m-1, whereas the lowest (17.60 g) was obtained in the concentration of 6.00 dS m-1. The results corroborate with the studies of [2] which observed a linear reduction behavior with the increment of ECw.

The salinity deleterious effect on plant growth can be explained by the impairment of biochemical and physiological functionalities, being linked to the toxic, osmotic and nutritional effects due to the salts accumulation in the plants root zone [25].

Regarding the soil chemical characteristics, it was noticed that there were increases in the values as the ECw increased for all variables. Increasing salinity from 0.50 to 6.00 dS m-1 resulted in increased linearly in the variables of K+, Na+, EC, CEC, SB and V (Fig. 4). The estimated increased were 35, 79, 89, 46, 49 and 6% for K+, Na+, EC, CEC, SB and V, respectively.

K+ (A) Na+ (B) EC (C), SB (D), CEC (E) and V (F) in soil cultivated with basil (Ocimum basilicum L.) submitted to salinity in the irrigation water (ECw).

Figure 4: K+ (A) Na+ (B) EC (C), SB (D), CEC (E) and V (F) in soil cultivated with basil (Ocimum basilicum L.) submitted to salinity in the irrigation water (ECw).

Source: The authors.

When the NaCl content in the soil is high, the absorption of nutrients, especially K+, is reduced [21]. Thus, the linear increase in K+ content in the soil can be explained by the low absorption of K+ by plants subjected to salt stress. Therefore, much of the K+ present in the soil may have come from irrigation, since the water used contained K+ in its composition.

Higher levels of Na+ were expected in the higher ECw, since Na+ was being added to the soil via irrigation water. Soils with high levels of Na+ may impact plant growth by nutrient deficiencies, dispersion of soil particles or toxicity [10].

The increase in EC, CEC, SB and V as a result of the increase in ECw reflected the presence of exchangeable cations in the soil solution, from the irrigation water. According to [8], under conditions of saline stress, the water absorption by plants is reduced and, consequently, will result in more cations present in the soil solution. The soluble salts in the soil solution increase the water retention forces due to the osmotic effect, reducing the water absorption by the plant, and in some cases, loss of water from the plant to the soil.

It can be observed in Table 4 that basil is classified as tolerant to ECw up to of 3.25 dS m-1, whereas at higher ECw (5.20 dS m-1 and 6.00 dS m-1) the species is classified as moderately tolerant, according to the classification proposed by [28]. In a study by [2], basil was classified as tolerant to the concentration of salts up to 1.45 dS m-1, whereas [12] verified that the cultivars Green and Purple are tolerant until the ECw of 1.50 dS m-1.

Table 4: Relative reduction of total dry matter yield in basil (Ocimum basilicum L.) submitted to salinity of irrigation water.

Source: The authors.

The results obtained in this study show a low relative reduction of the total dry matter production of the plants submitted to saline stress in relation to the plants irrigated with lower ECw (0.50 dS m-1), indicating tolerance of the cultivar to the effects of salinity, even when submitted to larger electrical conductivity of irrigation water. According to [17] the mechanisms of tolerance to the effects of saline stress can vary within the same plant species, which makes some genotypes more tolerant than others.

There was a significant effect of the plant growth regulator doses on stem diameter (Fig. 5A).

Stem diameter (A) and leaf dry mass (B) in basil (Ocimum basilicum L.) submitted to plant growth regulator (PGR).

Figure 5: Stem diameter (A) and leaf dry mass (B) in basil (Ocimum basilicum L.) submitted to plant growth regulator (PGR).

Source: The authors.

There was a quadratic response, with a maximum stem diameter value (8.73 mm) obtained in the dose of 5.12 mL L-1. From this concentration on (5.12 mL L-1), the stem diameter values started to decrease, and the minimum value (8.07 mm) was observed at the highest growth regulator concentration (10.00 mL L-1).

Similar to the stem diameter, the leaf dry mass presented a quadratic response to the effect of the growth regulator doses, obtaining up to 10.17 g in the dose of 4.79 mL L-1. From this concentration, biomass reduction occurred, reaching the lowest value in the dose of 10.00 mL L-1, with 9.03 g (Fig. 5B). For [19] the beneficial effects of plant regulators on plant growth are inhibited according to the saline stress intensity, which may explain the quadratic effect obtained on stem diameter and leaf dry mass.

Conclusions

Salinity stress causes reduction of growth parameters in basil (Ocimum basilicum L.), except for inflorescence dry mass, which increase up to the electrical conductivity of irrigation water of 4.90 dS m-1.

The basil cultivar Maria Bonita can be considered as tolerant to electrical conductivity of irrigation water up to 3.25 dS m-1.

The contents of the chemical characteristics of the soil were increased as the electrical conductivity of irrigation increased.

Exogenous plant growth regulator applications do have positive effects on basil growth when plants are subjected to salinity stress.

Acknowledgements

Acknowledgments

“This study was financed in part by the Coordenação de Aperfeiçoamento de Pessoal de Nível Superior - Brasil (CAPES) - Finance Code 001”.

References

  1. [1] Alves, E.S., Lima, D.F., Barreto, J.A.S., Santos, D.P. and Santos, M.A.L., Determinação do coeficiente de cultivo para a cultura do rabanete através de lisimetria de drenagem, Irriga, 22(1), pp. 194-203, 2017. DOI: 10.15809/irriga.2017v22n1p194-203 [DOI] 🠔
  2. [2] Bione, M.A.A., Paz, V.P.S., Silva, F., Ribas, R.F. and Soares, T.M., Crescimento e produção de manjericão em sistema hidropônico NFT sob salinidade. Revista Brasileira de Engenharia Agrícola e Ambiental, 18(12), pp. 1228-1234, 2014. DOI: 10.1590/1807-1929/agriambi.v18n12p1228-1234 [DOI] 🠔
  3. [3] Blank, A.F., Carvalho Filho, J.L.S., Santos Neto, A.L., Alves, P.B., Arrigoni-Blank, M.F., Silva-Mann, R. and Mendonça, M.C., Caracterização morfológica e agronômica de acessos de manjericão e alfavaca. Horticultura Brasileira, 22(1), pp. 113-116, 2004. DOI: 10.1590/S0102-05362004000100024 [DOI] 🠔
  4. [4] Caliskan, O., Kurt, D., Temizel, K.E. and Odabas, M.S., Effect of salt stress and irrigation water on growth and development of sweet basil (Ocimum basilicum L.). Open Agriculture, 2(1), pp. 589-594, 2017. DOI: 10.1515/opag-2017-0062 [DOI] 🠔
  5. [5] Castro, P.R.C., Pacheco, A.C. and Medina, C.L., Efeitos de stimulate e de micro-citros no desenvolvimento vegetativo e na produtividade da laranjeira ’pêra' (Citrus sinensis L. osbeck). Scientia Agricola, 55(2), pp. 338-341, 1998. DOI: 10.1590/S0103-90161998000200026 [DOI] 🠔
  6. [6] Cavalcante, L.F., Vieira, M.S., Santos, A.F., Oliveira, W.M. and Nascimento, J.A.M., Água salina e esterco bovino líquido na formação de mudas de goiabeira cultivar Paluma. Revista Brasileira de Fruticultura, 32(1), pp. 251-261, 2010. DOI: 10.1590/S0100-29452010005000037 [DOI] 🠔
  7. [7] Dantas, D.C., Matos, J.A., Medeiros, J.F., Porto Filho, F.Q. and Miranda, N.O., Condutividade elétrica do extrato de saturação do solo a partir de extratos 1:2 pelo método do eixo principal reduzido. Irriga, 10 (4), pp. 351-356, 2005. DOI: 10.15809/irriga.2005v10n4p351-356 [DOI] 🠔
  8. [8] Dias, N.S., Blanco, F.F., Souza, E.R., Ferreira, J.F.S., Sousa Neto, O.N. and Queiroz, I.S.R., Manejo da salinidade na agricultura: Estudos básicos e aplicados. Fortaleza, Instituto Nacional de Ciência e Tecnologia em Salinidade, [em línea]. 2016. [May 03th of 2020], cap. 11, Efeitos dos sais na planta e tolerância das culturas à salinidade. Available at: Available at: https://ppgea.ufc.br/wp-content/uploads/2018/04/manejo-da-salinidade-na-agricultura.pdf [URL] 🠔
  9. [9] Forni, C., Duca, D. and Glick, B.R., Mechanisms of plant response to salt and drought stress and their alteration by rhizobacteria. Plant and Soil. 410, pp. 335-356, 2017. DOI: 10.1007/s11104-016-3007-x [DOI] 🠔
  10. [10] Machado, R.M.A. and Serralheiro, R.P., Soil salinity: effect on vegetable crop growth. Management practices to prevent and mitigate soil salinization. Horticulturae, 3(2), pp. 1-13, 2017. DOI: 10.3390/horticulturae3020030 [DOI] 🠔
  11. [11] Maggioni, M.S., Rosa, C.B.C.J., Rosa Júnior, E.J., Silva, E.F., Rosa, Y.B.C.J., Scalon, S.P.Q. and Vasconcelos, A.A., Desenvolvimento de mudas de manjericão (Ocimum basilicum L.) em função do recipiente e do tipo e densidade de substratos. Revista Brasileira de Plantas Medicinais, 16(1), pp. 10-17, 2014. DOI: 10.1590/S1516-05722014000100002 [DOI] 🠔
  12. [12] Maia, S.S.S., Silva, R.C.P., Oliveira, F.A., Silva, O.M.P., Silva, A.C. and Candido, W.S., Responses of basil cultivars to irrigation water salinity. Revista Brasileira de Engenharia Agrícola e Ambiental, 21(1), pp. 44-49, 2017. DOI: 10.1590/1807-1929/agriambi.v21n1p44-49 [DOI] 🠔
  13. [13] Mancarella, S., Orsini, F., Van Oosten, M.J., Sanoubar, R., Stanghellini, C., Kondo, S., Gianquinto, G. and Maggio, A., Leaf sodium accumulation facilitates salt stress adaptation and preserves photosystem functionality in salt stressed Ocimum basilicum. Environmental and Experimental Botany, 130, pp. 162-173, 2016. DOI: 10.1016/j.envexpbot.2016.06.004 [DOI] 🠔
  14. [14] Martins, I.P., Crescimento e consumo de água por manjericão (Ocimum basilicum L.) sob diferentes regimes hídricos, MSc. Thesis, Faculdade de Ciências Agrárias e Veterinárias, Universidade Estadual Paulista, Jaboticabal, Brazil, 2016. 🠔
  15. [15] Menezes, R.V., Azevedo Neto, A.D., Gheyi, H.R., Cova, A.M.W. and Silva, H.H.B., Tolerance of basil genotypes to salinity. Journal of Agricultural Science, 9(11), pp. 283-295, 2017. DOI: 10.5539/jas.v9n11p283 [DOI] 🠔
  16. [16] Moterle, L.M., Santos, R.F., Scapim, C.A., Braccini, A.L., Bonato, C.M. and Conrado, T., Efeito de biorregulador na germinação e no vigor de sementes de soja. Revista Ceres, 58(5), pp. 651-660, 2011. DOI: 10.1590/S0034-737X2011000500017 [DOI] 🠔
  17. [17] Munns, R. and Tester, M., Mechanisms of salinity tolerance. Annual Review of Plant Biology, 59, pp. 651-681, 2008. DOI: 10.1146/annurev.arplant.59.032607.092911 [DOI] 🠔
  18. [18] Nobre, R.G., Soares, L.A.A., Gheyi, H.R., Lima, G.S., Lourenço, G.S. and Soares, S.S., Acúmulo de NPK e sódio a mamoneira sob estresse salino e adubação nitrogenada. Revista Brasileira de Engenharia Agrícola e Ambiental, 17(10), pp. 1066-1073, 2013. DOI: 10.1590/S1415-43662013001000007 [DOI] 🠔
  19. [19] Oliveira, F.A., Medeiros, J.F., Cunha, R.C., Souza, M.W.L. and Lima, L.A., Uso de bioestimulante como agente amenizador do estresse salino na cultura do milho pipoca. Revista Ciência Agronômica, 47(2), pp. 307-315, 2016. DOI: 10.5935/1806-6690.20160036 [DOI] 🠔
  20. [20] Oliveira, F.A., Medeiros, J.F., Oliveira, F.R.A., Freire, A.G. and Soares, L.C.S., Produção do algodoeiro em função da salinidade e tratamento de sementes com regulador de crescimento. Revista Ciência Agronômica, 43(2), pp. 279-287, 2012. DOI: 10.1590/S1806-66902012000200010 [DOI] 🠔
  21. [21] Paranychianakis, N.V. and Chartzoulakis, K.S., Irrigation of Mediterranean crops with saline water: from physiology to management practices. Agriculture, Ecosystems & Environment, 106, pp. 171-187, 2005. DOI: 10.1016/j.agee.2004.10.006 [DOI] 🠔
  22. [22] Reghin, M.Y., Otto R.F. and Silva, J.B.C., “Stimulate Mo” e proteção com tecido “não tecido” no pré-enraizamento de mudas de mandioquinha-salsa. Horticultura Brasileira, 18(1), pp. 53-56, 2000. DOI: 10.1590/S0102-05362000000100012 [DOI] 🠔
  23. [23] Ronquim, C.C., Conceitos de fertilidade do solo e manejo adequado para as regiões tropicais [em línea], Embrapa monitoramento por satélite, Campinas, São Paulo, Brazil, 2010 [consulta, April 19th of 2020]. Available at: Available at: http://www.infoteca.cnptia.embrapa.br/infoteca/handle/doc/882598 [URL] 🠔
  24. [24] Santos, H.G., Jacomine, P.K.T., Anjos, L.H.C., Oliveira, V.A., Lumbreras, J.F., Coelho, M.R., Almeida, J.A., Araújo-Filho, J.C., Oliveira, J.B. and Cunha, T.J.F., Sistema brasileiro de classificação de solos [em línea], Embrapa Solos, Brasília, Brazil, 2018 [consulta, April 03rd of 2020]. Available at: Available at: http://www.infoteca.cnptia.embrapa.br/infoteca/handle/doc/1094003 [URL] 🠔
  25. [25] Shrivastava, P. and Kumar, R., Soil salinity: a serious environmental issue and plant growth promoting bacteria as one of the tools for its alleviation. Saudi Journal of Biological Sciences, 22(2), pp. 123-131, 2015. DOI: 10.1016/j.sjbs.2014.12.001 [DOI] 🠔
  26. [26] Silva, H.H.B., Azevedo-Neto, A.D., Menezes, R.V., Silva, P.C.C. and Gheyi, H.R., Use of hydrogen peroxide in acclimation of basil (Ocimum basilicum L.) to salt stress. Turkish Journal of Botany, 43, pp. 208-217, 2019. DOI: 10.3906/bot-1807-80 [DOI] 🠔
  27. [27] Silva, T.I., Melo Filho, J.S., Gonçalves, A.C.M., Sousa, L.V., Moura, J.G., Dias, T.J., Alvarez-Pizarro, J.C., Pereira, W.E. and Mendonça, R.M.N., Salicylic acid effect on Ocimum basilicum L. during growth in salt stress and its relationship between Phytomass and Gas Exchange. Journal of Experimental Agriculture International, 22(4), pp. 1-10, 2018. DOI: 10.9734/JEAI/2018/40901 [DOI] 🠔
  28. [28] Soares Filho, W.S., Gheyi, H.R., Brito, M.E.B., Nobre, R.G., Fernandes, P.D., Miranda, R.S., Manejo da salinidade na agricultura: Estudos básicos e aplicados [em línea], Fortaleza, Instituto Nacional de Ciência e Tecnologia em Salinidade , 2016 [May 03rd of 2020], cap. 17, Melhoramento genético vegetal e seleção de cultivares tolerantes à salinidade. Available at: https://ppgea.ufc.br/wp-content/uploads/2018/04/manejo-da-salinidade-na-agricultura.pdf [URL] 🠔
  29. [29] Souza-Neta, M.L., Oliveira, F.A., Torres, S.B., Souza, A.A.T., Silva, D.D.A. and Santos, S.T., Gherkin cultivation in saline medium using seeds treated with a biostimulant. Acta Scientiarum. Agronomy. 40, pp. 1-10, 2018. DOI: 10.4025/actasciagron.v40i1.35216 [DOI] 🠔
  30. [30] Tester, M. and Davenport, R., Na+ tolerance and Na+ transport in higher plants. Annals of Botany, 91(5), pp. 503-527, 2003. DOI: 10.1093/aob/mcg058 [DOI] 🠔
is a BSc. in Agronomy from the Universidade Federal Rural do Semi-Árido (UFERSA), Mossoró, Brazil in 2016, a MSc. in Agronomy from the Universidade Federal da Paraíba (UFPB), Areia, Brazil in 2019 and PhD. student in Fitotecnia at the UFERSA. He has experience in research related to salt and water stress in plants, water and soil conservation and salinity control in agriculture.ORCID: 0000-0001-5846-3399
is a BSc. in Agronomy from the Universidade Federal do Cariri (UFCA), Crato, Brazil in 2017, a MSc. in Agronomy from the Universidade Federal da Paraíba (UFPB), Areia, Brazil in 2018 and PhD. student in Fitotecnia at the Universidade Federal de Viçosa (UFV), Viçosa, Brazil. Works in research related to abiotic stress and phytohormones in cultivated plants, postharvest and flowering physiology and regulators of gibberellin synthesis in ornamental plants.ORCID: 0000-0003-0704-2046
is a BSc. in Agronomy from the Universidade Federal do Ceará (UFC), Fortaleza, Brazil in 2015, a MSc. in Agronomy from the Universidade Federal da Paraíba (UFPB), Areia, Brazil in 2018 and PhD. student in Agronomy at the UFPB. Operates in the field of seed and seedling technology of cultivated and native species of the Caatinga biome.ORCID: 0000-0002-5392-1001
is a BSc. in Agroecology from the Universidade Estadual da Paraíba (UEPB), Lagoa Seca, Brazil in 2017, a MSc. in 2019 and PhD. student in Agronomy at the Universidade Federal da Paraíba (UFPB), Areia, Brazil. Has experience with research related to organic horticulture.ORCID: 0000-0002-0441-3772
is a BSc. in Agronomy from the Universidade Federal de Campina Grande (UFCG), Pombal, Brazil in 2016, a MSc. in Agronomy from the Universidade Federal da Paraíba (UFPB), Areia, Brazil in 2019. Works with research related to the production of vegetables in a protected environment, use of alternative fertilizers and salinity in irrigation water.ORCID: 0000-0003-2873-8202
is a BSc. in Agricultural Sciences from the Universidade Estadual da Paraíba (UEPB), Catolé do Rocha, Brazil in 2011, a MSc. in Agroindustrial Systems from the Universidade Federal de Campina Grande (UFCG), Pombal, Brazil in 2014 and PhD. in Agronomy at the Universidade Federal da Paraíba (UFPB), Areia, Brazil in 2019. Works with the themes: mineral nutrition of plants, physiology of salt stress, postharvest physiology of vegetable plants, soil fertility and food technology.ORCID: 0000-0003-3005-2795
is a BSc. in Agronomy from the Universidade Federal Rural de Pernambuco (UFRPE), Serra Talhada, Brazil in 2014, a MSc. in vegetable production from the UFRPE in 2016 and PhD. in Agronomy at the Universidade Federal da Paraíba (UFPB), Areia, Brazil in 2019. He has experience with research related to fertilization and plant nutrition, with an emphasis on the use of organic fertilizers.ORCID: 0000-0001-7155-3524
is a BSc. (2003), MSc. (2006) and PhD (2011) in Agronomy from the Universidade Federal da Paraíba (UFPB), Areia, Brazil. He is currently a professor in the agriculture department at Universidade Federal da Paraíba (UFPB), Campus III, Bananeiras, Brazil. He works mainly on topics related to soil and water management, irrigation management, soil fertility, plant nutrition and crop management.ORCID: 0000-0002-7843-6184
de Sousa, L.V., da Silva, T.I., Lopes, M.F.Q., Leal, M.P.S., Basilio, A.G.S., Melo-Filho, J.S., Leal, Y.H. and Dias, T.J., Salinity stress and plant growth regulator in basil: effects on plant and soil.. DYNA, 88(217), pp. 75-83, April - June, 2021.