DYNA
0012-7353
2346-2183
Universidad Nacional de Colombia
https://doi.org/10.15446/dyna.v88n219.94927

Recibido: 7 de abril de 2021; Revision Received: 2 de septiembre de 2021; Aceptado: 2 de septiembre de 2021

Designing a microtransit system with electric vehicles using discrete-event simulation: case of a university campus

Diseñando un sistema de microtránsito con vehículos eléctricos usando simulación de eventos discretos: caso de un campus universitario

E. Apolo-Matamoros, a W. Guerrero Rueda, a

Facultad de Ingeniería, Universidad de La Sabana, Chía, Colombia. edisonapma@unisabana.edu.co, william.guerrero1@unisabana.edu.co Universidad de la Sabana Facultad de Ingeniería Universidad de La Sabana Chía Colombia

Abstract

This work presents a flexible methodology to design a microtransit system with electric vehicles. The proposed methodology comprises five stages. First, the estimation of the demand is made with qualitative research. Second, the technological capabilities of the potential means of transportation are compared. Third, we characterize the different possible routes for micro-transit for each of the technological options and choose the best option, by considering the needs of the user. This is achieved through a decision-making tool and a discreteevent simulation model that represents the operation of the system. Finally, we evaluate the environmental impact generated by this new mean of transport on a micro-transit route. The proposed methodology is flexible and can be applied both in public and private microtransit systems. We present a case study to validate the results of the methodology on a university campus in Colombia.

Keywords:

electric vehicles, microtransit, analytic hierarchy process, discrete event simulation, transportation.

Resumen

Este trabajo presenta una metodología flexible para diseñar un sistema de microtránsito usando vehículos eléctricos. La metodología propuesta está constituida por cinco etapas. Primero, la estimación de la demanda de la población objetivo realizada por medio de encuestas. Segundo, se caracterizan y comparan las capacidades tecnológicas de los medios de transporte potenciales. Tercero, se caracterizan las distintas posibles rutas para el microtránsito para cada opción tecnológica y se escoge la mejor, tomando en cuenta las necesidades del usuario. Esto se logra por medio de herramientas de toma de decisiones y simulación por medio de eventos discretos que representa el funcionamiento del sistema. Finalmente, evaluamos el impacto ambiental que se genera al implementar este nuevo medio de transporte en una ruta de microtránsito. La metodología propuesta es flexible y puede ser aplicada tanto en sistemas de microtransito público como privado. Presentamos un caso de estudio para validar los resultados de la metodología en un campus universitario en Colombia.

Palabras clave:

vehículo eléctrico, microtránsito, proceso analítico jerárquico, simulación de eventos discretos, transporte.

1. Introducción

Los vehículos eléctricos son una solución al problema de la alta contaminación ambiental producida por los sistemas de transporte que se basan en vehículos a combustión [1], y son adaptables especialmente a las rutas de microtránsito. Los sistemas de microtránsito se definen como sistemas de transporte en pequeña escala, con servicios de transporte bajo demanda y rutas flexibles o fijas [2]. Estos sistemas son usados para movilizar, por ejemplo, a empleados de una fábrica, alumnos dentro de un campus universitario o los ciudadanos dentro de rutas especificas en municipios urbanos. En este contexto, los vehículos eléctricos tienen gran potencial porque la limitada autonomía de sus baterías no es una barrera para sistemas de pequeña escala.

En América Latina la adopción de vehículos eléctricos es aún un reto pendiente [3] y se requiere generar políticas públicas que permitan acelerar la transición hacia este tipo de tecnologías. En este artículo se analiza el problema de diseñar un sistema de microtránsito basado en vehículos eléctricos en un contexto latinoamericano. Específicamente se estudia el caso de la movilidad de alumnos en un campus universitario de Colombia. El caso de estudio es de una universidad que tiene un edificio de laboratorios de ingeniería fuera del campus central. Por lo tanto, los alumnos tienen la necesidad de recorrer una distancia de 1.5 km entre sus aulas y los laboratorios (en algunos casos varias veces al día). Adicionalmente, en la búsqueda de la construcción de instituciones educativas incluyentes, que reciben estudiantes con discapacidad física, se debe facilitar la movilidad entre estos dos puntos del campus. Por lo tanto, se necesita cubrir esta necesidad de transporte mediante la implementación de un sistema de microtránsito, usando una flota de vehículos eléctricos apropiada, sin generar un impacto negativo al medio ambiente.

El reto principal que se aborda en este artículo es analizar el problema de diseño de un sistema de microtránsito basado en vehículos eléctricos, determinando la capacidad de la flota y la frecuencia de operación, en búsqueda de garantizar la sostenibilidad económica y ambiental del sistema. Se analiza varios tipos de tecnología de transporte eléctrico, para determinar la mejor opción para este caso, teniendo en cuenta las necesidades y opinión del usuario. En la Fig. 1 se presenta el mapa del campus universitario que se usa en el estudio, con los puntos principales para el microtránsito.

Mapa de ubicación, caso campus universitario.

Figura 1: Mapa de ubicación, caso campus universitario.

Fuente: Los autores.

La metodología que se plantea para el diseño combina métodos cuantitativos y cualitativos. Además, se puede usar para comparar distintos tipos de medios de transporte con diferentes fuentes de energía o diferentes tecnologías para una misma fuente de energía. En este caso se analizan el scooter eléctrico, la bicicleta eléctrica, y el bus eléctrico, alineando la estrategia de esta Universidad con el 11vo objetivo de los objetivos de desarrollo sostenible (ODS) de las Naciones Unidas dónde menciona en el ítem 11.6 “Reducir el impacto ambiental negativo per cápita de las ciudades, incluso prestando especial atención a la calidad del aire y la gestión de los desechos municipales y de otro tipo”.

La sección 2 del artículo presenta el estado del arte relacionado con la problemática estudiada. La sección 3 describe la metodología propuesta. La sección 4 presenta los resultados del caso de estudio. Las conclusiones e investigación futura se presentan en la sección 5.

2. Estado del arte

Analizando la literatura, encontramos estudios aislados sobre vehículos eléctricos, enrutamiento (tanto para vehículos eléctricos como a combustión), estudios sobre el consumo energético de un vehículo dependiendo de distintos parámetros, como comportamiento del conductor, geografía, etc., también análisis sobre el impacto ambiental generado por las baterías y la fuente de energía utilizada para recargarlas. El estado del arte en estas temáticas se resume a continuación.

La literatura de vehículos eléctricos y patrones de conducción han demostrado que los sistemas de transporte eléctrico son más eficientes al utilizarse con una velocidad constante [4]. El consumo energético es mayor en pendientes de subida [5], implementar un sistema de transporte eléctrico es la mejor opción para no impactar el medio ambiente de manera negativa, siempre y cuando la energía para recargar las baterías provenga de energías renovables [6]. La mejor tecnología en baterías para vehículos eléctricos es la de IonLitio [7] y se puede aprovechar los espacios de tiempo, donde el vehículo no se encuentre en movimiento para realizar la recarga de baterías [8]. De esta manera se puede identificar el momento y lugar idóneo para hacerlo, colocando un cargador de baterías dentro de una ruta. En la Tabla 1 se muestra el estado del arte revisado.

Estos son los principales artículos de toda la revisión de la literatura, se encuentra información importante para el desarrollo del proyecto, pero de manera aislada, y no se encontró una metodología para definir rutas y horarios para microtránsito con vehículos eléctricos. Por lo tanto, el aporte de este estudio es proporcionar una metodología flexible partiendo de la revisión de la literatura mencionada en la Tabla 1.

Tabla 1: Estado del Arte.

Fuente: Los autores.

3. Metodología

La metodología se orienta a 5 objetivos: conocer las necesidades de los usuarios, identificar las capacidades tecnológicas de las opciones a comparar, caracterizar las rutas adecuadas para cada opción tecnológica, determinar por medio de herramientas de toma de decisiones la mejor opción y simular por medio de eventos discretos el comportamiento de éste. Finalmente, determinar el impacto ambiental producido. A continuación, se describen estas etapas.

3.1. Caracterizar las necesidades de microtránsito

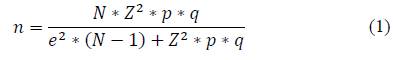
Para caracterizar las necesidades de las personas que se movilizan en el trayecto, se realiza una encuesta a una muestra de donde se obtienen datos y conclusiones iniciales. El tamaño de muestra se calcula usando la ec. 1.

Donde:

n - tamaño de la muestra buscada.

N - tamaño de la población o universo, cantidad de alumnos que toman clases en FabLab en una semana (600 alumnos).

Z - parámetro estadístico de acuerdo al nivel de confianza, para un 90% de confianza el valor Z es 1.645.

e - error de estimación máximo aceptado de 5%.

p - probabilidad de que ocurra el evento, que el alumno se movilice en esta ruta obteniendo de datos de la facultad de ingeniería 57%. q - probabilidad de que no ocurra el evento 43% (1-p).

En este caso se determina un tamaño de muestra de 184 usuarios y se recibió la respuesta de 172 encuestados, esto quiere decir que se cumplió con el 93% de lo estimado en el cálculo de la muestra.

Las principales preguntas de esta encuesta realizada a estudiantes universitarios son: la carrera que estudian, si tienen algún tipo de problema de movilidad física, al movilizarse entre las aulas y los laboratorios que medio utilizan, cuantas veces al día se moviliza entre estos dos puntos, qué días a la semana se moviliza, cuál es la acogida que tiene el nuevo sistema de movilidad colocando un valor económico de acuerdo con las frecuencias del sistema.

Adicional se realiza una pregunta muy importante, donde el encuestado califica en una escala de 1 a 5 las preferencias de varias características que debe cumplir el nuevo sistema de transporte, dónde 1 significa que no es importante y 5 es muy importante. Esta información es necesaria para determinar la mejor opción para esta ruta de micro tránsito. En la Tabla 2 se muestra las características.

Tabla 2: Características del sistema de transporte para los usuarios.

Fuente: Los autores

Se realiza un estudio de campo, para obtener información como horarios de clase, cantidad de alumnos que reciben clase en cada horario, etc.

3.2. Características tecnológicas de los medios de transporte eléctrico

Se proponen tres tecnologías de transporte eléctrico para la movilidad de microtránsito entre la Facultad de Ingeniería y los laboratorios de la Universidad. Estas tecnologías son: scooter eléctrico, bicicleta eléctrica, y microbús eléctrico. Se busca la información de proveedores, escogiendo la mejor opción para cada una de las opciones.

Scooter eléctrico: El scooter o patín eléctrico es un medio de transporte para una sola persona, que cuenta con varias particularidades acorde a las necesidades de diferentes usuarios. Para el caso de este proyecto se requiere que este medio de transporte cumpla con las siguientes características: sin asiento, para personas adultas, autonomía mínima de 2 km, peso ligero y manejable, y que sea adecuado para ser usado en medios urbanos. Las principales características se observan en la Tabla 3.

Tabla 3: Características scooter eléctrico.

Fuente: Los autores

Bicicleta eléctrica: En instituciones educativas la bicicleta ha sido un medio de transporte usado para desplazarse dentro de los campus, inclusive para la movilidad desde el hogar hacia la Universidad [15]. Las principales características se observan en la Tabla 4.

Tabla 4: Características bicicleta eléctrico.

Fuente: Los autores

Microbús eléctrico: El bus eléctrico es el mejor medio de transporte para evitar la contaminación ambiental comparado con otros tipos de tecnología que utilizan combustión interna, híbridos (combinan la combustión con electricidad) y biocombustibles, siempre y cuando se mejore la tecnología de autonomía de las baterías [6]. Las principales características se observan en la Tabla 5.

Tabla 5: Características microbús eléctrico.

Fuente: Los autores

3.3. Características de las rutas

Se toma información de todas las rutas para cada tipo de tecnología, incluyendo las rutas de la movilidad actual: tiempo de traslado, distancia, altimetría, inclinación e información como las horas pico y valle de tráfico vehicular. Usamos el algoritmo de la ruta más corta de Dijsktra.

Trayecto Ruta actual caminando: Esta ruta presenta obstáculos para la movilidad de personas con algún problema de movilidad, porque tiene desniveles. El principal problema es un cruce férreo que conecta los dos edificios, dificultando el paso de bicicletas, patinetas, scooters o sillas de ruedas. Por esto se considera que no es una ruta inclusiva para las personas. La Tabla 6 muestra las características de la ruta.

Tabla 6: Características ruta actual caminando.

Fuente: Los autores

Trayecto ruta actual para vehículo propio: Varios usuarios utilizan su vehículo propio para movilizarse entre las aulas de la Facultad de Ingeniería y los laboratorios. Existen dos rutas diferentes que son las más usadas, una de ida y otra de regreso, las características de esta ruta se encuentran en la Tabla 7.

Tabla 7: Características ruta actual vehículo propio.

Fuente: Los autores

Ruta para scooter eléctrico: Se propone una sola ruta para esta tecnología, partiendo de un punto de estacionamiento en la Facultad de Ingeniería, hasta los laboratorios. Se debe cruzar caminando el riel del tren para llegar a los laboratorios. Un scooter alcanza una velocidad de 25 km/h pero la velocidad recomendada para áreas urbanas en scooter es de 6 km/h. No hay vía exclusiva para scooter, actualmente solo existe vía exclusiva para ciclistas, por esta razón puede existir un alto nivel de accidentabilidad durante la movilidad, las características de esta ruta se encuentran en la Tabla 8.

Tabla 8: Características ruta para scooter eléctrico.

Fuente: Los autores

Ruta para bicicleta eléctrica : Para la bicicleta eléctrica se contempla dos opciones de ruta, aprovechando dos estacionamientos de bicicletas que se encuentran junto a la Facultad de Ingeniería (BE-1) y (BE-2). La segunda opción implica que el alumno camine un poco hasta llegar al parqueadero, pero en ambas opciones se debe llegar a un estacionamiento de bicicletas junto a los laboratorios. La Tabla 9 presenta las características de cada ruta.

Tabla 9: Características rutas para bicicleta eléctrica.

Fuente: Los autores

Ruta para microbús eléctrico: Para el microbús se analizan cuatro opciones de ruta, las características de estas se presentan en la Tabla 10.

Tabla 10: Características rutas para microbús eléctrico.

Fuente: Los autores

3.4. Selección de la mejor opción con la herramienta AHP y simulación por ED

Una vez seleccionada la mejor ruta para cada tecnología, se procede a compararlas por medio del proceso analítico jerárquico (AHP). Esta es una técnica utilizada para problemas de toma de decisiones multicriterio, que ha sido usada para diseño de políticas en transporte por [16]. Con este resultado, se realiza una simulación de eventos discretos para conocer el funcionamiento del sistema de microtránsito y conocer información de tiempos, horarios, puntos de carga y consumo energético del vehículo.

Selección de la mejor opción: Para determinar la mejor opción para el campus universitario, se determina el peso (nivel de prioridad) de cada una de las características que debe tener el sistema para los usuarios, fruto de la encuesta realizada comparando cada par de criterios, como se puede ver en la Tabla 11.

Tabla 11.: Pesos de cada característica según la importancia para el usuario.

Fuente: Los autores

Los criterios de calificación de importancia son: (1) igual importancia, (3) importancia moderada, (5) importancia grande, (7) importancia muy grande, (7) importancia extrema y (2,4,6,8) valores intermedios entre los anteriores cuando es necesario matizar. Adicional a esto se valoriza las mismas características, pero en cada sistema de movilidad, con respecto a datos tomados en campo y de los proveedores, como se observa en la Tabla 12. Dónde (1) significa que no cumple con el requisito de manera adecuada y (5) cumple de manera adecuada con el requisito de la característica. Luego se procede a determinar la mejor opción evaluando por medio de la herramienta AHP, como se muestra en la Fig. 2.

Tabla 12: Valoración de las características para cada medio de transporte.

Fuente: Los autores

Proceso analítico jerárquico AHP.

Figura 2: Proceso analítico jerárquico AHP.

Fuente: Los autores.

Simulación por medio de eventos discretos: Una vez determinada la mejor opción, se procede a simular el sistema. Para esto se usa el software ARENA. Primero se simula la movilidad actual, esto quiere decir tomando en cuenta como se movilizan los usuarios actualmente, caminando, en bicicleta y con vehículo propio, con datos tomados en campo y de las encuestas realizadas, con el fin de validar el modelo de simulación con datos reales. En la Fig. 3 se observa el diagrama de simulación de la movilización actual.

Modelo de simulación movilidad actual.

Figura 3: Modelo de simulación movilidad actual.

Fuente: Los autores.

Se valida el modelo con una prueba T de student, dónde se compara los valores de vehículos propios movilizados, obtenidos de la simulación, con los datos de vehículos estacionados en el estacionamiento del laboratorio de ingeniería en las mismas horas de la simulación. En este caso el valor crítico es de 1.97 para un nivel de confianza del 95%. Como se observa en la Tabla 13, la simulación se aproxima a la situación real.

Tabla 13: Prueba T se student para validación del modelo.

Fuente: Los autores

Una vez validado el modelo se procede a simular el escenario futuro introduciendo el sistema de transporte que mejores características presenta para el usuario, con datos tomados en campo y de las encuestas realizadas, como se observa en la Fig. 4. De esta manera se conoce el comportamiento del sistema de movilización en microtránsito y se definen horarios, tiempos de espera, puntos de carga y tiempos de carga para el vehículo eléctrico, como se verá en los resultados.

Modelo de simulación movilidad introduciendo el vehículo eléctrico.

Figura 4: Modelo de simulación movilidad introduciendo el vehículo eléctrico.

Fuente: Los autores.

3.5. Análisis del impacto ambiental

Finalmente, en la metodología planteada se compara la contaminación producida con la movilidad actual y la que se produciría al introducir un vehículo eléctrico en una ruta de microtransito, para esto se toma datos en campo de los vehículos que se movilizan dentro de la ruta y se calcula la contaminación producida. En este caso se saca un promedio de contaminación por vehículo de acuerdo a una base de datos de contaminación por marca y modelo de vehículo, como se observa en la Tabla 14.

Tabla 14: Emisiones generadas por distintas marcas de vehículos.

Fuente: [17]

Con esta información se calcula la contaminación producida en la ruta con datos obtenidos de la simulación.

Dónde:

CT - la contaminación total producida (TnCO2 al año).

PEV - promedio de emisiones por vehículo (97.8 gCO2/km).

DC - distancia total de la ruta (km).

VS - cantidad de vehículos que se movilizan por semana. T - tiempo, en este caso las semanas de clase al año.

Para comparar con nuestro nuevo sistema de movilidad introduciendo el vehículo eléctrico, realizamos el mismo calculo con los nuevos datos obtenidos del modelo de simulación, donde la cantidad de vehículos a combustión que se desplazan es menor, pero tomando en cuenta la combinación energética de la red eléctrica de la región donde se realiza el análisis, en Colombia el factor de emisión de CO2 por kWh es 164.38 gCO2/kWh y la cantidad de recargas que se realiza de la batería en el periodo que se desea comparar.

Esta ecuación es muy similar a la ec. (2) pero se adiciona (CE) es la cantidad de energía que se recarga a la batería del vehículo eléctrico en una semana en kWh y (FE) es el factor de emisión de CO2 de la red eléctrica que se usa para cargar el vehículo eléctrico.

4. Resultados

Tenemos una metodología planteada para definir rutas y horarios para un sistema de microtránsito con vehículos eléctricos como se muestra en la Fig. 5. Cada Fase de la metodología arroja un resultado, del que se parte para continuar con la siguiente fase.

Fases de la metodología.

Figura 5: Fases de la metodología.

Fuente: Los autores.

4.1. Resultados de la Fase 1

Los resultados de la fase 1, es caracterizar las necesidades de los usuarios por medio de las encuestas. Estos se evidencian en las Figs. 6 y 7. Se obtiene que el 63% de los estudiantes están interesados en usar un sistema de transporte que conecte los edificios de la Universidad con una flota de vehículos eléctricos.

Estudiantes y materias que se reciben en los Laboratorios.

Figura 6: Estudiantes y materias que se reciben en los Laboratorios.

Fuente: Los autores.

Usuarios que usarían el sistema de transporte eléctrico.

Figura 7: Usuarios que usarían el sistema de transporte eléctrico.

Fuente: Los autores.

4.2. Resultados de la Fase 2

El resultado de esta fase es conocer las principales características de cada una de las tecnologías a comparar, como son autonomía de la batería, tiempo de carga, capacidad de pasajeros, características de mantenimiento, etc., como se observa en las Tablas 3, 4 y 5.

4.3. Resultados de la Fase 3

El resultado es la mejor ruta para cada una de las opciones tecnológicas, con sus principales características, como son distancia y tiempo de traslado en la ruta, al igual como datos de altimetría e inclinaciones de la ruta, necesarios para el consumo energético del vehículo eléctrico, en la Fig. 8 se muestra la mejor ruta para el microbús eléctrico y en la Tabla 15 sus características.

Mejor ruta para vehículo eléctrico, VE-A.

Figura 8: Mejor ruta para vehículo eléctrico, VE-A.

Fuente: Los autores.

Tabla 15: Características de la mejor ruta para microbús eléctrico.

Fuente: Los autores.

4.4. Resultados de la Fase 4

La fase cuatro resultada la mejor opción de movilidad eléctrica. Para este caso la mejor opción obtenida con la herramienta AHP es el microbús eléctrico con un 30%, como se observa en la Fig. 2. Luego de la simulación de eventos discretos, se obtiene datos sobre la movilidad al introducir un vehículo eléctrico como se observa en la Fig. 9.

Movilidad en una semana.

Figura 9: Movilidad en una semana.

Fuente: Los autores.

A partir de estos resultados y con información obtenida en campo se puede graficar el consumo energético del vehículo (Fig. 10), y determinar la cantidad de cargas necesarias en una semana, el lugar ideal para colocar el punto de carga, y si es necesario que sea tipo DC o AC.

Consumo energético del microbús en una semana.

Figura 10: Consumo energético del microbús en una semana.

Fuente: Los autores.

Finalmente se define cómo funcionará el sistema de transporte eléctrico en una ruta de microtránsito. Así, el sistema funcionará demanera mixta. Esto quiere decir que algunos usuarios se movilizarán caminando o en bicicleta, otros en vehículo propio, como lo hacen actualmente y alrededor de un 60% utilizarán el microbús eléctrico. Este medio de transporte será de uso prioritario para personas con problemas de movilidad, personas de tercera edad, mujeres en estado de gestación, personas que necesiten llevar alguna carga, alumnos que tengan poco tiempo para movilizarse por cuestiones de horarios de clase y personas con lesiones físicas que dificulte su movilidad, etc. El sistema cubrirá todos los horarios de ingreso a clases en los laboratorios de Ingeniería.

El microbús recorrerá la ruta VE-A. Sale en la mañana alrededor de las 07:30 a.m., en dirección al paradero en la Facultad de Ingeniería, donde espera entre 7 y máximo 10 minutos a los usuarios, cumpliendo el cronograma de clases en los laboratorios. Se tiene un paradero en la rotonda de la Universidad, donde recogerá pasajeros, en caso de tener espacio en el vehículo, luego realiza la ruta hasta llegar a los laboratorios. En el regreso hacia la Facultad de Ingeniería realiza una parada corta la rotonda de La Universidad para dejar alumnos que necesiten ir a otros sectores del campus central, y terminar el recorrido en la Facultad de Ingeniería y deja a los alumnos; vuelve a realizar el circuito nuevamente según el cronograma, terminando finalmente en el parqueadero de la Facultad de Ingeniería al finalizar el día.

4.5. Resultados de la Fase 5

En la fase cinco se tiene como resultado el impacto ambiental que se genera con el proyecto al introducir un vehículo eléctrico para la movilidad en una ruta de microtránsito y de esta manera reducir el uso de vehículos a combustión interna. En este caso se genera un ahorro de 3.10 toneladas de CO2 al ambiente en un año, como se muestra en la Fig. 11.

Comparación del impacto ambiental.

Figura 11: Comparación del impacto ambiental.

Fuente: Los autores.

5. Conclusiones

La metodología planteada en este trabajo es flexible para evaluar la pertinencia de diseñar sistemas de microtránsito usando vehículos eléctricos, en cualquier caso. El modelo de simulación también es flexible y permite cambiar sus parámetros de acuerdo con los datos obtenidos en campo y de encuestas para otras aplicaciones. Además, se concluye que el microbús eléctrico es un apoyo a la movilización actual, para cubrir la necesidad de grupos con problemas de movilidad de las comunidades como son, personas mayores, mujeres en avanzado estado de gestación, personas que necesiten movilizar equipos y materiales, personas con dificultades de movilidad física. En el caso de estudio, 63% de personas usarían este medio de transporte.

Dentro del análisis realizado de las tecnologías disponibles de transporte eléctrico, un factor determinante es la autonomía de la batería y el tiempo de carga. Las tres tecnologías analizadas tienen la capacidad de cubrir las rutas respectivas sin ningún problema de descarga. La tecnología que tiene mejores características para cubrir las necesidades de los usuarios en nuestro caso de estudio es el microbús eléctrico. Además, por medio de la simulación de eventos discretos, se demuestra que para cubrir las necesidades de la demanda actual se requiere únicamente un microbús eléctrico, el cual necesita realizar tres recargas de batería a la semana, para lo cual se puede utilizar un cargador de carga rápida ubicado en el parqueadero de los laboratorios. Finalmente, el modelo logra demostrar que el impacto ambiental del sistema planteado es una reducción en la contaminación de 3.1 toneladas de CO2 al año.

Para futuras investigaciones se puede determinar el valor de la tarifa adecuada para el sistema, determinar la viabilidad técnica y económica de instalación de puntos de carga para vehículos eléctricos respecto a la capacidad energética de la región, y estudiar otros tipos de energías de carga para vehículos, como son la eólica, fotovoltaica, hidráulica, biocombustibles, etc. y también analizar el sistema con las nuevas medidas de distanciamiento social.

Referencias

  1. [1] Bakker, S. and Trip, J.J., Policy options to support the adoption of electric vehicles in the urban environment. Transportation Research Part D: Transport and Environment, 25, pp. 18-23, 2013. 🠔
  2. [2] APTA - American Public Transportation Association. Microtránsito. [online]. [retrieved on march 26th, 2021]. Available at:https://www.apta.com/research-technical-resources/mobilityinnovation-hub/microtransit/ [URL] 🠔
  3. [3] Stanescu, C.L.V., Cedeño, R.O.P., Ramírez-Pisco, R. and Herrera, W.J.O., Sistemas de transporte urbano en Latinoamérica. TRIM. Tordesillas, Revista de Investigación Multidisciplinar, (17), pp. 31-44, 2019. 🠔
  4. [4] Abas, M.A., Ardani, M.I., Mohamad, M., Ling, C.H., Latif, S.A., Mohamad, S.S. and Halim, A.M., The efficiency of electric bus shuttle services in UTM campus: A pilot study. In: AIP Conference Proceedings. 2059(1), art. 020028, 2019. 🠔
  5. [5] Suarez-Chilma, V.F., Sarache, W.A. y Costa, Y.J., Una Solución al enrutamiento de vehículos en ciudades montañosas considerando aspectos ambientales y económicos. Información tecnológica,29(3), pp. 3-14, 2018. 🠔
  6. [6] Tzeng, G., Lin, C. and Opricovic, S., Multi-criteria analysis of alternative-fuel buses for public transportation. Energy Policy, 33(11), pp. 1373-1383, 2005. DOI: 10.1016/J.ENPOL.2003.12.014. [DOI] 🠔
  7. [7] Ajanovic, A. and Haas, R., Electric vehicles: solution or new problem? Environment, Development and Sustainability, 20(1), pp. 7-22, 2018. DOI: 10.1007/s10668-018-0190-3. [DOI] 🠔
  8. [8] Cortés-Murcia, D., Prodhon, C. and Murat-Afsar, H., The electric vehicle routing problem with time windows, partial recharges and satellite customers. Transportation Research Part E: Logistics and Transportation Review,130(1), pp.84-206, 2019.DOI: 10.1016/j.tre.2019.08.015. [DOI] 🠔
  9. [9] Guerrero, W., Velasco, N., Prodhon, C. and Amaya, C., On the generalized elementary shortest path problem: a heuristic approach. Electronic Notes in Discrete Mathematics, 41, pp. 503-510, 2013. DOI: 10.1016/j.endm.2013.05.131. [DOI] 🠔
  10. [10] Ji, S., Cherry, C., Han, L. and Jordan, D., Electric bike sharing: simulation of user demand and system availability. Journal of Cleaner Production, 85, pp. 250-257, 2014.DOI: 10.1016/j.jclepro.2013.09.024. [DOI] 🠔
  11. [11] Muñoz-Villamizar, A., Quintero-Araújo, C.L., Montoya-Torres, J.R. and Faulin, J., Short- and mid-term evaluation of the use of electric vehicles in urban freight transport collaborative networks: a case study. International Journal of Logistics Research and Applications, 22(3), pp 229-252, 2019. DOI: 10.1080/13675567.2018.1513467. [DOI] 🠔
  12. [12] Basso, R., Kulcsár, B., Egardt, B., Lindroth, P. and Sanchez-Diaz, I., Energy consumption estimation integrated into the electric vehicle routing problem. Transportation Research Part D, 69, pp. 141-167, 2019. DOI: 10.1016/j.trd.2019.01.006. [DOI] 🠔
  13. [13] Solheim, E. and Butkeviciene, J., Movilidad eléctrica oportunidades para Latinoamérica. [en línea]. 2016. Disponible en: https://movelatam.org/download/informe-regional-movilidadelectrica/ [URL] 🠔
  14. [14] Ajanovic, A. and Haas, R., On the environmental benignity of electric vehicles. Journal of Sustainable Development of Energy, Water and Environment Systems, 7(3), pp. 416-431, 2019. DOI: 10.13044/j.sdewes.d6.0252 [DOI] 🠔
  15. [15] Lee, K., Chae, J. and Kim, J., A courier service with electric bicycles in an urban area: the case in Seoul. Sustainability, 11(5), art. 1255, 2019. DOI: 10.3390/su11051255. [DOI] 🠔
  16. [16] Poh, K.L. and Ang, B.W., Transportation fuels and policy for Singapore: an AHP planning approach. Computers & Industrial Engineering, 37(3), pp. 507-525, 1999. 🠔
  17. [17] Instituto para la Diversificación y Ahorro de la Energía. (n.d.). Emisiones de CO2 que produce el coche. Ministerio para la Transición Ecológica y el Reto Demográfico de España. [en línea]. [Consultdo en Abril 2, 2020]. Disponible en: Disponible en: http://coches.idae.es/base-datos/marcay-modelo . [URL] 🠔
received the BSc. Eng in Mechatronic Engineering in 2014, from the Las Fuerzas Armadas University “ESPE” in Ecuador, the MSc. in Engineering Management in 2020, from the La Sabana University in Colombia. He works in automation projects for different industries in Ecuador. He works at CREATEX and AMbot as CTO. ORCID: 0000-0001-7479-3865
received the BSc. Eng in Industrial Engineering in 2008, and MSc. in Industrial Engineering in 2010, and the PhD. in Engineering in 2014, all of them from the Universidad de Los Andes in Colombia. He received the PhD. in Systems Optimization and Dependability from Université de Technologie de Troyes, in France. He works in projects of the transportation area, with emphasis on developing heuristic and metaheuristic algorithms. Since 2017, he is associate professor at the engineering school at La Sabana University. ORCID: 0000-0002-9807-6593
Apolo-Matamoros, E.O. and Guerrero-Rueda, W.J., Diseñando un sistema de microtránsito con vehículos eléctricos usando simulación de eventos discretos: caso de un campus universitario.. DYNA, 88(219), pp. 237-246, October - December, 2021.