DYNA
0012-7353
2346-2183
Universidad Nacional de Colombia
https://doi.org/10.15446/dyna.v88n219.95687

Recibido: 10 de mayo de 2021; Revision Received: 12 de octubre de 2021; Aceptado: 25 de octubre de 2021

Physical-Mechanical properties of H-10 blocks manufactured in Norte of Santander, Colombia: a case study

Propiedades físico-mecánicas de bloques H-10 fabricados en Norte de Santander, Colombia: un caso de estudio

R. García-Léon, a N. Afanador-García, a G. Guerrero-Gómez, a

Universidad Francisco de Paula Santander Ocaña, Facultad de Ingenierías, Ocaña, Colombia. ragarcial@ufpso.edu.co*, nafanadorg@ufpso.edu.co & gguererog@ufpso.edu.co Universidad Francisco de Paula Santander Universidad Francisco de Paula Santander Facultad de Ingenierías Ocaña Colombia

Abstract

This work presents the physical-mechanical properties of two types of H-10 blocks of six holes fabricated in two different companies in Norte de Santander, Colombia to provide a general visualization of the ceramic properties of masonry products base clay. Random samples of H-10 blocks were collected from the selected companies directly from the furnace as part of the experimental procedure, which was used to perform the physical-mechanical tests such as initial and final water absorption, morphology, resistance to compression, and flexion according to the NTC 4017 standard procedure, the results obtained were compared with the values established in the NTC 4205 standard procedure, used as non-structural masonry products for indoor or outdoor use. Finally, the SEM-EDS micrographs exposed the main characteristic chemical elements (Al, Si, O), defects on the surface of an H-10 block and the presence of typical phases (Quartz, Kaolinite, Illite, and Hematite) obtained by the XRD technique.

Keywords:

H-10, blocks, clay, NTC standards, mixture.

Resumen

Este trabajo presenta las propiedades físico-mecánicas de dos tipos de bloques H-10 de seis agujeros fabricados en dos empresas diferentes en Norte de Santander, Colombia, para brindar una visualización general de las propiedades cerámicas de los productos de mampostería base arcilla. Muestras aleatorias de bloques H-10 fueron recolectadas de las empresas seleccionadas directamente del horno como parte del procedimiento experimental, el cual se utilizó para realizar las pruebas físico-mecánicas como absorción inicial y final de agua, morfología, resistencia a la compresión y flexión según el procedimiento estándar NTC 4017, los resultados fueron comparados con los valores establecidos en el procedimiento estándar NTC 4205, utilizados como productos de mampostería no estructural para uso interior o exterior. Finalmente, las micrografías SEM-EDS expusieron los principales elementos químicos característicos (Al, Si, O), defectos en la superficie de un bloque H-10 y la presencia de fases típicas (Cuarzo, Caolinita, Illita y Hematita) obtenidas por la técnica XRD.

Palabras clave:

H-10, bloques, arcilla, normas NTC, mezcla.

1. Introduction

The ceramic process (clay transformation) is mainly composed of three stages: the preparation of ceramic paste, molding, and cooking. In the first stage, the composition and plasticity are modified by adding other clays or materials to obtain a homogeneous ceramic paste and can be molded. Note that in some cases, the addition of other materials could improve the mechanical or physical properties; this depends on the chemical and mineralogy of the clays or additives used. After a geometric block wet has been obtained by extrusion molding in the second stage, this block is dried under controlled conditions to avoid superficial damage [1]. Later this, the block dry is cooking to decrease porosity, increase density, and mechanical resistance in the third stage, where finally are sale such is shown in Fig. 1.

Manufacturing scheme for ceramic products.

Figure 1: Manufacturing scheme for ceramic products.

The ceramic companies have been classified according to the production capacity and technology as chircal, small, medium, and large [4]. Clays are the primary raw material for the manufacture of ceramic construction products, which appear in all rock formations [5,6]. Technological properties such as mechanical, chemical, physical, and mineralogical differ widely, even between layers of the same clay formation. Therefore, the control of the quality of the products of any ceramic company begins with the characterization and constant monitoring of the raw material used [4].

The chemical and mineralogical compositions (Characterization of the raw materials) are one of the most important tests to evaluate clay and its influence during the ceramic process [1,7,8]. Plasticity (Physical characterization) is another critical parameter to control, understood as the property that clays have of forming a plastic and homogenous ceramic paste. The granulometry distribution is another variable of high importance (Physical characterization); this depends on the degree of molding of the particles and the physic-mechanical properties of ceramics such as porosity, water absorption, and mechanical resistance principally.

Norte de Santander region is recognized nationally and internationally due to its raw materials base clay quality. The companies do not know the behavior of the raw materials used in the manufacture of products derived from clay [9]. Also, Cesar in Norte de Santander region, Colombia is another important region where the characterization of the raw material of the companies in all technological ways has taken great value to study [10,11]. In this way, it’s of great importance to add new materials, other clay, or additives to improve the mechanical and physical properties of the H-10 blocks, thus increasing the circular economy of masonry products for construction and therefore the growth of this important industrial sector [12].

In Norte de Santander, Colombia, some investigations have been carried out in companies mainly in Cucuta, where the construction blocks are manufactured on a large scale. Mainly, laboratory tests are developed to determine the physical-mechanical properties and thus define if the blocks are suitable for commercial use as non-structural masonry products for indoor use and outdoor, according to the NTC 4017 and NTC 4205 Colombian standard procedures [13-17]. However, in Ocaña, some studies on the subject are in less scale, with the principal aim of the finding of optimal mixtures in terms of ceramic paste to develop different masonry construction products that could be produced in the region (Block H-10) according to the technological capacity of the companies [18-20]; García-León et al. 2016 developed laboratory tests in blocks manufactured in Ocaña to determine some mechanical properties such as mechanical resistance and water absorption according to the guidelines NTC 4017 standard procedure. The results were analyzed and used to improve the extraction and selection of raw materials base clay and thus to optimize the economic resources of the company studied [21,22].

The dimensions of the H-10×30 blocks of the ceramic companies of Norte de Santander oscillate depending on the technology used; for the case of the block of 6 holes, the most common high values are between 28.00 to 30.50 cm, and the values of the width between 9.64 to 10.46 cm according to the investigation carried out on the Cucuta blocks [23]. In this way, blocks type H are elaborated under different configurations varying the values of the width (10, 20, 30, cm), the length (20, 30, 40, cm), and the number of holes (2, 4, 6, 8, 10, 12, cm) with a constant height of around ~20 cm.

On the other hand, the term sustainable development (SD) appears with the concept of managing the efficient and rational resources that use the companies to society, and thus provide better well-being to the current population and the life of the future generations, due to the pollution generates the industrial sector. Also, the SD aid in another way to achieving economic growth of the companies and safe the natural sources of the environment, taking into account the sustainability strategy [24]. Some investigations have identified the relationships between the dimensions of blocks, such as the concept of eco-efficiency, which seeks to unite environmental and economic improvements [25,26], the social and environmental relationship through the investigation can be carried out in higher education institutions, through the analysis of various theoretical and business models, as well as various certification standards.

Nowadays, not enough investigations have developed to determine the physical and mechanical properties of the masonry products for construction, specifically the mechanical resistance to flexion (rupture module) for the H-10 block of six holes elaborated in Colombia. For this purpose, different laboratory tests were applied, and the values obtained from the experimental tests were compared with the values established by current standard techniques such as NTC 4017 and NTC 4205 standard procedures. Finally, the SEM-EDS technique was applied on the surface of the current manufactured block to identify the main chemical elements and defects:

2. Experimental procedures

NTC 4017 and NTC 4205 (Norma Tecnica Colombiana “NTC”) were used to develop this investigation, which presents the minimum parameters and requirements of quality for the manufacture of masonry products for construction and thus avoids damage in terms of environmental sustainability production and responsible consumption. The most common tests used to measure the physical-mechanical properties of clay blocks are break module (resistance to flexion), resistance to compression, initial and final absorption. The studies carried out randomly H-10 blocks of 6 holes were selected from the ovens of the companies under study, with dimensions of 10 width × 20 high × 30 length (cm), due to being the most commercial within the Norte de Santander region and its surroundings.

Blocks H-10 of six holes of Companies from Norte de Santander in Colombia (Ocaña and Cucuta) were used as samples to develop Physical and mechanical laboratory tests. The experimental data obtained were compared with the NTC 4205 standard procedure. The methodology applied is shown in Fig. 2. During the laboratory tests, at least 5 samples of masonry units (blocks) were selected to validate the statistical behavior of the data, which were compared with the values of the NTC 4205 standard, that define the permissible values of physical-mechanical properties for units of masonry [27,28].

Methodology applied according to NTC (Norma Técnica Colombiana).

Figure 2: Methodology applied according to NTC (Norma Técnica Colombiana).

Source: The authors.

During the physical-mechanical tests (initial and final water absorption, morphology, compression, and flexion), the blocks were dried at a temperature of 110 °C for 24 h in the Gabrielli brand oven to remove residual humidity (Fig. 3).

Dried process of the samples in the oven Gabrielli.

Figure 3: Dried process of the samples in the oven Gabrielli.

Source: The authors.

The dimensions of the H-10 blocks (length, width, thickness, and partitions) were measured to observe the variability between the different samples. A conventional digital Vernier caliper (Baker equipment), an electronic balance (for water adsorption), and a universal machine model Pinzuar-50K for compression and flexion tests with a calibration certificate dated 05 August 2019 were used to measure and develop the physical-mechanical properties. The values obtained were validated statistically with the aid of the STATGRAPHICS Centurion software for the experimental set of samples and tests.

2.1. Physical tests

2.1.1 Thicknesses and partitions

This physical property is related to the transversal elements that hold the walls on one side with the opposite or separate holes within the piece. In both horizontal and vertical drilling samples, the outer holes can be substantial, perforated, or double, considering the acceptance and rejection criteria with the parameters established by the NTC 4017 and NTC 4205 standard procedures. The morphological or dimensional characteristics of block H-10 are the length, width, height of the base to the piece, thickness, and weight, as shown in Fig. 4a. The way the measurements were made with the digital Vernier caliper is shown in Fig. 4b.

Dimensions of the block H-10, a) principal measurements, and b) Measurements with a digital Vernier caliper. Where: L is the length (mm), A is the width (mm), H is the height (mm), a is the hole, P is the smallest thickness of the walls (mm), T is the smallest thickness of the partitions (mm), N is the thickness of the nerve (mm), and 1, and 2 are the thicknesses or partitions (mm).

Figure 4: Dimensions of the block H-10, a) principal measurements, and b) Measurements with a digital Vernier caliper. Where: L is the length (mm), A is the width (mm), H is the height (mm), a is the hole, P is the smallest thickness of the walls (mm), T is the smallest thickness of the partitions (mm), N is the thickness of the nerve (mm), and 1, and 2 are the thicknesses or partitions (mm).

Source: The authors.

2.1.2 Initial absorption rate

This property is the capillary absorption capacity of the dry samples measured during 1 min. The water absorption is directly related to the porosity of the elements subject to test and the quality of the raw materials. When the values of absorption of water are low, this suggests a minimum capacity for collecting humidity from the environment; besides, it indicates good mechanical properties on the behavior of the clay used Eq. 1 was used to estimate the initial rate of water absorption according to the NTC 4017 standard procedure [27], where: T.I.A is the initial absorption rate, G is the difference between the initial and final weighing per min, and A is the contact area with water.

The samples previously dried in the oven were weighted before the test, and after placed on supports inside a water container that not contain more than 5 mm deep of water to ensure that the bottom surface of the block gets wet and absorbs water during 1 min of exposure according to the guidelines of the NTC 4017 standard procedure, such as shown in Fig. 5. Finally, the blocks were removed from the container, water excess was dried with a cloth, and the block wet was re-weigh during the following 120 s.

Initial absorption rate test and b) Representative scheme.

Figure 5. a): Initial absorption rate test and b) Representative scheme.

Source: The authors.

2.1.3 Final absorption rate

This laboratory analysis determines the increase in mass in the blocks submitted to immersion in water for 24 h. Initially, the block samples previously dried in an oven were weighed and immersed in a tank with water at room temperature (~20°C), as shown in Fig. 6b. Subsequently, at the end of the 24 h of immersion in water, the blocks were removed, and water excess was dried with a cloth and re-weighed (It is essential that the weighing of each specimen takes place within 300 s after being removed from the water) such as shown in Fig. 6a. According to the NTC 4205 standard procedure, the maximum final absorption values are 13% and 13.5% for indoor and outdoor use, respectively. These values are of equal magnitude for structural and non-structural use. According to his geometry, the main objective of this test is to calculate the increase in mass that the block obtains due to the porosity. The percentage of water absorption was calculated using Eq. 2 according to the guidelines of the NTC 4017 standard procedure [27], where: WS is the dry mass before immersion (g), and WSS is the wet mass after immersion (g).

Final absorption rate test (weighing block samples), and b) Representative scheme.

Figure 6. a): Final absorption rate test (weighing block samples), and b) Representative scheme.

Source: The authors

2.2 Mechanical tests.

2.2.1 Resistance to compression

This analysis is to put a block sample that does not present irregularities such as pores, cracks, and fissures, mainly. In this way, on the surface of one face of the block, a constant normal load was applied to compression uniformly (are used in the wall), such as shown in Fig. 7. The values of the last resistance of each block are taken by dividing between the area of the surface in compression and the value of the last effort, that is, the point where the block stops supporting the high load, and the failure occurs. Eq. 3 was used to calculate mechanical resistance to compression, taking into account the NTC 4017 standard procedure [27], where: σ is the last effort, F is the load applied, and A is the cross-sectional area.

Experimental compression tests.

Figure 7: Experimental compression tests.

Source: The authors.

2.2.2 Mechanical resistance to flexion (rupture module)

This analysis allows knowing the minimum value of the blocks about the resistance on two points; note that the NTC 4017 standard procedure does not present a premeditate value for evaluating this parameter. During the test, the block samples are placed on the supports, shown in Fig. 8 (The supports are solid steel bars). In this test, a constant normal load was applied to the block’s central area (Where the force will be concentrated). Eq. 4 was used to calculate the breaking module taking into account the guidelines of the NTC 4017 standard procedure [27]:

Experimental flexion test.

Figure 8: Experimental flexion test.

Source: The authors.

Where: MR is the sample breaking module, W is the maximum load indicated by the test machine (N), L is the distance between the supports (mm) (measured from center to center), b is the net width (face-to-face distance) of the sample in the fault plane (mm), and d is the depth, (distance from the top face to the bearing plane) of the sample in the fault plane (mm).

2.3 Chemical tests

The principal defects on the block sample were observed visually, and the topography characteristics were obtained using a scanning electron microscope with the aid of COXEM/INTEK/SEM-EDS equipment operating at 20 kV. The identification of phases of the raw materials for both companies was carried out by X-ray diffraction using a Bruker/D8-ADVANCE/XRD equipment with CuKα radiation and 2θ angles of 0°-70°, and a glancing angle of 1°.

3. Results and analysis

3.1 Morphology and water absorption results

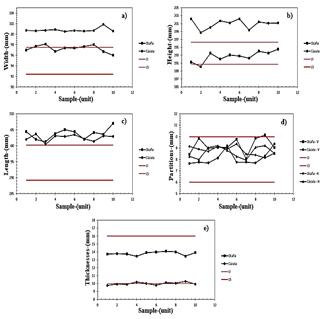
The masonry products for construction do not present uniformity for all the samples tested for both companies studied. This behavior perhaps is due to the do not exist technical parameters of quality or an adequate technological characterization of the raw materials base clay, taking into account that exits many contractions of the drying and cooking stages of the blocks in the ceramic process thicknesses can occur. Therefore, the estimations of these physical parameters are very hard to control. Fig. 9 shows morphological values as results of experimental tests such as width, height, length, partitions, and thicknesses for each test according to the NTC standards.

Thickness values for the experimental set. a) Width, b) Height, c) Length, d) Partitions, and e) Thicknesses.

Figure 9: Thickness values for the experimental set. a) Width, b) Height, c) Length, d) Partitions, and e) Thicknesses.

Source: The authors.

Fig. 10 shows the initial absorption results for the blocks selected in the company of Ocaña and Cucuta, respectively, according to the NTC 4205 standard procedure; for this calculation, Eq. 1 was used. The charts were constructed under the assumption that the values have a normal distribution average of 0.22±0.04 % for the samples of the Ocaña Company; in this case, five (5) points are outside of the limit, indicating that it does not comply with the specifications of the NTC 4205 standard procedure. Otherwise, for the samples of company Cucuta, all the 5 points comply with the specifications of quality for the blocks H-10, presenting a normal distribution with an average of 0.05±0.16 %, indicating good processing of the raw materials during the stages of the productive process.

Analysis of initial absorption of blocks H-10.

Figure 10: Analysis of initial absorption of blocks H-10.

Source: The authors.

Fig. 11 shows the final water absorption results and presented the comparison of the two companies with respect to the NTC 4205 standard procedure, and Eq. 2 was used to calculate the values. In this way, the charts were constructed under the assumption that the values have a normal distribution with an average of 13.18±0.07 % for the samples of Ocaña Company similar results with [29], according to the parameters established by the NTC 4205 standard procedure. For the case of the samples of the Cucuta Company, the 5 points shown in Fig. 11, five (5) are outside the limits, taking into account the upper limit (LS) and lower limit (LI). Consequently, these values do not comply with the standard procedure parameters; these values present a normal distribution with an average of 9.95±0.34 %, similar results with [17]. The quality of the blocks in terms of final water absorption is related to defects during the production process, the diameter of sand particles, the properties of the raw materials, and the formulation of an optimal mixture for masonry products.

Analysis of the final absorption of blocks H-10

Figure 11: Analysis of the final absorption of blocks H-10

Source: The authors.

3.2 Mechanical resistance to compression and flexion results.

The compression test was carried out with 5 previously prepared block samples according to the NTC 4017 standard procedure. The minimum compressive strength for the average of the 5 samples is limited to a value of 5.0 Kgf/cm2 for horizontal drilling masonry according to the NTC 4205 standard procedure, and Eq. 3 and Eq. 4 were used. Fig 12a showed that the Ocaña Company samples present low behavior on compression and flexion with a value average of ~13.82±1.23 Kgf/cm2 and 3.60±0.30 Kgf, respectively. This attribute to big particles of sand, chemical properties, and performance in the drying and cooking stage of the raw material.

On the other hand, the Cucuta Company samples presented a high-value average of ~20.17±1.35 Kgf/cm2 for compression and 7.28±0.71 Kgf for flexion test such as shown in Fig. 12b. The Cucuta Company presents 35% and 50% better values concerning the Ocaña Company. It was observed that both companies comply with the specifications and exceed the values 2 and 3 times concerning mechanical resistance. In this way, only two samples comply with the specifications; this is associated with characteristics of the productive process and mechanical, physical, and chemical properties of the raw material. When the samples absorb a high percentage of water, these phenomena do not reduce the other mechanical properties like the resistance to compression. Notice that the blocks present a high resistance to flexion, but the NTC 4205 standard procedure does not present permissible values to consider this parameter. Therefore, these results are presented to show a global visualization of the ceramic masonry products-based clay.

Mechanical resistance to a) Compression, and b) Flexion.

Figure 12: Mechanical resistance to a) Compression, and b) Flexion.

Source: The authors

3.3 Comparative of the experimental results with the values of the NTC standard procedure.

With the previous experimental results, it can be observed that for the case of morphological considerations, the Ocaña Company mostly complies with the specifications of the NTC standards, which is related to the extrusion, kneading, drying process, and chemical properties of the raw materials used to perform masonry products base clay [3]. Table 1 summarized the experimental results obtained and presented an observation according to the NTC 4205 standard; similar results have been reported by [10,23].

Table 1: Analysis of the summarized results.

Note: V is the vertical and H is the horizontal partitions.

Source: The authors.

3.4 Chemical characterization results

The experimental test results carried out determined that the process presents inconsistencies regarding the size of the particles formed in the crushing and rolling stages of the ceramic process, obtaining samples with cracks, pores, and sand particles greater than 2 mm, as shown in Fig. 13a. Perhaps due to the wear of the machines during the crushing process, chemical properties of the raw material, lack of development of the technical test, and lack of maintenance follow-up.

Defects on the blocks, b) characteristic microstructure via SEM, c) EDS from the principal elements on the surface, and d) XRD pattern for the raw materials from the Companies.

Figure 13. a): Defects on the blocks, b) characteristic microstructure via SEM, c) EDS from the principal elements on the surface, and d) XRD pattern for the raw materials from the Companies.

Source: The authors.

The SEM-EDS micrograph from the surface of the current block manufactured in one of the companies studied (Fig. 13b and Fig. 13c) indicates that the clay minerals are constituted mainly by silica and hydrated alumina-silicates with the presence of some other elements, such as Na, Fe, K, and Ca, similar results found by [30], finding typical clays of this region with the mechanical and physical properties evaluated and compared with the Norma Técnica Colombiana (NTC) [12]. These values indicate that one of the companies uses natural sediments that can be considered useful to medium quality plastic clays to prepare its masonry products for construction and is similarly used in the ceramic industries [16]. Notice that the superficial texture presents high roughness due to the main particle size, such as sands, silts, and clays. This behavior can be changed by adding other materials or improving the manufacturing process to obtain the masonry products and thus increase the mechanical properties in some cases [31]. This also could be used to improve the extraction and selection of raw materials base clay used in the production of blocks. Besides, optimize the economic resources of the companies that generate masonry products base clay that contribute to the sustainable development of the environment and ceramic sector.

The analysis by XRD pattern of Fig. 13d expose that the clay minerals of the raw material consist mainly of phases such as Hematite [H~(Fe2O3)], Illite [I~(KH3O)(AlMgFe)2(SiAl)4O10], Kaolinite [K~Al2(Si2O5)(OH)4)], and the high presence of Quartz [Q~(SiO2)], which were identified through the PDF-2 diffraction profiles database, thus, obtaining characteristic clays of the Norte de Santander raw materials for both Companies, and another region such as been reported by [12,32]. Also, is evident that the raw materials of Cucuta Company have minor impurities than Ocaña Company [7,33]. In this way, clay aid to obtain an adequate plasticity index, the Al2O3 contributes to the flux, and the SiO2 as a stabilizer [34].

4. Conclusions

The conventional statistical analysis for initial and final absorption of the blocks exposed that the low porosity is related to the compaction of the clay mixture during manufacture. The maximum values of water absorption, according to NTC 4205 standard procedure, must be less than 0.10% for indoor or outdoor use. However, for the statistically obtained values, many exceed 10% of the standard deviation, so these companies are certified in their production process but not in the product they manufacture because there is no reliability in terms of product quality in the values obtained concerning the Colombian standards.

The chemical composition and physical-mechanical characterization (Technological characterization) of the raw material within the manufacture of ceramic blocks are of utmost importance. Therefore, drying and cooking stages, the block becomes more complicated depending on the chemical properties of the raw materials (Contractions of thicknesses); notice that its physical properties also are not constant because the interstitial spaces between the particles are large (sand particles <2mm); therefore, the blocks have an excellent water absorption resistance, and thus low mechanical resistance.

Due to the difference in the raw material of the companies, the results regarding the NTC (Normas Técnicas Colombianas) differ by 30%, with the H-10 blocks of Cucuta concerning the Ocaña Company, which present the best properties and complying in greater quantity with the values according to the Colombian standards used.

On the ceramic stages is recommended to modify the quality of the raw material or the addition of others with major quality to not generate rejections of the final product due to the non-compliance with the specifications of the Colombian standards. This generates waste that not includes sustainable development companies. To improve sustainable development in the ceramic sector, actions must be taken to optimize the infrastructure and innovation of production processes to reduce emissions and production losses, which is reflected in economic implications.

Acknowledgements

Acknowledgment

This work was supported by the research grant 158-08-021 of the Universidad Francisco de Paula Santander Ocaña, Colombia.

References

  1. [1] Muñoz, R.A., Muñoz, J.A., Mancilla, P. y Rodríguez, J.E. Caracterización fisicoquímica de arcillas del municipio de Guapi- costa pacífica caucana (Colombiana), Química, 31, pp. 537-544, 2007. 🠔
  2. [2] Riojas-Castillo, O. y Rodríguez-Montaña, N.E., Características de hornos para productos cerámicos del Parque Minero Industrial El Mochuelo, localidad 19 de Bogotá, D.C., Colombia, Con-Ciencias. 2004. 🠔
  3. [3] García-León, R.A., Acevedo-Peñaloza, C. y Rojas-Suarez, J., Metodología para la fabricación del bloque H-10 para la industria cerámica del Norte de Santander, ECOE Ed., Bogotá, Colombia, 2019. 🠔
  4. [4] García-León, R.A., Flórez-Solano, E. y Medina-Cárdenas, Y., Caracterización física de las arcillas utilizadas en la fabricación de productos de mampostería para la construcción en Ocaña Norte de Santander, Espacios, [en línea]. 39 pp. 1-6, 2018. Disponible en: http://www.revistaespacios.com/cited2017/cited2017-06.pdf. [URL] 🠔
  5. [5] Barba, A., Beltrán, V., Feliu, C., Gracia, J., Gines, F., Sánchez, E. y Sanz, V., Materias primas para la fabricación de soportes de baldosas cerámicas, Castellón, España, 1997. 🠔
  6. [6] Lassinantti-Gualtieri, M., Romagnoli, M. and Gualtieri, A.F., Influence of body composition on the technological properties and mineralogy of stoneware: a DOE and mineralogical-microstructural study, J. Eur. Ceram. Soc. 31, pp. 673-685. 2011. DOI: 10.1016/j.jeurceramsoc.2010.12.002. [DOI] 🠔
  7. [7] García-León, R.A., Flórez-Solano, E. and Acevedo-Peñaloza, C.H., Clay surface characteristics using atomic force microscopy, Rev. Fac. Ing. Univ. Antioquia. 87(4), pp. 9-20. 2018. DOI: 10.17533/udea.redin.n87a04. [DOI] 🠔
  8. [8] Illera, L.C., Illera, C.C. and Contreras, K.A., Raw material for the ceramic industry in Norte de Santander. III. Assessment of the technological properties when the residue test of deep abrasion is added, Boletín La Soc. Española Cerámica y Vidr. 54, pp. 77-83, 2015. DOI: 10.1016/j.bsecv.2015.03.005. [DOI] 🠔
  9. [9] Gelves, J.F. y Sánchez, J., Comportamiento de las arcillas del Área Metropolitana de Cúcuta sometidas a proceso de moldeo por extrusión., Respuestas, 14 pp. 32-38, 2009. DOI: 10.22463/0122820X.543. [DOI] 🠔
  10. [10] Martínez-Contreras, C.A., Gómez-Jiménez, J.E., Girales-Puerta, D.I., Molina-Arenas, S.I. and Manco-Jaraba, D.C., Physicochemical characterization of the clays used in the preparation of ceramic pastes for the production of batches of brick type H-10 in the company Ladrillera Valledupar S.A.S. (Colombia), Aibi Rev. Investig. Adm. e Ing. 8, pp. 54-59, 2020. DOI: 10.15649/2346030X.850. [DOI] 🠔
  11. [11] Crespo-Guerra, M.T., García-León, R.A. y Afanador-García, N., Caracterización tecnológica de una arcilla utilizada en la fabricación de productos de mampostería para la construcción, Respuestas. 25(2), pp. 49-61. 2020. DOI: 10.22463/0122820X.2327. [DOI] 🠔
  12. [12] Zuluaga, D., Pérez, M., López, E. y Correa, M., Estudio de prototipos de ladrillos cerámicos elaborados con residuos de la minería del oro, Rev. Colomb. Mater. [en línea]. 15, pp. 51-63, 2020. Disponible en: https://revistas.udea.edu.co/index.php/materiales/article/view/342056. [URL] 🠔
  13. [13] Rozo-Rincón, S.M., Sánchez-Molina, J. y Gelves-Díaz, J.F., Evaluación de minerales alumino silicatos de Norte de Santander para fabricar piezas cerámicas de gran formato, Fac. Ing. [en línea]. 24(38) pp. 53-61, 2015. Disponible en: http://www.scielo.org.co/pdf/rfing/v24n38/v24n38a05.pdf [URL] 🠔
  14. [14] Cely-Illera, L. y Bolívar-León, R., Materia prima para la industria cerámica de Norte de Santander. II. Evaluación del comportamiento térmico y su incidencia en las propiedades tecnológicas, Respuestas. 20(1), pp. 84-94, 2015. DOI: 10.22463/0122820X.260. [DOI] 🠔
  15. [15] Sánchez-Molina, J. y Alvarez-Rozo, D., Evaluación de materias primas utilizadas en la fabricación de baldosas de gres en el sector cerámico de Norte de Santander (Colombia), Respuestas. 21(1), pp. 48-56, 2016. DOI: 10.22463/0122820X.776. [DOI] 🠔
  16. [16] Cely-Illera, L., Raw materials for the ceramics industry from Norte de Santander. I. Mineralogical, chemical and physical characterization, Rev. Fac. Ing. Univ. Antioquia. 80, pp. 31-37, 2016. DOI: 10.17533/udea.redin.n80a04. [DOI] 🠔
  17. [17] Narváez-Ortega, M.S., Sánchez-Molina, J. and Díaz-Fuentes, C.X., Comparative evaluation of the physical, mechanical and thermal properties of traditional H10 and H15 red clay blocks manufactured by the ceramic industry from San José de Cúcuta, Colombia, J. Phys. Conf. Ser. 1388, art. 012007, 2019. DOI: 10.1088/1742-6596/1388/1/012007. [DOI] 🠔
  18. [18] Afanador, N., Ibarra, A. y López, C., Caracterización de arcillas empleadas en pasta cerámica para la elaboración de ladrillos en la zona de Ocaña, Norte de Santander, Epsilon. [en línea]. 20(1), pp. 101-119, 2013. Disponible en: https://ciencia.lasalle.edu.co/ep/vol1/iss20/6/ [URL] 🠔
  19. [19] Espinel-Blanco, E., Flórez-Solano, E. y García-León, R.A., Caracterización físico-química de un material arcilloso proveniente de la región nororiental de Colombia, para la fabricación de bloques H-10, Respuestas. 25(S2), pp. 20-28, 2020. DOI: 10.22463/0122820X.2298 [DOI] 🠔
  20. [20] Quintero, L.J. and Gallardo, R.J., Caracterización mineralógica de arcillas expansivas con fines de estabilización., Ingenio UFPSO. 8, pp. 83-92, 2015. DOI: 10.22463/2011642X.2050. [DOI] 🠔
  21. [21] García-León, R.A., Bolívar-León, R. y Flórez-Solano, E., Validación de las propiedades físico-mecánicas de Bloques H-10 fabricados en Ocaña Norte de Santander y la región, Ingenio UFPSO. 10, pp. 17-26, 2016. DOI: 10.22463/2011642X.2075. [DOI] 🠔
  22. [22] García-León, R.A., Flórez-Solano, E. and Rodríguez-Castilla, M., Application of the procedure of the ISO 50001:2011 standard for energy planning in a company ceramic sector, DYNA. 86(209), pp. 120-126, 2019. DOI: 10.15446/dyna.v86n209.70915. [DOI] 🠔
  23. [23] Rozo, S., Sánchez, J. y Alvarez, D., Propiedades físico mecánicas de bloques H10 fabricados en el área metropolitana de Cúcuta, Cienc. e Ing. Neogranadina. 24, pp. 67-78, 2014. DOI: 10.18359/rcin.8. [DOI] 🠔
  24. [24] Carro-Suárez, J., Reyes-Guerra, B., Rosano-Ortega, G., Garnica-González, J. y Pérez-Armendáriz, B., Modelo de desarrollo sustentable para la industria de recubrimientos cerámicos, Rev. Int. Contam. Ambient. 33, pp. 131-139, 2017. DOI: 10.20937/RICA.2017.33.01.12. [DOI] 🠔
  25. [25] Rincón, E. y Wellens, A., Cálculo de indicadores de ecoeficiencia para dos empresas ladrilleras mexicanas, Rev. Int. Contam. Ambient. 27, pp. 333-345, 2011. 🠔
  26. [26] Joglekar, S.N., Kharkar, R.A., Mandavgane, S.A. and Kulkarni, B.D., Sustainability assessment of brick work for low-cost housing: a comparison between waste based bricks and burnt clay bricks, Sustain. Cities Soc. 37, pp. 396-406, 2018. DOI: 10.1016/j.scs.2017.11.025. [DOI] 🠔
  27. [27] ICONTEC, NTC-4017. Métodos para muestreo y ensayos de unidades de mampostería y otros productos de arcilla, Norma Técnica Colomb. (2005), pp. 1-30. 🠔
  28. [28] ICONTEC, NTC-4205. Unidades de mamposteria de arcilla cocida. Ladrillos y bloques ceramicos, 2000. 🠔
  29. [29] Espinel-Blanco, E., Velásquez-Pérez, T. and Pallares, C.A., Physical and mechanical properties of H10 ceramic blocks and their relation to temperature during the cooking process, Prospectiva. 15, pp. 74-84, 2017. DOI: 10.15665/rp.v15i2.788 [DOI] 🠔
  30. [30] García-León, R.A., Gomez-Camperos, J. and Jaramillo, H.Y., Physical, chemical and thermal characterization of a Colombian clay, Int. J. Mech. Mechatronics Eng. [online]. 20, pp. 225-234, 2020. Available at: http://ijens.org/Vol_20_I_05/203905-4646-IJMME-IJENS.pdf [URL] 🠔
  31. [31] Coletti, C., Cultrone, G., Maritan, L. and Mazzoli, C., How to face the new industrial challenge of compatible, sustainable brick production: Study of various types of commercially available bricks, Appl. Clay Sci. 124-125, pp. 219-226, 2016. DOI: 10.1016/j.clay.2016.02.014. [DOI] 🠔
  32. [32] García-Léon, R.A., Flórez-Solano, E. y Guerrero-Gómez, G., Determinación de la mezcla óptima de arcilla del bloque H-10 para la industria cerámica, ECOE Ed., Bogotá, Colombia, 2020. 🠔
  33. [33] Amado, J.D.S., Villafrades, P.Y.M. y Tuta, E.M.C., Caracterización de arcillas y preparación de pastas cerámicas para la fabricación de tejas y ladrillos en la región de Barichara, Santander, DYNA, [en línea]. 78(167), pp. 50-58, 2011. Disponible en: https://revistas.unal.edu.co/index.php/dyna/article/view/25762 [URL] 🠔
  34. [34] García-León, R.A., Flórez Solano, E. and Rodriguez-Castilla, M., Ternary diagrams SiO2-Al2O3-K2O as tool for the analysis of ceramic materials behavior, J. Phys. Conf. Ser. 1388, pp. 012035, 2019. DOI: 10.1088/1742-6596/1388/1/012035. [DOI] 🠔
received the BSc. Eng in Mechanical Engineering from the Universidad Francisco de Paula Santander Ocaña, Colombia, in 2014, MSc. in Industrial Engineering of the Universidad de Pamplona, Colombia. He is PhD. Scientist in Mechanical Engineering at Instituto Politecnico Nacional, Mexico. He is linked since 2015 as a professor in the Department of Mechanical Engineering of the Faculty of Engineering of the Universidad Francisco de Paula Santander, Ocaña, Colombia. Researcher and coordinator of the research line Materials and Industrial Processes in the INGAP and GRIITEM Research Groups. Also, member of the Surface Engineering Group, Mexico. His areas of interest are mainly the development of mechanical systems, industrial processes, engineering materials, wear and tribology. ORCID: 0000-0002-2734-1425
received the BSc. Eng. in Civil Engineering and graduate in mathematics and Physic in 1990, the MSc. degree Civil Engineering with emphasis in structures at the Universidad of the Andes Colombia in 2008 and PhD in Structures at the University of Brasilia, Brazil. Since 2003 to actually, he works in Francisco of Paula Santander University Ocaña in the department of civil engineering. ORCID: 0000-0001-5463-2036
Mechanical Engineer from UFPS, Sp. in University Teaching Practice at the University Francisco de Paula Santander, MSc. in Advanced Energy Systems of the UDES. Teacher and Researcher of the GITYD group of the Faculty of Engineering of the Francisco de Paula Santander University. ORCID: 0000-0003-4238-4105
García-Léon, R.A., Afanador-García, N. and Guerrero-Gómez, G., Physical-Mechanical properties of H-10 blocks manufactured in Norte of Santander, Colombia:a case study. DYNA, 88(219), pp. 181-189, October - December, 2021.