DYNA
0012-7353
2346-2183
Universidad Nacional de Colombia
https://doi.org/10.15446/dyna.v89n220.94395

Recibido: 21 de marzo de 2021; Revision Received: 21 de octubre de 2021; Aceptado: 6 de diciembre de 2021

Rainfall profiles and sisal productivity for Bahia mesoregions, Brazil

Perfiles de la precipitación y a productividad del Sisal en mesoregiones de Bahia, Brasil

I. Lopes, a A. Carvalho, b M. Guimarães, c J. Melo, b M. Alfaro, b B. Leal, d

Instituto Federal de Educação, Ciência e Tecnologia Baiano, Campus Bom Jesus da Lapa, Bahia, Brasil. iuglopes@hotmail.com, iug.lopes@ifbaiano.edu.br Instituto Federal de Educação Bahia Brasil
Universidade Federal Rural de Pernambuco, Campus Sede, Recife, Pernambuco, Brasil. ailtonalvesst@hotmail.com; medrado.juliana@gmail.com; marcela.mollericonaalfaro@yahoo.com Universidade Federal Rural de Pernambuco Universidade Federal Rural de Pernambuco Recife Pernambuco Brazil
Instituto Federal de Educação, Ciência e Tecnologia do Maranhão, Campus São Raimundo das Mangabeiras, Maranhão, Brasil. miguel.guimaraes@fmaedu.br Instituto Federal de Educação Maranhão Brasil
Universidade Federal do Vale do São Francisco, Campus Juazeiro, Bahia, Brasil. mjmguimaraes@hotmail.com, brauliro.leal@univasf.edu.br Universidade Federal do Vale do São Francisco Universidade Federal do Vale do São Francisco Bahia Brazil

Abstract

Sisal is widely produced in the semi-arid region of Bahia State, Brazil, and an important source of economic income for rainfed agriculture. Thus, the objective of the study was to analyze and classify the historical series of rainfall in relation to its profiles and the trends related to rainfall and sisal production in two mesoregions and four meteorological stations. Pluviometric characterization and water balance were carried out; data were organized to fit Gumbel's model and classified by the Quantis technique; then, the trend was determined through the non-parametric test of Mann-Kendall. Average rainfalls between 565.1 and 687.3 mm were obtained, very dry years with rainfalls between 370.3 and 445.7 mm and very rainy years, between 748.3 and 962.5 mm, with a trend of reduction of productivity in years classified as dry and very dry and vice versa.

Keywords:

climate variability, Mann-Kendall, Agave sisalana Perrine, sisal.

Resumen

El sisal es ampliamente producido en la región del semiárido del estado de Bahia, Brasil, y una importante fuente de ingresos económicos para la agricultura a secano. Así, el objetivo del estudio fue analizar y clasificar las series históricas de la precipitación en relación a sus perfiles y las tendencias relacionadas a las lluvias y producción de sisal en dos mesoregiones y cuatro estaciones meteorológicas. Se realizó la caracterización pluviométrica y el balance hídrico; los datos fueron organizados para ajuste del modelo de Gumbel y clasificados por la técnica de quantis; luego se determinó la tendencia mediante el test no paramétrico de Mann-Kendall. Se obtuvo precipitaciones medias entre 565.1 a 687.3 mm, años muy secos con precipitaciones entre 370.3 y 445.7 mm y muy lluviosos, entre 748.3 y 962.5 mm, existiendo una tendencia de reducción de la productividad en años clasificados como secos y muy secos e viceversa.

Palabras clave:

variabilidad climática, Mann-Kendall, Agave sisalana Perrine, sisal.

1. Introduction

According to [1] and [2], sisal can be grown in areas where the climate and soil conditions are not favorable for the development of crops that are highly demanding in water and nutrients, and emerges as an economic alternative for the Sertão Nordestino. In much of the region that concentrates sisal production, there are moderate limitations to sustainable production, thus requiring precise and adequate management of soil and water resources to avoid degradation and, at the limit, desertification [3].

The United Nations Food and Agriculture Organization [4] classifies sisal as one of the "fibers of the future", because it grows well in hot climates, including dry zones that cannot be used for other crops; it can be cultivated in almost all types of soil (except very humid, saline or clayey) all year round; besides having fewer diseases, weeds and needing less inputs.

The traditional uses are that sisal is converted into yarns, ropes and carpets, and used in cellulose manufacturing to produce high-resistance handmade paper, manufacturing reinforced composites for applications in the automotive industry, furniture, household appliances, sacks, crafts and construction [5, 6]. Other outstanding benefits of the plant are the environmental benefits of being a renewable resource that during its cycle absorbs less carbon dioxide than it produces; it can be used for the generation of bioenergy, fertilizers, fibers, pharmacological products, etc.; besides the benefits in the prevention of soil erosion, among others [4]. Additionally, [7] point out that the production of sisal fiber has much lower greenhouse gas emissions (75 to 95%) and non-renewable energy use (85 to 95%) compared to fiberglass. Another possibility is the supply to animals in times of greatest scarcity [5].

Prosperity in the sisal production process in Bahia, among the various developments, influenced the consolidation and emancipation of small cities that were concentrated in the Mesoregion of Northeast Bahia and the Mesoregion of Center North Bahia. With the emergence of these new cities, sisal experienced its peak phase, between the 50s and 60s [8,9]. This region was historically isolated due to characteristics such as water scarcity, infrastructure problems, unfavorable climatic conditions, aridity of the climate, among others, making the management of other crops almost impossible [10].

Sisal (Agave sisalana Perrine) was introduced in Bahia, more specifically, in the municipality of Santaluz, located in the Mesoregion of Northeast Bahia in 1910 and currently the production is concentrated in the region called "sisaleira" [11,12]. It began to be exploited commercially at the end of the 1930's and its excellent adaptation to the edaphoclimatic conditions of Bahia gives sisal great socioeconomic importance, generating employment and income [13]. The state of Bahia is the main producer of sisal in Brazil, with a contribution of about 93% of the national production [14].

The conditions under which sisal develops better are similar to those in the semi-arid region, with the ideal temperature for the good development of the crop being around 20 to 28 °C, in the daytime period, with the favoring of water absorption by the plant, through the dew of the mild temperatures in the period of the nights, typical of the Mesoregions Northeast and Center North of Bahia [11].

The plant adapts well to the region that has an average annual temperature of 30 °C, rainfall varying between 400 and 700 mm per year and an average relative humidity of 60% [5]. In addition to the good productivity responses with different soil classes, it is cultivated in the different types found in the semi-arid region of Bahia, mostly of low fertility [15].

Sisal, the green gold of the Sertão, is an exceptional plant for its ability to adapt to the semi-arid region of Bahia, being able to create and recreate income possibilities and can be an engine of economic and social development [16].

In view of the low requirement of soil preparation, rainfall becomes the most important component, and knowledge on its spatial and temporal patterns is necessary, since inter-annual variations in rainfall patterns affect the availability of water resources and consequently agricultural productivity [17], especially considering that in Northeastern Brazil, the sisal crop is technically quite simple, with minimal technology [5].

In the rainfed farming system, with rainfall as the source of water, the understanding of rainfall patterns is of great importance for successful crop planning in a profitable farming mode [18]. The same authors have indicated that the low predictability of rain makes sisal crop planning difficult. When agriculture is largely rainfed and prolonged droughts occur, it is extremely important to maintain the crop. The impacts of drought on different sectors, such as agriculture and hydrology, as well as its impact on society, need to be evaluated and minimized. The extreme events of flood and drought and their monitoring are also challenging when they are modulated by changes in the climate, due to the possible consequences of global warming. For [6], studies on the reduction of water use in areas of water stress deserve further analysis. [19] also prioritized the rainfed farming system, because water is a limiting factor and increases production cost.

The knowledge of such inter-annual variations constitutes an important planning tool. One technique that allows the pluviometric classification is the Quantis technique, which was described by [20] and is based on the distribution of the accumulated frequency. For the application of this methodology, which seeks to approximate the probability density function, the greater the number of observations, the better the classification.

Thus, Quantis makes it possible to obtain values that classify rainfall regimes as very dry (VD), dry (D), normal (N), rainy (R) and very rainy (VR). Applications such as that of [21] allow us to observe that the technique is of simple application, making it possible to quantify the quantum classes of the annual rainfall, consequently the annual water availability of a given region.

In this context, the objective of this work was to verify the quality of the maximum annual rainfall data in the fit of the Gumbel distribution model, to estimate the return periods for the maximum annual rainfall, to characterize the rainfall profiles and, through the Quantis technique for the Mesoregions of Northeast and Center North of Bahia, as well as verifying the dependence of sisal productivity on the rainfall of the respective mesoregions.

2. Material and methods

2.1 Study area, data acquisition and rainfall ch aracterization

The study region (Fig. 1) comprises two agricultural centers of Sisal cultivation with potential and relevance for domestic market supply and export. The two mesoregions are represented by the Northeast and the Center North of Bahia. For rainfall and water balance characterization, rainfall data were obtained through the Superintendence for the Development of the Northeast (SUDENE) and the National Institute of Meteorology (INMET) (www.inmet.gov.br/portal/). Sisal production data for the mesoregions were obtained through the Agropensa System of the Brazilian Agricultural Research Corporation (EMBRAPA) (www.embrapa.br/agropensa).

Location of the two mesoregions under study and the respective INMET weather stations.

Figure 1: Location of the two mesoregions under study and the respective INMET weather stations.

Source: The Authors

Rainfall data were obtained from two different sources (Table 1): data for the period from 1912 to 1993 were obtained by the historical series of SUDENE and data for the period from 1993 to 2018 were obtained by daily historical series of INMET.

Table 1: Location and history of weather stations

Mesoregion Stations Period Total years
Northeast Bahia Cipó Jan, 1945 - Dec, 2018 74
Monte Santo Jan, 1912 - Dec, 2018 107
Center North Bahia Jacobina Jan, 1953 - Dec, 2018 66
Irecê Jan, 1944 - Dec, 2018 75

Source: The Authors

The number of years for each station complies with the recommendation of the World Meteorological Organization (WMO), which recommends 30 years or more of data [23]. Thus, in the characterization of the regions studied, reliability in the rainfall data set is admitted. The understanding of the rainfall regime began with the application of the distribution [24]. The maximum annual rainfall data were submitted to the Kolmogorov-Smirnov adherence test to assess whether or not the Gumbel distribution fits the data at 1 and 5% probability levels.

The maximum annual rainfall values were estimated for the return periods of 2, 5, 10, 20, 30, 50, 100, 200 and 300 years. In eq. (1), we observe the cumulative probability function, which is Gumbel's foundation. Thus, it made it possible to calculate the maximum annual rainfall as a function of the return period from its inverse (eq. 2).

Where: y(T) - maximum daily rainfall as a function of return period; T - return period (years); μ- shape parameter; β - shape parameter; α - scale parameter.

The parameters of this probability distribution are estimated by the Momentum Method, according to eq. (3)-(4):

where: - data mean; s - standard deviation.

For the analysis of the climatological series of the annual rainfalls, the data were accumulated annually for the application of the Quantis Technique in the studied period. The technique is based on the accumulated frequency (annual), described by [25] and [20]. The quantum classes are defined as: very dry (VD: 0 - 15%), dry (D: 15 - 35%), normal (N: 35 - 65%), rainy (R: 65 -85%) and very rainy (VR: 85 - 100%).

2.2. Rainfall trend analysis and productivity

The trend analysis was carried out for the rainfall series and the number of days with rain (monthly and annual) was analyzed by the nonparametric statistical test of Mann-Kendall [26, 27]. The test statistic (S) is described by eq. (5):

where n is the number of data points, xj and xi refer to each of the measurements in different time stages i and j, with i # j; and Sgn (xj - xi) is defined by eq. (6):

If the data set is distributed identically and independently, then the mean of S is zero and the variance of S is given by eq. (7):

where: n - is the number of the data set; t - is the number of data with repeated values in a given group; q - is the number of groups containing repeated values.

During a long time series, the statistical value S can be transformed into Zc according to the following conditions given by eq. (8):

When -1.96 ≤ Zc ≤ 1.96, the null hypothesis (Ho) is accepted, which indicates that there is no statistically significant trend in the time series. The trend is significant at the 90% confidence level if |Z| > 1.64, at the 95% confidence level if |Z| > 1.96 and at the 99% confidence level if |Z| > 2.58. A positive Zc value indicates that the sequence has an increasing trend, while a negative Zc reflects a downward trend.

After the identification of the trends, an analysis of the magnitude of the trend is performed through the test of Sen's Curvature [27], as according to eq. (9):

where xj and xk are the values given at times j and k (j > k), respectively. The median of these values of N of Qi is the estimator of Sen's slope. When the values are positive the trend is positive and when the values are negative the trend is negative.

The trend analysis of Mann-Kendall was performed with the help of RStudio version 1.1.463 [28].

3. Results and discussion

Fig. 2 shows the estimates of maximum annual rainfall, where it is expected for different return periods, in years. The highest annual maximum rainfall values recorded in the studied periods were 1660.5 mm, 1465.8 mm, 1457.6 mm and 1007.7 mm for the locations of Jacobina, Cipó, Monte Santo, and Irecê, respectively, for a maximum return period of 300 years.

Maximum annual rainfall as a function of the return period for stations located in different locations between the years 1947 and 2018

Figure 2: Maximum annual rainfall as a function of the return period for stations located in different locations between the years 1947 and 2018

Source: The Authors

From the equations fitted in Fig. 2, it is observed that the occurrence of annual rainfall with values above the maximums verified in the historical series evaluated will be close to return periods of about 120, 135, 45 and 140 years for the localities of Cipó, Monte Santo, Jacobina and Irecê, respectively. Similar results are presented by [29], who obtained negative trends for the R99p index, related to extreme rainfall (characterized by concentrated rainfall events that produce river and reservoir flooding) in the period from 1947 to 1991, in the mesoregion of northeast Bahia.

A return period of up to ten years is also a good factor to be evaluated in the agricultural planning of a property, considering that most agricultural farms plan for five, ten or fifteen years. Based on this period, it is possible to follow, in a decadal way, the rainfall behavior, and thus carry out the planning of implementation of orchards (annual and perennial), as well as estimating the productivity of rainfed crops.

It is possible to verify an adequate Gumbel probability distribution in the estimation of the maximum rainfall intensity evaluated by the Kolmogorov-Smirnov test at 1% significance level for the studied localities, which showed good adherence between the observed distribution and the theoretical Gumbel distribution (Fig. 3). Other authors such as [30] tested different probabilistic models for the study of the maximum annual rainfall intensity series in the State of Bahia and found that the Gumbel model was the one that best fitted historical data series by the National Electric Energy Agency (ANEEL) in the period from 1975 to 1999.

Frequency distribution of maximum annual rainfall observed and estimated by the Gumbel model, for the municipalities of Cipó (A), Monte Santo (B), Jacobina (C) and Irecê (D).

Figure 3: Frequency distribution of maximum annual rainfall observed and estimated by the Gumbel model, for the municipalities of Cipó (A), Monte Santo (B), Jacobina (C) and Irecê (D).

Source: The Authors

The evaluation of extreme rainfall events is a very important tool in decision making both in agricultural planning and in the design of large urban works. In these situations, it is necessary to study the rainfall profile of the location where the work will be implemented so that all structures are sized to meet the demands of the climate, such as the urban and/or agricultural drainage system, thus avoiding the collapse of the structure.

In Fig. 3 it is possible to observe a good adherence between the observed and the theoretical distribution by the Gumbel model in the four municipalities, for the observed and the estimated maximum annual rainfall series. These results are in agreement with [31] and [32], who concluded that the probability distribution by Gumbel was adequate in estimating the intensity of annual rainfall for analysis in the state of Bahia.

Gumbel's distribution is one of the most commonly used statistical tools for this type of study, since several authors [33,34,17], when evaluating series of rainfall data in different locations in Brazil, observed good adherence between the observed distribution and the theoretical obtained, through adherence tests, corroborating the data presented in Fig. 3.

When evaluating the historical rainfall profiles presented in Fig. 4, one can note that the rainfall regimes are well distributed in the period, with no more than three consecutive years with extreme rainfall regimes (very dry and very rainy) in all the studied locations. The occurrence of an extreme rainfall regime for many years in a row directly interferes with the entire water resource management of any region.

Quantum classification for annual rainfall at weather stations in the municipalities of Cipó (A), Monte Santo (B), Jacobina (C) and Irecê (D). Y axis values are standardized by Mesoregion

Figure 4: Quantum classification for annual rainfall at weather stations in the municipalities of Cipó (A), Monte Santo (B), Jacobina (C) and Irecê (D). Y axis values are standardized by Mesoregion

Source: The Authors

In situations of very dry years in a row there can be an evolution of drought, to the point of characterizing a hydrological drought, which is related to the reduction of the average levels of water in the reservoirs and the depletion of water in the soil [35]. In the opposite way, sequences of very rainy years can cause tragedies such as the rupture of barrages and dams, as well as the flooding of cities and a drop in productivity due to excess water in the agricultural system. These results are in line with [36], who obtained a high variability in time series in the study of annual and intra-annual rainfall variability in the northeast region of Brazil, indicating an almost random behavior.

When comparing the locations, we can observe that a year characterized as normal has from 539 to 680 mm (Fig. 4). However, when the extremes are evaluated, the city of Irece stands out with a lower water availability, with averages of very dry and very rainy years of 306.3 and 876.18 mm, respectively. [29] studied a period of 45 years (1947 to 1991) and inferred that there was an increase with total rainfall time and frequency of rainfall in the mesoregions of the center-north and northeast of Bahia, but with a decrease in Irece, results that are similar to those observed in Fig. 4

The use of the quantum climate classification of rainfall, associated with the analysis of extreme events of Gumbel, is a very important tool that should be adopted in agricultural planning in rainfed crops. These methodologies allow the observation of environmental variations on a space-time scale dynamically and intuitively, being used by several authors, including the National Center for Monitoring and Alert of Natural Disasters [37] in several Mesoregions of Brazil with the purpose of classifying rainfall for annual and shorter periods. The results of [38] indicated that the main drought events were observed in the 1950s, 1960s and 1990s, and the most comprehensive around 1953, periods that are also observed in Fig. 4.

When comparing sisal production data with the rainfall profiles of the localities that represent the Center North and Northeast of the State of Bahia (Fig. 4), there are several years with associations, as the most productive years were classified as normal, rainy or very rainy in most localities. In contrast, the years with the lowest productivity, such as 1998 and 2012, were classified as dry or very dry. The results obtained are in line with [18], who indicate that, although sisal is able to survive and grow with little water, it responds well to favorable soil moisture conditions resulting from rain or irrigation.

The sisal production data for the Northeast in 1996 presented in Fig. 5 are similar to those presented by FAO for the same year. The exploitation of sisal was concentrated in the States of Bahia (87%), Paraíba (7.4%) and Rio Grande do Norte (5.2%). The productivity of farming in the Northeast (ton ha-1) for the five-year period 1990/91 - 1994-95 was 764.50 [15], a period characterized as very dry for Cipó and Monte Santo, and very dry, dry and normal for Jacobina and Irecé. [4] mentions that the average yield of dry fibers is approximately one ton per hectare, although it reaches 2.5 tons in East Africa and 0.5 to 1.2-ton ha-1 in the state of Bahia [7].

Productivity of sisal in the Northeast Region, in Bahia and in mesoregions of Bahia. On the main axis: NE-Northeast; BA-Bahia; CN_BA - Center North of Bahia; NE_BA-Northeast of Bahia. On the secondary axis: NE/BA - Production of Bahia relative to that of the Northeast; BA/CNBA - Production of the Center North of Bahia relative to that of Bahia; BA/NEBA - Production of the Northeast of Bahia relative to that of Bahia.

Figure 5: Productivity of sisal in the Northeast Region, in Bahia and in mesoregions of Bahia. On the main axis: NE-Northeast; BA-Bahia; CN_BA - Center North of Bahia; NE_BA-Northeast of Bahia. On the secondary axis: NE/BA - Production of Bahia relative to that of the Northeast; BA/CNBA - Production of the Center North of Bahia relative to that of Bahia; BA/NEBA - Production of the Northeast of Bahia relative to that of Bahia.

Source: The Authors

The existing correlations between rainfall regimes and agricultural productivities are implied. However, [5] reported that some factors that are close to the level of rainfall are the development of the crop adopted for a given region [13] and the degree of technology employed. They also reported that the lower the use of technologies, as well as agricultural planning, the greater the influence on the negative scope of variations in rainfall regimes.

Even though there are several environmental and technological factors that will influence the final production of the crop, a good correlation can be observed between the productivity data and the annual rainfall in the studied locations, which showed linear growth trends with the increase in total rainfall (Fig. 6).

Sisal productivity as a function of annual rainfall for Cipó (A), Monte Santo (B), Jacobina (C) and Irecê (D)

Figure 6: Sisal productivity as a function of annual rainfall for Cipó (A), Monte Santo (B), Jacobina (C) and Irecê (D)

Source: The Authors

The results are supported by [7], who mention that the region of the state of Bahia has an average annual rainfall of around 400 to 700 mm. In addition, the results show that most years in the period studied have rainfall greater than 400 mm year-1, considered the minimum required for the crop according to [6]. On the other hand, [15] indicates that excessive moisture is harmful to the crop, as well as prolonged droughts.

This same correlation was not observed in studies that evaluated the productivity of corn, rice and soybean in the state of Bahia and Tocantins [31] or the production of papaya, cocoa, coconut, bananas, passion fruit and wood in the municipalities of Belmonte and Ipiau in the state of Bahia for the period from 2004 to 2015 [39]. The authors report that, because they are crops with a high rate of use of technology in cultivation, in many occasions the effect of rainfall is suppressed with some production techniques, such as irrigation, greater or lesser extent of forest remnants, topography, among other factors. A different situation occurs for the sisal production system, as in Brazil the crop is produced on smaller farms, mainly by small landowners on family farms, with simple and traditional agricultural techniques [2,7]. Another factor that can be considered is that the photosynthetic metabolism of sisal is of the Crassulacean Acid Metabolism type (CAM), which allows the efficient use of water and tolerance to drought. According to [40], the leaves have the stomas in cavities called crypts, which increase the resistance to water loss as part of the internal moisture control system.

The study by [41] also reinforces the importance of rainfall for productivity in sisal crop, since they found no significant differences for the variables: plant height, number of leaves and long leaves when comparing the varieties Agave sisalana Perrine and the hybrid H11648 under different limestone dosages and sowing systems, and Agave sisalana Perrine showed quantitative superiority over the hybrid. The understanding of rainfall in relation to sisal productivity in the study areas can be performed on an annual basis, which is justified by the fact that the plant is usually subjected to one cut per year.

According to [5], sisal develops in semiarid zones with rainfall between 650 and 1250 mm and relative humidity between 66 and 70%, and it is found that during most of the periods studied, the rainfall of the region meets the requirements of the crop. [11] indicate that the average productivity of sisal per hectare in the State of Bahia is 1200 kg ha-1.

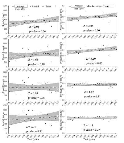
The Mann-Kendall trend for total annual rainfall and annual productivity and the difference of rainfall relative to the average (surplus) are illustrated in Fig. 7, with the parameters: Z and p-value statistics (significance of the trend at 1% (p<0.01), 5% (p<0.05) and 10% (p<0.1) levels), considered to identify the increasing or decreasing trend in the annual rainfall time series (mm) and productivity (ton ha-1) for Cipó, Monte Santo, Jacobina and Irecé.

Historical series of annual rainfall accumulations for Cipó (A), Monte Santo (C), Jacobina (E) and Irecê (G), and annual productivities for Cipó (B), Monte Santo (D), Jacobina (F) and Irecê (H).

Figure. 7: Historical series of annual rainfall accumulations for Cipó (A), Monte Santo (C), Jacobina (E) and Irecê (G), and annual productivities for Cipó (B), Monte Santo (D), Jacobina (F) and Irecê (H).

Source: The Authors

A trend towards total annual rainfall was observed for the cities of Cipó (p = 0.04) and Monte Santo (p = 0.10) with rates of increase of 9.29 mm year-1 and 6.99 mm year-1, respectively. The productivity values had an increase rate of 0.01 ton year-1 in the cities of Cipó and Monte Santo. The cities of Jacobina and Irecé did not give a significant trend for the variables analyzed. Similar results were observed by [42], who did not find a significant trend in the cities of Jacobina and Irecé.

Table 2: Trend for all locations.

Sen's slope
Rainfall (mm year-1) Productivity (ton year-1)
Cipó 9.29 0.010
Monte Santo 6.99 0.010
Jacobina 8.07 0.002
Irecê 0.20 0.002

Source: The authors

A trend towards total annual rainfall was observed for the cities of Cipó (p = 0.04) and Monte Santo (p = 0.10) with rates of increase of 9.29 mm year-1 and 6.99 mm year-1, respectively. The productivity values had an increase rate of 0.01 ton year-1 in the cities of Cipó and Monte Santo. The cities of Jacobina and Irecê did not give a significant trend for the variables analyzed. Similar results were observed by [42], who did not find a significant trend in the cities of Jacobina and Irecê.

However, the data found in this study differ from the results presented by [43], who verified trends of annual rainfall reduction in several cities of the state of Bahia when analyzing trends in the rainfall regime, in the number of days of rainfall and temperature in stations located in the Northeast of Brazil. Trends in rainfall reduction were also observed by [44] when studying the Riacho do Navio Basin (Pernambuco), which has the same climatic conditions of the region evaluated in this study. The productivity of sisal shows a good correlation with the annual rainfall data in the cities considered, so it can be verified that the trends of productivity evaluated follow the behavior of rainfall trends, with a significant increase in productivity in the cities of Cipó and Monte Santo, and without significance in the cities of Jacobina and Irecê.

4. Conclusions

The regions comprising the cities of Cipó, Monte Santo, Jacobina and Irecê have an average annual rainfall of 597.4, 622.8, 687.3 and 565.1 mm, with very dry years with values below 393.7, 416.7, 445.7 and 370.3 mm and very rainy years with values above 800.1, 847.5, 962.5 and 748.3 mm, respectively.

There is a trend of reduction in sisal productivity in years classified as very dry and dry, and a trend of increase in years classified as rainy and very rainy.

The results related to the trend indicate an increase in total annual rainfall and sisal productivity in Cipó and Monte Santo cities. There are no trends for Jacobina and Irecê.

References

  1. [1] Santos, D.A.J., Produção e consumo, in: Andrade, W., O sisal no Brasil, Brasília, SINDIFIBRAS, 2006, pp. 45-55. 🠔
  2. [2] Cantalino, A., Torres, E.A. and Silva, M.S., Sustainability of sisal cultivation in Brazil using co-products and wastes, Journal of Agricultural Science, 7(7), pp. 64-74, 2015. DOI: 10.5539/jas.v7n7p64 [DOI] 🠔
  3. [3] Bahia. Superintendência de Estudos Económicos e Sociais da Bahia. Aptidão agrícola das terras - estado da Bahia, Salvador, SEI, [online]. 2007. Available at: http://www.sei.ba.gov.br [URL] 🠔
  4. [4] Food and Agriculture Organization of the United Nations (FAO). Future Fibres: Sisal. [online]. 2020. Available at: http://www.fao.org/economic/futurefibres/fibres/sisal/es/. [URL] 🠔
  5. [5] Silva, O.R.R.F., Coutinho, W.M., Cartaxo, W.V., Sofiatti, V., Da Silva Filho, J.L., Carvalho, O.S. e Da Costa, L.B., Cultivo do Sisal no Nordeste Brasileiro-Circular Técnica, EMBRAPA, Campina Grande, Brasil, 2008. 🠔
  6. [6] Anandjiwala, R.D. and John, M., Sisal-Cultivation, processing and products. Industrial applications of natural fibres, in: Míissig, J. Ed., Industrial Applications of Natural Fibres: Structure, Properties and Technical Applications, Wiltshire, U.K., 2010, pp. 181-195. DOI: 10.1002/9780470660324 [DOI] 🠔
  7. [7] Broeren, M.L.M. et al., Life cycle assessment of sisal fibre-exploring how local practices can influence environmental performance. Journal of Cleaner Production, 149, pp. 818-827, 2017. DOI: 10.1016/j.jclepro.2017.02.073 [DOI] 🠔
  8. [8] Silva, O.A. da., Rede urbana e dinâmica regional no estado da Bahia, in: Dias, P.C. and Santos, J., Eds., Cidades médias e pequenas, (Série estudos e pesquisas), Salvador, SEI, Brasil, 2012. 🠔
  9. [9] Santos, E.M.C. e Silva, O.A., Sisal in Bahia - Brazil. Mercator, Fortaleza, 16, art. 16029, 2017. DOI: 10.4215/rm2017.e16029 [DOI] 🠔
  10. [10] Sousa, E.P., Soares, N.S., Alves, A.V.S. e da Silva, M.L., Competitividade dos produtores de sisal da Bahia. Revista Económica do Nordeste [Online]. 49(3), pp. 39-49, 2018 [date of reference Nov 18th of 2020]. Available at: Available at: https://n9.cl/gfys [URL] 🠔
  11. [11] Andrade, R., Ornelas, J. e Brandão, W., Situação atual do sisal na Bahia e suas novas possibilidades de utilização e aproveitamento. Comunicação SEAGRI, 2012, pp. 14-19. 🠔
  12. [12] Lopes da Cunha Neto, I. e Martins, F.M., Anatomia dos órgãos vegetativos de Agave sisalana Perrine ex En-Gelm (Agavaceae). Revista Caatinga [Online]. 25(2), pp. 72-78, 2012. [date of reference Nov 25th of 2020]. Available at: Available at: https://www.redalyc.org/pdf/2371/237123825011.pdf [URL] 🠔
  13. [13] Alves, M.O., Santiago, E.G. e Lima, A.R.M., Diagnóstico socioeconómico do setor sisaleiro do Nordeste brasileiro, Fortaleza, Banco do Nordeste do Brasil AS, 2005, pp. 15-17. 🠔
  14. [14] BAHIA. Secretaria de Ciência, Tecnologia e Inovação - SECTI/BA, Plano de Desenvolvimento do APL de Sisal da Bahia. Programa Empresa Competitiva Bahia, Salvador, Brasil, 2007. 🠔
  15. [15] Oashi, M. da C.G., Estudo da cadeia produtiva como subsídio para pesquisa e desenvolvimento do agronegócio do sisal na Paraíba, Ph.D Thesis, Programa de Pós-Graduação em Engenharia de Produção da Universidade Federal de Santa Catarina, Florianópolis, Brasil, 1999. 🠔
  16. [16] Santos, E.M.C. and Silva, O.A., Sisal in Bahia - Brazil, Mercator (Fortaleza. Online), 16, pp. 1-13, 2017. DOI: 10.4215/rm2017.e16029 [DOI] 🠔
  17. [17] Guimarães, M.J.M., Lopes, I., da Silva, W.P. e da Silva, A.S., Estudo das precipitações máximas para o município de Cruz das Almas, BA. Magistra. [online]. 27(3/4), pp. 316-322, 2017 [date of reference Nov 26th of 2020]. Available at: Available at: https://magistraonline.ufrb.edu.br/index.php/magistra/article/viewFile/398/75 [URL] 🠔
  18. [18] Sarkar, S., Kundu, D.K. and Mahapatra, B.S., Rainfall probability analysis of the western Odisha plateau region for sisal (Agave sisalana Perrine ex Engelm.) based cropping system. Journal of Agricultural Physics, [Online]. 13(1), pp. 62-70, 2013 [date of reference Oct 15th of 2020]. Available at: Available at: https://n9.cl/9gr1i [URL] 🠔
  19. [19] Holtum, J.A., Chambers, D.O.N., Morgan, T. and Tan, D.K., Agave as a biofuel feedstock in Australia. Gcb Bioenergy, 3(1), pp. 58-67, 2011. DOI: 10.1111/j.1757-1707.2010.01083.x [DOI] 🠔
  20. [20] Xavier, T.M.B.S., Tempo de chuva: estudos climáticos e de previsão para o Ceará Nordeste setentrional. Fortaleza: ABC Editora, 2001, 478 P. 🠔
  21. [21] Santos, F.A. e Aquino, C.M.S., Delimitação, avaliação das potencialidades e limitações das unidades ambientais no município de Juazeiro do Piauí, Nordeste do Brasil: como subsídio ao planejamento ambiental. Revista GEOgrafias, 15, pp. 65-81, 2017. 🠔
  22. [22] SUDENE- Superintendência para o Desenvolvimento do Nordeste. Dados Pluviométricos Mensais do Nordeste. Recife, Brasil, 1993. 🠔
  23. [23] WMO. Calculation of monthly and annual 30-year standard normals, WCDP No. 10, WMOTD No. 341. World Meteorological Organization, Geneva. 1989. 🠔
  24. [24] Gumbel, E.J., Statistical of Extremes. Columbia University Press, New York, USA, 1958, 375 P. 🠔
  25. [25] Xavier, T.M.B.S. e Xavier, A.F.S., Classificação e Monitoração de períodos secos ou chuvosos e cálculo de índices pluviométricos para a região nordeste do Brasil. Revista Brasileira de Engenharia -Caderno de Recursos Hídricos, 5(2), pp. 7-31, 1987. 🠔
  26. [26] Mann, H.B., Nonparametric tests against trend. Econometrica, Chicago, 13(3), pp. 245-259, 1945. 🠔
  27. [27] Kendall, M.G., Rank correlation methods. Griffin, London, U.K., 1975, 202 P. 🠔
  28. [28] Sen, P.K., Estimates of the regression coefficient based on Kendall's tau. J. Am. Stat. Assoc., 63(324), pp. 1379-1389, 1968. 🠔
  29. [29] Rstudio Team. RStudio: Integrated Development Environment for R. RStudio Inc., Boston, MA. USA, [online]. 2015, Available at: http://www.rstudio.com, [URL] 🠔
  30. [30] Araújo, W.D.S. and Brito, J.I.B.D., Indices of trends of climatic changes for the states of the Bahia and Sergipe by means of daily precipitacion indices and its relation with SST'S of the Pacific and Atlantic. Revista Brasileira de Meteorologia, 26(4), pp. 541-554, 2011. DOI: 10.1590/S0102-77862011000400004. [DOI] 🠔
  31. [31] Silva, D.D.D., Gomes Filho, R.R., Pruski, F.F., Pereira, S.B. e Novaes, L.F.D., Chuvas intensas no Estado da Bahia. Revista Brasileira de Engenharia Agrícola e Ambiental, 6(2), pp. 362-367, 2002. DOI: 10.1590/S1415-43662002000200030 [DOI] 🠔
  32. [32] Lopes, I., de Carvalho, A.A., de Morais, J.E.F., Silva, D.A. e Leal, B.G., Pluviometria, balanço hídrico e produtividade agrícola para regiões da Bahia e Tocantins. Revista Engenharia na Agricultura, 27(3), pp. 257-271, 2019. DOI: 10.13083/reveng.v27i3.866 [DOI] 🠔
  33. [33] Jesus, J.B.D. e Nascimento, Y.D.S., Tempo de retorno e espacialização das precipitações máximas pelo método dos momentos para o estado da Bahia. Engenharia Sanitaria e Ambiental, 25(1), pp. 127-131, 2020. DOI: 10.1590/s1413-41522020200508 [DOI] 🠔
  34. [34] Almeida, B.M., José de, J.V., Duarte, S.N., Frizzone, J.A., Arraes, F.D. e Perboni, A., Análise de tendência temporal da precipitação diária máxima no Estado de São Paulo. Water Resources and Irrigation Management-WRIM [Online]. 3(1), pp. 1-12, 2014 [date of reference Oct 12th of 2020]. Available at: Available at: http://www3.ufrb.edu.br/seer/index.php/wrim/article/download/1619/851 [URL] 🠔
  35. [35] Barreto, H.B.F., Pereira, G.M., Barreto, F.P., chaves Freire, F.G. e Maia, P.D.M.E., Relação intensidade-duração-frequência para precipitação extrema em Mossoró-RN. Global Science and Technology, 7(3), 2015. DOI: 10.14688/1984-3801/gst. [DOI] 🠔
  36. [36] Tucci, C.E.M., Hidrologia: ciência e aplicação. 3rd ed. Editora da UFRGS: ABRH, Porto Alegre, Brasil, 2004. 943 P. 🠔
  37. [37] Silva, V.D.P. da, Pereira, E.R.R. e Almeida, R.S.R., Estudo da variabilidade anual e intra anual da precipitação da região Nordeste do Brasil. Revista Brasileira de Meteorologia [Online]. 27(2), pp. 163-172, 2012. [date of reference Oct 23th of 2020]. Available at: Available at: https://www.scielo.br/pdf/rbmet/v27n2/a05v27n2 [URL] 🠔
  38. [38] Tomasella, J., Vieira, R.M.S.P., Barbosa, A.A., Rodriguez, D.A., Santana, M.O. and Sestini, M.F., Desertification trends in the northeast of Brazil over the period 2000-2016. International Journal of Applied Earth Observation and Geoinformation, 73, pp. 197-206, 2018. DOI: 10.1016/j.jag.2018.06.012 [DOI] 🠔
  39. [39] Silva, F., Genz, F., Aguiar, W., Silva, N. e Kiperstok, A., Avaliação da ocorrência de secas na Bahia utilizando o índice de Precipitação Padronizada (SPI). Bahia Análise & Dados. [Online]. 23(2), pp. 461-473, 2013. [date of reference Oct 5th of 2020]. Available at: Available at: https://n9.cl/u6zq [URL] 🠔
  40. [40] De Aguiar, P.C.B., Lima-Bruno, N., de Moura-Pires, M., Cabicieri-Profice, C. e Domiciano-Galvíncio, J., Efeitos da precipitação pluviométrica sobre a produção agrícola nos municípios de Belmonte e Ipiaú, estado da Bahia, Brasil. Revista Geográfica de América Central, 1(64), pp. 235-267, 2020. DOI: 10.15359/rgac.64-1.9 [DOI] 🠔
  41. [41] SÁ, F.O. de., Controle biológico da podridão vermelha do Sisal (Agave sisalana Perrine) com Trichoderma ssp. e Actinobactérias. PhD. Thesis. Pós-Graduação em Ciências Agrárias, Universidade Federal da Bahia, Brasil, 2013. 🠔
  42. [42] Betancourt, P. y Mujica, Y.P., Efecto de la fertilización cálcica y el sistema de cultivo del sisal en un sector del semiárido del estado Lara. Agronomia Tropical, [Online], 63(1/2), pp. 85-91, 2013. [date of reference Oct 22th of 2020]. Available at: Available at: http://www.scielo.org.ve/pdf/at/v63n1-2/art09.pdf [URL] 🠔
  43. [43] Lima, J.R.A., Neves, D.J.D., de Araújo, L.E. e de Azevedo, P.V., Identificação de tendências climáticas no Estado da Bahia. Revista de Geografia (Recife). [Online], 28(3), pp. 172-187, 2011. [date of reference Nov 26th of 2020]. Available at: Available at: https://periodicos.ufpe.br/revistas/revistageografia/article/download/228962/23371 [URL] 🠔
  44. [44] Carvalho, A.A.D., Montenegro, A.A.D.A., Silva, H.P.D., Lopes, I., de Morais, J.E. and da Silva, T.G., Trends of rainfall and temperature in Northeast Brazil. Revista Brasileira de Engenharia Agrícola e Ambiental, 24(1), pp. 15-23, 2020. DOI: 10.1590/1807-1929/agriambi.v24n1p15-23 [DOI] 🠔
  45. [45] Carvalho, A.A. de, Lopes, I. e da Silva, O.F., Tendências observadas na precipitação sobre a Bacia do Riacho do Navio (Pernambuco). Anuário do Instituto de Geociências, 42(4), pp. 56-70, 2020. DOI:10.11137/201945670 [DOI] 🠔
Lopes, I., Carvalho, A.A., Guimarães, M.J.M., Melo, J.M.M. Mollericona-Alfaro, M.D. and Gonçalves-Leal, B.G. Rainfall profiles and sisal productivity for Bahia mesoregions, Brazil. DYNA, 89(220), pp. 35-42, January - March, 2022.
is BSc. Eng. in Agricultural and Environmental Engineering in 2014 and with a MSc. in Agricultural Engineering in 2016, all of them from the Federal of Vale do São Francisco University, Brazil. PhD in Agricultural Engineering at the Federal Rural University of Pernambuco, Brazil. Professor of Agricultural Engineering at the Federal Institute of Education, Science and Technology of Bahia, Bom Jesus da Lapa campus, Bahia-Brazil. ORCID: 0000-0003-0592-4774
is BSc. Eng. in Agricultural Engineering in 2013, from the Federal Rural University of Pernambuco (UFRPE/UAST), Brazil, MSc. in Agricultural Engineering in 2015, from the Federal University of Vale do São Francisco (UNIVASF), Brazil, and Dr. in Agricultural Engineering in 2019, from the Federal Rural University of Pernambuco (UFRPE), Brazil, and PhD in 2020-2021, (PNPD). He works in research on irrigation management via climate and soil. He develops research aimed at the use of conservationist practices, with emphasis on the application of mulch to conserve water and soil. He is currently carrying out research on water reuse for hydro-agricultural purposes, with emphasis on the production of forage in a semi-arid climate. He works with geostatistics techniques, agroclimatic zoning, soil water balance and agroclimatological modeling analysis. In addition, he develops projects aimed at the development and calibration of agrometeorological micro-stations and micro-probes for reading soil moisture and automating irrigation systems. ORCID: 0000-0001-8783-649X
is BSc. in Agronomist graduated in 2012, from the Federal University of Recôncavo of Bahia, Bazil, has a MSc. In 2014 and PhD in 2017, in Agricultural Engineering from the Federal Rural University of Pernambuco (UFRPE), Brazil, and PhD. In 2020 (PNPD/CAPES) in the Graduate Program in Agricultural Engineering (CPGEA/UNIVASF). Vast experience in studies focused on the management of water resources in semi-arid regions, developing work in the field of geosciences as an analyst in digital image processing obtained by drones, focusing on projects focused on precision agriculture, environmental preservation, geoprocessing and topography. Professor of Agronomy at the Federal Institute of Education, Science and Technology of Maranhão, São Raimundo das Mangabeiras campus, Maranhão-Brazil. ORCID: 0000-0002-5497-6442
is BSc. Eng. in Agricultural and Environmental Engineering in 2014, from the Federal University of Vale do São Francisco, Brazil and with MSc. in Agronomic Engineering: irrigated horticulture in 2017, from the State University of Bahia, Brazil, currently pursuing a PhD in Agricultural Engineering from the Federal University Rural of Pernambuco, Brazil. ORCID: 0000-0003-2554-2423
is BSc. Eng. in Agronomist Engineering in 2016, from the Mayor de San Andrés University, Bolivia, currently pursuing for a Master's degree in Agricultural Engineering at the Federal Rural University of Pernambuco, Brazil. ORCID: 0000-0001-8243-781X
works at the Federal University of Vale do São Francisco, Brazil, as a professor. He has a BSc. in Physics, a MSc. in Agronomy (Applied Meteorology) and a Dr. in Agricultural Engineering, all of them from the Federal University of Viçosa, Brazil. He has experience in the field of software development for management of irrigation in agricultural systems, acting in modelling, simulation, irrigation and climatology. ORCID: 0000-0003-4449-6995